High-Power Fiber Laser Cutting for 50-mm-Thick Cement-Based Materials
Abstract
1. Introduction
2. Raw Materials and Mix Design
3. Experiment
4. Results and Discussion
4.1. Kerf Width
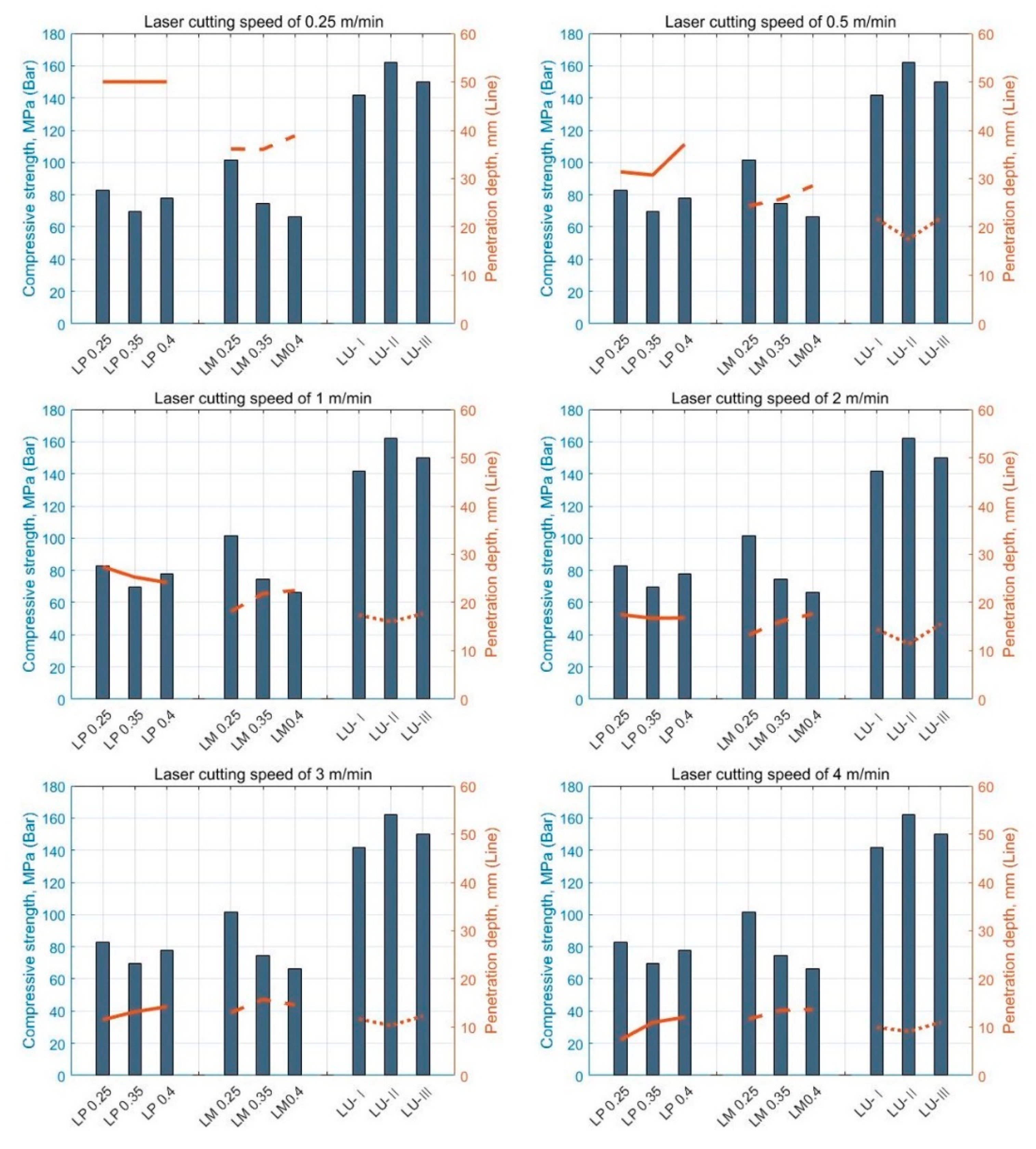
4.2. Penetration Depth
4.3. Characteristics of Removal Area of LP Series
4.4. Interaction Mechanism between Laser and Cement-Based Materials
5. Conclusions
- The kerf width of the LP series showed good cutting quality, but partially cracked and burnt areas were observed in the LM series. In the LU series, not only was the molten pool not completely evaporated in the material removal zone, but impurities were also observed on the surface;
- Under the considered parameters, the 50-mm-thick cement-based material was completely cut only for the LP series when the cutting speed was 0.25 m/min at 9 kW. To completely cut the 50-mm-thick cement paste (LP series) material, a line energy of 1.22 × 1014 J/m3 or more was required;
- Single and multiple elliptical holes were generated by the heat transfer at the sidewalls of the material removal zone and the effect of the molten concrete on the laser absorption rate, respectively.
Author Contributions
Funding
Acknowledgments
Conflicts of Interest
References
- Moon, S.; Yang, B.; Kim, J.; Seo, J. Effectiveness of Remote Control for a Concrete Surface Grinding Machine. Autom. Constr. 2010, 19, 734–741. [Google Scholar] [CrossRef]
- Skarabis, J.; Stöckert, U. Noise Emission of Concrete Pavement Surfaces Produced by Diamond Grinding. J. Traffic Transp. Eng. 2015, 2, 81–92. [Google Scholar] [CrossRef]
- Mostavi, E.; Asadi, S.; Ugochukwu, E. Feasibility Study of the Potential Use of Drill Cuttings in Concrete. Procedia Eng. 2015, 118, 1015–1023. [Google Scholar] [CrossRef]
- Foroutan, M.; Hassan, M.M.; Desrosiers, N.; Rupnow, T. Evaluation of the Reuse and Recycling of Drill Cuttings in Concrete Applications. Constr. Build. Mater. 2018, 164, 400–409. [Google Scholar] [CrossRef]
- Sitek, L.; Bodnárová, L.; Válek, J.; Zeleňák, M.; Klich, J.; Foldyna, J.; Novotný, M. Effects of Water Jet on Heat-Affected Concretes. Procedia Eng. 2013, 57, 1036–1044. [Google Scholar] [CrossRef]
- Lee, D.; Oh, B.; Suk, J. The Effect of Compactness on Laser Cutting of Cathode for Lithium-Ion Batteries Using Continuous Fiber Laser. Appl. Sci. 2019, 9, 205. [Google Scholar] [CrossRef]
- Wetzig, A.; Herwig, P.; Hauptmann, J.; Baumann, R.; Rauscher, P.; Schlosser, M.; Pinder, T.; Leyens, C. Fast Laser Cutting of Thin Metal. Procedia Manuf. 2019, 29, 369–374. [Google Scholar] [CrossRef]
- Pocorni, J.; Powell, J.; Deichsel, E.; Frostevarg, J.; Kaplan, A.F.H. Fibre Laser Cutting Stainless Steel: Fluid Dynamics and Cut Front Morphology. Opt. Laser Technol. 2017, 87, 87–93. [Google Scholar] [CrossRef]
- Sun, M.; Eppelt, U.; Hartmann, C.; Schulz, W.; Zhu, J.; Lin, Z. Damage Morphology and Mechanism in Ablation Cutting of Thin Glass Sheets with Picosecond Pulsed Lasers. Opt. Laser Technol. 2016, 80, 227–236. [Google Scholar] [CrossRef]
- Lee, D.; Cho, J.; Kim, C.H.; Lee, S.H. Application of Laser Spot Cutting on Spring Contact Probe for Semiconductor Package Inspection. Opt. Laser Technol. 2017, 97, 90–96. [Google Scholar] [CrossRef]
- Haddadi, E.; Moradi, M.; Ghavidel, A.K.; Ghavidel, A.K.; Meiabadi, S. Experimental and Parametric Evaluation of Cut Quality Characteristics in CO2 Laser Cutting of Polystyrene. Optik 2019, 184, 103–114. [Google Scholar] [CrossRef]
- Muto, S.; Tei, K.; Fujioka, T. Laser Cutting for Thick Concrete by Multi-Pass Technique. Chin. Opt. Lett. 2007, 5, 39–41. [Google Scholar]
- Lee, D.; Seo, Y.; Pyo, S. Effect of Laser Speed on Cutting Characteristics of Cement-Based Materials. Materials 2018, 11, 1055. [Google Scholar] [CrossRef]
- Crouse, P.L.; Li, L.; Spencer, J.T. Performance Comparison of CO2 and Diode Lasers for Deep-Section Concrete Cutting. Thin Solid Films 2004, 453, 594–599. [Google Scholar] [CrossRef]
- Pyo, S.; El-Tawil, S. Capturing the strain hardening and softening responses of cementitious composites subjected to impact loading. Constr. Build. Mater. 2015, 81, 276–283. [Google Scholar] [CrossRef]
- Pyo, S.; Alkaysi, M.; El-Tawil, S. Crack propagation speed in ultra high performance concrete (UHPC). Constr. Build. Mater. 2016, 114, 109–118. [Google Scholar] [CrossRef]
- Kim, H.; Koh, T.; Pyo, S. Enhancing flowability and sustainability of ultra high performance concrete incorporating high replacement levels of industrial slags. Constr. Build. Mater. 2016, 123, 153–160. [Google Scholar] [CrossRef]
- Pyo, S.; Abate, S.Y.; Kim, H.K. Abrasion resistance of ultra high performance concrete incorporating coarser aggregate. Constr. Build. Mater. 2018, 165, 11–16. [Google Scholar] [CrossRef]
- Pyo, S.; Tafesse, M.; Kim, H.; Kim, H.K. Effect of chloride content on mechanical properties of ultra high performance concrete. Cem. Concr. Compos. 2017, 84, 175–187. [Google Scholar] [CrossRef]
- Pyo, S.; Tafesse, M.; Kim, B.J.; Kim, H.K. Effects of quartz-based mine tailings on characteristics and leaching behavior of ultra-high performance concrete. Constr. Build. Mater. 2018, 166, 110–117. [Google Scholar] [CrossRef]
- ASTM C109/C109M-16a, Standard Test Method for Compressive Strength of Hydraulic Cement Mortars (Using 2-in. or [50-mm] Cube Specimens); ASTM International: West Conshohocken, PA, USA, 2016.
- Lee, D.; Pyo, S. Experimental Investigation of Multi-Mode Fiber Laser Cutting of Cement Mortar. Materials 2018, 11, 278. [Google Scholar] [CrossRef] [PubMed]
- Pyo, S.; Kim, H.K.; Lee, B.Y. Effects of Coarser Fine Aggregate on Tensile Properties of Ultra High Performance Concrete. Cem. Concr. Compos. 2017, 84, 28–35. [Google Scholar] [CrossRef]
- Pyo, S.; Kim, H.K. Fresh and hardened properties of ultra-high performance concrete incorporating coal bottom ash and slag powder. Constr. Build. Mater. 2017, 131, 459–466. [Google Scholar] [CrossRef]
- Seo, Y.; Lee, D.; Pyo, S. Microstructural characteristics of cement-based materials fabricated using multi-mode fiber laser. Materials 2020, 13, 546. [Google Scholar] [CrossRef]













| Series | Cement | Water | Silica Fume | Silica Powder | Silica Sand I † | Silica Sand II ‡ | Superplasticizer § | Compressive Strength (MPa) |
|---|---|---|---|---|---|---|---|---|
| LP 0.4 | 1 | 0.40 | - | - | - | - | - | 77.7 |
| LP 0.35 | 1 | 0.35 | - | - | - | - | - | 69.6 |
| LP 0.25 | 1 | 0.25 | - | - | - | - | - | 83.0 |
| LM 0.4 | 1 | 0.40 | - | - | - | 1.0 | - | 84.7 |
| LM 0.35 | 1 | 0.35 | - | - | - | 1.0 | - | 87.5 |
| LM 0.25 | 1 | 0.25 | - | - | - | 1.0 | 0.009 | 116.3 |
| LU-III | 1 | 0.25 | 0.15 | 0.25 | 0.30 | 0.70 | 0.009 | 150.1 |
| LU-II | 1 | 0.25 | 0.25 | 0.15 | 0.30 | 0.70 | 0.009 | 162.1 |
| LU-I | 1 | 0.25 | 0.25 | 0.25 | 0.30 | 0.70 | 0.009 | 141.6 |
| Index | Speed [m/min] | Line Energy [J/m3] |
|---|---|---|
| 1 | 4 | 7.64 × 1012 |
| 2 | 3 | 1.02 × 1013 |
| 3 | 2 | 1.53 × 1013 |
| 4 | 1 | 3.06 × 1013 |
| 5 | 0.5 | 6.11 × 1013 |
| 6 | 0.25 | 1.22 × 1014 |
© 2020 by the authors. Licensee MDPI, Basel, Switzerland. This article is an open access article distributed under the terms and conditions of the Creative Commons Attribution (CC BY) license (http://creativecommons.org/licenses/by/4.0/).
Share and Cite
Seo, Y.; Lee, D.; Pyo, S. High-Power Fiber Laser Cutting for 50-mm-Thick Cement-Based Materials. Materials 2020, 13, 1113. https://doi.org/10.3390/ma13051113
Seo Y, Lee D, Pyo S. High-Power Fiber Laser Cutting for 50-mm-Thick Cement-Based Materials. Materials. 2020; 13(5):1113. https://doi.org/10.3390/ma13051113
Chicago/Turabian StyleSeo, Youngjin, Dongkyoung Lee, and Sukhoon Pyo. 2020. "High-Power Fiber Laser Cutting for 50-mm-Thick Cement-Based Materials" Materials 13, no. 5: 1113. https://doi.org/10.3390/ma13051113
APA StyleSeo, Y., Lee, D., & Pyo, S. (2020). High-Power Fiber Laser Cutting for 50-mm-Thick Cement-Based Materials. Materials, 13(5), 1113. https://doi.org/10.3390/ma13051113

