Contact Lens Materials: A Materials Science Perspective
Abstract
1. Introduction
2. Contact Lens Materials
2.1. Overview
2.2. Polymerization Mechanisms
2.3. PMMA and Rigid Contact Lenses
2.3.1. PMMA
2.3.2. Other Rigid CLs
2.4. HEMA-Derived Hydrogels
2.5. Silicone-Derived Hydrogels
2.6. Other Contact Lens Materials
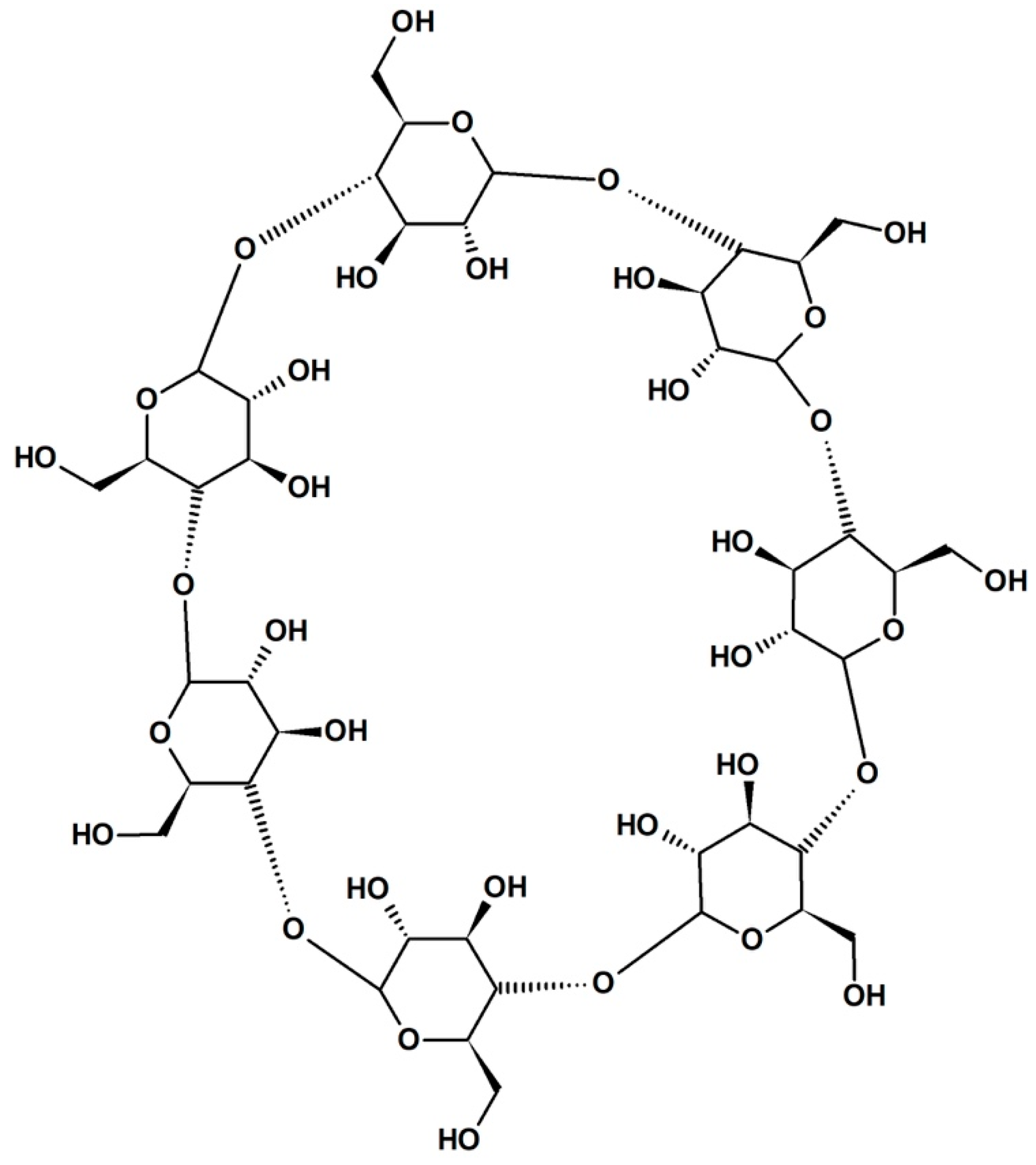
2.6.1. Polyvinyl Alcohol Hydrogels
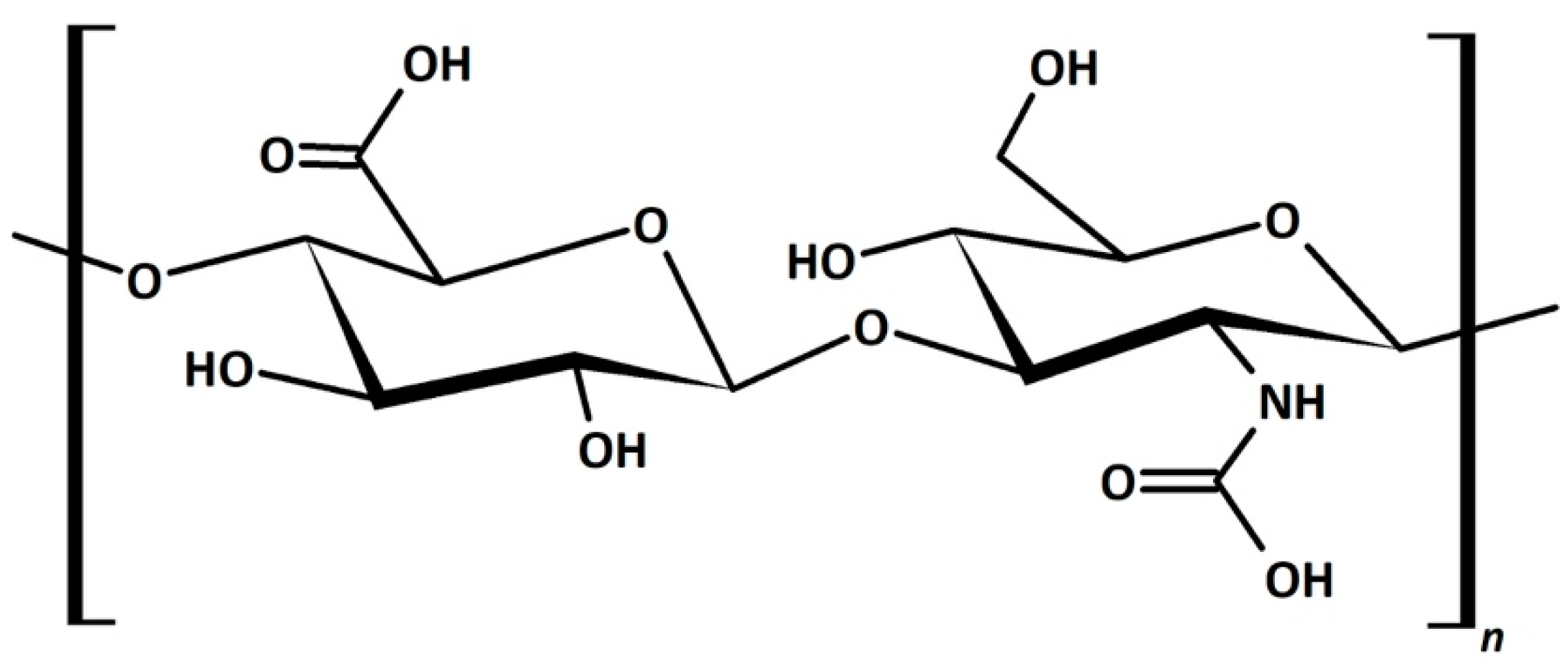
2.6.2. Hyaluronic-Acid-Modified Hydrogels
3. Outlook for CL Materials
3.1. Drug Delivery
3.2. Emerging CL Materials Technologies
4. Manufacturing Perspectives
5. Conclusions
Author Contributions
Funding
Acknowledgments
Conflicts of Interest
References
- Barr, J. 2004 Annual Report. Available online: https://www.clspectrum.com/issues/2005/january-2005/2004-annual-report (accessed on 13 October 2018).
- Nichols, J. Contact Lenses 2015. In Contact Lens Spectrum; PentaVision LLC: Ambler, PA, USA, 2016; pp. 18–23. [Google Scholar]
- Philips, A.J.; Speedwell, L.; Morris, J. (Eds.) Contact Lenses, 5th ed.; Butterworth-Heinemann: Oxford, UK, 2007. [Google Scholar]
- Efron, N. (Ed.) Contact Lens Practice, 3rd ed.; Elsevier: Edinburgh, UK, 2018. [Google Scholar]
- Bruce, A.S.; Brennan, N.A.; Lindsay, R.G. Diagnosis and mangement of ocular changes during contact lens wear, Part II. Clin. Signs Ophthalmol. 1995, 17, 2–11. [Google Scholar]
- McMahon, T.T.; Zadnik, K. Twenty-five years of contact lenses: the impact on the cornea and ophthalmic practice. Cornea 2000, 19, 730–740. [Google Scholar] [CrossRef] [PubMed]
- Wichterle, O.; Lím, D. Hydrophilic Gels for Biological Use. Nature 1960, 185, 117. [Google Scholar] [CrossRef]
- Wichterle, O. Method of Manufacturing Soft and Flexible Contact Lenses. U.S. Patent 3498254, 17 February 1970. [Google Scholar]
- Lim, D.; Kopecek, J.; Sverinova, H.B.N.; Vacik, J. Hydrophilic N,N-Diethyl Acrylamide Copolymers. U.S. Patent 4074039, 14 February 1978. [Google Scholar]
- Yokohama, Y.; Masuhara, E.; Kadoma, Y.; Tarumi, N.; Tsuchiya, M. Soft Contact Lens. U.S. Patent 4650843, 17 March 1987. [Google Scholar]
- Mitchell, D.D. Wettable Silicone Resin Optical Devices and Curable Compositions Therefor. U.S. Patent 4487905, 11 December 1984. [Google Scholar]
- Chromecek, R.C.; Deichert, W.G.; Falcetta, J.J.; VanBuren, M.F. Polysiloxane/Acrylic Acid/Polycyclic Esters of Methacrylic Acid Polymer Contact Lens. U.S. Patent 4276402, 30 June 1981. [Google Scholar]
- Gaylord, N.G. Oxygen-Permeable Contact Lens Composition, Methods and Article of Manufacture. U.S. Patent 3808178, 30 April 1974. [Google Scholar]
- Keogh, P.; Kunzler, J.F.; Niu, G.C.C. Hydrophilic Contact Lens Made from Polysiloxanes Which Are Thermally Bonded to Polymerizable Groups and Which Contain Hydrophilic Sidechains. U.S. Patent 4260725, 7 April 1981. [Google Scholar]
- Nichols, J. Contact Lenses 2017. In Contact Lens Spectrum; PentaVision LLC: Ambler, PA, USA, 2018; pp. 20–25. [Google Scholar]
- Buhler, N.; Haerri, H.P.; Hofmann, M.; Irrgang, C.; Muhlebach, A.; Muller, B.; Stockinger, F. Nelfilcon A, a new material for contact lenses. Chimia (Aarau) 1999, 53, 269–274. [Google Scholar]
- Goldenberg, M. Polyoxirane Crosslinked Polyvinyl alcohol Hydrogel Contact Lens. Patent EP0189375B1, 1 June 1994. [Google Scholar]
- Kita, M.; Ogura, Y.; Honda, Y.; Hyon, S.-H.; Cha, W.-I.; Ikada, Y. Evaluation of polyvinyl alcohol hydrogel as a soft contact lens material. Graefe’s Arch. Clin. Exp. Ophthalmol. 1990, 228, 533–537. [Google Scholar] [CrossRef]
- Imafuku, S. Silicone Hydrogel Soft Contact Lens Having Wettable Surface. U.S. Patent 2014/0362339, 11 December 2014. [Google Scholar]
- Bui, T.H.; Cavanagh, H.D.; Robertson, D.M. Patient compliance during contact lens wear: Perceptions, awareness, and behavior. Eye Contact Lens 2010, 36, 334–339. [Google Scholar] [CrossRef] [PubMed]
- Kirchhof, S.; Goepferich, A.M.; Brandl, F.P. Hydrogels in ophthalmic applications. Eur. J. Pharm. Biopharm. 2015, 95, 227–238. [Google Scholar] [CrossRef]
- Holden, B.A.; Fricke, T.R.; Wilson, D.A.; Jong, M.; Naidoo, K.S.; Sankaridurg, P.; Wong, T.Y.; Naduvilath, T.J.; Resnikoff, S. Global Prevalence of Myopia and High Myopia and Temporal Trends from 2000 through 2050. Ophthalmology 2016, 123, 1036–1042. [Google Scholar] [CrossRef]
- Walline, J.J.; Jones, L.A.; Sinnott, L.; Manny, R.E.; Gaume, A.; Rah, M.J.; Chitkara, M.; Lyons, S. A randomized trial of the effect of soft contact lenses on myopia progression in children. Investig. Ophthalmol. Vis. Sci. 2008, 49, 4702–4706. [Google Scholar] [CrossRef] [PubMed]
- Sankaridurg, P. Contact lenses to slow progression of myopia. Clin. Exp. Optom. 2017, 100, 432–437. [Google Scholar] [CrossRef]
- Peng, C.C.; Kim, J.; Chauhan, A. Extended delivery of hydrophilic drugs from silicone-hydrogel contact lenses containing Vitamin E diffusion barriers. Biomaterials 2010, 31, 4032–4047. [Google Scholar] [CrossRef]
- Ciolino, J.B.; Hoare, T.R.; Iwata, N.G.; Behlau, I.; Dohlman, C.H.; Langer, R.; Kohane, D.S. A drug-eluting contact lens. Investig. Ophthalmol. Vis. Sci. 2009, 50, 3346–3352. [Google Scholar] [CrossRef]
- Xu, J.; Xue, Y.; Hu, G.; Lin, T.; Gou, J.; Yin, T.; He, H.; Zhang, Y.; Tang, X. A comprehensive review on contact lens for ophthalmic drug delivery. J. Control. Release 2018, 281, 97–118. [Google Scholar] [CrossRef] [PubMed]
- Hsu, K.H.; Gause, S.; Chauhan, A. Review of ophthalmic drug delivery by contact lenses. J. Drug Deliv. Sci. Technol. 2014, 24, 123–135. [Google Scholar] [CrossRef]
- Carvalho, I.M.; Marques, C.S.; Oliveira, R.S.; Coelho, P.B.; Costa, P.C.; Ferreira, D.C. Sustained drug release by contact lenses for glaucoma treatment - A review. J. Control. Release 2015, 202, 76–82. [Google Scholar] [CrossRef]
- Efron, N. Contact lens Complications, 3rd ed.; Elsevier: Amsterdam, The Netherlands, 2012; ISBN 9780702042690. [Google Scholar]
- Phillips, A.J.; Speedwell, L. Contact Lenses; Butterworth-Heinemann: Oxford, UK, 1997; ISBN 9780750618199. [Google Scholar]
- Nicolson, P.C.; Vogt, J. Soft contact lens polymers: An evolution. Biomaterials 2001, 22, 3273–3283. [Google Scholar] [CrossRef]
- Alderson, A. Soft Contact Lens Material Properties. Bausch Lomb Acad. Vis. Care 2008, 1–10. Available online: http://www.academyofvisioncare.com/files/documents/Contact%20Lens%20Article%20080513.pdf (accessed on 3 October 2018).
- Caló, E.; Khutoryanskiy, V.V. Biomedical applications of hydrogels: A review of patents and commercial products. Eur. Polym. J. 2015, 65, 252–267. [Google Scholar] [CrossRef]
- Vidal-Rohr, M.; Wolffsohn, J.S.; Davies, L.N.; Cerviño, A. Effect of contact lens surface properties on comfort, tear stability and ocular physiology. Contact Lens Anterior Eye 2018, 41, 117–121. [Google Scholar] [CrossRef] [PubMed]
- Ciolino, J.B.; Stefanescu, C.F.; Ross, A.E.; Salvador-Culla, B.; Cortez, P.; Ford, E.M.; Wymbs, K.A.; Sprague, S.L.; Mascoop, D.R.; Rudina, S.S.; et al. In vivo performance of a drug-eluting contact lens to treat glaucoma for a month. Biomaterials 2014, 35, 432–439. [Google Scholar] [CrossRef]
- Lee, D.; Cho, S.; Park, H.S.; Kwon, I. Ocular drug delivery through pHEMA-Hydrogel contact lenses Co-loaded with lipophilic vitamins. Sci. Rep. 2016, 6, 1–8. [Google Scholar] [CrossRef]
- Xinming, L.; Yingde, C.; Lloyd, A.W.; Mikhalovsky, S.V.; Sandeman, S.R.; Howel, C.A.; Liewen, L. Polymeric hydrogels for novel contact lens-based ophthalmic drug delivery systems: A review. Contact Lens Anterior Eye 2008, 31, 57–64. [Google Scholar] [CrossRef] [PubMed]
- Perkins, W.G.; Capiati, N.J.; Porter, R.S. The effect of molecular weight on the physical and mechanical properties of ultra-drawn high density polyethylene. Polym. Eng. Sci. 1976, 16, 200–203. [Google Scholar] [CrossRef]
- Rosa dos Santos, J.F.; Alvarez-Lorenzo, C.; Silva, M.; Balsa, L.; Couceiro, J.; Torres-Labandeira, J.J.; Concheiro, A. Soft contact lenses functionalized with pendant cyclodextrins for controlled drug delivery. Biomaterials 2009, 30, 1348–1355. [Google Scholar] [CrossRef] [PubMed]
- Seinder, L.; Spinelli, H.J.; Ali, M.I.; Weintraub, L. Silicone-Containing Contact Lens Polymers, Oxygen Permeable Contact Lenses and Methods for Making There Lenses and Treating Patients with Visual Impairment. U.S. Patent 5331067, 19 July 1994. [Google Scholar]
- Hahn, D.; Johansson, G.A.; Ruscio, D.V.; Blank, C.E. Method for Manufacturing Hydrophilic Contact Lenses. U.S. Patent 4983332, 1 January 1991. [Google Scholar]
- Tanaka, K.; Takahashi, K.; Kanada, M.; Kanome, S.; Nakajima, T. Copolymer for Soft Contact Lens, Its Preparation and Soft Contact Lens Made Thereof. U.S. Patent 4139513, 13 February 1979. [Google Scholar]
- Keeley, E.M. Method of Manufacturing Soft Contact Lens Buttons. U.S. Patent 4931228, 5 June 1990. [Google Scholar]
- Lin, C.H.; Yeh, Y.H.; Lin, W.C.; Yang, M.C. Novel silicone hydrogel based on PDMS and PEGMA for contact lens application. Colloids Surf. B Biointerfaces 2014, 123, 986–994. [Google Scholar] [CrossRef]
- Zhao, J.; Mayumi, K.; Creton, C.; Narita, T. Rheological properties of tough hydrogels based on an associating polymer with permanent and transient crosslinks: Effects of crosslinking density. J. Rheol. (N. Y.) 2017, 61, 1371–1383. [Google Scholar] [CrossRef]
- Narita, T.; Mayumi, K.; Ducouret, G.; Hébraud, P. Viscoelastic properties of poly(vinyl alcohol) hydrogels having permanent and transient cross-links studied by microrheology, classical rheometry, and dynamic light scattering. Macromolecules 2013, 46, 4174–4183. [Google Scholar] [CrossRef]
- Musgrave, C.S.A.; Nazarov, W.; Bazin, N. The effect of para-divinyl benzene on styrenic emulsion-templated porous polymers: A chemical Trojan horse. J. Mater. Sci. 2017, 52, 3179–3187. [Google Scholar] [CrossRef]
- Maldonado-Codina, C.; Efron, N. Impact of manufacturing technology and material composition on the mechanical properties of hydrogel contact lenses. Ophthalmic Physiol. Opt. 2004, 24, 551–561. [Google Scholar] [CrossRef]
- Ashby, M.F. The properties of foams and lattices. Philos. Trans. R. Soc. A Math. Phys. Eng. Sci. 2006, 364, 15–30. [Google Scholar] [CrossRef]
- Luo, Y.; Wang, A.-N.; Gao, X. Pushing the mechanical strength of PolyHIPEs up to the theoretical limit through living radical polymerization. Soft Matter 2012, 8, 1824–1830. [Google Scholar] [CrossRef]
- Dixon, P.; Shafor, C.; Gause, S.; Hsu, K.-H.; Powell, K.C.; Chauhan, A. Therapeutic contact lenses: A patent review. Expert Opin. Ther. Pat. 2015, 25, 1117–1129. [Google Scholar] [CrossRef] [PubMed]
- Fairbanks, B.D.; Gunatillake, P.A.; Meagher, L. Biomedical applications of polymers derived by reversible addition—Fragmentation chain-transfer (RAFT). Adv. Drug Deliv. Rev. 2015, 91, 141–152. [Google Scholar] [CrossRef] [PubMed]
- Pai, T.S.C.; Barner-Kowollik, C.; Davis, T.P.; Stenzel, M.H. Synthesis of amphiphilic block copolymers based on poly(dimethylsiloxane) via fragmentation chain transfer (RAFT) polymerization. Polymer (Guildf.) 2004, 45, 4383–4389. [Google Scholar] [CrossRef]
- Abdollahi, E.; Khalafi-Nezhad, A.; Mohammadi, A.; Abdouss, M.; Salami-Kalajahi, M. Synthesis of new molecularly imprinted polymer via reversible addition fragmentation transfer polymerization as a drug delivery system. Polymer (U. K.) 2018, 143, 245–257. [Google Scholar] [CrossRef]
- Junkers, T.; Lovestead, T.M.; Barner-Kowollik, C. The RAFT process as a kinetic tool: Accessing fundamental parameters of free radical polymerization. In Handbook of RAFT Polymerization; Barner-Kowollik, C., Ed.; Wiley-VCH: Weinheim, Germany, 2008; pp. 105–144. [Google Scholar]
- Krstina, J.; Moad, G.; Rizzardo, E.; Winzor, C.L.; Berge, C.T.; Fryd, M. Narrow Polydispersity Block Copolymers by Free-Radical Polymerization in the Presence of Macromonomers. Macromolecules 1995, 28, 5381–5385. [Google Scholar] [CrossRef]
- Bivigou-Koumba, A.M.; Görnitz, E.; Laschewsky, A.; Müller-Buschbaum, P.; Papadakis, C.M. Thermoresponsive amphiphilic symmetrical triblock copolymers with a hydrophilic middle block made of poly(N-isopropylacrylamide): Synthesis, self-organization, and hydrogel formation. Colloid Polym. Sci. 2010, 288, 499–517. [Google Scholar] [CrossRef]
- Hemp, S.T.; Smith, A.E.; Bunyard, W.C.; Rubinstein, M.H.; Long, T.E. RAFT polymerization of temperature- and salt-responsive block copolymers as reversible hydrogels. Polymer (Guildf.) 2014, 55, 2325–2331. [Google Scholar] [CrossRef]
- Liu, J.; Cui, L.; Kong, N.; Barrow, C.J.; Yang, W. RAFT controlled synthesis of graphene/polymer hydrogel with enhanced mechanical property for pH-controlled drug release. Eur. Polym. J. 2014, 50, 9–17. [Google Scholar] [CrossRef]
- Guan, C.M.; Luo, Z.H.; Qiu, J.J.; Tang, P.P. Novel fluorosilicone triblock copolymers prepared by two-step RAFT polymerization: Synthesis, characterization, and surface properties. Eur. Polym. J. 2010, 46, 1582–1593. [Google Scholar] [CrossRef]
- Zhang, C.; Liu, Z.; Wang, H.; Feng, X.; He, C. Novel Anti-Biofouling Soft Contact Lens: L -Cysteine Conjugated Amphiphilic Conetworks via RAFT and Thiol—Ene Click Chemistry. Macromol. Biosci. 2017, 17, 1600444. [Google Scholar] [CrossRef]
- Ozgen, O.; Hasirci, N. Modification of Poly(methyl methacrylate) Surfaces with Oxygen, Nitrogen and Argon Plasma. J. Biomater. Tissue Eng. 2014, 4, 479–487. [Google Scholar] [CrossRef]
- Alió, J.L.; Belda, J.I.; Artola, A.; García-Lledó, M.; Osman, A. Contact lens fitting to correct irregular astigmatism after corneal refractive surgery. J. Cataract Refract. Surg. 2002, 28, 1750–1757. [Google Scholar] [CrossRef]
- Thean, J.H.J.; Mcnab, A.A. Blepharoptosis in RGP and PMMA hard contact lens wearers. Clin. Exp. Optom. 2004, 87, 11–14. [Google Scholar] [CrossRef]
- Subbaraman, L.N.; Glasier, M.-A.; Senchyna, M.; Sheardown, H.; Jones, L. Kinetics of In Vitro Lysozyme Deposition on Silicone Hydrogel, PMMA, and FDA Groups I, II, and IV Contact Lens Materials. Curr. Eye Res. 2006, 31, 787–796. [Google Scholar] [CrossRef]
- Wang, J. Topographical Thickness of the Epithelium and Total Cornea after Hydrogel and PMMA Contact Lens Wear with Eye Closure. Investig. Ophthalmol. Vis. Sci. 2003, 44, 1070–1074. [Google Scholar] [CrossRef]
- Asgharzadeh Shishavan, A.; Nordin, L.; Tjossem, P.; Abramoff, M.D.; Toor, F. PMMA-based ophthalmic contact lens for vision correction of strabismus. Proc. SPIE 2016, 9918, 99180C. [Google Scholar]
- Li, S.; Toprak, M.S.; Jo, Y.S.; Dobson, J.; Kim, D.K.; Muhammed, M. Bulk Synthesis of Transparent and Homogeneous Polymeric Hybrid Materials with ZnO Quantum Dots and PMMA. Adv. Mater. 2007, 19, 4347–4352. [Google Scholar] [CrossRef]
- Koruga, D.; Stamenković, D.; Djuricic, I.; Mileusnic, I.; Šakota, J.; Bojović, B.; Golubovoć, Z. Nanophotonic Rigid Contact Lenses: Engineering and Characterization. Adv. Mater. Res. 2013, 633, 239–252. [Google Scholar] [CrossRef]
- Tomić, M.; Munćan, J.; Stamenković, D.; Jokanović, M.; Matija, L. Biocompatibility and cytotoxicity study of nanophotonic rigid gas permeable contact lens material. J. Phys. Conf. Ser. 2013, 429. [Google Scholar] [CrossRef]
- Mitrović, A.D.; Miljković, V.M.; Popović, D.P.; Koruga, D.L. Mechanical properties of nanophotonic soft contact lenses based on poly (2-hydrohzethil methacrylate) and fullerenes. Struct. Integr. Life 2016, 16, 3–6. [Google Scholar]
- Van der Worp, E.; Bornman, D.; Ferreira, D.L.; Faria-Ribeiro, M.; Garcia-Porta, N.; González-Meijome, J.M. Modern scleral contact lenses: A review. Contact Lens Anterior Eye 2014, 37, 240–250. [Google Scholar] [CrossRef] [PubMed]
- Ko, J.; Cho, K.; Han, S.W.; Sung, H.K.; Baek, S.W.; Koh, W.-G.; Yoon, J.S. Hydrophilic surface modification of poly(methyl methacrylate)-based ocular prostheses using poly(ethylene glycol) grafting. Colloids Surf. B Biointerfaces 2017, 158, 287–294. [Google Scholar] [CrossRef] [PubMed]
- Efron, N. Obituary—Rigid contact lenses. Contact Lens Anterior Eye 2010, 33, 245–252. [Google Scholar] [CrossRef] [PubMed]
- Haluk, E.; Nazan, E. Corneal endothelial polymegethism and pleomorphism induced by daily-wear rigid gas-permeably contact lenses. CLAO J. 2002, 28, 40–43. [Google Scholar]
- Shokrollahzadeh, F.; Hashemi, H.; Jafarzadehpur, E.; Mirzajani, A.; Khabazkhoob, M.; Yekta, A.; Asgari, S. Corneal aberration changes after rigid gas permeable contact lens wear in keratokonic patients. J. Curr. Ophthalmol. 2016, 28, 194–198. [Google Scholar] [CrossRef] [PubMed]
- Yuksel Elgin, C.; Iskeleli, G.; Aydin, O. Effects of the rigid gas permeable contact lense use on tear and ocular surface among keratoconus patients. Contact Lens Anterior Eye 2018, 41, 273–276. [Google Scholar] [CrossRef]
- Eggink, F.A.G.J.; Beekhuis, W.H.; Nuijts, R.M.M.A. Rigid gas-permeable contact lens fitting in LASIK patients for the correction of multifocal corneas. Graefe’s Arch. Clin. Exp. Ophthalmol. 2001, 239, 361–366. [Google Scholar] [CrossRef]
- Vincent, S.J.; Alonso-Caneiro, D.; Collins, M.J. Corneal changes following short-term miniscleral contact lens wear. Contact Lens Anterior Eye 2014, 37, 461–468. [Google Scholar] [CrossRef] [PubMed]
- Lai, Y.-C.; Bonafini, J.A., Jr. Rigid Gas Permeable Lens Material. U.S. Patent 7344731B2, 18 March 2008. [Google Scholar]
- Ruan, J.L.; Chen, C.; Shen, J.H.; Zhao, X.L.; Qian, S.H.; Zhu, Z.G. A gelated colloidal crystal attached lens for noninvasive continuous monitoring of tear glucose. Polymers 2017, 9, 125. [Google Scholar] [CrossRef]
- Tseng, R.C.; Chen, C.C.; Hsu, S.M.; Chuang, H.S. Contact-lens biosensors. Sensors 2018, 18, 2651. [Google Scholar] [CrossRef]
- Shtukater, A. Smart Contact Lens with Orientation Sensor. U.S. Patent 2017/0371184, 28 December 2017. [Google Scholar]
- Kim, T.; Hwang, S.; Kim, S.; Ahn, H.; Chung, D. Smart Contact Lenses for Augmented Reality and Methods of Manufacturing and Operating the Same. U.S. Patent 2016/0091737A1, 31 March 2016. [Google Scholar]
- Kim, J.; Kim, M.; Lee, M.S.; Kim, K.; Ji, S.; Kim, Y.T.; Park, J.; Na, K.; Bae, K.H.; Kim, H.K.; et al. Wearable smart sensor systems integrated on soft contact lenses for wireless ocular diagnostics. Nat. Commun. 2017, 8, 14997. [Google Scholar] [CrossRef]
- Maldonado-Codina, C.; Efron, N. Dynamic wettability of pHEMA-based hydrogel contact lenses. Ophthalmic Physiol. Opt. 2006, 26, 408–418. [Google Scholar] [CrossRef] [PubMed]
- Seo, E.; Kumar, S.; Lee, J.; Jang, J.; Park, J.H.; Chang, M.C.; Kwon, I.; Lee, J.S.; Huh, Y. il Modified hydrogels based on poly(2-hydroxyethyl methacrylate) (pHEMA) with higher surface wettability and mechanical properties. Macromol. Res. 2017, 25, 704–711. [Google Scholar] [CrossRef]
- Tranoudis, I.; Efron, N. Parameter stability of soft contact lenses made from different materials. Contact Lens Anterior Eye 2004, 27, 115–131. [Google Scholar] [CrossRef]
- Tranoudis, I.; Efron, N. Water properties of soft contact lens materials. Contact Lens Anterior Eye 2004, 27, 193–208. [Google Scholar] [CrossRef] [PubMed]
- Tranoudis, I.; Efron, N. Tensile properties of soft contact lens materials. Contact Lens Anterior Eye 2004, 27, 177–191. [Google Scholar] [CrossRef] [PubMed]
- Woźniak-Braszak, A.; Kaźmierczak, M.; Baranowski, M.; Hołderna-Natkaniec, K.; Jurga, K. The aging process of hydrogel contact lenses studied by 1H NMR and DSC methods. Eur. Polym. J. 2016, 76, 135–146. [Google Scholar] [CrossRef]
- Lord, M.S.; Stenzel, M.H.; Simmons, A.; Milthorpe, B.K. The effect of charged groups on protein interactions with poly(HEMA) hydrogels. Biomaterials 2006, 27, 567–575. [Google Scholar] [CrossRef]
- Luensmann, D.; Jones, L. Protein deposition on contact lenses: The past, the present, and the future. Contact Lens Anterior Eye 2012, 35, 53–64. [Google Scholar] [CrossRef]
- Borazjani, R.N.; Levy, B.; Ahearn, D.G. Relative primary adhesion of Pseudomonas aeruginosa, Serratia marcescens and Staphylococcus aureus to HEMA-type contact lenses and an extended wear silicone hydrogel contact lens of high oxygen permeability. Contact Lens Anterior Eye 2004, 27, 3–8. [Google Scholar] [CrossRef]
- Szczotka-flynn, L.B.; Imamura, Y.; Chandra, J.; Yu, C.; Mukherjee, P.K.; Pearlman, E.; Ghannoum, M.A. Increased resistance of contact lens related bacterial biofilms to antimicrobial activity of soft contact lens care solutions. Cornea 2009, 28, 918–926. [Google Scholar] [CrossRef] [PubMed]
- Dutta, D.; Cole, N.; Willcox, M. Factors influencing bacterial adhesion to contact lenses. Mol. Vis. 2012, 18, 14–21. [Google Scholar] [PubMed]
- Xiao, A.; Dhand, C.; Leung, C.M.; Beuerman, R.W.; Ramakrishna, S.; Lakshminarayanan, R. Strategies to design antimicrobial contact lenses and contact lens cases. J. Mater. Chem. B 2018, 6, 2171–2186. [Google Scholar] [CrossRef]
- Jung, Y.P.; Kim, J.; Lee, D.S.; Kim, Y.H. Preparation and Properties of Modified PHEMA Hydrogel with Sulfonated PEG Graft. J. Appl. Polym. Sci. 2007, 104, 2484–2489. [Google Scholar] [CrossRef]
- Dutta, D.; Vijay, A.K.; Kumar, N.; Willcox, M.D.P. Melimine-Coated Antimicrobial Contact Lenses Reduce Microbial Keratitis in an Animal Model. Investig. Ophthalmol. Vis. Sci. 2016, 57, 5616–5624. [Google Scholar] [CrossRef]
- Dutta, D.; Ozkan, J.; Willcox, M.D.P. Biocompatibility of Antimicrobial Melimine lenses: Rabbit and Human studies. Optom. Vis. Sci. 2014, 91, 570–581. [Google Scholar] [CrossRef]
- Shaynai Rad, M.; Khameneh, M.; Mohajeri, S.A.; Fazly Bazzaz, B.S. Antibacterial activity of silver nanoparticle-loaded soft contact lens materails: the effect of monomer composition. Curr. Eye Res. 2016, 41, 1286–1293. [Google Scholar] [CrossRef]
- Willcox, M.D.P.; Hume, E.B.H.; Aliwarga, Y.; Kumar, N.; Cole, N. A novel cationic-peptide coating for the prevention of microbial colonization on contact lenses. J. Appl. Microbiol. 2008, 105, 1817–1825. [Google Scholar] [CrossRef]
- Malakooti, N.; Alexander, C.; Alvarez-lorenzo, C. Imprinted Contact Lenses for Sustained Release of Polymyxin B and Related Antimicrobial Peptides. J. Pharm. Sci. 2015, 104, 3386–3394. [Google Scholar] [CrossRef]
- Sato, T.; Uchida, R.; Tanigawa, H.; Uno, K.; Murakami, A. Application of polymer gels containing side-chain phosphate groups to drug-delivery contact lenses. J. Appl. Polym. Sci. 2005, 98, 731–735. [Google Scholar] [CrossRef]
- Bengani, L.C.; Scheiffele, G.W.; Chauhan, A. Incorporation of polymerizable surfactants in hydroxyethyl methacrylate lenses for improving wettability and lubricity. J. Colloid Interface Sci. 2015, 445, 60–68. [Google Scholar] [CrossRef] [PubMed]
- Chalmers, R. Overview of factors that affect comfort with modern soft contact lenses. Contact Lens Anterior Eye 2014, 37, 65–76. [Google Scholar] [CrossRef] [PubMed]
- Sulley, A.; Young, G.; Hunt, C. Factors in the success of new contact lens wearers. Contact Lens Anterior Eye 2017, 40, 15–24. [Google Scholar] [CrossRef] [PubMed]
- Dumbleton, K.; Woods, C.A.; Jones, L.; Fonn, D. The impact of contemporary contact lenses on contact lens discontinuation. Eye Contact Lens Sci. Clin. Pract. 2013, 39, 93–99. [Google Scholar] [CrossRef] [PubMed]
- Kapoor, Y.; Thomas, J.C.; Tan, G.; John, V.T.; Chauhan, A. Surfactant-laden soft contact lenses for extended delivery of ophthalmic drugs. Biomaterials 2009, 30, 867–878. [Google Scholar] [CrossRef] [PubMed]
- Maulvi, F.A.; Desai, A.R.; Choksi, H.H.; Patil, R.J.; Ranch, K.M.; Vyas, B.A.; Shah, D.O. Effect of surfactant chain length on drug release kinetics from microemulsion-laden contact lenses. Int. J. Pharm. 2017, 524, 193–204. [Google Scholar] [CrossRef] [PubMed]
- Bengani, L.C.; Chauhan, A. Extended delivery of an anionic drug by contact lens loaded with a cationic surfactant. Biomaterials 2013, 34, 2814–2821. [Google Scholar] [CrossRef]
- Kapoor, Y.; Bengani, L.C.; Tan, G.; John, V.; Chauhan, A. Aggregation and transport of Brij surfactants in hydroxyethyl methacrylate hydrogels. J. Colloid Interface Sci. 2013, 407, 390–396. [Google Scholar] [CrossRef]
- Sahoo, R.K.; Biswas, N.; Guha, A.; Sahoo, N.; Kuotsu, K. Nonionic surfactant vesicles in ocular delivery: Innovative approaches and perspectives. Biomed Res. Int. 2014, 2014. [Google Scholar] [CrossRef]
- Wolffsohn, J.; Hall, L.; Mroczkowska, S.; Hunt, O.A.; Bilkhu, P.; Drew, T.; Sheppard, A. The influence of end of day silicone hydrogel daily disposable contact lens fit on ocular comfort, physiology and lens wettability. Contact Lens Anterior Eye 2015, 38, 339–344. [Google Scholar] [CrossRef]
- Stapleton, F.; Stretton, S.; Papas, E.; Skotnitsky, C.; Sweeney, D.F. Silicone hydrogel contact lenses and the ocular surface. Ocul. Surf. 2006, 4, 24–43. [Google Scholar] [CrossRef]
- Keir, N.; Jones, L. Wettability and Silicone hydrogel lenses: A review. Eye Contact Lens Sci. Clin. Pract. 2013, 39, 100–108. [Google Scholar] [CrossRef]
- Chen, C.; Hong, Y.; Manesis, N. Wettable Silicone Hydrogel Contact Lenses and Related Compositions and Methods. U.S. Patent 7572841, 11 August 2009. [Google Scholar]
- Steffen, R.; Mccabe, K.; Turner, D.; Alli, A.; Young, K.; Schnider, C.; Hill, G.A. Soft Contact Lenses Displaying Superior on-Eye Comfort. U.S. Patent 7461937B2, 9 December 2008. [Google Scholar]
- Valint, P.L.; Ammon, D.M.; McGee, J.A.; Grobe, G.L.; Ozark, R.M. Surface Treatment for Silicone Hydrogel Contact Lenses Comprising Hydrophilic Polymer Chains Attached to an Intermediate Carbon Coating. U.S. Patent 6902812, 7 June 2005. [Google Scholar]
- Valint, P.L.; Grobe, G.L.; Ammon, D.M.; Moorehead, M.J. Plasma Surface Treatment of Silicone Hydrogel Contact Lenses. U.S. Patent 6193369B1, 27 Februry 2001. [Google Scholar]
- Iwata, J.; Hoki, T.; Ikawa, S.; Back, A. Silicone Hydrogel Contact Lens. U.S. Patent 2006/0063852A1, 23 March 2006. [Google Scholar]
- Lin, M.C.; Yeh, T.N. Mechanical complications induced by silicone hydrogel contact lenses. Eye Contact Lens 2013, 39, 115–124. [Google Scholar] [CrossRef] [PubMed]
- Santos, L.; Rodrigues, D.; Lira, M.; Oliveira, M.E.C.D.R.; Oliveira, R.; Vilar, E.Y.P.; Azeredo, J. The influence of surface treatment on hydrophobicity, protein adsorption and microbial colonisation of silicone hydrogel contact lenses. Contact Lens Anterior Eye 2007, 30, 183–188. [Google Scholar] [CrossRef] [PubMed]
- Bhamla, M.S.; Nash, W.L.; Elliott, S.; Fuller, G.G. Influence of lipid coatings on surface wettability characteristics of silicone hydrogels. Langmuir 2015, 31, 3820–3828. [Google Scholar] [CrossRef] [PubMed]
- Lin, C.-H.; Cho, H.-L.; Yeh, Y.-H.; Yang, M.-C. Improvement of the surface wettability of silicone hydrogel contact lenses via layer-by-layer self-assembly technique. Colloids Surf. B Biointerfaces 2015, 136, 735–743. [Google Scholar] [CrossRef]
- Tian, L.; Wang, X.; Qi, J.; Yao, Q.; Oderinde, O.; Yao, C.; Song, W.; Shu, W.; Chen, P.; Wang, Y. Improvement of the surface wettability of silicone hydrogel films by self- assembled hydroxypropyltrimethyl ammonium chloride chitosan mixed colloids. Colloids Surf. A 2018, 558, 422–428. [Google Scholar] [CrossRef]
- Thissen, H.; Gengenbach, T.; du Toit, R.; Sweeney, D.F.; Kingshott, P.; Griesser, H.J.; Meagher, L. Clinical observations of biofouling on PEO coated silicone hydrogel contact lenses. Biomaterials 2010, 31, 5510–5519. [Google Scholar] [CrossRef] [PubMed]
- Dutta, D.; Kamphuis, B.; Ozcelik, B.; Thissen, H.; Pinarbasi, R.; Kumar, N.; Willcox, M.D.P. Development of silicone hydrogel antimicrobial contact lenses with Mel4 peptide coating. Optom. Vis. Sci. 2018, 95, 937–946. [Google Scholar] [CrossRef]
- Dutta, D.; Cole, N.; Kumar, N.; Willcox, M.D.P. Broad spectrum antimicrobial activity of melimine covalently bound to contact lenses. Investig. Ophthalmol. Vis. Sci. 2013, 54, 175–182. [Google Scholar] [CrossRef]
- Tuby, R.; Gutfreund, S.; Perelshtein, I.; Mircus, G.; Ehrenberg, M.; Mimouni, M.; Gedanken, A.; Bahar, I. Fabrication of a Stable and Efficient Antibacterial Nanocoating of Zn-CuO on Contact Lenses. Chem. Nano Mater. 2016, 2, 547–551. [Google Scholar] [CrossRef]
- Jung, H.J.; Abou-Jaoude, M.; Carbia, B.E.; Plummer, C.; Chauhan, A. Glaucoma therapy by extended release of timolol from nanoparticle loaded silicone-hydrogel contact lenses. J. Control. Release 2013, 165, 82–89. [Google Scholar] [CrossRef] [PubMed]
- Willis, S.L.; Court, J.L.; Redman, R.P.; Wang, J.H.; Leppard, S.W.; O’Byrne, V.J.; Small, S.A.; Lewis, A.L.; Jones, S.A.; Stratford, P.W. A novel phosphorylcholine-coated contact lens for extended wear use. Biomaterials 2001, 22, 3261–3272. [Google Scholar] [CrossRef]
- Wang, J.; Li, X. Interpenetrating polymer network hydrogels based on silicone and poly(2-methacryloyloxyethyl phosphorylcholine). Polym. Adv. Technol. 2011, 22, 2091–2095. [Google Scholar] [CrossRef]
- Wang, J.J.; Liu, F. Photoinduced graft polymerization of 2-methacryloyloxyethyl phosphorylcholine on silicone hydrogels for reducing protein adsorption. J. Mater. Sci. Mater. Med. 2011, 22, 2651–2657. [Google Scholar] [CrossRef] [PubMed]
- Wang, J.J.; Liu, F. Imparting Antifouling Properties of Silicone Hydrogels by Grafting Poly (ethylene glycol) Methyl Ether Acrylate Initiated by UV Light. J. Appl. Polym. Sci. 2012, 125, 548–554. [Google Scholar] [CrossRef]
- Kingshott, P.; Thissen, H.; Griesser, H.J. Effects of cloud-point grafting, chain length, and density of PEG layers on competitive adsorption of ocular proteins. Biomaterials 2002, 23, 2043–2056. [Google Scholar] [CrossRef]
- Kingshott, P.; Wei, J.; Bagge-Ravn, D.; Gadegaard, N.; Gram, L. Covalent attachment of poly(ethylene glycol) to surfaces, critical for reducing bacterial adhesion. Langmuir 2003, 19, 6912–6921. [Google Scholar] [CrossRef]
- Chen, S.; Li, L.; Zhao, C.; Zheng, J. Surface hydration: Principles and applications toward low-fouling/nonfouling biomaterials. Polymer (Guildf.) 2010, 51, 5283–5293. [Google Scholar] [CrossRef]
- Baker, M.I.; Walsh, S.P.; Schwartz, Z.; Boyan, B.D. A review of polyvinyl alcohol and its uses in cartilage and orthopedic applications. J. Biomed. Mater. Res. Part B Appl. Biomater. 2012, 100B, 1451–1457. [Google Scholar] [CrossRef]
- Winterton, L.C. Contact Lenses with Improved Wearing Comfort. U.S. Patent US8030369B2, 4 October 2011. [Google Scholar]
- Winterton, L.C.; Lally, J.M.; Sentell, K.B.; Chapoy, L.L. The Elution of Poly (vinyl alcohol) From a Contact Lens: The Realization of a Time Release Moisturizing Agent/Artificial Tear. J. Biomed. Mater. Res. Part B Appl. Biomater. 2007, 80B, 424–432. [Google Scholar] [CrossRef] [PubMed]
- Francis, C.A.; Turek, R.C.; Keeley, D.E. Contact Lens with PVA Cover Layer. U.S. Patent 6890075B2, 10 May 2005. [Google Scholar]
- Peterson, R.C.; Wolffsohn, J.S.; Nick, J.; Winterton, L.; Lally, J. Clinical performance of daily disposable soft contact lenses using sustained release technology. Contact Lens Anterior Eye 2006, 29, 127–134. [Google Scholar] [CrossRef]
- Hou, Y.; Chen, C.; Liu, K.; Tu, Y.; Zhang, L.; Li, Y. Preparation of PVA hydrogel with high-transparence and investigations of its transparent mechanism. RSC Adv. 2015, 5, 24023–24030. [Google Scholar] [CrossRef]
- Xu, J.; Li, X.; Sun, F.; Cao, P. PVA Hydrogels Containing β-Cyclodextrin for Enhanced Loading and Sustained Release of Ocular Therapeutics. J. Biomater. Sci. Polym. Ed. 2010, 21, 1023–1038. [Google Scholar] [CrossRef] [PubMed]
- Sun, X.; Yu, Z.; Cai, Z.; Yu, L.; Lv, Y. Voriconazole Composited Polyvinyl Alcohol/Hydroxypropyl-β-Cyclodextrin Nanofibers for Ophthalmic Delivery. PLoS ONE 2016, 11, e0167961. [Google Scholar] [CrossRef]
- Tummala, G.K.; Rojas, R.; Mihranyan, A. Poly(vinyl alcohol) Hydrogels Reinforced with Nanocellulose for Ophthalmic Applications: General Characteristics and Optical Properties. J. Phys. Chem. B 2016, 120, 13094–13101. [Google Scholar] [CrossRef]
- Mihranyan, A. Viscoelastic properties of cross-linked polyvinyl alcohol and surface-oxidized cellulose whisker hydrogels. Cellulose 2013, 20, 1369–1376. [Google Scholar] [CrossRef]
- Klemm, D.; Heublein, B.; Fink, H.P.; Bohn, A. Cellulose: Fascinating biopolymer and sustainable raw material. Angew. Chem. Int. Ed. 2005, 44, 3358–3393. [Google Scholar] [CrossRef] [PubMed]
- Chang, P.S.; Robyt, J.F. Oxidation of Primary Alcohol Groups of Naturally Occurring Polysaccharides with 2,2,6,6-Tetramethyl-1-Piperidine Oxoammonium Ion. J. Carbohydr. Chem. 1996, 15, 819–830. [Google Scholar] [CrossRef]
- Ubholz, B.; Chröder, S.V.E.N.S.; Ihranyan, A.L.M. Light scattering in poly (vinyl alcohol) hydrogels reinforced with nanocellulose for ophthalmic use. Opt. Mater. Express 2017, 7, 2824–2837. [Google Scholar]
- Collins, M.N.; Birkinshaw, C. Hyaluronic acid based scaffolds for tissue engineering—A review. Carbohydr. Polym. 2013, 92, 1262–1279. [Google Scholar] [CrossRef]
- White, C.J.; Thomas, C.R.; Byrne, M.E. Bringing comfort to the masses: A novel evaluation of comfort agent solution properties. Contact Lens Anterior Eye 2014, 37, 81–91. [Google Scholar] [CrossRef]
- Rah, M.J. A review of hyaluronan and its ophthalmic applications. Optometry 2011, 82, 38–43. [Google Scholar] [CrossRef] [PubMed]
- Stach, S.; Ţălu, Ş.; Trabattoni, S.; Tavazzi, S.; Głuchaczka, A.; Siek, P.; Zając, J.; Giovanzana, S. Morphological Properties of Siloxane-Hydrogel Contact Lens Surfaces. Curr. Eye Res. 2017, 42, 498–505. [Google Scholar] [CrossRef] [PubMed]
- Salzillo, R.; Schiraldi, C.; Corsuto, L.; D’Agostino, A.; Filosa, R.; De Rosa, M.; La Gatta, A. Optimization of hyaluronan-based eye drop formulations. Carbohydr. Polym. 2016, 153, 275–283. [Google Scholar] [CrossRef]
- Johnson, M.E.; Murphy, P.J.; Boulton, M. Effectiveness of sodium hyaluronate eyedrops in the treatment of dry eye. Graefe’s Arch. Clin. Exp. Ophthalmol. 2006, 244, 109–112. [Google Scholar] [CrossRef] [PubMed]
- Van Beek, M.; Jones, L.; Sheardown, H. Hyaluronic acid containing hydrogels for the reduction of protein adsorption. Biomaterials 2008, 29, 780–789. [Google Scholar] [CrossRef]
- Paterson, S.M.; Liu, L.; Brook, M.A.; Sheardown, H. Poly(ethylene glycol)-or silicone-modified hyaluronan for contact lens wetting agent applications. J. Biomed. Mater. Res. Part A 2015, 103, 2602–2610. [Google Scholar] [CrossRef] [PubMed]
- Barbault-Foucher, S.; Gref, R.; Russo, P.; Guechot, J.; Bochot, A. Design of poly-ε-caprolactone nanospheres coated with bioadhesive hyaluronic acid for ocular delivery. J. Control. Release 2002, 83, 365–375. [Google Scholar] [CrossRef]
- Moustafa, M.A.; Elnaggar, Y.S.R.; El-Refaie, W.M.; Abdallah, O.Y. Hyalugel-integrated liposomes as a novel ocular nanosized delivery system of fluconazole with promising prolonged effect. Int. J. Pharm. 2017, 534, 14–24. [Google Scholar] [CrossRef]
- Li, C.; Chen, R.; Xu, M.; Qiao, J.; Yan, L.; Guo, X.D. Hyaluronic acid modified MPEG- b -PAE block copolymer aqueous micelles for efficient ophthalmic drug delivery of hydrophobic genistein. Drug Deliv. 2018, 25, 1258–1265. [Google Scholar] [CrossRef] [PubMed]
- Korogiannaki, M.; Guidi, G.; Jones, L.; Sheardown, H. Timolol maleate release from hyaluronic acid-containing model silicone hydrogel contact lens materials. J. Biomater. Appl. 2015, 30, 361–376. [Google Scholar] [CrossRef] [PubMed]
- Korogiannaki, M.; Zhang, J.; Sheardown, H. Surface modification of model hydrogel contact lenses with hyaluronic acid via thiol-ene “click” chemistry for enhancing surface characteristics. J. Biomater. Appl. 2017, 32, 446–462. [Google Scholar] [CrossRef] [PubMed]
- Deng, X.; Korogiannaki, M.; Rastegari, B.; Zhang, J.; Chen, M.; Fu, Q.; Sheardown, H.; Filipe, C.D.M.; Hoare, T. “Click” Chemistry-Tethered Hyaluronic Acid-Based Contact Lens Coatings Improve Lens Wettability and Lower Protein Adsorption. ACS Appl. Mater. Interfaces 2016, 8, 22064–22073. [Google Scholar] [CrossRef] [PubMed]
- Weeks, A.; Morrison, D.; Alauzun, J.G.; Brook, M.A.; Jones, L.; Sheardown, H. Photocrosslinkable hyaluronic acid as an internal wetting agent in model conventional and silicone hydrogel contact lenses. J. Biomed. Mater. Res. Part A 2012, 100 A, 1972–1982. [Google Scholar] [CrossRef]
- Lang, J.C. Ocular drug delivery conventional ocular formulations. Adv. Drug Deliv. Rev. 1995, 16, 39–43. [Google Scholar] [CrossRef]
- Choi, S.W.; Kim, J. Therapeutic Contact Lenses with Polymeric Vehicles for Ocular Drug Delivery: A Review. Materials 2018, 11, 1125. [Google Scholar] [CrossRef]
- Cheng, R.; Meng, F.; Deng, C.; Klok, H.A.; Zhong, Z. Dual and multi-stimuli responsive polymeric nanoparticles for programmed site-specific drug delivery. Biomaterials 2013, 34, 3647–3657. [Google Scholar] [CrossRef]
- Maulvi, F.A.; Lakdawala, D.H.; Shaikh, A.A.; Desai, A.R.; Choksi, H.H.; Vaidya, R.J.; Ranch, K.M.; Koli, A.R.; Vyas, B.A.; Shah, D.O. In vitro and in vivo evaluation of novel implantation technology in hydrogel contact lenses for controlled drug delivery. J. Control. Release 2016, 226, 47–56. [Google Scholar] [CrossRef]
- El Shaer, A.; Mustafa, S.; Kasar, M.; Thapa, S.; Ghatora, B.; Alany, R.G. Nanoparticle-laden contact lens for controlled ocular delivery of prednisolone: Formulation optimization using statistical experimental design. Pharmaceutics 2016, 8, 14. [Google Scholar] [CrossRef]
- Behl, G.; Iqbal, J.; O’Reilly, N.J.; McLoughlin, P.; Fitzhenry, L. Synthesis and Characterization of Poly(2-hydroxyethylmethacrylate) Contact Lenses Containing Chitosan Nanoparticles as an Ocular Delivery System for Dexamethasone Sodium Phosphate. Pharm. Res. 2016, 33, 1638–1648. [Google Scholar] [CrossRef] [PubMed]
- Dos Santos, J.F.R.; Couceiro, R.; Concheiro, A.; Torres-Labandeira, J.J.; Alvarez-Lorenzo, C. Poly(hydroxyethyl methacrylate-co-methacrylated-β-cyclodextrin) hydrogels: Synthesis, cytocompatibility, mechanical properties and drug loading/release properties. Acta Biomater. 2008, 4, 745–755. [Google Scholar] [CrossRef]
- Phan, C.-M.; Subbaraman, L.N.; Jones, L. In vitro drug release of natamycin from β-cyclodextrin and 2-hydroxypropyl-β-cyclodextrin-functionalized contact lens materials. J. Biomater. Sci. Polym. Ed. 2014, 25, 1907–1919. [Google Scholar] [CrossRef] [PubMed]
- Xu, J.; Li, X.; Sun, F. Cyclodextrin-containing hydrogels for contact lenses as a platform for drug incorporation and release. Acta Biomater. 2010, 6, 486–493. [Google Scholar] [CrossRef] [PubMed]
- Alvarez-Lorenzo, C.; Yañez, F.; Barreiro-Iglesias, R.; Concheiro, A. Imprinted soft contact lenses as norfloxacin delivery systems. J. Control. Release 2006, 113, 236–244. [Google Scholar] [CrossRef] [PubMed]
- Malaekeh-Nikouei, B.; Vahabzadeh, S.A.; Mohajeri, S.A. Preparation of a Molecularly Imprinted Soft Contact Lens as a New Ocular Drug Delivery System for Dorzolamide. Curr. Drug Deliv. 2013, 10, 279–285. [Google Scholar] [CrossRef] [PubMed]
- Hiratani, H.; Alvarez-Lorenzo, C. Timolol uptake and release by imprinted soft contact lenses made of N,N-diethylacrylamide and methacrylic acid. J. Control. Release 2002, 83, 223–230. [Google Scholar] [CrossRef]
- Li, C.C.; Chauhan, A. Ocular transport model for ophthalmic delivery of timolol through p-HEMA contact lenses. J. Drug Deliv. Sci. Technol. 2007, 17, 69–79. [Google Scholar] [CrossRef]
- Schrader, S.; Wedel, T.; Moll, R.; Geerling, G. Combination of serum eye drops with hydrogel bandage contact lenses in the treatment of persistent epithelial defects. Graefe’s Arch. Clin. Exp. Ophthalmol. 2006, 244, 1345–1349. [Google Scholar] [CrossRef] [PubMed]
- Lesher, G.A.; Gunderson, G.G. Continuous drug delivery through the use of disposable contact lenses. Optom. Vis. Sci. 1993, 70, 1012–1018. [Google Scholar] [CrossRef]
- Hu, X.; Hao, L.; Wang, H.; Yang, X.; Zhang, G.; Wang, G.; Zhang, X. Hydrogel contact lens for extended delivery of ophthalmic drugs. Int. J. Polym. Sci. 2011. [Google Scholar] [CrossRef]
- Kim, J.; Peng, C.C.; Chauhan, A. Extended release of dexamethasone from silicone-hydrogel contact lenses containing vitamin E. J. Control. Release 2010, 148, 110–116. [Google Scholar] [CrossRef] [PubMed]
- Peng, C.C.; Burke, M.T.; Chauhan, A. Transport of topical anesthetics in vitamin E loaded silicone hydrogel contact lenses. Langmuir 2012, 28, 1478–1487. [Google Scholar] [CrossRef] [PubMed]
- Dixon, P.; Fentzke, R.C.; Bhattacharya, A.; Konar, A.; Hazra, S.; Chauhan, A. In vitro drug release and in vivo safety of vitamin E and cysteamine loaded contact lenses. Int. J. Pharm. 2018, 544, 380–391. [Google Scholar] [CrossRef] [PubMed]
- Hsu, K.H.; Fentzke, R.C.; Chauhan, A. Feasibility of corneal drug delivery of cysteamine using vitamin E modified silicone hydrogel contact lenses. Eur. J. Pharm. Biopharm. 2013, 85, 531–540. [Google Scholar] [CrossRef] [PubMed]
- Dixon, P.; Ghosh, T.; Mondal, K.; Konar, A.; Chauhan, A.; Hazra, S. Controlled delivery of pirfenidone through vitamin E-loaded contact lens ameliorates corneal inflammation. Drug Deliv. Transl. Res. 2018, 8, 1114–1126. [Google Scholar] [CrossRef] [PubMed]
- Hui, A.; Bajgrowicz-Cieslak, M.; Phan, C.M.; Jones, L. In vitro release of two anti-muscarinic drugs from soft contact lenses. Clin. Ophthalmol. 2017, 11, 1657–1665. [Google Scholar] [CrossRef] [PubMed]
- Zuegg, J.; Cooper, M.A. Drug-likeness and increased hydrophobicity of commercially available compound libraries for drug screening. Curr. Top. Med. Chem. 2012, 12, 1500–1513. [Google Scholar] [CrossRef]
- O’Brien, F.J. Biomaterials & scaffolds for tissue engineering. Mater. Today 2011, 14, 88–95. [Google Scholar]
- Tang, D.; Tare, R.S.; Yang, L.Y.; Williams, D.F.; Ou, K.L.; Oreffo, R.O.C. Biofabrication of bone tissue: Approaches, challenges and translation for bone regeneration. Biomaterials 2016, 83, 363–382. [Google Scholar] [CrossRef]
- Madaghiele, M.; Sannino, A.; Ambrosio, L.; Demitri, C. Polymeric hydrogels for burn wound care: Advanced skin wound dressings and regenerative templates. Burn. Trauma 2014, 2, 153. [Google Scholar] [CrossRef] [PubMed]
- Roseti, L.; Parisi, V.; Petretta, M.; Cavallo, C.; Desando, G.; Bartolotti, I.; Grigolo, B. Scaffolds for Bone Tissue Engineering: State of the art and new perspectives. Mater. Sci. Eng. C 2017, 78, 1246–1262. [Google Scholar] [CrossRef] [PubMed]
- Bailey, J.; Morgan, P.; Gleeson, H.; Jones, J. Switchable Liquid Crystal Contact Lenses for the Correction of Presbyopia. Crystals 2018, 8, 29. [Google Scholar] [CrossRef]
- Syed, I.M.; Kaur, S.; Milton, H.E.; Mistry, D.; Bailey, J.; Morgan, P.B.; Jones, J.C.; Gleeson, H.F. Novel switching mode in a vertically aligned liquid crystal contact lens. Opt. Express 2015, 23, 9911. [Google Scholar] [CrossRef] [PubMed]
- Bailey, J.; Kaur, S.; Morgan, P.B.; Gleeson, H.F.; Clamp, J.H.; Jones, J.C. Design considerations for liquid crystal contact lenses. J. Phys. D. Appl. Phys. 2017, 50. [Google Scholar] [CrossRef]
- Nonoyama, T.; Gong, J.P. Double-network hydrogel and its potential biomedical application: A review. Proc. Inst. Mech. Eng. Part H J. Eng. Med. 2015, 229, 853–863. [Google Scholar] [CrossRef] [PubMed]
- Nakajima, T.; Sato, H.; Zhao, Y.; Kawahara, S.; Kurokawa, T.; Sugahara, K.; Gong, J.P. A Universal Molecular Stent Method to Toughen any Hydrogels Based on Double Network Concept. Adv. Funct. Mater. 2012, 22, 4426–4432. [Google Scholar] [CrossRef]
- Myung, D.; Noolandl, J.; Ta, C.; Frank, C.W. Interpenetrating Polymer Network Hydrogel Contact Lenses. U.S. Patent 7857447B2, 28 December 2010. [Google Scholar]
- Yañez, F.; Concheiro, A.; Alvarez-Lorenzo, C. Macromolecule release and smoothness of semi-interpenetrating PVP-pHEMA networks for comfortable soft contact lenses. Eur. J. Pharm. Biopharm. 2008, 69, 1094–1103. [Google Scholar] [CrossRef]
- Macdougall, L.J.; Perez-Madrigal, M.; Shaw, J.; Inam, M.; Hoyland, J.A.; O’Reilly, R.K.; Richardson, S.M.; Dove, A.P. Self-healing, stretchable and robust interpenetrating network hydrogels. Biomater. Sci. 2018, 6, 2932–2937. [Google Scholar] [CrossRef]
- Castellino, V.; Acosta, E.; Cheng, Y.L. Interpenetrating polymer networks templated on bicontinuous microemulsions containing silicone oil, methacrylic acid, and hydroxyethyl methacrylate. Colloid Polym. Sci. 2013, 291, 527–539. [Google Scholar] [CrossRef]
- Riber, L.; Burmølle, M.; Alm, M.; Milani, S.M.; Thomsen, P.; Hansen, L.H.; Sørensen, S.J. Enhanced plasmid loss in bacterial populations exposed to the antimicrobial compound irgasan delivered from interpenetrating polymer network silicone hydrogels. Plasmid 2016, 87–88, 72–78. [Google Scholar] [CrossRef] [PubMed]
- Tugui, C.; Cazacu, M.; Sacarescu, L.; Bele, A.; Stiubianu, G.; Ursu, C.; Racles, C. Full silicone interpenetrating bi-networks with different organic groups attached to the silicon atoms. Polymer (Guildf) 2015, 77, 312–322. [Google Scholar] [CrossRef]
- Vuillequez, A.; Moreau, J.; Garda, M.R.; Youssef, B.; Saiter, J.M. Polyurethane methacrylate/silicone interpenetrating polymer networks synthesis, thermal and mechanical properties. J. Polym. Res. 2008, 15, 89–96. [Google Scholar] [CrossRef]
- Fenton, O.S.; Olafson, K.N.; Pillai, P.S.; Mitchell, M.J.; Langer, R. Advances in Biomaterials for Drug Delivery. Adv. Mater. 2018, 30, 1–29. [Google Scholar] [CrossRef] [PubMed]
- Aydin, D.; Alipour, M.; Kizilel, S. Design of Stimuli-responsive drug delivery hydrogels. In Functional Hydrogels in Drug Delivery: Key Features and Future Perspectives; Spizzirri, U.G., Cirillo, G., Eds.; Taylor & Francis Group: Boca Raton, FL, USA, 2017; pp. 1–23. ISBN 9781498747998. [Google Scholar]
- Schmaljohann, D. Thermo- and pH-responsive polymers in drug delivery. Adv. Drug Deliv. Rev. 2006, 58, 1655–1670. [Google Scholar] [CrossRef] [PubMed]
- Kanamala, M.; Wilson, W.R.; Yang, M.; Palmer, B.D.; Wu, Z. Mechanisms and biomaterials in pH-responsive tumour targeted drug delivery: A review. Biomaterials 2016, 85, 152–167. [Google Scholar] [CrossRef]
- Zhu, Q.; Cheng, H.; Huo, Y.; Mao, S. Sustained ophthalmic delivery of highly soluble drug using pH-triggered inner layer-embedded contact lens. Int. J. Pharm. 2018, 544, 100–111. [Google Scholar] [CrossRef]
- Vanparijs, N.; Nuhn, L.; De Geest, B.G. Transiently thermoresponsive polymers and their applications in biomedicine. Chem. Soc. Rev. 2017, 46, 1193–1239. [Google Scholar] [CrossRef] [PubMed]
- Zhang, Q.; Weber, C.; Schubert, U.S.; Hoogenboom, R. Thermoresponsive polymers with lower critical solution temperature: From fundamental aspects and measuring techniques to recommended turbidimetry conditions. Mater. Horizons 2017, 4, 109–116. [Google Scholar] [CrossRef]
- Jung, H.J.; Chauhan, A. Temperature sensitive contact lenses for triggered ophthalmic drug delivery. Biomaterials 2012, 33, 2289–2300. [Google Scholar] [CrossRef]
- Barar, J.; Aghanejad, A.; Fathi, M.; Omidi, Y. Advanced drug delivery and targeting technologies for the ocular diseases. BioImpacts 2016, 6, 49–67. [Google Scholar] [CrossRef] [PubMed]
- Phan, C.-M.; Subbaraman, L.N.; Jones, L. Contact lenses for antifungal ocular drug delivery: A review. Expert Opin. Drug Deliv. 2014, 11, 537–546. [Google Scholar] [CrossRef] [PubMed]
- Yin, C.; Ansell, S.F. Molds for Producing Contact Lenses. U.S. Patent 8292256B2, 23 October 2012. [Google Scholar]
- Samuel, N.T.; Huang, H.; Wu, D.; Haken, U.; Pruitt, J.D.; Domschke, A.M.; Matsuzawa, Y. Method for Making Silicone Hydrogel Contact Lenses. Patent WO2012/078457, 14 June 2012. [Google Scholar]
- Norris, L.D.; Bialek, E.S.; Almond, S.; Morsley, D.R.; Siddiqui, A.K.M.S.; Rogers, R.C.; Bruce, I.; Sheader, B.S. Polar Thermoplastic Ophthalmic Lens Molds, Ophthalmic Lenses Molded Therin, and Related Methods. U.S. Patent 9156214B2, 13 October 2015. [Google Scholar]
- Hopson, P.; Pegram, S.C.; Nitin, N.; Hanson, H.S.; Rubal, M.; Hanson, D.P. Apparatus for Trating an Ophthalmic Lens Mold Part. Patent WO2011/119945, 29 September 2011. [Google Scholar]
- Fang, F.; Xu, F. Recent Advances in Micro/Nano-cutting: Effect of Tool Edge and Material Properties. Nanomanuf. Metrol. 2018, 1, 4–31. [Google Scholar] [CrossRef]
- Fang, F.Z.; Zhang, X.D.; Gao, W.; Guo, Y.B.; Byrne, G.; Hansen, H.N. Nanomanufacturing—Perspective and applications. CIRP Ann. Manuf. Technol. 2017, 66, 683–705. [Google Scholar] [CrossRef]
- Zhu, L.; Li, Z.; Fang, F.; Huang, S.; Zhang, X. Review on fast tool servo machining of optical freeform surfaces. Int. J. Adv. Manuf. Technol. 2018, 95, 2071–2092. [Google Scholar] [CrossRef]
- Kang, C.; Fang, F. State of the art of bioimplants manufacturing: part II. Adv. Manuf. 2018, 6, 137–154. [Google Scholar] [CrossRef]
- Lee, W.; Jin, M.K.; Yoo, W.C.; Lee, J.K. Nanostructuring of a polymeric substrate with well-defined nanometer-scale topography and tailored surface wettability. Langmuir 2004, 20, 7665–7669. [Google Scholar] [CrossRef]
- Arora, H.S.; Xu, Q.; Xia, Z.; Ho, Y.H.; Dahotre, N.B.; Schroers, J.; Mukherjee, S. Wettability of nanotextured metallic glass surfaces. Scr. Mater. 2013, 69, 732–735. [Google Scholar] [CrossRef]
- Encinas, N.; Pantoja, M.; Abenojar, J.; Martínez, M.A. Control of wettability of polymers by surface roughness modification. J. Adhes. Sci. Technol. 2010, 24, 1869–1883. [Google Scholar] [CrossRef]
- Kong, L.B.; Cheung, C.F.; Jiang, J.B.; To, S.; Lee, W.B. Characterization of freeform optics in automotive lighting systems using an Optical-Geometrical Feature Based Method. Optik (Stuttg) 2011, 122, 358–363. [Google Scholar] [CrossRef]
- Forbes, G.W. Characterizing the shape of freeform optics. Opt. Express 2012, 20, 2483. [Google Scholar] [CrossRef] [PubMed]
- Fang, F.Z.; Zhang, X.D.; Weckenmann, A.; Zhang, G.X.; Evans, C. Manufacturing and measurement of freeform optics. CIRP Ann. Manuf. Technol. 2013, 62, 823–846. [Google Scholar] [CrossRef]
- Bono, M.J.; Hibbard, R.L. Fabrication and metrology of micro-scale sinusoidal surfaces in polymer workpiece materials. In Proceedings of the American Society for Precision Engineering 2004 Annual Meeting, Orlando, FL, USA, 24–29 October 2004. [Google Scholar]
- Yu, N.; Fang, F.; Wu, B.; Zeng, L.; Cheng, Y. State of the art of intraocular lens manufacturing. Int. J. Adv. Manuf. Technol. 2018, 98, 1103–1130. [Google Scholar] [CrossRef]


















| CL Material | Pros | Cons |
|---|---|---|
| PMMA | Inexpensive, well-understood polymer | No oxygen permeability, inflexible on the eye |
| RGP | High oxygen permeability, durable | Expensive regents, requires hydrophilic comonomer, can be abrasive |
| HEMA hydrogel | Inexpensive, biocompatible, abundant copolymer possibilities | Low oxygen permeability, protein deposition issues |
| Silicone hydrogel | High oxygen permeability, durable, comfortable | Expensive regents, requires hydrophilic comonomer, can be abrasive |
| PVA | Inexpensive, straight-forward manufacturing, biocompatible | Low oxygen permeability, fixed water content |
| Material | Oxygen Permeability (Dk/t) | Water Content (wt %) | Modulus (MPa) | Wear Time (days) * |
|---|---|---|---|---|
| PMMA | 0 | 0 | 1000 | <1 |
| PMMA-silicone | 15 | 0 | ||
| Silicone-HEMA (rigid) | 10–100 | 0 | 10 | |
| HEMA hydrogel | 10–50 | 30–80 | 0.2–2 | 1–7 |
| HEMA-NVP | ||||
| HEMA-MMA | ||||
| Silicone (PDMS) hydrogel | 60–200 | 20–55 | 0.2–2 | ~7–28 |
| TRIS-DMA | ||||
| PDMS-HEMA | ||||
| PVA | 10–30 | 60–70 | <1 |
© 2019 by the authors. Licensee MDPI, Basel, Switzerland. This article is an open access article distributed under the terms and conditions of the Creative Commons Attribution (CC BY) license (http://creativecommons.org/licenses/by/4.0/).
Share and Cite
Musgrave, C.S.A.; Fang, F. Contact Lens Materials: A Materials Science Perspective. Materials 2019, 12, 261. https://doi.org/10.3390/ma12020261
Musgrave CSA, Fang F. Contact Lens Materials: A Materials Science Perspective. Materials. 2019; 12(2):261. https://doi.org/10.3390/ma12020261
Chicago/Turabian StyleMusgrave, Christopher Stephen Andrew, and Fengzhou Fang. 2019. "Contact Lens Materials: A Materials Science Perspective" Materials 12, no. 2: 261. https://doi.org/10.3390/ma12020261
APA StyleMusgrave, C. S. A., & Fang, F. (2019). Contact Lens Materials: A Materials Science Perspective. Materials, 12(2), 261. https://doi.org/10.3390/ma12020261

