Next Article in Journal
Conductomeric Evaluation of the Release Kinetics of Active Substances from Pharmaceutical Preparations Containing Iron Ions
Next Article in Special Issue
Influence of Manufacturing Parameters on Mechanical Properties of Porous Materials by Selective Laser Sintering
Previous Article in Journal
Study of Catalytic Combustion of Chlorobenzene and Temperature Programmed Reactions over CrCeOx/AlFe Pillared Clay Catalysts
Previous Article in Special Issue
Numerical Simulation of Thermal Conductivity of Foam Glass Based on the Steady-State Method
 
 
Font Type:
Arial Georgia Verdana
Font Size:
Aa Aa Aa
Line Spacing:
Column Width:
Background:
Article

Size-Dependent Free Vibration and Buckling of Three-Dimensional Graphene Foam Microshells Based on Modified Couple Stress Theory

1
Department of Mechanics, Northeastern University, Shenyang 110819, China
2
Key Laboratory of Ministry of Education on Safe Mining of Deep Metal Mines, Northeastern University, Shenyang 110819, China
*
Author to whom correspondence should be addressed.
Materials 2019, 12(5), 729; https://doi.org/10.3390/ma12050729
Submission received: 22 January 2019 / Revised: 19 February 2019 / Accepted: 27 February 2019 / Published: 2 March 2019

Abstract

:
In this research, the vibration and buckling of three-dimensional graphene foam (3D-GrF) microshells are investigated for the first time. In the microshells, three-dimensional graphene foams can distribute uniformly or non-uniformly through the thickness direction. Based on Love’s thin shell theory and the modified couple stress theory (MCST), size-dependent governing equations and corresponding boundary conditions are established through Hamilton’s principle. Then, vibration and axial buckling of 3D-GrF microshells are analyzed by employing the Navier method and Galerkin method. Results show that the graphene foam distribution type, size effect, the foam coefficient, the radius-to-thickness ratio, and the length-to-radius ratio play important roles in the mechanical characteristics of 3D-GrF microshells.

1. Introduction

Three-dimensional graphene foams (3D-GrFs) [1,2,3], unlike conventional polymeric open-cell foam materials, are a very new kind of nanofoam materials with three-dimensionally interconnected constituent graphene flakes. These 3D-GrFs have been synthesized by some approaches such as hard templating [4], sol–gel reaction [5], solution processing [6], powder metallurgy [7], 3D printing [8], freeze drying [9], hydrothermal reduction [10], and chemical vapor deposition [11]. These 3D-GrFs possess excellent properties of good electrical conductivity, high energy dissipation, super low density, superelasticity, and electrochemical stability [12,13,14,15]. These combined properties enable 3D-GrFs to be applied in electronics and energy storage/conversion systems [16,17], gas detection [15], sorbent materials [18], stretchable electronics [11], and so on.
In contrast to many experimental studies on the mechanical property of 3D-GrFs, few computational and theoretical investigations have been conducted to evaluate the relationship between the macro-mechanical characteristics and the intrinsic micro/nanostructures. Jinlong et al. [19] investigated and discussed the effects of graphene layer number and 3D-GrF defects on the electrical and mechanical properties of 3D-GrFs. Based on the coarse-grained molecular dynamics simulation, the constitutive relation between 3D-GrFs and microscopic deformation mechanisms were investigated by Wang et al. [20]. The mechanical properties in both tension and compression of 3D-GrFs at macro and nanoscales were evaluated by Nieto et al. [21]. Qin et al. [3] stated that 3D-GrFs have an exceptionally high tensile strength and they are 10 times as strong as mild steel. Nautiyal et al. [22] studied the dynamic mechanical properties of 3D-GrFs by nanoindentation technique.
As material size changes from macroscale to nano/microscale, size effect on mechanical properties of materials should be taken into account. It is reported that size effects in micro/nanostructures have been experimentally observed [23,24,25]. Due to the exclusion of size effect in the classical theory (CT), several non-classical theories were developed for analysis of micro/nanostructures. One of the non-classical theories incorporating size effect is the modified couple stress theory [26,27]. This theory has been employed in many aspects to interpret the size effect in micro/nanostructures [28,29,30,31,32,33,34].
Micro/nanoshells are an important and widely used form of micro/nanostructures in various engineering fields. Gholami et al. [35] analyzed the dynamic stability and axial buckling of functionally graded cylindrical microshells. Based on the strain gradient elasticity theory, Zhang et al. [36] developed a shear deformable functionally graded microshell model. Ghayesh and Farokhi [37] studied the nonlinear dynamical characteristics of doubly curved shallow microshells. SafarPour et al. [38] investigated the influences of various temperature distributions on the vibration of functionally graded rotating cylindrical microshells. Afterward, the buckling behavior of functionally graded sandwich microshells under axial loads was studied by Zeighampour and Shojaeian [39]. Wang et al. [40] studied nonlinear vibrations of cylindrical nanoshells conveying fluid in the framework of the surface stress elasticity theory.
To date, no work has been published on the mechanical properties of 3D-GrF microshells. In this paper, we aim to conduct size-dependent buckling and free vibration analysis of 3D-GrF cylindrical microshells. The couple stress theory and Love’s thin shell theory are used to derive the governing equations. After that, natural frequencies and critical buckling loads are solved by adopting the Navier method and Galerkin method. Finally, the results are illustrated for different parameters.

2. Theoretical Formulation

2.1. Modified Couple Stress Theory

Based on the modified couple stress theory, the strain energy Us in a deformed elastic body occupying a volume Ω is [27]
U s = 1 2 Ω ( m : χ + σ : ε ) d V
where m represents the deviatoric part of the couple stress tensor; χ is the symmetric curvature tensor; σ is the Cauchy stress tensor; ε is the strain tensor. These tensors are defined by [41]:
σ = λ   t r ( ε ) I + 2 μ ε
m = 2 l 2 μ χ
ε = 1 2 [ u + ( u ) T ]
χ = 1 2 [ θ + ( θ ) T ]
where μ and λ represent Lamé constants; u represents the displacement vector; l represent a material length scale parameter; θ is the rotation vector given by
θ = 1 2 curl   u .
The classical and higher-order strains are derived as [42,43]
ε ( j ) ( i ) = ε j i g i i _ g j j _ = 1 2 g i i _ g j j _ { [ ( u ( i ) g i i _ ) , j + Γ m j i u ( m ) g m m _ ] + g n j g i m [ ( u ( n ) g n n _ ) , m + Γ q m n u ( q ) g q q _ ] } ,
η ( i )   ( j ) ( k ) = η i   j k g k k _ g i i _ g j j _ = 1 2 g k k _ g i i _ g j j _ ( u ; i j k + u ; j i k ) ,
u ; l m k = ( u ( k ) g k k _ ) , l m + Γ q l k ( u ( q ) g q q _ ) , m + Γ q m k ( u ( q ) g q q _ ) , l Γ m l q ( u ( k ) g k k _ ) , q + [ ( Γ l p k ) , m + Γ q m k Γ p l q Γ p q k Γ m l q ] × u ( p ) g p p _ ,
where η ( i )   ( j ) ( k ) , ε ( j ) ( i ) , and u(k) represent the physical components of higher-order displacement gradient η i   j k , displacement gradient ε j i , and displacement vector uk, respectively; gii and Γ j k i denote an individual diagonal covariant component of the Euclidean metric tensor and Christoffel symbols of the second kind, respectively. The underscores under the indices denote no summation over indices. In cylindrical coordinates, the components of metric tensor and Christoffel symbols are expressed as
g θ θ = [ R ( 1 + z R ) ] 2 , g x x = 1   , g z z = 1 , g k l = 0   ( k l ) , Γ θ θ z = R ( 1 + z R ) , Γ θ z θ = Γ z θ θ = [ R ( 1 + z R ) ] 1 .
Substituting Equations (9) and (10) into Equation (8) gives
η x x x = 2 u x 2 , η x x θ = 2 v x 2 , η x θ θ = η θ x θ = [ R ( 1 + z R ) ] 1 [ 2 v x θ + w x ] , η x x z = 2 w x 2 , η z x x = η x z x = 2 u z x , η z z z = 2 w z 2 , η θ x x = η x θ x = [ R ( 1 + z R ) ] 1 2 u x θ , η z θ θ = η θ z θ = [ R ( z R + 1 ) ] 1 × { 2 v z θ + w z [ R ( 1 + z R ) ] 1 w [ R ( 1 + z R ) ] 1 v θ } , η z θ z = η θ z z = [ R ( z R + 1 ) ] 1 × { 2 w z θ v z [ R ( 1 + z R ) ] 1 w θ [ R ( z R + 1 ) ] 1 v } , η z x z = η x z z = 2 w z x , η z z θ = 2 v z 2 , η x θ z = η θ x z = [ R ( 1 + z R ) ] 1 ( 2 w x θ v x ) , η θ θ x = [ R ( z R + 1 ) ] 1 { [ R ( 1 + z R ) ] 1 2 u θ 2 + u z } , η θ θ θ = [ R ( z R + 1 ) ] 2 [ 2 v θ 2 + 2 w θ + R ( 1 + z R ) v z v ] , η θ θ z = [ R ( z R + 1 ) ] 2 [ 2 w θ 2 2 v θ + R ( 1 + z R ) w z w ] .

2.2. 3D-GrF Circular Cylindrical Microshell

In Figure 1, a 3D-GrF microshell with the thickness h, the middle-plane radius R, and the length L is shown. u(x, θ, t), v(x, θ, t), and w(x, θ, t) represent the in-plane and transverse displacements of points at the middle plane; N x x 0 represents the axial load applied to the microshell.
Three types of foam distributions in the thickness direction were considered, as shown in Figure 2. Herein, Figure 2a,b depict non-uniform foam distribution while Figure 2c shows uniform foam distribution. They are denoted by 3D-GrF-I, 3D-GrF-II, and 3D-GrF-U, respectively. As shown in Figure 2, the largest foams are located on the mid-plane for 3D-GrF-I while on the top and bottom surfaces for 3D-GrF-II, leading to the variations of material properties given in Equations (12)–(14) for 3D-GrF-I, and Equations (15)–(17) for 3D-GrF-II. Material properties of 3D-GrF-U are described in Equations (18)–(20). They are given by [44,45,46]:
E ( z ) = E 1 [ 1 κ 0 cos ( π z / h ) ]
ρ ( z ) = ρ 1 [ 1 κ m cos ( π z / h ) ]
G ( z ) = G 1 [ 1 κ 0 cos ( π z / h ) ]
E ( z ) = E 1 { 1 κ 0 [ 1 cos ( π z / h ) ] }
ρ ( z ) = ρ 1 { 1 κ m [ 1 cos ( π z / h ) ] }
G ( z ) = G 1 { 1 κ 0 [ 1 cos ( π z / h ) ] }
E ( z ) = E 1 ϑ
ρ ( z ) = ρ 1 ϑ
G ( z ) = G 1 ϑ
where E(z), ρ(z), and G(z) are general Young’s modules, mass density, and shear modules of the 3D-GrF microshell, respectively; E1, G1, and ρ1 represent corresponding properties of solid graphenes without internal foams; κ 0 and κ m represent coefficients of foams and mass density for 3D-GrF-I, respectively; κ 0 and κ m are corresponding coefficients for 3D-GrF-II; ϑ and ϑ are corresponding coefficients for 3D-GrF-U. Thereinto, shear modulus G1 is calculated by
G 1 = E 1 2 ( 1 + ν )
where ν represents Poisson’s ratio.
The typical mechanical property of 3D-GrFs [3,20,21], shown in Equation (22), is employed to establish the relationships in Equation (23) between mass density coefficients and foam coefficients for different foam distributions:
E ( z ) E 1 = [ ρ ( z ) ρ 1 ] 2.73
{ 1 κ m cos ( π z / h ) = 1 κ 0 cos ( π z / h ) 2.73 3 D GrF I 1 κ m [ 1 cos ( π z / h ) ] = 1 κ 0 [ 1 cos ( π z / h ) ] 2.73 3 D GrF II ϑ = ϑ 2.73 3 D GrF U
The masses of all 3D-GrF microshells with varying foams are set to be equivalent, namely
{ 0 h / 2 1 κ 0 [ 1 cos ( π z / h ) ] 2.73 d z = 0 h / 2 1 κ 0 cos ( π z / h ) 2.73 d z 0 h / 2 ϑ 2.73 d z = 0 h / 2 1 κ 0 cos ( π z / h ) 2.73 d z
which can be used to determine κ 0 and ϑ with a given value of κ 0 , as tabulated in Table 1. It is seen that κ 0 rises dramatically with the increase of κ 0 . When κ 0 reaches 0.65, κ 0 is close to the upper limit ( κ 0 = 0.9976 ). Therefore, the selected range of κ 0 [0, 0.65] is applied in the following numerical calculations.
The displacement fields, based on Love’s thin shell theory, are expressed as [47]
u 1 ( x , θ , z , t ) = u ( x , θ , t ) z w ( x , θ , t ) x
u 2 ( x , θ , z , t ) = v ( x , θ , t ) z R [ w ( x , θ , t ) θ v ( x , θ , t ) ]
u 3 ( x , θ , z , t ) = w ( x , θ , t )
where t is time, and u 1 ( x , θ , z , t ) , u 2 ( x , θ , z , t ) , and u 3 ( x , θ , z , t ) are displacements of an arbitrary point of the microshell along x-, θ -, and z-axes, respectively.
By substituting Equations (25)–(27) and Equation (10) into Equation (7), strain–displacement relations are expressed as:
ε x x = u x z 2 w x 2
ε θ θ = 1 R v θ + w R z R 2 2 w θ 2
γ x θ = v x + 1 R u θ 2 z R 2 w θ x .
Nonzero components of χ can be obtained by substituting Equations (25)–(27) into Equation (11) and using Equation (5):
χ x x = 1 R ( v x 2 w x θ )
χ z z = 1 2 R 2 ( u θ 2 z 2 w x θ + R v x )
χ θ θ = 1 2 R ( v x 2 2 w x θ 1 R u θ )
χ x θ = χ θ x = 1 2 ( 2 w x 2 1 R 2 v θ + 1 R 2 2 w θ 2 )
χ x z = χ z x = 1 4 ( 2 v x 2 1 R 2 u x θ z 2 R 2 3 w x 2 θ )
χ z θ = χ θ z = 1 4 R ( 1 R 2 u θ 2 z 2 R 2 3 w x θ 2 + 2 v x θ + 2 w x ) .
According to Equation (1), the strain energy can be written as
U s = 1 2 0 L 0 2 π [ N x x u x + ( N x θ R Y θ θ 2 R 2 + Y z z 2 R 2 ) u θ Y z θ 2 R 2 2 u θ 2 Y z x 2 R 2 u x θ + ( N x θ Y x x R + Y z z 2 R + Y θ θ 2 R ) v x + Y z x 2 2 v x 2 + Y z θ R w x + ( N θ θ R Y x θ R 2 ) v θ + Y z θ 2 R 2 v x θ + ( Y x x M x x Y x θ ) 2 w x 2 + ( Y θ θ M θ θ R 2 + Y x θ R 2 ) 2 w θ 2 + ( Y x θ + Y z θ 2 M x θ R + Y x x R Y θ θ R T z z R 2 ) 2 w x θ + N θ θ R w ] R d θ d x
The non-classical and classical moments and forces are given by
T i j = h 2 h 2 m i j z d z , Y i j = h 2 h 2 m i j d z , M i j = h 2 h 2 σ i j z d z , N i j = h 2 h 2 σ i j d z .
The kinetic energy of the microshell is
T = 1 2 V ρ ( z ) [ ( u t z 2 w x t ) 2 + ( v t z R 2 w θ t ) 2 + ( w t ) 2 ] d V .
The work performed by axial load N x x 0 applied on the middle surface of the 3D-GrF microshell is given by [48]
W F = A [ 1 2 N x x 0 ( w x ) 2 ] d A .
Using Hamilton’s principle [49,50,51,52,53,54]
0 t ( δ U s δ T δ W F ) d t = 0
and applying Equations (37), (39) and (40) in Equation (41), the governing equations of motion for the 3D-GrF cylindrical microshell are
D 1 , 0 2 u x 2 + D 5 , 0 l 2 4 R 2 4 u x 2 θ 2 D 5 , 0 l 2 4 R 4 v x 3 θ 1 R ( D 3 , 0 + D 5 , 0 ) 2 v x θ D 5 , 0 l 2 4 R 3 4 v x θ 3 1 R D 3 , 0 w x + ( 1 R 2 D 3 , 1 + 2 R 2 D 5 , 1 + l 2 R 4 D 5 , 1 3 l 2 2 R 3 D 5 , 0 ) 3 w x θ 2 D 5 , 0 R 2 ( 1 + l 2 R ) 2 u θ 2 + D 5 , 0 l 2 4 R 4 4 u θ 4 + D 1 , 1 3 w x 3 I 1 , 1 3 w x t 2 + I 1 , 0 2 u t 2 = 0
l 2 4 D 5 , 0 4 v x 4 D 5 , 0 ( 1 + 3 l 2 R 2 ) 2 v x 2 1 R 2 ( D 1 , 0 + l 2 R 2 D 5 , 0 ) 2 v θ 2 + l 2 4 R 2 D 5 , 0 4 v x 2 θ 2 l 2 4 R D 5 , 0 4 u x 3 θ l 2 4 R 3 D 5 , 0 4 u x θ 3 1 R ( D 3 , 0 + D 5 , 0 ) 2 u x θ + ( 1 R D 3 , 1 + 2 R D 5 , 1 + l 2 R 3 D 5 , 1 + D 5 , 0 5 l 2 2 R 2 ) 3 w x 2 θ + l 2 R 4 D 5 , 0 3 w θ 3 1 R 2 D 1 , 0 w θ + 1 R 3 D 1 , 1 3 w θ 3 1 R I 1 , 1 3 w θ t 2 + I 1 , 0 2 v t 2 = 0
( D 1 , 2 + l 2 D 5 , 0 ) 4 w x 4 ( 2 R D 3 , 1 + D 5 , 0 l 2 R 2 ) 2 w x 2 + 1 R D 3 , 0 u x + 1 R 2 D 1 , 0 w + 1 R 2 ( 2 D 3 , 2 + 4 D 5.2 + l 2 R 2 D 5.2 + 2 l 2 D 5.0 ) 4 w x 2 θ 2 + 1 R 2 D 1 , 0 v θ 1 R 2 ( D 3 , 1 + 2 D 5 , 1 + l 2 R 2 D 5.1 D 5.0 3 l 2 2 R ) 3 u x θ 2 ( 1 R 3 D 1 , 1 + l 2 R 4 D 5.0 ) 3 v θ 3 1 R ( D 3 , 1 + 2 D 5 , 1 + l 2 R 2 D 5.1 + D 5.0 5 l 2 2 R ) 3 v x 2 θ + 1 R 4 ( D 1 , 2 + l 2 D 5.0 ) 4 w θ 4 D 1 , 1 3 u x 3 2 R 3 D 1 , 1 2 w θ 2 I 1 , 2 w x 2 t 2 1 R 2 I 1 , 2 4 w θ 2 t 2 + I 1 , 1 3 u x t 2 + 1 R I 1 , 1 3 v θ t 2 + I 1 , 0 2 w t 2 + N x x 0 2 w x 2 = 0
where
D 1 , i = h 2 h 2 E ( z ) 1 ν 2   z i d z    ( i = 0 , 1 , 2 )
D 3 , i = h 2 h 2 E ( z ) ν 1 ν 2   z i d z    ( i = 0 , 1 , 2 )
D 5 , i = h 2 h 2 μ ( z )   z i d z    ( i = 0 , 1 , 2 )
I 1 , i = h 2 h 2 ρ ( z )   z i d z    ( i = 0 , 1 , 2 ) .
Boundary conditions at the edges with x = constant are
δ u x = 0 , L = 0 or θ [ D 1 , 0 u x D 5 , 0 l 2 4 R 2 3 u x θ 2 + D 5 , 0 l 2 4 R 3 v x 2 θ + 1 R D 3 , 0 ( v θ + w ) D 1 , 1 2 w x 2 1 R 2 D 3 , 1 2 w θ 2 ] d θ | x = 0 , L = 0
δ v x = 0 , L = 0 or θ [ D 5 , 0 l 2 4 3 v x 3 + ( 1 + 3 l 2 R 2 ) D 5 , 0 v x D 5 , 0 l 2 4 R 2 3 v x θ 2 + D 5 , 0 l 2 4 R 3 u x 2 θ + D 5 , 0 l 2 4 R 3 3 u θ 3 + D 5 , 0 R u θ ( 7 l 2 D 5 , 0 2 R 2 + 2 D 5 , 1 R + l 2 D 5 , 1 R 3 ) 2 w x θ ] d θ | x = 0 , L = 0
δ ( v x ) | x = 0 , L = 0 or θ ( D 5 , 0 l 2 4 2 v x 2 D 5 , 0 l 2 4 R 2 u x θ ) d θ | x = 0 , L = 0
δ w | x = 0 , L = 0 or θ [ ( D 1 , 2 + D 5 , 0 l 2 ) 3 w x 3 + ( D 5 , 0 l 2 R 2 ) w x ( 1 R 2 D 3 , 2 + 4 D 5 , 2 R 2 + 3 D 5 , 0 l 2 R 2 + 2 D 5 , 2 l 2 R 4 ) 3 w x θ 2 + D 1 , 1 2 u x 2 + ( 5 D 5 , 0 l 2 2 R 2 + 1 R D 3 , 1 + 2 R D 5 , 1 + l 2 R D 5 , 1 ) 2 v x θ + ( 2 R 2 D 5 , 1 + l 2 R 4 D 5 , 1 3 D 5 , 0 l 2 2 R 3 ) 2 u θ 2 ] d θ | x = 0 , L = 0
δ ( w x ) | x = 0 , L = 0 or θ [ ( D 1 , 2 + D 5 , 0 l 2 ) 2 W x 2 + ( D 3 , 2 R 2 D 5 , 0 l 2 R 2 ) 2 w θ 2 + ( D 5 , 0 l 2 R 2 1 R D 3 , 1 ) v θ D 1 , 1 u x 1 R D 3 , 1 w ] d θ | x = 0 , L = 0
Boundary conditions at the edges with θ = constant are:
δ u | θ = 0 , θ 0 = 0 or x [ D 5 , 0 R 2 ( 1 + l 2 R 2 ) u θ D 5 , 0 l 2 4 R 2 3 u x 2 θ + D 5 , 0 l 2 4 R 3 3 v x θ 2 + D 5 , 0 R v x + ( 3 D 5 , 0 l 2 2 R 3 2 D 5 , 1 R 2 l 2 D 5 , 1 R 4 ) 2 w x θ ] d x | θ = 0 , θ 0 = 0
δ v | θ = 0 , θ 0 = 0 or x [ ( 1 R 2 D 1 , 0 + D 5 , 0 l 2 R 4 ) v θ + 1 R D 3 , 0 u x + 1 R 2 D 1 , 0 w + ( D 5 , 0 l 2 2 R 2 1 R D 3 , 1 ) 2 w x 2 D 5 , 0 l 2 4 R 2 3 v x 2 θ + D 5 , 0 l 2 4 R 3 3 u x θ 2 ( D 5 , 0 l 2 R 4 + 1 R 3 D 1 , 1 ) 2 w θ 2 ] d x | θ = 0 , θ 0 = 0
δ ( u θ ) | θ = 0 , θ 0 = 0 or x ( D 5 , 0 l 2 4 R 4 2 u θ 2 D 5 , 0 l 2 4 R 3 2 v x θ D 5 , 0 l 2 2 R 3 w x ) d x | θ = 0 , θ 0 = 0
δ w | θ = 0 , θ 0 = 0 or x [ ( 1 R 4 D 1 , 2 + D 5 , 0 l 2 R 4 ) 3 w θ 3 + 3 D 5 , 0 l 2 R 2 2 v x 2 ( 1 R 2 D 3 , 2 + 4 D 5 , 2 R 2 + 3 D 5 , 0 l 2 R 2 + 2 D 5 , 2 l 2 R 4 ) 3 w x 2 θ + ( D 5 , 0 l 2 R 4 + 1 R 3 D 1 , 1 ) 2 v θ 2 + ( 1 R 2 D 3 , 1 D 5 , 0 l 2 R 3 ) 2 u x θ + 1 R 3 D 1 , 1 w θ ] d x | θ = 0 , θ 0 = 0
δ ( w θ ) | θ = 0 , θ 0 = 0 or x [ ( 1 R 4 D 1 , 2 + 1 R 4 D 5 , 0 l 2 ) 2 w θ 2 + ( D 3 , 2 R 2 D 5 , 0 l 2 R 2 ) 2 w x 2 ( D 5 , 0 l 2 R 4 + 1 R 3 D 1 , 1 ) v θ 1 R 2 D 3 , 1 u x 1 R 3 D 1 , 1 w ] d x | θ = 0 , θ 0 = 0

3. Free Vibration and Buckling Analysis

3.1. Navier Solution

For simply supported–simply supported (SS–SS) 3D-GrF cylindrical microshells, the displacement functions using the Navier method can be expressed as:
u ( x , θ , t ) = U m n cos ( m π x L ) cos ( n θ ) e i ω t
v ( x , θ , t ) = V m n sin ( m π x L ) sin ( n θ ) e i ω t
w ( x , θ , t ) = W m n sin ( m π x L ) cos ( n θ ) e i ω t
where U m n , V m n , and W m n represent the displacement amplitude components; m and n are mode numbers; and ω is natural circular frequency of the 3D-GrF microshell. Obviously, displacement functions in Navier solution procedure satisfy the SS–SS boundary condition.
Substituting Equations (55)–(57) into Equations (42)–(44) and then removing trigonometric functions lead to
( K + N x x 0 K g ) d + M d ¨ = { 0 0 0 }
where d = [ U m n ,   V m n ,   W m n ] T ; K, Kg, and M denote stiffness matrix, geometric stiffness matrix, and mass matrix, respectively. The non-zero elements in the above matrices are given in the Appendix A.
Neglecting axial load N x x 0 , Equation (58) is reduced to the following eigenvalue problem of the 3D-GrF microshell:
( K ω 2 M ) d = { 0 0 0 } .
If disregarding inertia terms and assuming N x x 0 = P , Equation (58) is reduced to the equilibrium equations of a static buckling problem of the 3D-GrF microshell:
( K P K g ) d = { 0 0 0 }
where P represents buckling load. Therefore, the critical (minimum) buckling load Pcr and vibration frequencies of the 3D-GrF microshell are obtained by solving the above eigenvalue problems [55,56,57].

3.2. Galerkin Solution

In order to analyze free vibration of 3D-GrF microshells with other boundary conditions, a Galerkin-based solution technique is utilized. Therein, the spatial displacement field of the microshell can be expressed as [58]
u ( x , θ , t ) = U m n ϕ ( x ) x cos ( n θ ) e i ω t
v ( x , θ , t ) = V m n ϕ ( x ) sin ( n θ ) e i ω t
w ( x , θ , t ) = W m n ϕ ( x ) cos ( n θ ) e i ω t .
Thereinto, the axial modal function ϕ(x) is:
ϕ ( x ) = c 1 cosh ( λ i x L ) + c 2 cos ( λ i x L ) ζ i [ c 3 sinh ( λ i x L ) + c 4 sin ( λ i x L ) ] .
The simply supported boundary condition is expressed as
2 ϕ ( x ) x 2 = ϕ ( x ) = 0    ( x = 0 , L ) .
The clamped boundary condition is expressed as
ϕ ( x ) x = ϕ ( x ) = 0    ( x = 0 , L ) .
The free boundary condition is
2 ϕ ( x ) x 2 = 3 ϕ ( x ) x 3 = 0    ( x = 0 , L ) .
Herein, free–simply supported (F–SS), clamped–free (C–F), clamped–simply supported (C–SS), free–free (F–F), and clamped–clamped (C–C) boundary conditions are taken into account. Based on Equations (65)–(67), the constants c1, c2, c3, c4, λi, and ζi (i = 1, 2, 3, 4…) are given in Table 2.
Substituting Equations (61)–(63) into Equations (42)–(44) and neglecting axial load N x x 0 , then applying the Galerkin method [59,60,61,62], yields
( K 1 ω 2 M 1 ) { U m n V m n W m n } = { 0 0 0 }
where M1 and K1 represent the mass matrix and stiffness matrix, respectively. By solving the eigenvalue problem, the natural frequencies and eigenvectors are obtained.

4. Results and Discussion

In order to verify the correctness of the derivation in this paper, we chose an SS–SS isotropic homogeneous shell to make a comparison without considering the small-scale effect (l = 0). The system parameters used are as follows: ρ = 2300 kg/m3, ν = 0.3, E = 1.06 TPa, R = 2.32 nm, L/R = 5. As can be seen in Table 3, very good agreement was achieved.
Considering the scale effect, dimensionless natural frequencies of an isotropic homogeneous cylindrical nanoshell were calculated, and are compared with the literature in Table 4. Here the parameters used are the same as those in Table 3. It was found that the present results match those given by Beni et al. [42] well, bespeaking the validity of the present study.
To make further comparisons, we considered a homogeneous cylindrical shell with the C–C boundary condition. The comparison result is listed in Table 5. It can be seen that the present results agree well with those in the literature [64].
Hereinafter, we conducted free vibration and buckling analyses of 3D-GrF cylindrical microshells. If not specified, the geometrical and material properties of the 3D-GrF microshell are:
E 1 = 1.02   TPa ,    ρ 1 = 2300   kg / m 3 ,    ν = 0.3 l = 15   μ m ,    m = 1 ,    h = 15   μ m ,    R / h = 40 ,    L / R = 2
In Figure 3, Figure 4 and Figure 5, natural frequencies of 3D-GrF microshells under various boundary conditions are shown for different foam distributions, where κ0 = 0.2. For all six of the boundary conditions, one can see the natural frequencies first decreased and then increased as circumferential number n increased. The minimum frequency occurred at n = 2 for the C–F boundary condition and occurred at n = 3 for the other boundary conditions. In addition, the natural frequency of the C–F microshell was the lowest while that of the F–F one was the highest. When the circumferential wave number was greater than 5, natural frequencies under various boundary conditions tended toward the same value. This result shows that the boundary condition effect was closely associated with the circumferential wave number.
Based on the modified couple stress theory and classical continuum theory, Figure 6 shows the natural frequency versus dimensionless length scale parameter for the SS–SS 3D-GrF microshell, where n = 3 and κ0 = 0.2. One can see that the natural frequency from the modified couple stress theory increased while that from the classical theory did not change with length scale parameter. This is because size effect tends to increase the stiffness of the 3D-GrF microshell. Nevertheless, the classical shell theory fails to incorporate this effect and thus produces inaccurate results.
Figure 7 gives the variation of natural frequency against the foam coefficient for different foam distributions. The results show that the increase in the foam coefficient led to a decrease in the natural frequencies of 3D-GrF cylindrical microshells. When the foam coefficient was small, the 3D-GrF-I microshell had the highest natural frequency while the 3D-GrF-II one had the lowest natural frequency. With the increase in the foam coefficient, however, the natural frequency of the 3D-GrF-U microshell dropped faster than that of the 3D-GrF-II one. At last, the 3D-GrF-U microshell had the lowest natural frequency among the three types of foam distribution, except in the C–F boundary condition.
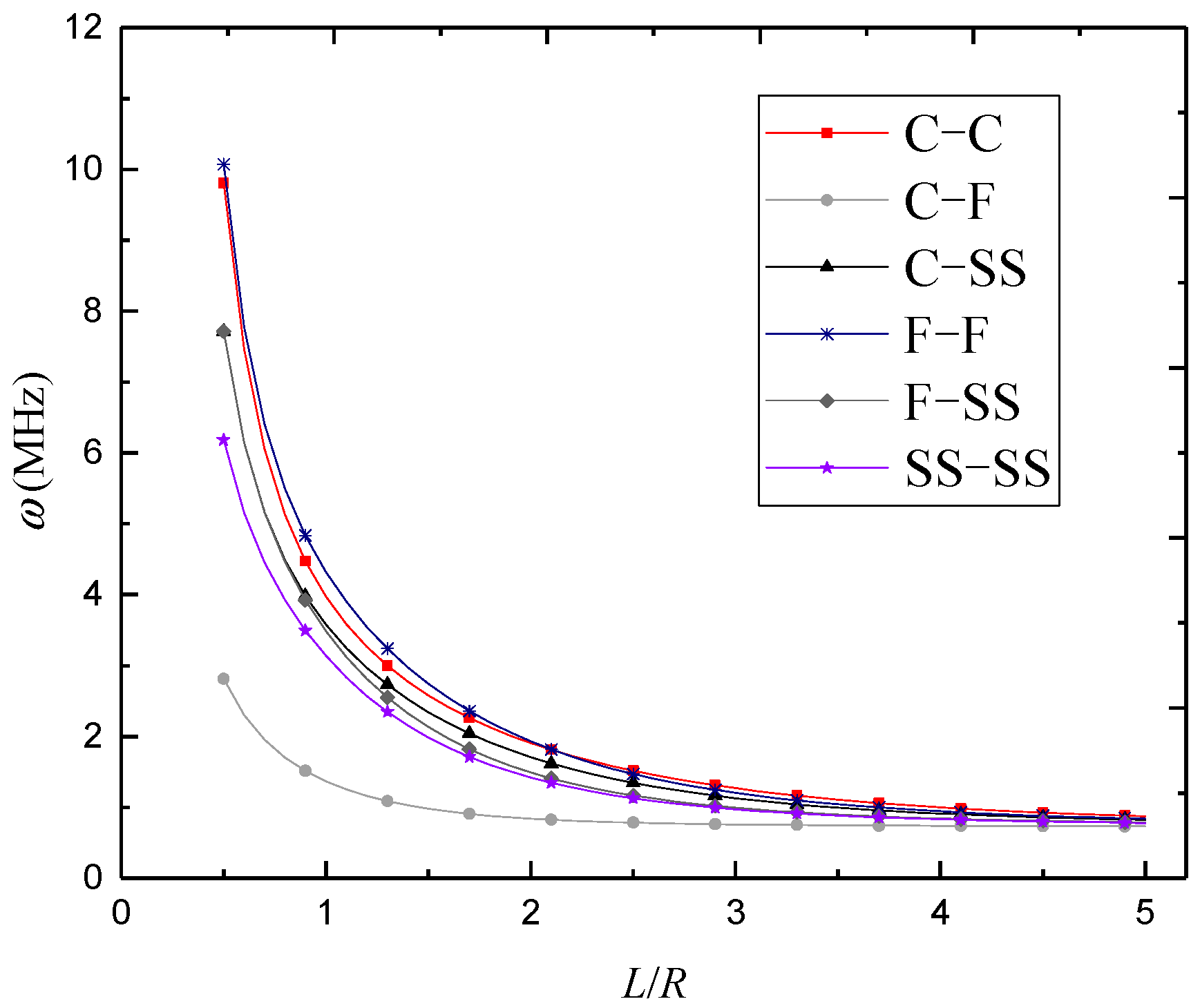
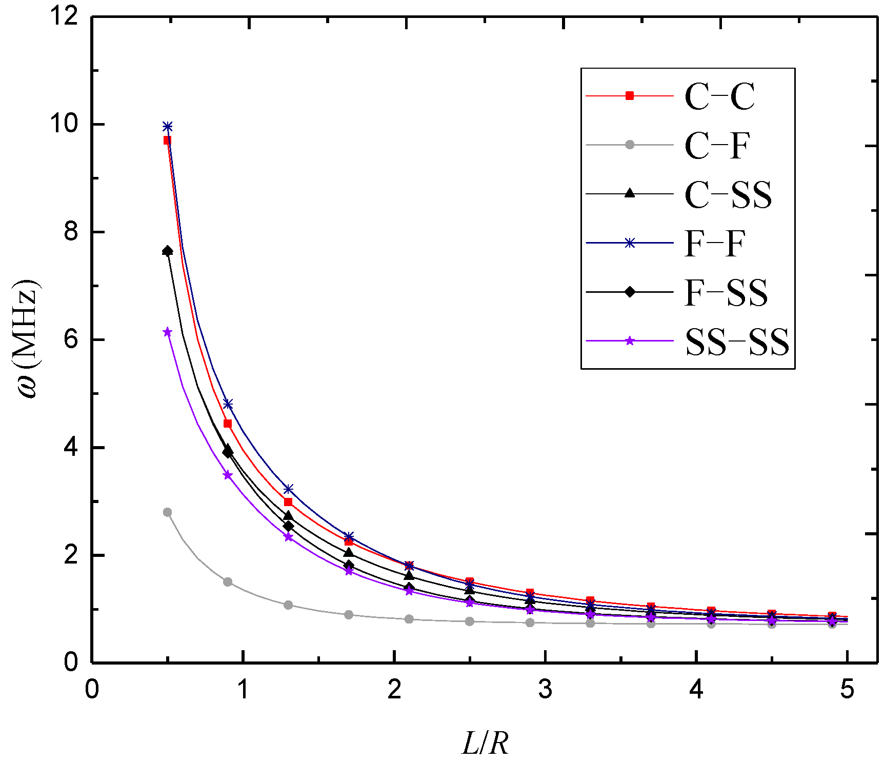
The variations of natural frequency against the length-to-radius ratio for different foam distributions are illustrated in Figure 8, Figure 9 and Figure 10, where n = 3 and κ0 = 0.2. It was found that the natural frequencies kept decreasing with the length-to-radius ratio. It can also be seen that the natural frequencies of 3D-GrF microshells under various boundary conditions tended toward the same value as the length-to-radius ratio increased.
Table 6, Table 7 and Table 8 show the natural frequency versus radius-to-thickness ratio for different foam distributions, where n = 3 and κ0 = 0.2. It is clear that natural frequencies decreased as the radius-to-thickness ratio rose for all the boundary conditions.
Table 9 lists the variation of buckling load against circumferential wave number for the SS–SS 3D-GrF microshell, where L/R = 3 and κ0 = 0.2. Results show the buckling loads initially decreased and then increased with the circumferential wave number. It can be seen that the critical buckling load Pcr occurred at n = 3. Therefore, mode (m = 1, n = 3) is chosen as a representative mode in the next buckling studies.
The buckling load against radius-to-thickness ratio for the SS–SS 3D-GrF microshell is listed in Table 10, where different foam distributions are taken into account. It is shown that the larger radius-to-thickness ratio led to the lower buckling load. One can also see that the buckling loads evaluated by the modified couple stress theory were higher than those evaluated by the classical theory, showing that the classical theory underestimated the buckling loads of 3D-GrF microshells.
Figure 11 examines the critical buckling load against the foam coefficient for SS–SS 3D-GrF microshells with different foam distributions. One can see that the higher foam coefficient led to the lower critical buckling load. Additionally, the 3D-GrF-I microshell had the highest critical buckling load. This shows that compact inner and outer surfaces and sparse mid-plane can lead to higher structural stiffness of 3D-GrF microshells.
Figure 12 depicts the buckling load against length-to-radius ratio for SS–SS 3D-GrF microshells with different foam distributions. With the increase of length-to-radius ratio, buckling load decreased initially and then increased. The lowest value of buckling loads occurred at nearby L/R = 3.5 for all types of foam distribution.

5. Conclusions

In this study, size-dependent free vibration and buckling of cylindrical 3D-GrF microshells were investigated. Formulation of the 3D-GrF microshell was extracted using the modified couple stress theory and the thin shell theory. The Navier method and the Galerkin method were utilized to get critical buckling loads and natural frequencies of 3D-GrF microshells. Results indicate that the foam distribution and foam coefficient play important roles in the buckling and vibration behavior of 3D-GrF microshells. An increase in the foam coefficient led to the smaller natural frequency and critical buckling load. When the foam coefficient was small, the 3D-GrF-I microshell had the highest while its 3D-GrF-II counterpart had the lowest natural frequency and critical buckling load; when the foam coefficient was large, the 3D-GrF-U microshell had the lowest natural frequency, except in the C–F boundary condition. Moreover, compact inner and outer surfaces and sparse mid-plane can the enhance structural stiffness of 3D-GrF microshells.

Author Contributions

Data curation, Y.L.; Formal analysis, Y.L.; Funding acquisition, Y.W.; Investigation, Y.L.; Methodology, Y.L.; Project administration, Y.W.; Software, Y.L.; Supervision, Y.W.; Validation, Y.L.; Writing—Original Draft, Y.L.; Writing—Review & Editing, Y.W.

Funding

This research was supported by the National Natural Science Foundation of China (Grant no. 11672071) and the Fundamental Research Funds for the Central Universities (Grant no. N170504023).

Conflicts of Interest

The authors declare no conflict of interest.

Appendix A

The non-zero elements in the matrices of Equation (58) are given by
K 1 , 1 = D 5 , 0 n 2 [ 4 R 2 + l 2 ( 4 + n 2 + k m 2 R 2 ) ] 4 R 4 + D 1 , 0 k m 2 ;
K 1 , 2 k m n [ D 5 , 0 l 2 n 2 + ( 4 D 3 , 0 4 D 5 , 0 + D 5 , 0 k m 2 l 2 ) R 2 ] 4 R 3 ;
K 1 , 3 = k m [ 2 D 5 , 1 n 2 ( l 2 + 2 R 2 ) 3 D 5 , 0 l 2 n 2 R + 2 R 2 ( D 3 , 1 n 2 + R D 3 , 0 + D 1 , 1 k m 2 R 2 ) ] 2 R 4 ;
K 2 , 1 = K 1 , 2 ;
K 2 , 2 = 4 D 1 , 0 n 2 R 2 + D 5 , 0 { 4 k m 2 R 4 + l 2 [ 4 n 2 + ( 12 + n 2 ) k m 2 R 2 + k m 4 R 4 ] } 4 R 4 ;
K 2 , 3 = n D 5 , 0 l 2 ( 2 n 2 + 5 k m 2 R 2 ) + 2 R n [ D 1 , 1 n 2 + D 5 , 1 k m 2 ( l 2 + 2 R 2 ) + R D 1 , 0 + D 3 , 1 k m 2 R 2 ] 2 R 4 ;
K 3 , 1 = K 1 , 3 ;
K 3 , 2 = K 2 , 3 ;
K 3 , 3 = 1 R 4 [ D 5 , 0 l 2 n 4 + 2 D 1 , 1 n 2 R + D 1 , 0 R 2 + D 5 , 0 k m 2 l 2 R 2 + 2 D 32 k m 2 n 2 R 2 + 2 D 50 k m 2 l 2 n 2 R 2     + 2 D 31 k m 2 R 3 + D 50 k m 4 l 2 R 4 + D 52 k m 2 n 2 ( l 2 + 4 R 2 ) + D 12 ( n 4 + k m 4 R 4 ) ] ;
M 1 , 1 = I 1 , 0 ;
M 2 , 2 = I 1 , 0 ;
M 3 , 3 = I 1 , 0 I 1 , 2 ( k m 2 + n 2 R 2 ) ;
K g 3 , 3 = n 2 π 2 L 2 .
where k m = m π / L .

References

  1. Li, N.; Zhang, Q.; Gao, S.; Song, Q.; Huang, R.; Wang, L.; Liu, L.; Dai, J.; Tang, M.; Cheng, G. Three-dimensional graphene foam as a biocompatible and conductive scaffold for neural stem cells. Sci. Rep. 2013, 3, 1604. [Google Scholar] [CrossRef] [PubMed]
  2. Wu, Y.; Yi, N.; Huang, L.; Zhang, T.; Fang, S.; Chang, H.; Li, N.; Oh, J.; Lee, J.A.; Kozlov, M. Three-dimensionally bonded spongy graphene material with super compressive elasticity and near-zero Poisson’s ratio. Nat. Commun. 2015, 6, 6141. [Google Scholar] [CrossRef] [PubMed]
  3. Qin, Z.; Jung, G.S.; Kang, M.J.; Buehler, M.J. The mechanics and design of a lightweight three-dimensional graphene assembly. Sci. Adv. 2017, 3, 1–9. [Google Scholar] [CrossRef] [PubMed]
  4. Huang, X.; Qian, K.; Yang, J.; Zhang, J.; Li, L.; Yu, C.; Zhao, D. Functional nanoporous graphene foams with controlled pore sizes. Adv. Mater. 2012, 24, 4419–4423. [Google Scholar] [CrossRef] [PubMed]
  5. Strek, W.; Tomala, R.; Lukaszewicz, M.; Cichy, B.; Gerasymchuk, Y.; Gluchowski, P.; Marciniak, L.; Bednarkiewicz, A.; Hreniak, D. Laser induced white lighting of graphene foam. Sci. Rep. 2017, 7, 41281. [Google Scholar] [CrossRef] [PubMed]
  6. Lv, L.; Zhang, P.; Cheng, H.; Zhao, Y.; Zhang, Z.; Shi, G.; Qu, L. Solution-Processed Ultraelastic and Strong Air-Bubbled Graphene Foams. Small 2016, 12, 3229–3234. [Google Scholar] [CrossRef] [PubMed]
  7. Sha, J.; Gao, C.; Lee, S.-K.; Li, Y.; Zhao, N.; Tour, J.M. Preparation of three-dimensional graphene foams using powder metallurgy templates. ACS Nano 2015, 10, 1411–1416. [Google Scholar] [CrossRef] [PubMed]
  8. Sha, J.; Li, Y.; Villegas Salvatierra, R.; Wang, T.; Dong, P.; Ji, Y.; Lee, S.-K.; Zhang, C.; Zhang, J.; Smith, R.H. Three-dimensional printed graphene foams. ACS Nano 2017, 11, 6860–6867. [Google Scholar] [CrossRef] [PubMed]
  9. Hu, C.; Xue, J.; Dong, L.; Jiang, Y.; Wang, X.; Qu, L.; Dai, L. Scalable preparation of multifunctional fire-retardant ultralight graphene foams. ACS Nano 2016, 10, 1325–1332. [Google Scholar] [CrossRef] [PubMed]
  10. Li, Y.; Chen, J.; Huang, L.; Li, C.; Hong, J.; Shi, G. Highly compressible macroporous graphene monoliths via an improved hydrothermal process. Adv. Mater. 2014, 26, 4789–4793. [Google Scholar] [CrossRef] [PubMed]
  11. Chen, Z.; Ren, W.; Gao, L.; Liu, B.; Pei, S.; Cheng, H.-M. Three-dimensional flexible and conductive interconnected graphene networks grown by chemical vapour deposition. Nat. Mater. 2011, 10, 424. [Google Scholar] [CrossRef] [PubMed]
  12. Yavari, F.; Chen, Z.; Thomas, A.V.; Ren, W.; Cheng, H.-M.; Koratkar, N. High sensitivity gas detection using a macroscopic three-dimensional graphene foam network. Sci. Rep. 2011, 1, 166. [Google Scholar] [CrossRef] [PubMed]
  13. Chen, S.; Bao, P.; Huang, X.; Sun, B.; Wang, G. Hierarchical 3D mesoporous silicon@ graphene nanoarchitectures for lithium ion batteries with superior performance. Nano Res. 2014, 7, 85–94. [Google Scholar] [CrossRef]
  14. Xu, X.; Zhang, Q.; Yu, Y.; Chen, W.; Hu, H.; Li, H. Naturally dried graphene aerogels with superelasticity and tunable Poisson’s ratio. Adv. Mater. 2016, 28, 9223–9230. [Google Scholar] [CrossRef] [PubMed]
  15. Qiu, L.; Huang, B.; He, Z.; Wang, Y.; Tian, Z.; Liu, J.Z.; Wang, K.; Song, J.; Gengenbach, T.R.; Li, D. Extremely Low Density and Super-Compressible Graphene Cellular Materials. Adv. Mater. 2017, 29, 1701553. [Google Scholar] [CrossRef] [PubMed]
  16. Ji, H.; Zhang, L.; Pettes, M.T.; Li, H.; Chen, S.; Shi, L.; Piner, R.; Ruoff, R.S. Ultrathin graphite foam: A three-dimensional conductive network for battery electrodes. Nano Lett. 2012, 12, 2446–2451. [Google Scholar] [CrossRef] [PubMed]
  17. Yong, Y.-C.; Dong, X.-C.; Chan-Park, M.B.; Song, H.; Chen, P. Macroporous and monolithic anode based on polyaniline hybridized three-dimensional graphene for high-performance microbial fuel cells. ACS Nano 2012, 6, 2394–2400. [Google Scholar] [CrossRef] [PubMed]
  18. Bi, H.; Xie, X.; Yin, K.; Zhou, Y.; Wan, S.; He, L.; Xu, F.; Banhart, F.; Sun, L.; Ruoff, R.S. Spongy graphene as a highly efficient and recyclable sorbent for oils and organic solvents. Adv. Funct. Mater. 2012, 22, 4421–4425. [Google Scholar] [CrossRef]
  19. Jinlong, L.; Meng, Y.; Suzuki, K.; Miura, H. Fabrication of 3D graphene foam for a highly conducting electrode. Mater. Lett. 2017, 196, 369–372. [Google Scholar] [CrossRef]
  20. Wang, C.; Zhang, C.; Chen, S. The microscopic deformation mechanism of 3D graphene foam materials under uniaxial compression. Carbon 2016, 109, 666–672. [Google Scholar] [CrossRef]
  21. Nieto, A.; Boesl, B.; Agarwal, A. Multi-scale intrinsic deformation mechanisms of 3D graphene foam. Carbon 2015, 85, 299–308. [Google Scholar] [CrossRef]
  22. Nautiyal, P.; Boesl, B.; Agarwal, A. The mechanics of energy dissipation in a three-dimensional graphene foam with macroporous architecture. Carbon 2018, 132, 59–64. [Google Scholar] [CrossRef]
  23. Liu, D.; He, Y.; Tang, X.; Ding, H.; Hu, P.; Cao, P. Size effects in the torsion of microscale copper wires: Experiment and analysis. Scr. Mater. 2012, 66, 406–409. [Google Scholar] [CrossRef]
  24. Stölken, J.S.; Evans, A.G. A microbend test method for measuring the plasticity length scale. Acta Mater. 1998, 46, 5109–5115. [Google Scholar] [CrossRef]
  25. Dong, Z.; Zhang, X.; Shi, W.; Zhou, H.; Lei, H.; Liang, J. Study of Size Effect on Microstructure and Mechanical Properties of AlSi10Mg Samples Made by Selective Laser Melting. Materials. 2018, 11, 2463. [Google Scholar] [CrossRef] [PubMed]
  26. Şimşek, M.; Reddy, J.N. Bending and vibration of functionally graded microbeams using a new higher order beam theory and the modified couple stress theory. Int. J. Eng. Sci. 2013, 64, 37–53. [Google Scholar] [CrossRef]
  27. Yang, F.; Chong, A.C.M.; Lam, D.C.C.; Tong, P. Couple stress based strain gradient theory for elasticity. Int. J. Solids Struct. 2002, 39, 2731–2743. [Google Scholar] [CrossRef]
  28. Ke, L.L.; Wang, Y.S.; Yang, J.; Kitipornchai, S. Free vibration of size-dependent Mindlin microplates based on the modified couple stress theory. J. Sound Vib. 2012, 331, 94–106. [Google Scholar] [CrossRef]
  29. Shafiei, N.; Kazemi, M.; Fatahi, L. Transverse vibration of rotary tapered microbeam based on modified couple stress theory and generalized differential quadrature element method. Mech. Adv. Mater. Struct. 2017, 24, 240–252. [Google Scholar] [CrossRef]
  30. Beni, Y.T.; Zeverdejani, M.K. Free vibration of microtubules as elastic shell model based on modified couple stress theory. J. Mech. Med. Biol. 2015, 15, 1550037. [Google Scholar] [CrossRef]
  31. Farokhi, H.; Ghayesh, M.H. Modified couple stress theory in orthogonal curvilinear coordinates. Acta Mech. 2018, 1–19. [Google Scholar] [CrossRef]
  32. Ghayesh, M.H.; Farokhi, H. Nonlinear mechanics of doubly curved shallow microshells. Int. J. Eng. Sci. 2017, 119, 288–304. [Google Scholar] [CrossRef]
  33. Farokhi, H.; Ghayesh, M.H. Nonlinear mechanical behaviour of microshells. Int. J. Eng. Sci. 2018, 127, 127–144. [Google Scholar] [CrossRef]
  34. Lou, J.; He, L.; Wu, H.; Du, J. Pre-buckling and buckling analyses of functionally graded microshells under axial and radial loads based on the modified couple stress theory. Compos. Struct. 2016, 142, 226–237. [Google Scholar] [CrossRef]
  35. Gholami, R.; Ansari, R.; Darvizeh, A.; Sahmani, S. Axial buckling and dynamic stability of functionally graded microshells based on the modified couple stress theory. Int. J. Struct. Stab. Dyn. 2015, 15, 1450070. [Google Scholar] [CrossRef]
  36. Zhang, B.; He, Y.; Liu, D.; Shen, L.; Lei, J. Free vibration analysis of four-unknown shear deformable functionally graded cylindrical microshells based on the strain gradient elasticity theory. Compos. Struct. 2015, 119, 578–597. [Google Scholar] [CrossRef]
  37. Ghayesh, M.H.; Farokhi, H. Nonlinear dynamics of doubly curved shallow microshells. Nonlinear Dyn. 2018, 92, 803–814. [Google Scholar] [CrossRef]
  38. SafarPour, H.; Mohammadi, K.; Ghadiri, M.; Rajabpour, A. Influence of various temperature distributions on critical speed and vibrational characteristics of rotating cylindrical microshells with modified lengthscale parameter. Eur. Phys. J. Plus 2017, 132, 281. [Google Scholar] [CrossRef]
  39. Zeighampour, H.; Shojaeian, M. Buckling analysis of functionally graded sandwich cylindrical micro/nanoshells based on the couple stress theory. J. Sandw. Struct. Mater. 2017. [Google Scholar] [CrossRef]
  40. Wang, Y.Q.; Li, H.H.; Zhang, Y.F.; Zu, J.W. A nonlinear surface-stress-dependent model for vibration analysis of cylindrical nanoscale shells conveying fluid. Appl. Math. Model. 2018, 64, 55–70. [Google Scholar] [CrossRef]
  41. Park, S.K.; Gao, X.L. Variational formulation of a modified couple stress theory and its application to a simple shear problem. Z. Angew. Math. Phys. 2008, 59, 904–917. [Google Scholar] [CrossRef]
  42. Tadi Beni, Y.; Mehralian, F.; Zeighampour, H. The modified couple stress functionally graded cylindrical thin shell formulation. Mech. Adv. Mater. Struct. 2016, 23, 791–801. [Google Scholar] [CrossRef]
  43. Eringen, A.C. Mechanics of Continua; Robert E. Krieger Publ. Co.: Huntington, NY, USA, 1980. [Google Scholar]
  44. Magnucki, K.; Stasiewicz, P. Elastic buckling of a porous beam. J. Theor. Appl. Mech. 2004, 42, 859–868. [Google Scholar]
  45. Magnucka-Blandzi, E. Axi-symmetrical deflection and buckling of circular porous-cellular plate. Thin-Walled Struct. 2008, 46, 333–337. [Google Scholar] [CrossRef]
  46. Jabbari, M.; Mojahedin, A.; Khorshidvand, A.R.; Eslami, M.R. Buckling analysis of a functionally graded thin circular plate made of saturated porous materials. J. Eng. Mech. 2013, 140, 287–295. [Google Scholar] [CrossRef]
  47. Soedel, W. Vibrations of Shells and Plates; CRC Press: Bocaton, FL, USA, 2004; ISBN 0203026306. [Google Scholar]
  48. Gholami, R.; Darvizeh, A.; Ansari, R.; Sadeghi, F. Vibration and buckling of first-order shear deformable circular cylindrical micro-/nano-shells based on Mindlin’s strain gradient elasticity theory. Eur. J. Mech. 2016, 58, 76–88. [Google Scholar] [CrossRef]
  49. Wang, Y.Q.; Ye, C.; Zu, J.W. Nonlinear vibration of metal foam cylindrical shells reinforced with graphene platelets. Aerosp. Sci. Technol. 2019, 85, 359–370. [Google Scholar] [CrossRef]
  50. Wang, Y.Q.; Wan, Y.H.; Zu, J.W. Nonlinear dynamic characteristics of functionally graded sandwich thin nanoshells conveying fluid incorporating surface stress influence. Thin-Walled Struct. 2019, 135, 537–547. [Google Scholar] [CrossRef]
  51. Hao, Y.X.; Zhang, W.; Yang, J. Nonlinear dynamics of a FGM plate with two clamped opposite edges and two free edges. Acta Mech. Solida Sin. 2014, 27, 394–406. [Google Scholar] [CrossRef]
  52. Zhang, W.; Hao, Y.X.; Yang, J. Nonlinear dynamics of FGM circular cylindrical shell with clamped–clamped edges. Compos. Struct. 2012, 94, 1075–1086. [Google Scholar] [CrossRef]
  53. Zhang, W.; Hao, Y.; Guo, X.; Chen, L. Complicated nonlinear responses of a simply supported FGM rectangular plate under combined parametric and external excitations. Meccanica 2012, 47, 985–1014. [Google Scholar] [CrossRef]
  54. Zhang, W.; Yang, J.; Hao, Y. Chaotic vibrations of an orthotropic FGM rectangular plate based on third-order shear deformation theory. Nonlinear Dyn. 2010, 59, 619–660. [Google Scholar] [CrossRef]
  55. Wang, Y.Q.; Huang, X.B.; Li, J. Hydroelastic dynamic analysis of axially moving plates in continuous hot-dip galvanizing process. Int. J. Mech. Sci. 2016, 110, 201–216. [Google Scholar] [CrossRef]
  56. Nam, V.H.; Van Vinh, P.; Van Chinh, N.; Van Thom, D.; Hong, T.T. A New Beam Model for Simulation of the Mechanical Behaviour of Variable Thickness Functionally Graded Material Beams Based on Modified First Order Shear Deformation Theory. Materials 2019, 12, 404. [Google Scholar] [CrossRef] [PubMed]
  57. Pang, F.; Li, H.; Jing, F.; Du, Y. Application of First-Order Shear Deformation Theory on Vibration Analysis of Stepped Functionally Graded Paraboloidal Shell with General Edge Constraints. Materials 2019, 12, 69. [Google Scholar] [CrossRef] [PubMed]
  58. Loy, C.T.; Lam, K.Y. Vibration of cylindrical shells with ring support. Int. J. Mech. Sci. 1997, 39, 455–471. [Google Scholar] [CrossRef]
  59. Wang, Y.Q.; Zu, J.W. Nonlinear steady-state responses of longitudinally traveling functionally graded material plates in contact with liquid. Compos. Struct. 2017, 164, 130–144. [Google Scholar] [CrossRef]
  60. Wang, Y.Q.; Zu, J.W. Vibration behaviors of functionally graded rectangular plates with porosities and moving in thermal environment. Aerosp. Sci. Technol. 2017, 69, 550–562. [Google Scholar] [CrossRef]
  61. Wang, Y.Q. Electro-mechanical vibration analysis of functionally graded piezoelectric porous plates in the translation state. Acta Astronaut. 2018, 143, 263–271. [Google Scholar] [CrossRef]
  62. Thai, D.-K.; Tu, T.; Hoa, L.; Hung, D.; Linh, N. Nonlinear Stability Analysis of Eccentrically Stiffened Functionally Graded Truncated Conical Sandwich Shells with Porosity. Materials 2018, 11, 2200. [Google Scholar] [CrossRef] [PubMed]
  63. Alibeigloo, A.; Shaban, M. Free vibration analysis of carbon nanotubes by using three-dimensional theory of elasticity. Acta Mech. 2013, 224, 1415–1427. [Google Scholar] [CrossRef]
  64. Razavi, H.; Babadi, A.F.; Tadi Beni, Y. Free vibration analysis of functionally graded piezoelectric cylindrical nanoshell based on consistent couple stress theory. Compos. Struct. 2017, 160, 1299–1309. [Google Scholar] [CrossRef]
Figure 1. Schematic of a three-dimensional graphene foam (3D-GrF) circular cylindrical microshell.
Figure 1. Schematic of a three-dimensional graphene foam (3D-GrF) circular cylindrical microshell.
Materials 12 00729 g001
Figure 2. 3D-GrF distributions in the thickness direction: (a) 3D-GrF-I; (b) 3D-GrF-II; (c) 3D-GrF-U.
Figure 2. 3D-GrF distributions in the thickness direction: (a) 3D-GrF-I; (b) 3D-GrF-II; (c) 3D-GrF-U.
Materials 12 00729 g002aMaterials 12 00729 g002b
Figure 3. Variation of natural frequency ω (MHz) against circumferential wave number n of 3D-GrF microshell (3D-GrF-I).
Figure 3. Variation of natural frequency ω (MHz) against circumferential wave number n of 3D-GrF microshell (3D-GrF-I).
Materials 12 00729 g003
Figure 4. Variation of natural frequency ω (MHz) against circumferential wave number n of 3D-GrF microshell (3D-GrF-II).
Figure 4. Variation of natural frequency ω (MHz) against circumferential wave number n of 3D-GrF microshell (3D-GrF-II).
Materials 12 00729 g004
Figure 5. Variation of natural frequency ω (MHz) against circumferential wave number n of 3D-GrF microshell (3D-GrF-U).
Figure 5. Variation of natural frequency ω (MHz) against circumferential wave number n of 3D-GrF microshell (3D-GrF-U).
Materials 12 00729 g005
Figure 6. Natural frequency ω (MHz) versus dimensionless length scale parameter for SS–SS 3D-GrF microshell: (a) 3D-GrF-I; (b) 3D-GrF-II; (c) 3D-GrF-U.
Figure 6. Natural frequency ω (MHz) versus dimensionless length scale parameter for SS–SS 3D-GrF microshell: (a) 3D-GrF-I; (b) 3D-GrF-II; (c) 3D-GrF-U.
Materials 12 00729 g006
Figure 7. Variation of natural frequency ω (MHz) against foam coefficient κ0 under various boundary conditions (n = 3): (a) C–C; (b) C–F; (c) C–SS; (d) F–F; (e) F–SS; (f) SS–SS.
Figure 7. Variation of natural frequency ω (MHz) against foam coefficient κ0 under various boundary conditions (n = 3): (a) C–C; (b) C–F; (c) C–SS; (d) F–F; (e) F–SS; (f) SS–SS.
Materials 12 00729 g007aMaterials 12 00729 g007b
Figure 8. Variation of natural frequency ω (MHz) against length-to-radius ratio L/R of 3D-GrF microshell (3D-GrF-I).
Figure 8. Variation of natural frequency ω (MHz) against length-to-radius ratio L/R of 3D-GrF microshell (3D-GrF-I).
Materials 12 00729 g008
Figure 9. Variation of natural frequency ω (MHz) against length-to-radius ratio L/R of 3D-GrF microshell (3D-GrF-II).
Figure 9. Variation of natural frequency ω (MHz) against length-to-radius ratio L/R of 3D-GrF microshell (3D-GrF-II).
Materials 12 00729 g009
Figure 10. Variation of natural frequency ω (MHz) against length-to-radius ratio L/R of 3D-GrF microshell (3D-GrF-U).
Figure 10. Variation of natural frequency ω (MHz) against length-to-radius ratio L/R of 3D-GrF microshell (3D-GrF-U).
Materials 12 00729 g010
Figure 11. Critical buckling load Pcr against foam coefficient κ0 for SS–SS 3D-GrF microshell (n = 3).
Figure 11. Critical buckling load Pcr against foam coefficient κ0 for SS–SS 3D-GrF microshell (n = 3).
Materials 12 00729 g011
Figure 12. Buckling load P against length-to-radius ratio L/R for SS–SS 3D-GrF microshell (n = 3, κ0 = 0.2).
Figure 12. Buckling load P against length-to-radius ratio L/R for SS–SS 3D-GrF microshell (n = 3, κ0 = 0.2).
Materials 12 00729 g012
Table 1. Foam coefficients for different distributions.
Table 1. Foam coefficients for different distributions.
κ 0 κ 0 ϑ
0.10.17340.9360
0.20.34260.8713
0.30.50650.8058
0.40.66370.7391
0.50.81120.6711
0.60.94320.6012
0.650.99760.5653
Table 2. Values of c1, c2, c3, c4, ζi, and λi for different boundary conditions.
Table 2. Values of c1, c2, c3, c4, ζi, and λi for different boundary conditions.
Boundary Conditionc1c2c3c4ζiλi
C–C1−11−1 cosh ( λ i ) cos ( λ i ) sinh ( λ i ) sin ( λ i ) cosh ( λ i ) cos ( λ i ) = 1
C–SS1−11−1 cosh ( λ i ) cos ( λ i ) sinh ( λ i ) sin ( λ i ) tan ( λ i ) = tanh ( λ i )
F–F1111 cosh ( λ i ) cos ( λ i ) sinh ( λ i ) sin ( λ i ) cosh ( λ i ) cos ( λ i ) = 1
C–F1−11−1 sinh ( λ i ) sin ( λ i ) cosh ( λ i ) + cos ( λ i ) cosh ( λ i ) cos ( λ i ) = 1
F–SS1111 cosh ( λ i ) cos ( λ i ) sinh ( λ i ) sin ( λ i ) tan ( λ i ) = tanh ( λ i )
Table 3. Comparison of dimensionless natural frequency Ω ( Ω = ω R ρ / E ) of a simply supported–simply supported (SS–SS) isotropic homogeneous cylindrical shell (κ0 = 0, l = 0).
Table 3. Comparison of dimensionless natural frequency Ω ( Ω = ω R ρ / E ) of a simply supported–simply supported (SS–SS) isotropic homogeneous cylindrical shell (κ0 = 0, l = 0).
h/R(m, n)Present Beni et al. [42]Alibeigloo and Shaban [63]
0.02(1,1)0.1954 0.1954 0.1968
(2,2)0.2532 0.2532 0.2563
(3,3)0.2772 0.2772 0.2773
0.05(1,1)0.1959 0.1959 0.2004
(2,2)0.2623 0.2623 0.2633
(3,3)0.3220 0.3220 0.3158
Table 4. Comparison of dimensionless natural frequency Ω of an SS–SS isotropic homogeneous cylindrical nanoshell (κ0 = 0, l = h).
Table 4. Comparison of dimensionless natural frequency Ω of an SS–SS isotropic homogeneous cylindrical nanoshell (κ0 = 0, l = h).
h/R(m, n)PresentBeni et al. [42]
0.02(1,1)0.19550.1955
(2,2)0.25750.2575
(3,3)0.30670.3067
0.05(1,1)0.19630.1963
(2,2)0.28690.2869
(3,3)0.45860.4586
Table 5. Comparison of dimensionless natural frequency Ω ( Ω = ω R ( 1 ν 2 ) ρ / E ) of a clamped–clamped (C–C) isotropic homogeneous cylindrical shell (κ0 = 0, l = 0, m = 1, ν = 0.3, h/R = 0.01, L/R = 20).
Table 5. Comparison of dimensionless natural frequency Ω ( Ω = ω R ( 1 ν 2 ) ρ / E ) of a clamped–clamped (C–C) isotropic homogeneous cylindrical shell (κ0 = 0, l = 0, m = 1, ν = 0.3, h/R = 0.01, L/R = 20).
nPresentRazavi et al. [64]
10.0344580.033844
20.0158260.015770
30.0253800.024826
40.0450100.045001
Table 6. Natural frequency ω (MHz) of 3D-GrF microshell with different radius-to-thickness ratios (3D-GrF-I).
Table 6. Natural frequency ω (MHz) of 3D-GrF microshell with different radius-to-thickness ratios (3D-GrF-I).
R/hSS–SSC–SSC–CC–FF–FF–SS
204.237 4.818 5.309 3.097 5.442 4.478
302.174 2.553 2.835 1.427 2.884 2.289
401.419 1.707 1.906 0.840 1.928 1.490
501.048 1.281 1.436 0.567 1.447 1.097
600.830 1.027 1.154 0.417 1.160 0.869
700.689 0.859 0.967 0.326 0.970 0.720
800.589 0.739 0.833 0.265 0.835 0.615
900.516 0.649 0.732 0.223 0.733 0.538
1000.459 0.579 0.654 0.192 0.654 0.478
Table 7. Natural frequency ω (MHz) of 3D-GrF microshell with different radius-to-thickness ratios (3D-GrF-II).
Table 7. Natural frequency ω (MHz) of 3D-GrF microshell with different radius-to-thickness ratios (3D-GrF-II).
R/hSS–SSC–SSC–CC–FF–FF–SS
204.182 4.765 5.254 3.045 5.382 4.420
302.154 2.534 2.816 1.405 2.863 2.268
401.410 1.698 1.898 0.828 1.919 1.480
501.043 1.277 1.432 0.560 1.443 1.092
600.828 1.025 1.153 0.412 1.158 0.866
700.687 0.858 0.966 0.322 0.969 0.718
800.589 0.739 0.833 0.263 0.834 0.615
900.515 0.649 0.732 0.221 0.733 0.538
1000.458 0.579 0.654 0.191 0.654 0.478
Table 8. Natural frequency ω (MHz) of 3D-GrF microshell with different radius-to-thickness ratios (3D-GrF-U).
Table 8. Natural frequency ω (MHz) of 3D-GrF microshell with different radius-to-thickness ratios (3D-GrF-U).
R/hSS–SSC–SSC–CC–FF–FF–SS
204.211 4.792 5.281 3.074 5.412 4.450
302.164 2.542 2.824 1.417 2.873 2.278
401.414 1.701 1.901 0.835 1.922 1.484
501.044 1.278 1.433 0.564 1.443 1.094
600.828 1.025 1.152 0.415 1.158 0.867
700.687 0.857 0.965 0.324 0.968 0.718
800.588 0.738 0.832 0.264 0.833 0.614
900.515 0.648 0.731 0.222 0.732 0.537
1000.458 0.578 0.653 0.191 0.653 0.478
Table 9. Variation of buckling load P (107 N) against circumferential wave number n for SS–SS 3D-GrF microshell.
Table 9. Variation of buckling load P (107 N) against circumferential wave number n for SS–SS 3D-GrF microshell.
n3D-GrF-I3D-GrF-II3D-GrF-U
1291.546292.449291.078
213.64013.61713.594
34.3694.2654.318
45.5215.3495.443
58.2237.9668.106
611.70511.34611.541
715.85815.37615.637
820.65720.03620.372
926.09825.31825.740
1032.18031.22131.739
Table 10. Buckling load P (106 N) against radius-to-thickness ratio R/h for SS–SS 3D-GrF microshell (n = 3, κ0 = 0.2).
Table 10. Buckling load P (106 N) against radius-to-thickness ratio R/h for SS–SS 3D-GrF microshell (n = 3, κ0 = 0.2).
R/h3D-GrF-I3D-GrF-II3D-GrF-U
CTMCSTCTMCSTCTMCST
3063.509 109.735 61.314 107.690 62.528 108.682
4042.734 62.244 41.860 61.433 42.296 61.775
5032.374 42.365 31.961 41.984 32.133 42.109
6026.157 31.940 25.942 31.744 26.007 31.780
7021.996 25.638 21.879 25.532 21.893 25.529
8019.006 21.446 18.941 21.389 18.930 21.366
9016.747 18.461 16.713 18.432 16.689 18.400
10014.978 16.227 14.962 16.215 14.931 16.178

Share and Cite

MDPI and ACS Style

Liu, Y.; Wang, Y. Size-Dependent Free Vibration and Buckling of Three-Dimensional Graphene Foam Microshells Based on Modified Couple Stress Theory. Materials 2019, 12, 729. https://doi.org/10.3390/ma12050729

AMA Style

Liu Y, Wang Y. Size-Dependent Free Vibration and Buckling of Three-Dimensional Graphene Foam Microshells Based on Modified Couple Stress Theory. Materials. 2019; 12(5):729. https://doi.org/10.3390/ma12050729

Chicago/Turabian Style

Liu, Yunfei, and Yanqing Wang. 2019. "Size-Dependent Free Vibration and Buckling of Three-Dimensional Graphene Foam Microshells Based on Modified Couple Stress Theory" Materials 12, no. 5: 729. https://doi.org/10.3390/ma12050729

APA Style

Liu, Y., & Wang, Y. (2019). Size-Dependent Free Vibration and Buckling of Three-Dimensional Graphene Foam Microshells Based on Modified Couple Stress Theory. Materials, 12(5), 729. https://doi.org/10.3390/ma12050729

Note that from the first issue of 2016, this journal uses article numbers instead of page numbers. See further details here.

Article Metrics

Back to TopTop