Investigation of Mechanical Properties of Large Shape Memory Alloy Bars under Different Heat Treatments
Abstract
1. Introduction
2. Materials and Methods
- (1)
- Residual strain : Residual strain refers to the remaining strain when the specimen returns to the state of zero stress.
- (2)
- Energy consumption per cycle : This is the area inside the hysteresis loop during each loading–unloading cycle.
- (3)
- Secant stiffness :where, Fmax(min) are the forces and δmax(min) are the displacements.
- (4)
- Equivalent viscous damping ratio : This represents the damping performance of SMA bars and is calculated as
3. Results and Discussion
3.1. Heat-Treatment Strategy Response
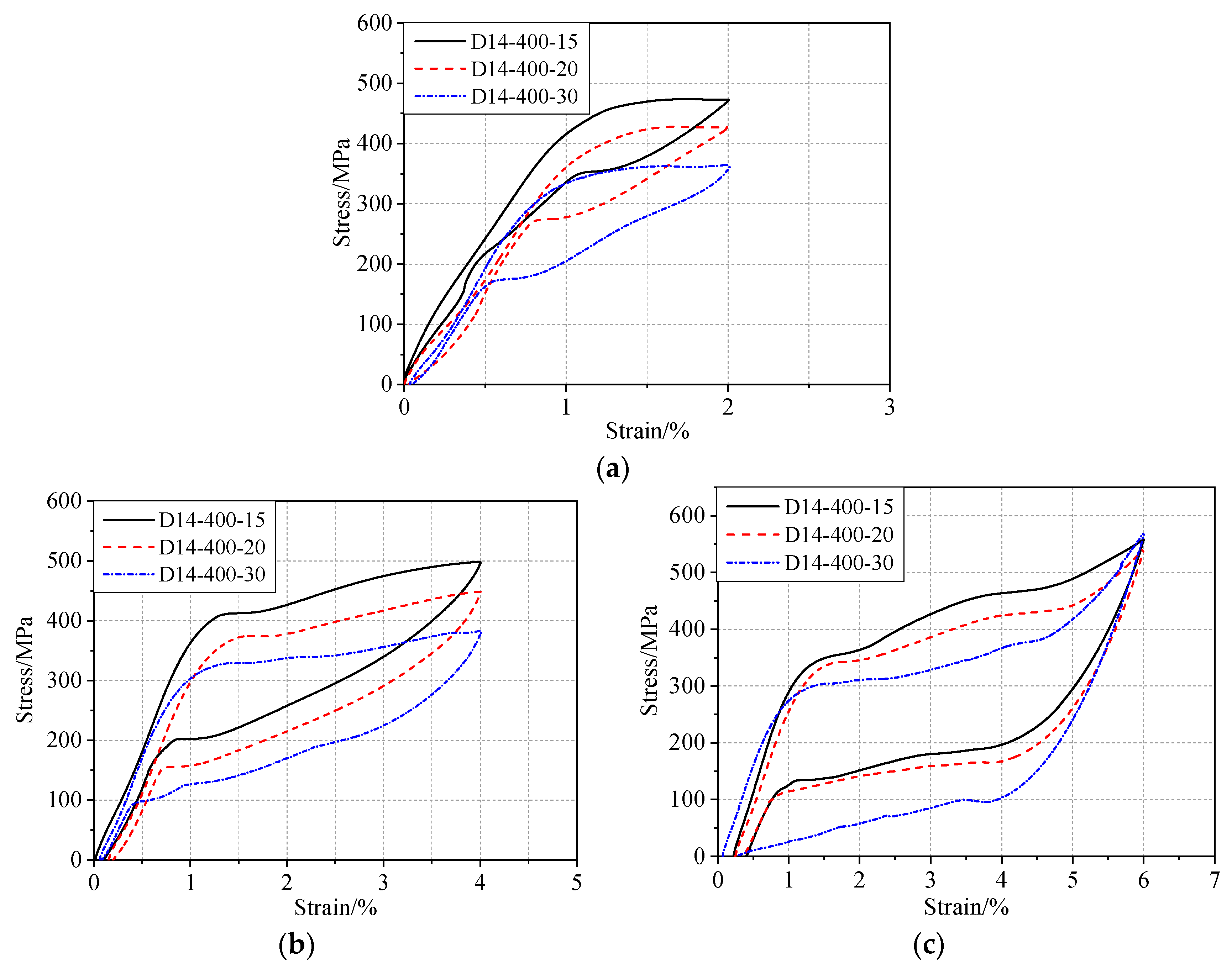
3.2. Cyclic Response at Constant Strain
3.3. Increasing Strain Amplitude
4. Conclusions
Author Contributions
Funding
Conflicts of Interest
References
- Otsuka, K.; Ren, X. Recent Developments in the Research of Shape Memory Alloys. Intermetallics 1999, 7, 511–528. [Google Scholar] [CrossRef]
- Mohd Jani, J.; Leary, M.; Subic, A.; Gibson, M.A. A Review of Shape Memory Alloy Research, Applications and Opportunities. Mater. Des. (1980–2015) 2014, 56, 1078–1113. [Google Scholar] [CrossRef]
- Bhuiyan, A.R.; Alam, M.S. Seismic Performance Assessment of Highway Bridges Equipped with Superelastic Shape Memory Alloy-Based Laminated Rubber Isolation Bearing. Eng. Struct. 2013, 49, 396–407. [Google Scholar] [CrossRef]
- Dezfuli, F.H.; Alam, M.S. Seismic Vulnerability Assessment of a Steel-Girder Highway Bridge Equipped with Different SMA Wire-Based Smart Elastomeric Isolators. Smart Mater. Struct. 2016, 25, 75039. [Google Scholar] [CrossRef]
- Ozbulut, O.E.; Hurlebaus, S. Seismic Assessment of Bridge Structures Isolated by a Shape Memory Alloy/Rubber-Based Isolation System. Smart Mater. Struct. 2011, 20, 015003. [Google Scholar] [CrossRef]
- Varela, S.; Saiidi, M. A Bridge Column with Superelastic NiTi SMA and Replaceable Rubber Hinge for Earthquake Damage Mitigation. Smart Mater. Struct. 2016, 25, 75012. [Google Scholar] [CrossRef]
- Bhowmick, S.; Mishra, S.K. Ferrous SMA (FNCATB) Based Superelastic Friction Bearing Isolator (S-FBI) Subjected to Pulse Type Ground Motions. Soil Dyn. Earthq. Eng. 2017, 100, 34–48. [Google Scholar] [CrossRef]
- Wang, B.; Zhu, S. Superelastic SMA U-shaped Dampers with Self-Centering Functions. Smart Mater. Struct. 2018, 27, 55003. [Google Scholar] [CrossRef]
- Qian, H.; Li, H.; Song, G.; Guo, W. Recentering Shape Memory Alloy Passive Damper for Structural Vibration Control. Math. Probl. Eng. 2013, 2013, 1–13. [Google Scholar] [CrossRef]
- Qian, H.; Li, H.; Song, G. Experimental Investigations of Building Structure with a Superelastic Shape Memory Alloy Friction Damper Subject to Seismic Loads. Smart Mater. Struct. 2016, 25, 125026. [Google Scholar] [CrossRef]
- Parulekar, Y.M.; Kiran, A.R.; Reddy, G.R.; Singh, R.K.; Vaze, K.K. Shake Table Tests and Analytical Simulations of a Steel Structure with Shape Memory Alloy Dampers. Smart Mater. Struct. 2014, 23, 125002. [Google Scholar] [CrossRef]
- Abdulridha, A.; Palermo, D.; Foo, S.; Vecchio, F.J. Behavior and Modeling of Superelastic Shape Memory Alloy Reinforced Concrete Beams. Eng. Struct. 2013, 49, 893–904. [Google Scholar] [CrossRef]
- Pareek, S.; Suzuki, Y.; Araki, Y.; Youssef, M.A.; Meshaly, M. Plastic Hinge Relocation in Reinforced Concrete Beams Using Cu-Al-Mn SMA Bars. Eng. Struct. 2018, 175, 765–775. [Google Scholar] [CrossRef]
- Elbahy, Y.I.; Youssef, M.A. Flexural Behaviour of Superelastic Shape Memory Alloy Reinforced Concrete Beams During Loading and Unloading Stages. Eng. Struct. 2019, 181, 246–259. [Google Scholar] [CrossRef]
- Shrestha, K.C.; Saiidi, M.S.; Cruz, C.A. Advanced Materials for Control of Post-Earthquake Damage in Bridges. Smart Mater. Struct. 2015, 24, 025035. [Google Scholar] [CrossRef]
- Xiang, N.; Chen, X.; Alam, M.S. Probabilistic Seismic Fragility and Loss Analysis of Concrete Bridge Piers with Superelastic Shape Memory Alloy-Steel Coupled Reinforcing Bars. Eng. Struct. 2020, 207, 110229. [Google Scholar] [CrossRef]
- Pereiro-Barceló, J.; Bonet, J.L.; Cabañero-Escudero, B.; Martínez-Jaén, B. Cyclic Behavior of Hybrid RC Columns Using High-Performance Fiber-Reinforced Concrete and Ni-Ti SMA Bars in Critical Regions. Compos. Struct. 2019, 212, 207–219. [Google Scholar] [CrossRef]
- Halahla, A.M.; Abu Tahnat, Y.B.; Almasri, A.H.; Voyiadjis, G.Z. The Effect of Shape Memory Alloys On the Ductility of Exterior Reinforced Concrete Beam-Column Joints Using the Damage Plasticity Model. Eng. Struct. 2019, 200, 109676. [Google Scholar] [CrossRef]
- Abdulridha, A.; Palermo, D. Behaviour and Modelling of Hybrid SMA-steel Reinforced Concrete Slender Shear Wall. Eng. Struct. 2017, 147, 77–89. [Google Scholar] [CrossRef]
- Abraik, E.; Youssef, M.A. Seismic Fragility Assessment of Superelastic Shape Memory Alloy Reinforced Concrete Shear Walls. J. Build. Eng. 2018, 19, 142–153. [Google Scholar] [CrossRef]
- Hong, C.; Qian, H.; Song, G. Uniaxial Compressive Behavior of Concrete Columns Confined with Superelastic Shape Memory Alloy Wires. Materials 2020, 13, 1227. [Google Scholar] [CrossRef] [PubMed]
- Jung, D.; Wilcoski, J.; Andrawes, B. Bidirectional Shake Table Testing of RC Columns Retrofitted and Repaired with Shape Memory Alloy Spirals. Eng. Struct. 2018, 160, 171–185. [Google Scholar] [CrossRef]
- Dolce, M.; Cardone, D. Mechanical Behaviour of Shape Memory Alloys for Seismic Applications 1. Martensite and Austenite NiTi Bars Subjected to Torsion. Int. J. Mech. Sci. 2001, 43, 2631–2656. [Google Scholar] [CrossRef]
- Dolce, M.; Cardone, D. Mechanical Behaviour of Shape Memory Alloys for Seismic Applications 2. Austenite NiTi Wires Subjected to Tension. Int. J. Mech. Sci. 2001, 43, 2657–2677. [Google Scholar] [CrossRef]
- Frick, C.P.; Ortega, A.M.; Tyber, J.; Maksound, A.E.M.; Maier, H.J.; Liu, Y.; Gall, K. Thermal Processing of Polycrystalline NiTi Shape Memory Alloys. Mater. Sci. Eng. A 2005, 405, 34–49. [Google Scholar] [CrossRef]
- Yoon, S.H.; Yeo, D.J. Phase Transformations of Nitinol Shape Memory Alloy by Varying with Annealing Heat Treatment Conditions. SPIE Smart Mater. III 2004, 5648. [Google Scholar] [CrossRef]
- Eggeler, G.; Khalil-Allafi, J.; Gollerthan, S.; Somsen, C.; Schmahl, W.; Sheptyakov, D. On the Effect of Aging On Martensitic Transformations in Ni-rich NiTi Shape Memory Alloys. Smart Mater. Struct. 2005, 14, S186–S191. [Google Scholar] [CrossRef]
- Kaya, I.; Karaca, H.E.; Nagasako, M.; Kainuma, R. Effects of Aging Temperature and Aging Time On the Mechanism of Martensitic Transformation in Nickel-Rich NiTi Shape Memory Alloys. Mater. Charact. 2020, 159, 110034. [Google Scholar] [CrossRef]
- Sadiq, H.; Wong, M.B.; Al-Mahaidi, R.; Zhao, X.L. The Effects of Heat Treatment On the Recovery Stresses of Shape Memory Alloys. Smart Mater. Struct. 2010, 19, 035021. [Google Scholar] [CrossRef]
- Sadrnezhaad, S.K.; Mirabolghasemi, S.H. Optimum Temperature for Recovery and Recrystallization of 52Ni48Ti Shape Memory Alloy. Mater. Des. 2007, 28, 1945–1948. [Google Scholar] [CrossRef]
- DesRoches, R.; McCormick, J.; Delemont, M. Cyclic Properties of Superelastic Shape Memory Alloy Wires and Bars. J. Struct. Eng. 2004, 130, 38–46. [Google Scholar] [CrossRef]
- Lin, C.; Wang, Z.; Yang, X.; Zhou, H. Experimental Study On Temperature Effects On NiTi Shape Memory Alloys Under Fatigue Loading. Materials 2020, 13, 573. [Google Scholar] [CrossRef] [PubMed]
- Balagna, C.; Fais, A.; Brunelli, K.; Peruzzo, L.; Spriano, S. Effect of Heat Treatments On a Ni-Ti Alloy Sintered by Electro-Sinter-Forging. J. Alloy. Compd. 2017, 726, 338–347. [Google Scholar] [CrossRef]
- Mentz, J.; Bram, M.; Buchkremer, H.P.; Stöver, D. Influence of Heat Treatments On the Mechanical Properties of High-Quality Ni-rich NiTi Produced by Powder Metallurgical Methods. Mater. Sci. Eng. A 2008, 481–482, 630–634. [Google Scholar] [CrossRef]
- Wang, W.; Fang, C.; Liu, J. Large Size Superelastic SMA Bars: Heat Treatment Strategy, Mechanical Property and Seismic Application. Smart Mater. Struct. 2016, 25, 75001. [Google Scholar] [CrossRef]
- Fang, C.; Zheng, Y.; Chen, J.; Yam, M.C.H.; Wang, W. Superelastic NiTi SMA Cables: Thermal-Mechanical Behavior, Hysteretic Modelling and Seismic Application. Eng. Struct. 2019, 183, 533–549. [Google Scholar] [CrossRef]
- Mas, B.; Biggs, D.; Vieito, I.; Cladera, A.; Shaw, J.; Martínez-Abella, F. Superelastic Shape Memory Alloy Cables for Reinforced Concrete Applications. Constr. Build. Mater. 2017, 148, 307–320. [Google Scholar] [CrossRef]











| Set | Diameter (mm) | Heat Temperature (°C) | Duration (min) | Cycles |
|---|---|---|---|---|
| 1 | 14.0 | 450 | 15 | / |
| 2 | 14.0 | 400 | 15/20/30 | 10 |
| 3 | 10.0 | 400 | 15 | 10 |
| 4 | 8.0 | 400 | 15 | 10 |
| 5 | 5.5 | 400 | 15 | 10 |
| Diameter (mm) | Yield Stress (MPa) | Peak Stress (MPa) | ||||||||||
|---|---|---|---|---|---|---|---|---|---|---|---|---|
| 1st | 10th | 1st | 10th | 1st | 10th | 1st | 10th | 1st | 10th | 1st | 10th | |
| 5.5 | 262.8 | 202.3 | 354.5 | 310.9 | 0.26 | 0.35 | 3.31 | 3.19 | 11.92 | 10.49 | 5.42 | 4.9 |
| 10.0 | 410.5 | 256.2 | 487.1 | 422.6 | 0.02 | 0.22 | 3.38 | 2.3 | 16.22 | 14.07 | 3.69 | 2.9 |
| 14.0 | 344.4 | 273.8 | 450.5 | 428.4 | 0.08 | 0.17 | 2.65 | 1.59 | 15.02 | 14.33 | 3.13 | 1.97 |
| Diameter (mm) | ||||||||
|---|---|---|---|---|---|---|---|---|
| 1% | 6% | 1% | 6% | 1% | 6% | 1% | 6% | |
| 5.5 | 0.25 | 0.156 | 10.42 | 42.52 | 8.06 | 0.58 | 5.7 | |
| 8.0 | 1.06 | 0.13 | 11.68 | 40.56 | 10.04 | 0.53 | 5.2 | |
| 10.0 | 0.52 | 0.14 | 10.49 | 47.11 | 9.10 | 0.48 | 5.09 | |
| 14.0 | 0.017 | 0.41 | 0.28 | 12.18 | 43.01 | 9.30 | 1.1 | 5.8 |
© 2020 by the authors. Licensee MDPI, Basel, Switzerland. This article is an open access article distributed under the terms and conditions of the Creative Commons Attribution (CC BY) license (http://creativecommons.org/licenses/by/4.0/).
Share and Cite
Kang, L.; Qian, H.; Guo, Y.; Ye, C.; Li, Z. Investigation of Mechanical Properties of Large Shape Memory Alloy Bars under Different Heat Treatments. Materials 2020, 13, 3729. https://doi.org/10.3390/ma13173729
Kang L, Qian H, Guo Y, Ye C, Li Z. Investigation of Mechanical Properties of Large Shape Memory Alloy Bars under Different Heat Treatments. Materials. 2020; 13(17):3729. https://doi.org/10.3390/ma13173729
Chicago/Turabian StyleKang, Liping, Hui Qian, Yuancheng Guo, Chenyang Ye, and Zongao Li. 2020. "Investigation of Mechanical Properties of Large Shape Memory Alloy Bars under Different Heat Treatments" Materials 13, no. 17: 3729. https://doi.org/10.3390/ma13173729
APA StyleKang, L., Qian, H., Guo, Y., Ye, C., & Li, Z. (2020). Investigation of Mechanical Properties of Large Shape Memory Alloy Bars under Different Heat Treatments. Materials, 13(17), 3729. https://doi.org/10.3390/ma13173729
