A Novel Electrochemical Process for Desulfurization in the CaO-SiO2-Al2O3 System
Abstract
1. Introduction
2. Materials and Methods
3. Results and Discussion
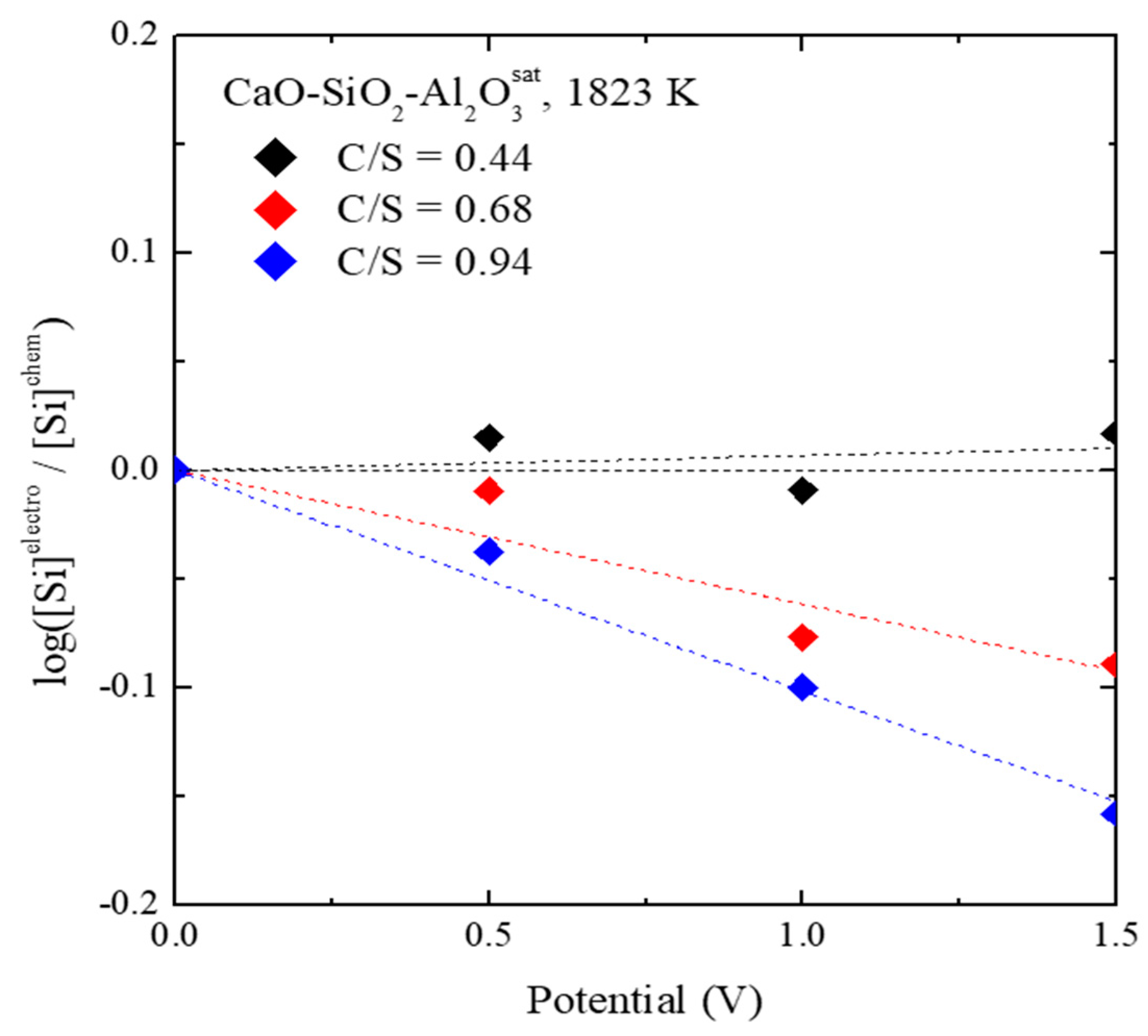
3.1. Cathodic Reaction of Sulfur
3.2. Anodic Reaction of Sulfur
4. Conclusions
- (a)
- When an anodic potential is applied, the sulfide ions are oxidized to S through the reaction described by Equation (6). Because the produced S rapidly dimerizes and vaporizes in the form of S2 gas at high temperature, sulfide ions are locally scant at the slag/metal interface. Therefore, additional chemical potential is generated and sulfur is further removed from the metal.
- (b)
- When an anodic potential is applied, sulfate ions are produced locally at the slag/metal interface according to Equation (8). The produced sulfate ions are converted to sulfide ions because of the low oxygen partial pressure () during their migration to the bulk slag. In this process, an intermediate product, SO2 gas, is present and thus sulfur evaporation occurs.
Author Contributions
Funding
Acknowledgments
Conflicts of Interest
References
- Richardson, F.D.; Fincham, C.J.B. Sulphur in silicate and aluminate slags. J. Iron Steel Inst. 1954, 178, 4–15. [Google Scholar]
- Ohtani, M.; Gokcen, N.A. Physical Chemistry of Process Metallurgy, 1st ed.; Interscience: New York, NY, USA, 1961; p. 1213. [Google Scholar]
- Ward, R.G.; Salmon, K.A. Kinetics of sulphur transfer from iron to slag. 2. Effect of applied current. J. Iron Steel Inst. 1963, 201, 222. [Google Scholar]
- Kim, D.H.; Kim, W.; Kang, Y.B. Electrochemical Transfer of S between Molten Steel and Molten Slag. Metall. Mater. Trans. B 2018, 49, 1311–1321. [Google Scholar] [CrossRef]
- Bills, P.M.; Littlewo, R. Electrolytic Desulphurization of Molten Iron. J. Iron Steel Inst. 1965, 203, 181. [Google Scholar]
- Kato, M.; Hasegawa, K.; Nomura, S.; Inouye, M. Transfer of oxygen and sulfur during direct current electroslag remelting. Trans. Iron Steel Inst. Jpn. 1983, 23, 618–627. [Google Scholar] [CrossRef]
- Sen, N.; Ghosh, M.; Banerjee, U.K.; Mazumdar, S.; Ray, H.S. Desulphurisation of high sulphur cast iron using an electrochemical technique. Scand. J. Metall. 1999, 28, 249–253. [Google Scholar]
- Kim, D.H.; Kim, W.; Kang, Y.B. Electrochemical Desulfurization of Molten Steel with Molten Slag: Reaction Rate and Current Efficiency. J. Electrochem. Soc. 2018, 165, E816–E825. [Google Scholar] [CrossRef]
- El-Gammal, T.; Yostos, B.; Pakzad, A. Indirect Electrolytic Desulphurization. Proc. Internat. Symp. Chem. Metall. Iron Steel 1973, 1973, 144–149. [Google Scholar]
- Kim, W.; Min, D.J.; Lee, Y.S.; Park, J.H. Electrochemical method for controlling the interfacial oxygen in molten Fe with ZrO2 based solid electrolyte. ISIJ Int. 2009, 49, 1882–1888. [Google Scholar] [CrossRef]
- Lee, S.H.; Min, D.J. Effects of electrochemical potential on sulfur removal in the molten CaO–SiO2–Al2O3 system. Sep. Purif. Technol. 2020, 236, 116231. [Google Scholar]
- Schoubye, P.; Christensen, K.A.; Nielsen, M.T. Process for Removal of SO2 from Off-Gases by Reaction with H2O2. U.S. Patent 7,776,299, 17 August 2010. [Google Scholar]
- Zhou, Y.; Zhu, X.; Peng, J.; Liu, Y.; Zhang, D.; Zhang, M. The effect of hydrogen peroxide solution on SO2 removal in the semidry flue gas desulfurization process. J. Hazard. Mater. 2009, 170, 436–442. [Google Scholar] [PubMed]
- Mori, T.; Moro-Oka, A.; Kokubo, H. Gaseous Desulphurization from Metallurgical Slags. Tetsu-to-Hagané 1983, 69, 582–588. [Google Scholar] [CrossRef][Green Version]
- Matsui, A.; Uchida, Y.I.; Kikuchi, N.; Miki, Y. Effects of temperature and oxygen potential on removal of sulfur from desulfurization slag. ISIJ Int. 2017, 57, 1012–1018. [Google Scholar] [CrossRef]
- Allertz, C.; Sichen, D. Possibility of Sulfur Removal from Ladle Slag by Oxidation in the Temperature Range 1373–1673 K. J. Sustain. Metall. 2015, 1, 229–239. [Google Scholar] [CrossRef]
- Turkdogan, E.T. Physical Chemistry of High Temperature Technology; Academic Press: New York, NY, USA, 1980. [Google Scholar]
- Sasaki, H.; Maeda, M. Siliconizing of iron and molybdenum by electrochemical reduction of silicon in molten SiO2–Li2O–MgO. J. Alloys Compd. 2015, 641, 64–68. [Google Scholar]
- Pauling, L. The principles determining the structure of complex ionic crystals. J. Am. Chem. Soc. 1929, 51, 1010–1026. [Google Scholar] [CrossRef]







| CaO (wt%) | SiO2 (wt%) | Al2O3 (wt%) | Basicity of Slag CaO/SiO2 (C/S) Ratio (wt%) | Initial Concentration of Sulfur in Metal (wt%) | |
|---|---|---|---|---|---|
| CSA 1 | 17.6 | 40 | 42.4 | 0.44 | 0.1 |
| CSA 2 | 22 | 32.5 | 45.5 | 0.68 | 0.1 |
| CSA 3 | 24.8 | 26.4 | 48.8 | 0.94 | 0.1 |
© 2020 by the authors. Licensee MDPI, Basel, Switzerland. This article is an open access article distributed under the terms and conditions of the Creative Commons Attribution (CC BY) license (http://creativecommons.org/licenses/by/4.0/).
Share and Cite
Lee, S.H.; Min, D.J. A Novel Electrochemical Process for Desulfurization in the CaO-SiO2-Al2O3 System. Materials 2020, 13, 2478. https://doi.org/10.3390/ma13112478
Lee SH, Min DJ. A Novel Electrochemical Process for Desulfurization in the CaO-SiO2-Al2O3 System. Materials. 2020; 13(11):2478. https://doi.org/10.3390/ma13112478
Chicago/Turabian StyleLee, Sang Hoon, and Dong Joon Min. 2020. "A Novel Electrochemical Process for Desulfurization in the CaO-SiO2-Al2O3 System" Materials 13, no. 11: 2478. https://doi.org/10.3390/ma13112478
APA StyleLee, S. H., & Min, D. J. (2020). A Novel Electrochemical Process for Desulfurization in the CaO-SiO2-Al2O3 System. Materials, 13(11), 2478. https://doi.org/10.3390/ma13112478

