Combustion Behavior and Mechanism of Ti14 Titanium Alloy
Abstract
1. Introduction
2. Materials and Methods
2.1. Material Preparation
2.2. Experimental Methods
2.3. Microstructural Characterizations
3. Results
3.1. Non-Isothermal Oxidation
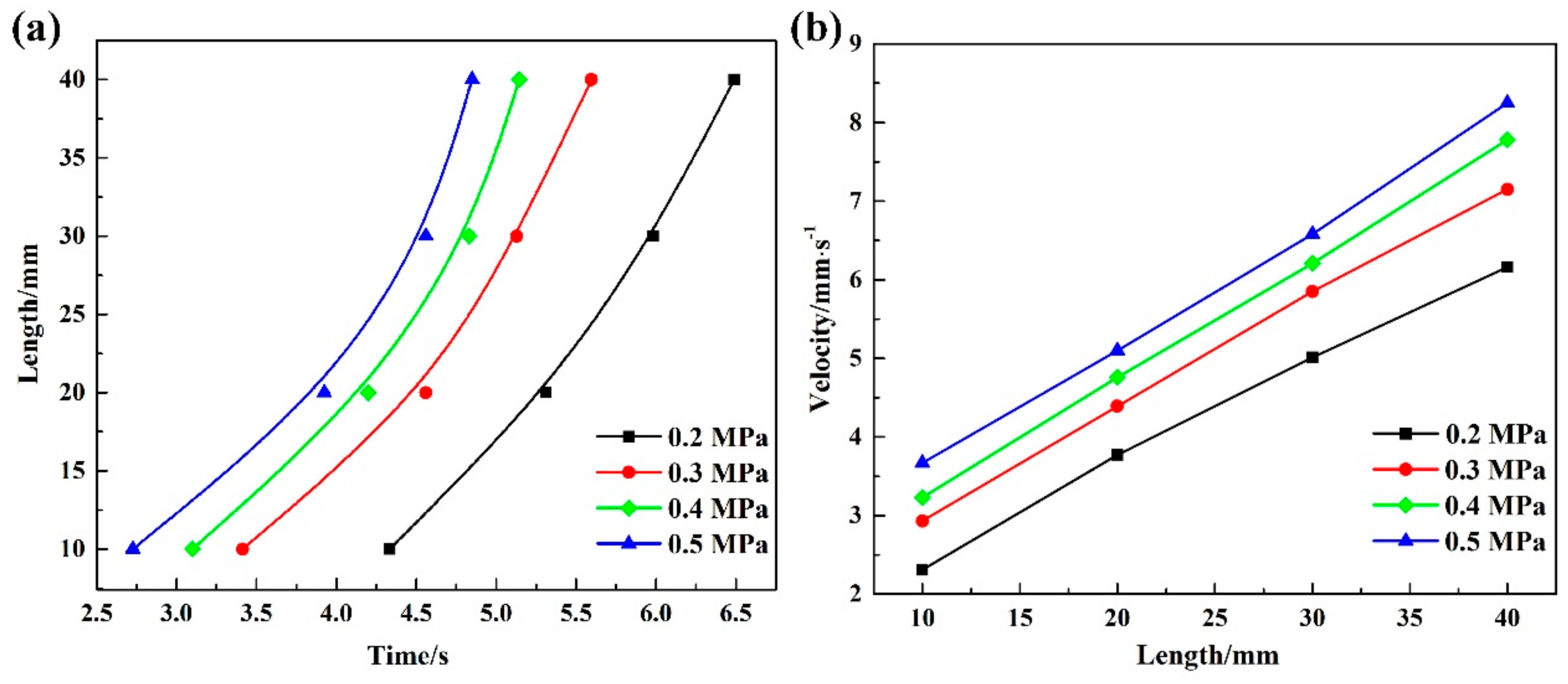
3.2. Combustion Characteristics
3.3. Microstructure and Composition Distributions of the Combustion Areas
4. Discussion
5. Conclusions
- (1)
- The burning velocity of Ti14 alloy is found increasing at the higher oxygen pressures and increasing with longer burning time at the same pressure instead of a constant, suggesting that the combustion of Ti14 alloy is a self-accelerating reaction.
- (2)
- The combustion reaction area of Ti14 alloy is found containing three different zones, i.e., oxide zone, melting zone and heat affected zone. The Cu atoms are found enriched in two zones—i.e., the heat affected zone and melting zone during the combustion process—which can prevent the diffusion process of oxygen atoms.
- (3)
- The combustion behavior is related to the phase structure. The occurrence of peritectic reaction: L + α → TiO is deduced in the solid–liquid interface during the combustion process by the analysis of the chemical composition and phase contents of the reaction area, regarded as the key factor that decides the moving velocity of the solid–liquid interface.
Author Contributions
Funding
Conflicts of Interest
References
- Zhao, Y.Q.; Xi, Z.P.; Qu, H. Current situation of titanium alloy materials used for national aviation. J. Aeronaut. Mater. 2003, 23, 215–219. [Google Scholar]
- Qian, J.H. Application and developement of new titanium alloys for aerospace. Chin. J. Rare Met. 2000, 24, 218–223. [Google Scholar]
- Huang, X.; Cao, C.X.; Ma, J.M.; Wang, B.; Gao, Y.; Zhou, Y.H. Titanium combustion in aeroengines and fire-resistant titanium alloys. J. Mater. Eng. 1997, 8, 11–15. [Google Scholar]
- Zhao, Y.Q.; Zhou, L.; Deng, J. Effects of the alloying element Cr on the burning behavior of titanium alloys. J. Alloys Compd. 1999, 284, 190–193. [Google Scholar]
- Wang, M.M.; Zhao, Y.Q.; Zhou, L.; Zhang, D. Study on creep behavior of Ti-V-Cr burn resistant alloys. Mater. Lett. 2004, 58, 3248–3252. [Google Scholar] [CrossRef]
- Mi, G.B.; Huang, X.; Cao, J.X. Ignition resistance performance and its theoretical analysis of Ti-Cr-V type fireproof titanium alloys. Acta Metall. Sin. 2014, 50, 575–586. [Google Scholar]
- Mi, G.B.; Cao, C.X.; Cao, X.; Cao, J.X.; Wang, B.; Sui, N. Non-isothermal oxidation characteristic and fireproof property prediction of Ti-V-Cr type fireproof titanium alloy. J. Mater. Eng. 2016, 44, 1–10. [Google Scholar]
- Mi, G.B.; Huang, X.; Cao, J.X. Frictional ignition of Ti40 fireproof titanium alloys for aero-engine in oxygen-containing media. Trans. Nonferrous Met. Soc. China 2013, 23, 2270–2275. [Google Scholar] [CrossRef]
- Zhao, Y.Q.; Zhou, L.; Zhu, K.Y.; Qu, H.L.; Huan, W. Mechanism of Burn Resistance of Alloy Ti40. J. Mater. Sci. Technol. 2001, 17, 677–678. [Google Scholar]
- Zhao, Y.Q.; Zhou, L.; Deng, J. Burning Resistant Behavior and Mechanism of a Ti40 Alloy. Rare Met. Mater. Eng. 1999, 2, 77–80. [Google Scholar]
- Kikuchi, M.; Takada, Y.; Kiyosue, S.; Yoda, M.; Woldu, M.; Cai, Z.; Okuno, O. Mechanical properties and microstructures of cast Ti-Cu alloys. Dent. Mater. 2003, 19, 174–181. [Google Scholar] [CrossRef]
- Park, S.H.; Lim, K.P.; Na, M.Y.; Kim, K.C.; Kim, W.T.; Kim, D.H. Oxidation behavior of Ti-Cu binary metallic glass. Corros. Sci. 2015, 99, 304–312. [Google Scholar] [CrossRef]
- Cardoso, F.F.; Cremasco, A.; Contieri, R.J. Hexagonal martensite decomposition and phase precipitation in Ti-Cu alloys. Mater. Des. 2011, 32, 4608–4613. [Google Scholar] [CrossRef]
- Hayama, O.F.; Andrade, P.N.; Cremasco, A. Effects of composition and heat treatment on the mechanical behavior of Ti-Cu alloys. Mater. Des. 2014, 55, 1006–1013. [Google Scholar] [CrossRef]
- Souza, S.A.; Afonso, C.R.; Ferrandini, P.L. Effect of cooling rate on Ti-Cu eutectoid alloy microstructure. Mater. Sci. Eng. C 2009, 29, 1023–1028. [Google Scholar] [CrossRef]
- Yao, X.; Sun, Q.Y.; Xiao, L. Effect of Ti2Cu precipitates on mechanical behavior of Ti-2.5 Cu alloy subjected to different heat treatments. J. Alloys Compd. 2009, 484, 196–202. [Google Scholar] [CrossRef]
- Chen, Y.N.; Yang, W.Q.; Bo, A.X.; Zhan, H.F.; Zhao, Y.Q.; Zhao, Q.Y.; Wan, M.P.; Gu, Y.T. Underlying burning resistant mechanisms for titanium alloy. Mater. Des. 2018, 156, 588–595. [Google Scholar] [CrossRef]
- Chen, Y.N.; Yang, W.Q.; Bo, A.X.; Zhan, H.F.; Huo, Y.Z. Tailorable Burning Behavior of Ti14 Alloy by Controlling Semi-Solid Forging Temperature. Materials 2016, 9, 697. [Google Scholar] [CrossRef]
- Zhu, K.Y.; Zhao, Y.Q.; Qu, H.L.; Wu, Z.L.; Zhao, X.M. Microstructure and properties of burn-resistant Ti-Al-Cu alloys. J. Mater. Sci. 2000, 35, 5609–5612. [Google Scholar] [CrossRef]
- Chen, Y.N.; Huo, Y.Z.; Song, X.D.; Bi, Z.Z.; Cao, Y.; Zhao, Y.Q. Burn-resistant behavior and mechanism of Ti14 alloy. Int. J. Min. Metall. Materials 2016, 23, 215–221. [Google Scholar]
- Standard Test Method for Determining the Burning Behavior of Metallic Materials in Oxygen-Enriched Atmospheres; ASTM G124-18; ASTM International: West Conshohocken, PA, USA, 2010.
- Shao, L.; Wang, Y.; Xie, G. Combustion Mechanism of Alloying Elements Cr in Ti-Cr-V Alloys. Materials 2019, 12, 3206. [Google Scholar] [CrossRef] [PubMed]
- Shao, L.; Xie, G.L.; Liu, X.H.; Wu, Y.; Yu, J.B.; Wang, Y.Y. Combustion behaviour and mechanism of a Cu-Ni-Mn alloy in an oxygen enriched atmosphere. Corros. Sci. 2019, 108253. [Google Scholar] [CrossRef]
- Millogo, M.; Bernard, S.; Gillard, P.; Frascati, F. Combustion properties of titanium alloy powder in ALM processes: Ti6Al4V. J. Loss Prev. Process Ind. 2018, 56, 254–261. [Google Scholar] [CrossRef]









| Element | Ti | Al | Cu | Si |
|---|---|---|---|---|
| at % | 86.35 | 2.25 | 10.72 | 0.68 |
| wt % | 84.46 | 1.24 | 13.91 | 0.39 |
| Region | Composition | ||||
|---|---|---|---|---|---|
| Ti | Cu | Al | Si | O | |
| 1 (at %) | 47.82 | 0.04 | 0.28 | - | 51.86 |
| 1 (wt %) | 73.16 | 0.08 | 0.28 | - | 26.51 |
| 2 (at %) | 6.10 | 88.87 | 4.06 | 0.20 | 0.77 |
| 2 (wt %) | 4.81 | 93.08 | 1.81 | 0.17 | 0.20 |
| 3 (at %) | 85.36 | 2.13 | 2.38 | 0.25 | 9.88 |
| 3 (wt %) | 91.81 | 3.04 | 1.44 | 0.16 | 3.55 |
| Region | Composition | ||||
|---|---|---|---|---|---|
| Ti | Cu | Al | Si | O | |
| 4 (at %) | 70.26 | 0.52 | 0.30 | 0.04 | 28.88 |
| 4 (wt %) | 86.96 | 0.85 | 0.21 | 0.03 | 11.94 |
| 5 (at %) | 64.50 | 29.20 | 3.20 | 0.51 | 2.59 |
| 5 (wt %) | 60.72 | 36.48 | 1.70 | 0.28 | 0.81 |
| 6 (at %) | 30.04 | 54.68 | 13.42 | 0.13 | 1.73 |
| 6 (wt %) | 27.11 | 65.48 | 6.82 | 0.07 | 0.52 |
| Region | Composition | ||||
|---|---|---|---|---|---|
| Ti | Cu | Al | Si | O | |
| 7 (at %) | 66.67 | 28.88 | 1.28 | 0.54 | 2.63 |
| 7 (wt %) | 62.36 | 35.85 | 0.67 | 0.30 | 0.82 |
| 8 (at %) | 82.29 | 9.25 | 2.11 | 0.40 | 5.95 |
| 8 (wt %) | 83.99 | 12.53 | 1.21 | 0.24 | 2.03 |
© 2020 by the authors. Licensee MDPI, Basel, Switzerland. This article is an open access article distributed under the terms and conditions of the Creative Commons Attribution (CC BY) license (http://creativecommons.org/licenses/by/4.0/).
Share and Cite
Shao, L.; Xie, G.; Li, H.; Lu, W.; Liu, X.; Yu, J.; Huang, J. Combustion Behavior and Mechanism of Ti14 Titanium Alloy. Materials 2020, 13, 682. https://doi.org/10.3390/ma13030682
Shao L, Xie G, Li H, Lu W, Liu X, Yu J, Huang J. Combustion Behavior and Mechanism of Ti14 Titanium Alloy. Materials. 2020; 13(3):682. https://doi.org/10.3390/ma13030682
Chicago/Turabian StyleShao, Lei, Guoliang Xie, Hongying Li, Wanran Lu, Xiao Liu, Jiabin Yu, and Jinfeng Huang. 2020. "Combustion Behavior and Mechanism of Ti14 Titanium Alloy" Materials 13, no. 3: 682. https://doi.org/10.3390/ma13030682
APA StyleShao, L., Xie, G., Li, H., Lu, W., Liu, X., Yu, J., & Huang, J. (2020). Combustion Behavior and Mechanism of Ti14 Titanium Alloy. Materials, 13(3), 682. https://doi.org/10.3390/ma13030682
