Enhancing Effect of Chloride Ions on the Autocatalytic Process of Ag(I) Reduction by Co(II) Complexes
Abstract
1. Introduction
2. Experimental
2.1. Solutions
2.2. Electroless Silver Deposition
2.3. Silver Coatings Characterization
2.4. Determination of the Real Surface Area of the Ag Electrode
2.5. Electrochemical and EQCM Measurements
3. Results and Discussion
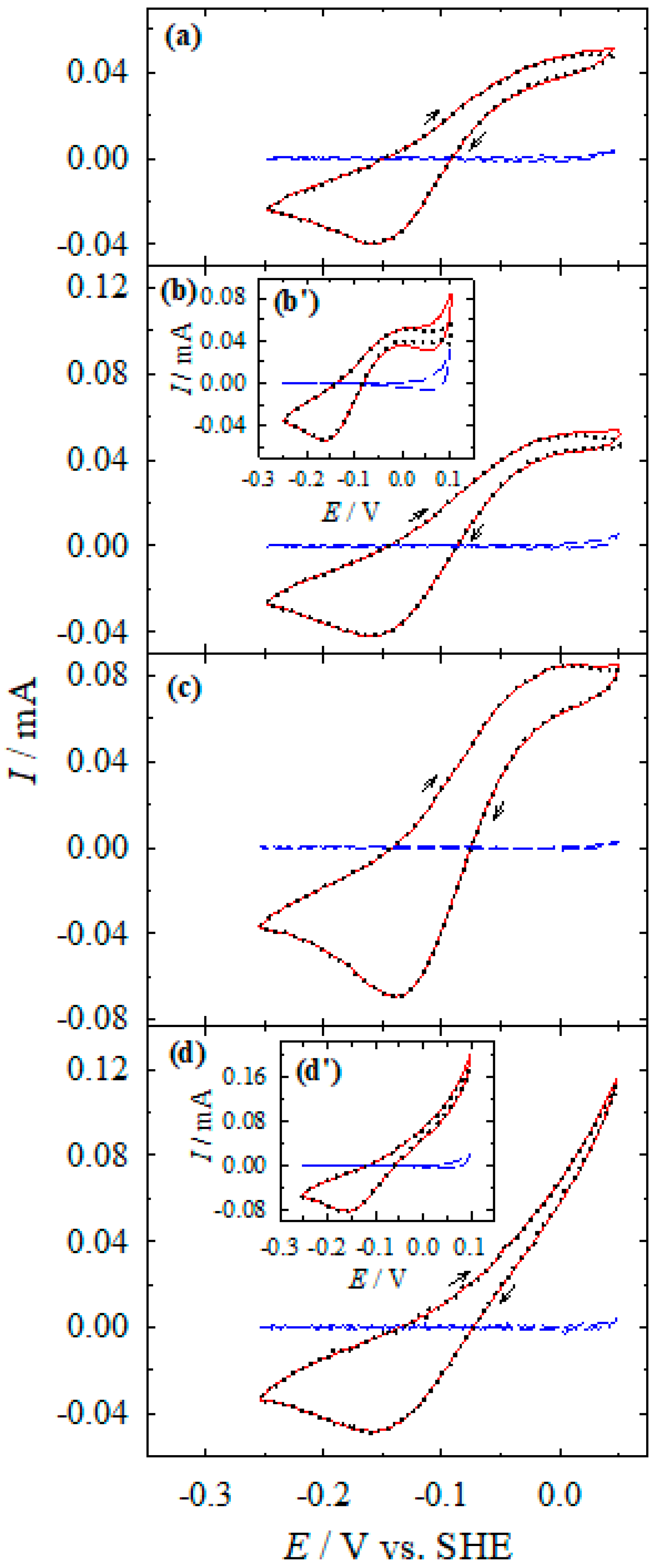
3.1. Electrochemical and EQCM Measurements
3.2. Characterization
3.3. EQCM Investigations
4. Conclusions
Author Contributions
Funding
Conflicts of Interest
References
- Mallory, G.O.; Hajdu, J.B. (Eds.) Electroless Plating: Fundamentals and Applications; American Electroplaters and Surface Finishers Society: Orlando, FL, USA, 1990. [Google Scholar]
- Vaškelis, A. Coatings Technology Handbook, 2nd ed.; Satas, D., Tracton, A.A., Eds.; Marcel Dekker: New York, NY, USA, 2001; p. 213. [Google Scholar]
- Pearlstein, F.; Weightman, R.F. Electroless silver deposition. Plating 1971, 58, 1014. [Google Scholar]
- Vaškelis, A.; Diemontaitė, O. Cheminio sidabravimo tirpalai. 1. Ag (I) redukcija cianidų tirpaluose. Lietuvos TSR MA Darbai. B Ser. 1975, 4, 23–30. [Google Scholar]
- Koura, N.; Kubota, A. Electroless plating of silver. J. Met. Fin. Soc. Jpn. 1985, 36, 182–190. [Google Scholar] [CrossRef][Green Version]
- Vaškelis, A.; Diemontaitė, O. Cheminio sidabravimo tirpalai. 5. Ag (I) redukcija Cu (I), Fe (II), Co (II) jonais. Lietuvos TSR MA Darbai. B Ser. 1980, 1, 3–10. [Google Scholar]
- Vaškelis, A.; Norkus, H.J.; Rozovskis, G.; Vinkevičius, H.J. New methods of electroless plating and direct electroplating of plastics. Trans. IMF 1997, 75, 1–3. [Google Scholar] [CrossRef]
- Vaškelis, A.; Norkus, E.; Jagminienė, A.; Tamašauskaitė-Tamašiūnaitė, L. Electroless silver plating at elevated temperature using cobalt(II)-ammonia complex compounds as reducing agents. Chemija 1998, N2, 105–108. [Google Scholar]
- Vaškelis, A.; Norkus, E.; Reklaitis, J.; Jagminienė, A.; Tamašauskaitė-Tamašiūnaitė, L. Electroless silver plating using cobalt(II)-ammonia complex compounds as reducing agents. 1. The thermodynamical aspects. Chemija 1998, N4, 265–271. [Google Scholar]
- Norkus, E.; Vaškelis, A.; Jagminienė, A.; Tamašauskaitė-Tamašiūnaitė, L. Electroless silver plating using cobalt(II)-ammonia complex compounds as reducing agents. 2. A kinetic study. Chemija 1998, N4, 272–277. [Google Scholar]
- Vaškelis, A.; Norkus, E. Autocatalytic processes of copper(II) and silver(I) reduction by cobalt(II) complexes. Electrochim. Acta 1999, 44, 3667–3677. [Google Scholar] [CrossRef]
- Vaškelis, A.; Norkus, E.; Jagminienė, A.; Tamašauskaitė-Tamašiūnaitė, L. Stromlose Versilberung mit Kobalt(II)-Ammoniak-Komplexverbindungen als Reduktionsmittel. Thermodynamishe Aspekte und kinetische Untersuchungen. Teil 1. Galvanotechnik 2000, 91, 2129–2135. [Google Scholar]
- Vaškelis, A.; Norkus, E.; Jagminienė, A.; Tamašauskaitė-Tamašiūnaitė, L. Stromlose Versilberung mit Kobalt(II)-Ammoniak-Komplexverbindungen als Reduktionsmittel. Thermodynamishe Aspekte und kinetische Untersuchungen. Teil 2. Galvanotechnik 2000, 91, 3395–3404. [Google Scholar]
- Norkus, E.; Vaškelis, A.; Jagminienė, A.; Tamašauskaitė-Tamašiūnaitė, L. Kinetics of electroless silver deposition using cobalt(II)-ammonia complex compounds as reducing agents. J. Appl. Electrochem. 2001, 31, 1061–1066. [Google Scholar] [CrossRef]
- Vaškelis, A.; Jagminienė, A.; Juškėnas, R.; Matulionis, E.; Norkus, E. Structure of electroless silver coatings obtained using cobalt(II) as reducing agent. Surf. Coat. Technol. 1996, 82, 165–168. [Google Scholar] [CrossRef]
- Vaškelis, A.; Jagminienė, A. Cheminiu būdu nusodintų sidabro dangų korozinis atsparumas ir apsauginė geba. Zaščita Metalov. 1989, 25, 305–308. [Google Scholar]
- Hagiwara, K.; Kawasaki, J.; Ohgane, M.; Tomari, Y.; Honma, H. Investigation of life extension and optical application for electroless plating using Co (II) complex ions as a reducing Agent. J. Surf. Fin. Soc. Jpn. 2001, 52, 778–782. [Google Scholar] [CrossRef]
- Vaškelis, A.; Jačiauskienė, J.; Jagminienė, A.; Norkus, E. Obtaining of IB group metal films by novel electroless deposition method. Solid State Sci. 2002, 4, 1299–1304. [Google Scholar] [CrossRef]
- Vaškelis, A.; Jagminienė, A.; Tamašauskaitė-Tamašiūnaitė, L. Cobalt(II) anodic oxidation on silver in ammonia and ethylenediamine solutions studied by rotating disc electrode and EQCM techniques. J. Electroanal. Chem. 2002, 521, 137–143. [Google Scholar] [CrossRef]
- Vaškelis, A.; Stalnionis, G.; Jusys, Z. Cyclic voltammetry and quartz crystal microgravimetry study of autocatalytic copper(II) reduction by cobalt(II) in ethylenediamine solutions. J. Electroanal. Chem. 1999, 465, 142–152. [Google Scholar] [CrossRef]
- Vashkyalis, A.; Demontaite, O. Determination of the surface-area of silver by electrochemical deposition of a lead monolayer. Sov. Electrochem. 1978, 14, 1050–1052. [Google Scholar]
- Jusys, Z.; Stalnionis, G. Wall-jet electrochemical quartz crystal microgravimetry: Oxidation of Co(II)-ethylenediamine complexes on copper electrode. Electrochim. Acta 2000, 45, 3675–3682. [Google Scholar] [CrossRef]
- Sauerbrey, G.Z. The use of quarts oscillators for weighing thin layers and for microweighing. Z. Phys. 1959, 155, 206–222. [Google Scholar] [CrossRef]
- Cannon, R.D. Electron Transfer Reactions; Butterworth: London, UK, 1980. [Google Scholar]
Publisher’s Note: MDPI stays neutral with regard to jurisdictional claims in published maps and institutional affiliations. |











| Concentration, M | ||||
|---|---|---|---|---|
| pH | AgNO3 | CoSO4 | NH3 | (NH4)2SO4 |
| 8.75 | 0.04 | 0.10 | 0.50 | 1.75 |
| 9.2 | 0.04 | 0.10 | 1.00 | 1.50 |
| 10.2 | 0.04 | 0.10 | 2.50 | 0.75 |
| 11.2 | 0.04 | 0.10 | 3.80 | 0.10 |
| 11.5 | 0.04 | 0.10 | 6.00 | 0.50 |
© 2020 by the authors. Licensee MDPI, Basel, Switzerland. This article is an open access article distributed under the terms and conditions of the Creative Commons Attribution (CC BY) license (http://creativecommons.org/licenses/by/4.0/).
Share and Cite
Tamašauskaitė-Tamašiūnaitė, L.; Jagminienė, A.; Stankevičienė, I.; Ratautas, K.; Račiukaitis, G.; Norkus, E. Enhancing Effect of Chloride Ions on the Autocatalytic Process of Ag(I) Reduction by Co(II) Complexes. Materials 2020, 13, 4556. https://doi.org/10.3390/ma13204556
Tamašauskaitė-Tamašiūnaitė L, Jagminienė A, Stankevičienė I, Ratautas K, Račiukaitis G, Norkus E. Enhancing Effect of Chloride Ions on the Autocatalytic Process of Ag(I) Reduction by Co(II) Complexes. Materials. 2020; 13(20):4556. https://doi.org/10.3390/ma13204556
Chicago/Turabian StyleTamašauskaitė-Tamašiūnaitė, Loreta, Aldona Jagminienė, Ina Stankevičienė, Karolis Ratautas, Gediminas Račiukaitis, and Eugenijus Norkus. 2020. "Enhancing Effect of Chloride Ions on the Autocatalytic Process of Ag(I) Reduction by Co(II) Complexes" Materials 13, no. 20: 4556. https://doi.org/10.3390/ma13204556
APA StyleTamašauskaitė-Tamašiūnaitė, L., Jagminienė, A., Stankevičienė, I., Ratautas, K., Račiukaitis, G., & Norkus, E. (2020). Enhancing Effect of Chloride Ions on the Autocatalytic Process of Ag(I) Reduction by Co(II) Complexes. Materials, 13(20), 4556. https://doi.org/10.3390/ma13204556

