Computer-Aided Design of Boron Nitride-Based Membranes with Armchair and Zigzag Nanopores for Efficient Water Desalination
Abstract
1. Introduction
2. Materials and Methods
3. Results and Discussion
3.1. Water Permeability
3.2. Salt Rejection
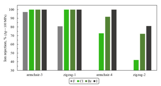
3.3. Decontamination from Alkali and Halide Ions
4. Conclusions
Supplementary Materials
Author Contributions
Funding
Acknowledgments
Conflicts of Interest
References
- United Nations Site, Global Issues: Water. Available online: URL-https://www.un.org/en/sections/issues-depth/water/index.html (accessed on 28 September 2020).
- Wang, Z.; Wu, A.; Ciacchi, L.C.; Wei, G. Recent Advances in Nanoporous Membranes for Water Purification. Nanomater. 2018, 8, 65. [Google Scholar] [CrossRef] [PubMed]
- Alvarez, P.J.J.; Chan, C.K.; Elimelech, M.; Halas, N.J.; Villagrán, D. Emerging opportunities for nanotechnology to enhance water security. Nat. Nanotechnol. 2018, 13, 634–641. [Google Scholar] [CrossRef] [PubMed]
- Dongre, R.S. Rationally Fabricated Nanomaterials for Desalination and Water Purification. In Novel Nanomaterials—Synthesis and Applications; Kyzas, G.V., Mitropoulos, A.C., Eds.; IntechOpen: London, UK, 2018. [Google Scholar]
- Surwade, S.P.; Smirnov, S.N.; Vlassiouk, I.V.; Unocic, R.R.; Veith, G.M.; Dai, S.; Mahurin, S.M. Water desalination using nanoporous single-layer graphene. Nat. Nanotechnol. 2015, 10, 459–464. [Google Scholar] [CrossRef] [PubMed]
- Boretti, A.; Al-Zubaidy, S.; Vaclavikova, M.; Al-Abri, M.; Castelletto, S.; Mikhalovsky, S. Outlook for graphene-based desalination membranes. npj Clean Water 2018, 1, 1–11. [Google Scholar] [CrossRef]
- Papp, S.; Jágerszki, G.; Gyurcsányi, R.E. Ion-Selective Electrodes Based on Hydrophilic Ionophore-Modified Nanopores. Angew. Chem. Int. Ed. 2018, 57, 4752–4755. [Google Scholar] [CrossRef] [PubMed]
- Hirunpinyopas, W.; Prestat, E.; Worrall, S.D.; Haigh, S.J.; Dryfe, R.A.W.; Bissett, M.A. Desalination and Nanofiltration through Functionalized Laminar MoS2 Membranes. ACS Nano 2017, 11, 11082–11090. [Google Scholar] [CrossRef]
- Xu, G.-R.; Xu, J.-M.; Su, H.-C.; Liu, X.-Y.; Li, L.-; Zhao, H.-L.; Feng, H.-J.; Das, R. Two-dimensional (2D) nanoporous membranes with sub-nanopores in reverse osmosis desalination: Latest developments and future directions. Desalination 2019, 451, 18–34. [Google Scholar] [CrossRef]
- Wang, L.; Boutilier, M.S.H.; Kidambi, P.R.; Jang, D.; Hadjiconstantinou, N.G.; Karnik, R. Fundamental transport mechanisms, fabrication and potential applications of nanoporous atomically thin membranes. Nat. Nanotechnol. 2017, 12, 509–522. [Google Scholar] [CrossRef]
- Oyama, S.T.; Stagg-Williams, S.M. (Eds.) Inorganic, Polymeric and Composite Membranes: Structure, Function and Other Correlations, 1st ed.; Elsevier: Amsterdam, The Netherlands, 2011; p. 373. [Google Scholar]
- Cohen-Tanugi, D.; Grossman, J.C. Mechanical Strength of Nanoporous Graphene as a Desalination Membrane. Nano Lett. 2014, 14, 6171–6178. [Google Scholar] [CrossRef]
- Cohen-Tanugi, D.; Grossman, J.C. Water Desalination across Nanoporous Graphene. Nano Lett. 2012, 12, 3602–3608. [Google Scholar] [CrossRef]
- Pendergast, M.M.; Hoek, E.M. A review of water treatment membrane nanotechnologies. Energy Environ. Sci. 2011, 4, 1946–1971. [Google Scholar] [CrossRef]
- Jafarzadeh, R.; Azamat, J.; Erfan-Niya, H.; Hosseini, M. Molecular insights into effective water desalination through functionalized nanoporous boron nitride nanosheet membranes. Appl. Surf. Sci. 2019, 471, 921–928. [Google Scholar] [CrossRef]
- Lin, L.-C.; Choi, J.; Grossman, J.C. Two-dimensional covalent triazine framework as an ultrathin-film nanoporous membrane for desalination. Chem. Commun. 2015, 51, 14921–14924. [Google Scholar] [CrossRef]
- Gao, H.; Shi, Q.; Rao, D.; Zhang, Y.; Su, J.; Liu, Y.; Wang, Y.-H.; Deng, K.; Lu, R. Rational Design and Strain Engineering of Nanoporous Boron Nitride Nanosheet Membranes for Water Desalination. J. Phys. Chem. C 2017, 121, 22105–22113. [Google Scholar] [CrossRef]
- Liu, Y.; Xie, D.; Song, M.; Jiang, L.; Fu, G.; Liu, L.; Li, J. Water desalination across multilayer graphitic carbon nitride membrane: Insights from non-equilibrium molecular dynamics simulations. Carbon 2018, 140, 131–138. [Google Scholar] [CrossRef]
- Liu, W.; Luo, X.; Bao, Y.; Liu, Y.P.; Ning, G.-H.; Abdelwahab, I.; Li, L.; Nai, C.T.; Hu, Z.G.; Zhao, D.; et al. A two-dimensional conjugated aromatic polymer via C–C coupling reaction. Nat. Chem. 2017, 9, 563–570. [Google Scholar] [CrossRef] [PubMed]
- Yan, Y.G.; Wang, W.S.; Li, W.; Loh, K.P.; Zhang, J. A graphene-like membrane with an ultrahigh water flux for desalination. Nanoscale 2017, 9, 18951–18958. [Google Scholar] [CrossRef] [PubMed]
- Yamada, T.; Matsuzaki, R. Effects of slit width on water permeation through graphene membrane by molecular dynamics simulations. Sci. Rep. 2018, 8, 339. [Google Scholar] [CrossRef]
- Yamada, T.; Matsuzaki, R. Evaluation of permeability applicability based on continuum mechanics law in fluid flow through graphene membrane. Sci. Rep. 2019, 9, 1–9. [Google Scholar] [CrossRef]
- Kanani, D.M.; Fissell, W.H.; Roy, S.; Dubnisheva, A.; Fleischman, A.; Zydney, A.L. Permeability–selectivity analysis for ultrafiltration: Effect of pore geometry. J. Membr. Sci. 2010, 349, 405–410. [Google Scholar] [CrossRef]
- Tsukanov, A.A.; Shilko, E.V.; Gutmanas, E.; Psakhie, S.G. Selective Filtration of Fluids in Materials with Slit-Shaped Nanopores. Phys. Mesomech. 2018, 21, 538–545. [Google Scholar] [CrossRef]
- Falin, A.; Cai, Q.; Santos, E.J.G.; Scullion, D.; Qian, D.; Zhang, R.; Yang, Z.; Huang, S.; Watanabe, K.; Taniguchi, T.; et al. Mechanical properties of atomically thin boron nitride and the role of interlayer interactions. Nat. Commun. 2017, 8, 15815. [Google Scholar] [CrossRef]
- Gilbert, S.M.; Dunn, G.; Azizi, A.; Pham, T.; Shevitski, B.; Dimitrov, E.; Liu, S.; Aloni, S.; Zettl, A. Fabrication of Subnanometer-Precision Nanopores in Hexagonal Boron Nitride. Sci. Rep. 2017, 7, 1–7. [Google Scholar] [CrossRef] [PubMed]
- Gilbert, S.; Dunn, G.; Azizi, A.; Pham, T.; Shevitski, B.; Liu, S.; Shaul, A.; Zettl, A. A Route to Atomically Precise Hexagonal Boron Nitride Nanopores. Bull. Am. Phys. Soc. 2018, 63, B18.00012. [Google Scholar]
- Weng, Q.; Wang, X.; Wang, X.; Bando, Y.; Golberg, D. Functionalized hexagonal boron nitride nanomaterials: Emerging properties and applications. Chem. Soc. Rev. 2016, 45, 3989–4012. [Google Scholar] [CrossRef] [PubMed]
- Lei, W.; Portehault, D.; Liu, D.; Qin, S.; Chen, Y. Porous boron nitride nanosheets for effective water cleaning. Nat. Commun. 2013, 4, 1777. [Google Scholar] [CrossRef]
- Yu, S.; Wang, X.; Pang, H.; Zhang, R.; Song, W.; Fu, D.; Hayat, T.; Wang, X. Boron nitride-based materials for the removal of pollutants from aqueous solutions: A review. Chem. Eng. J. 2018, 333, 343–360. [Google Scholar] [CrossRef]
- Liu, S.; Lu, B.; Zhao, Q.; Li, J.; Gao, T.; Chen, Y.; Zhang, Y.; Liu, Z.; Fan, Z.; Yang, F.; et al. Boron Nitride Nanopores: Highly Sensitive DNA Single-Molecule Detectors. Adv. Mater. 2013, 25, 4549–4554. [Google Scholar] [CrossRef]
- Gu, Z.; Zhang, Y.; Luan, B.; Zhou, R. DNA translocation through single-layer boron nitride nanopores. Soft Matter 2016, 12, 817–823. [Google Scholar] [CrossRef]
- Azamat, J.; Khataee, A.; Sadikoglu, F. Separation of carbon dioxide and nitrogen gases through modified boron nitride nanosheets as a membrane: Insights from molecular dynamics simulations. RSC Adv. 2016, 6, 94911–94920. [Google Scholar] [CrossRef]
- Azamat, J.; Sattary, B.S.; Khataee, A.; Joo, S.W. Removal of a hazardous heavy metal from aqueous solution using functionalized graphene and boron nitride nanosheets: Insights from simulations. J. Mol. Graph. Model. 2015, 61, 13–20. [Google Scholar] [CrossRef] [PubMed]
- Zhang, Y.; Zhou, Y.; Li, Z.; Chen, H.; Zhang, L.; Fan, J. Computational investigation of geometrical effects in 2D boron nitride nanopores for DNA detection. Nanoscale 2020, 12, 10026–10034. [Google Scholar] [CrossRef] [PubMed]
- Rajan, A.G.; Strano, M.S.; Blankschtein, D. Ab Initio Molecular Dynamics and Lattice Dynamics-Based Force Field for Modeling Hexagonal Boron Nitride in Mechanical and Interfacial Applications. J. Phys. Chem. Lett. 2018, 9, 1584–1591. [Google Scholar] [CrossRef] [PubMed]
- Batsanov, S.S. Van der Waals Radii of Elements. Inorg. Mater. 2001, 37, 871–885. [Google Scholar] [CrossRef]
- Neria, E.; Fischer, S.; Karplus, M. Simulation of activation free energies in molecular systems. J. Chem. Phys. 1996, 105, 1902–1921. [Google Scholar] [CrossRef]
- Joung, I.S.; Iii, T.E.C. Determination of Alkali and Halide Monovalent Ion Parameters for Use in Explicitly Solvated Biomolecular Simulations. J. Phys. Chem. B 2008, 112, 9020–9041. [Google Scholar] [CrossRef]
- Marchand, S.; Roux, B. Molecular dynamics study of calbindin D9k in the apo and singly and doubly calcium—Loaded states. Proteins 1998, 33, 265–284. [Google Scholar] [CrossRef]
- Heiranian, M.; Farimani, A.B.; Aluru, N.R. Water desalination with a single-layer MoS2 nanopore. Nat. Commun. 2015, 6, 8616. [Google Scholar] [CrossRef]
- Corry, B. Designing Carbon Nanotube Membranes for Efficient Water Desalination. J. Phys. Chem. B 2008, 112, 1427–1434. [Google Scholar] [CrossRef]
- Sun, L.; He, X.; Lu, J. Super square carbon nanotube network: A new promising water desalination membrane. npj Comput. Mater. 2016, 2, 16004. [Google Scholar] [CrossRef]
- Plimpton, S. Fast Parallel Algorithms for Short-Range Molecular Dynamics. J. Comput. Phys. 1995, 117, 1–19. [Google Scholar] [CrossRef]
- Plimpton, S.; Crozier, P.; Thompson, A. LAMMPS-large-scale atomic/molecular massively parallel simulator. Sandia Natl. Lab. 2007, 18, 43. [Google Scholar]
- Voevodin, V.V.; Antonov, A.S.; Nikitenko, D.A.; Shvets, P.A.; Sobolev, S.I.; Sidorov, I.Y.; Stefanov, K.S.; Voevodin, V.V.; Zhumatiy, S.A. Supercomputer Lomonosov-2: Large Scale, Deep Monitoring and Fine Analytics for the User Community. Supercomput. Front. Innov. 2019, 6, 4–11. [Google Scholar] [CrossRef]
- Adinets, A.V.; Bryzgalov, P.A.; Voevodin, V.V.; Zhumatii, S.A.; Nikitenko, D.A.; Stefanov, K.S. Job digest: An approach to dynamic analysis of job characteristics on supercomputers. Numer. Methods Program. Adv. Comput. 2012, 13, 160–166. [Google Scholar]
- Zacharov, I.; Arslanov, R.; Gunin, M.; Stefonishin, D.; Bykov, A.; Pavlov, S.; Panarin, O.; Maliutin, A.; Rykovanov, S.; Fedorov, M. “Zhores”—Petaflops supercomputer for data-driven modeling, machine learning and artificial intelligence installed in Skolkovo Institute of Science and Technology. Open Eng. 2019, 9, 512–520. [Google Scholar] [CrossRef]
- Franks, F. (Ed.) Water: A Comprehensive Treatise; Plenum Press: New York, NY, USA, 1971; p. 455. [Google Scholar]
- Diggs, H.E.; Parker, J.M. Aquatic Facilities. In Planning and Designing Research Animal Facilities; Elsevier BV: Amsterdam, The Netherlands, 2009; pp. 323–331. [Google Scholar]
- Chauhan, K.; Sharma, P.; Chauhan, G.S. Removal/Dissolution of Mineral Scale Deposits. In Mineral Scales and Deposits; Elsevier BV: Amsterdam, The Netherlands, 2015; pp. 701–720. [Google Scholar]
- Kou, J.; Zhou, X.; Lu, H.; Wu, F.; Fan, J. Graphyne as the membrane for water desalination. Nanoscale 2014, 6, 1865–1870. [Google Scholar] [CrossRef]







| Model Name | Width dc, Å | Effective Width deff, Å | # of Pores 1 |
|---|---|---|---|
| Armchair-1 | 5.01 | 1.61 | 6 |
| Armchair-2 | 6.262 | 2.86 | 5 |
| Armchair-3 | 7.514 | 4.11 | 4 |
| Armchair-4 | 8.766 | 5.37 | 4 |
| Armchair-5 | 10.018 | 6.62 | 3 |
| Zigzag-1 | 6.507 | 3.11 | 6 |
| Zigzag-2 | 8.676 | 5.28 | 4 |
| Model Salt | Salt Concentration, mM | Ion | Ion Concentration, mM | |
|---|---|---|---|---|
| 1. | NaCl | 660 | Na+ | 660 |
| Cl− | 660 | |||
| 2. | CaCl2 | 440 | Ca2+ | 440 |
| Cl− | 880 | |||
| 3. | MgCl2 | 440 | Mg2+ | 440 |
| Cl− | 880 | |||
| 4. | (Li + K) (F + Br) | 330 | Li+ | 330 |
| K+ | 330 | |||
| F− | 330 | |||
| Br− | 330 | |||
| 5. | (Rb + Cs) (Br + I) | 330 | Rb+ | 330 |
| Cs+ | 330 | |||
| Br− | 330 | |||
| I− | 330 |
Publisher’s Note: MDPI stays neutral with regard to jurisdictional claims in published maps and institutional affiliations. |
© 2020 by the authors. Licensee MDPI, Basel, Switzerland. This article is an open access article distributed under the terms and conditions of the Creative Commons Attribution (CC BY) license (http://creativecommons.org/licenses/by/4.0/).
Share and Cite
Tsukanov, A.A.; Shilko, E.V. Computer-Aided Design of Boron Nitride-Based Membranes with Armchair and Zigzag Nanopores for Efficient Water Desalination. Materials 2020, 13, 5256. https://doi.org/10.3390/ma13225256
Tsukanov AA, Shilko EV. Computer-Aided Design of Boron Nitride-Based Membranes with Armchair and Zigzag Nanopores for Efficient Water Desalination. Materials. 2020; 13(22):5256. https://doi.org/10.3390/ma13225256
Chicago/Turabian StyleTsukanov, Alexey A., and Evgeny V. Shilko. 2020. "Computer-Aided Design of Boron Nitride-Based Membranes with Armchair and Zigzag Nanopores for Efficient Water Desalination" Materials 13, no. 22: 5256. https://doi.org/10.3390/ma13225256
APA StyleTsukanov, A. A., & Shilko, E. V. (2020). Computer-Aided Design of Boron Nitride-Based Membranes with Armchair and Zigzag Nanopores for Efficient Water Desalination. Materials, 13(22), 5256. https://doi.org/10.3390/ma13225256

