Effect of the Compounding Conditions of Polyamide 6, Carbon Fiber, and Al2O3 on the Mechanical and Thermal Properties of the Composite Polymer
Abstract
:1. Introduction
2. Experimental Details
2.1. Materials
2.2. Preparation of Composites
2.3. Characterization
3. Results and Discussion
3.1. Properties of the PA6/Al2O3/CF Composites
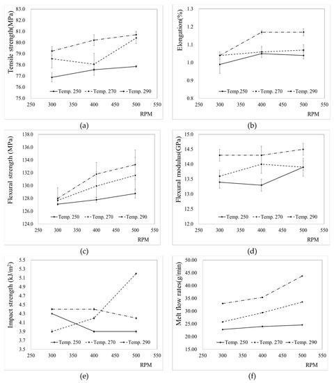
3.2. Mechanical Properties and MI of PA6/Al2O3/CF (60-10) Composites under Varying Process Parameters
3.3. Thermal Conductivity of the Composites
3.4. Crystallization and Melting Properties
3.5. Microstructures of the Composites
4. Conclusions
Author Contributions
Funding
Conflicts of Interest
References
- Guijun, Y.; Mira, P.; Soo-Jin, P. Recent progresses of fabrication and characterization of fibers-reinforced composites: A review. Compos. Commun. 2019, 14, 34–42. [Google Scholar] [CrossRef]
- Imen, G.; Peng, W.; Damien, S.; Fatma, O.; Manuela, F.; Philippe, V. Investigation about the effect of manufacturing parameters on the mechanical behaviour of natural fibre nonwovens reinforced thermoplastic composites. Materials 2019, 12, 2560. [Google Scholar] [CrossRef]
- Zhang, S.; Cao, X.Y.; Ma, Y.M.; Ke, Y.C.; Zhang, J.K.; Wang, F.S. The effects of particle size and content on the thermal conductivity and mechanical properties of Al2O3/high density polyethylene (HDPE) composites. eXPRESS Polym. Lett. 2011, 5, 581–590. [Google Scholar] [CrossRef]
- Herzog, B.; Kohan, M.I.; Mestemacher, S.A.; Pagilagan, R.U.; Redmond, K. Polyamides. In Ullmann’s Polymers and Plastics; Elvers, B., Ed.; Wiley-VCH: Weinheim, Germany, 2016. [Google Scholar]
- Heo, M.H.; Kim, S.W.; Ha, G.R.; Mori, T.; Hong, K.H.; Seo, K.H. Discoloration and the Effect of Antioxidants on Thermo-Oxidative Degradation of Polyamide 6. Polym. Korea 2002, 26, 452. [Google Scholar]
- Alam, P.; Mamalis, D.; Robert, C.; Floreani, C.; O’Bradaigh, C.M. The fatigue of carbon fibre reinforced plastics—A review. Compos. Part B Eng. 2019, 166, 555–579. [Google Scholar] [CrossRef]
- Karsli, N.G.; Ozkan, C.; Aytac, A.; Deniz, V. Effects of sizing materials on the properties of carbon fiber-reinforced polyamide 6,6 composites. Polym. Compos. 2013, 34, 1583–1590. [Google Scholar] [CrossRef]
- Li, J. Interfacial studies on the O3 modified carbon fiber-reinforced polyamide 6 composites. Appl. Surf. Sci. 2008, 255, 2822–2824. [Google Scholar] [CrossRef]
- Eyob, W.; Zelalem, L.; Jooheon, K. Thermal Conductivity and Mechanical Properties of Thermoplastic Polyurethane-/Silane-Modified Al2O3 Composite Fabricated via Melt Compounding. Polymers 2019, 11, 1103. [Google Scholar] [CrossRef]
- Lee, J.; Ni, X.; Daso, F.; Xiao, X.; King, D.; Sánchez Gómez, J.; Blanco Varela, T.; Kessler, S.S.; Wardle, B.L. Advanced carbon fiber composite out-of-autoclave laminate manufacture via nanostructured out-of-oven conductive curing. Compos. Sci. Technol. 2018, 166, 150–159. [Google Scholar] [CrossRef]
- Centea, T.; Grunenfelder, L.K.; Nutt, S.R. A review of out-of-autoclave prepregs—Material properties, process phenomena, and manufacturing considerations. Compos. A Appl. Sci. Manuf. 2015, 70, 132–154. [Google Scholar] [CrossRef]
- He, D.; Salem, D.; Cinquin, J.; Piau, G.-P.; Bai, J. Impact of the spatial distribution of high content of carbon nanotubes on the electrical conductivity of glass fiber fabrics/epoxy composites fabricated by RTM technique. Compos. Sci. Technol. 2017, 147, 107–115. [Google Scholar] [CrossRef]
- Kim, D.-H.; Lee, W.I.; Friedrich, K. A model for a thermoplastic pultrusion process using commingled yarns. Compos. Sci. Technol. 2001, 61, 1065–1077. [Google Scholar] [CrossRef]
- Kim, H.K.; Song, Y.S. Injection molded mechanoluminescent polymer composites. Compos. Sci. Technol. 2018, 168, 224–229. [Google Scholar] [CrossRef]
- Zhang, S.; Wang, P.; Tan, L.; Huang, H.; Guo, J. Relationship between screw structure and properties of recycled glass fiber reinforced flame retardant nylon 46. RSC Adv. 2015, 5, 13296. [Google Scholar] [CrossRef]
- Ahmed, M.; Leif, S.; Dieter, M.; Gerhard, Z. Effect of Extruder Elements on Fiber Dimensions and Mechanical Properties of Bast Natural Fiber Polypropylene Composites. J. Appl. Polym. Sci. 2014, 131. [Google Scholar] [CrossRef]
- Tan, Y.; Wang, X.; Wu, D. Preparation, microstructures, and properties of long-glass-fiber-reinforced thermoplastic composites based on polycarbonate/poly(butylene terephthalate) alloys. J. Reinf. Pastics Cinoisutes 2015, 34, 1804–1820. [Google Scholar] [CrossRef]
- Hettiarachchi, H.A.C.K.; Mampearachchi, W.K. Effect of vibration frequency, size ratio and large particle volume fraction on packing density of binary spherical mixtures. Powder Technol. 2018, 336, 150–160. [Google Scholar] [CrossRef]
- Kwan, A.K.H.; Chan, K.W.; Wong, V. A 3-parameter particle packing model incorporating the wedging effect. Powder Technol. 2013, 237, 172–179. [Google Scholar] [CrossRef]
- Hiroaki, M.; Ko, H.; Hideto, Y. Powder Technology: Fundamentals of Particles, Powder Beds, and Particle Generation, 3rd ed.; CRC Press: London, UK; New York, NY, USA, 2006; pp. 299–302. [Google Scholar]
- McGEARY, R.K. Mechanical Packing of Spherical Particles. J. Am. Ceram. Soc. 1961, 44, 513–522. [Google Scholar] [CrossRef]
- Aneta, K.; Jacek, G.; Branislav, D. Water absorption of thermoplastic matrix composites with polyamide 6. Sci. J. 2013, 33, 62–68. [Google Scholar]
- Palabiyik, M.; Bahadur, S. Mechanical and tribological properties of polyamide 6 and high density polyethylene polyblends with and without compatibilizer. Wear 2000, 246, 149–158. [Google Scholar] [CrossRef]
- ASTM D638-14, Standard Test Method for Tensile Properties of Plastics. Available online: https://www.astm.org/Standards/D638 (accessed on 17 August 2019).
- ASTM D790-17, Standard Test Method for Flexural Properties of Unreinforced and Reinforces Plastics and Electrical Insulating Materials. Available online: https://www.astm.org/Standards/D790.htm (accessed on 17 August 2019).
- ASTM D256-10, Standard Test Methods for Determining the Izod Pendulum Impact Resistance of Plastics. Available online: https://www.astm.org/Standards/D256 (accessed on 17 August 2019).
- ASTM D1238-13, Standard Test Method for Melt Flow Rates of Thermoplastics by Extrusion Plastometer. Available online: https://www.astm.org/Standards/D1238 (accessed on 17 August 2019).
- Wang, Y.; Cheng, L.; Cui, X.; Guo, W. Crystallization Behavior and Properties of Glass Fiber Reinforced Polypropylene Composites. Polymers 2019, 11, 1198. [Google Scholar] [CrossRef] [PubMed]
- Zhou, S.; Chen, Y.; Zou, H.; Liang, M. Thermally conductive composites obtained by flake graphite filling immiscible Polyamide 6/Polycarbonate blends. Thermochim. Acta 2013, 566, 84–91. [Google Scholar] [CrossRef]
- Liang, J.; Xu, Y.; Wei, Z.; Song, P.; Chen, G.; Zhang, W. Mechanical properties, crystallization and melting behaviors of carbon fiber-reinforced PA6 composites. J. Therm. Anal. Calorim. 2013, 115, 209–218. [Google Scholar] [CrossRef]
- ASTM E1461-13, Standard Test Method for Thermal Diffusivity by the Flash Method. Available online: https://www.astm.org/Standards/E1461.htm (accessed on 17 August 2019).
- Seong, D.G.; Kang, C.; Pak, S.Y.; Kim, C.H.; Song, Y.S. Influence of fiber length and its distribution in three phase poly(propylene) composites. Compos. Part B 2019, 168, 218–225. [Google Scholar] [CrossRef]
- Illers, K.H. Polymorphie, Kristallinität und Schmelzwärme von poly(e-caprolactam), 2. Makromol. Chem. 1978, 179, 497–507. [Google Scholar] [CrossRef]
- Ozkoc, G.; Bayram, G.; Bayramlı, E. Short glass fiber reinforced ABS and ABS/PA6 composites: Processing and haracterization. Polym. Compos. 2005, 26, 745–755. [Google Scholar] [CrossRef]
- Fu, S.Y.; Lauke, B.; Mader, E.; Hu, X.; Yue, C.Y. Tensile properties of short-glass-fiber and short-carbon-fiber-reinforced polypropylene composites. Compos. Part A Appl. Sci. 2000, 31, 1117–1125. [Google Scholar] [CrossRef]
- Luo, H.; Xiong, G.; Ma, C.; Li, D.; Wan, Y. Preparation and performance of long carbon fiber reinforced polyamide 6 composites injection-molded from core/shell structured pellets. Mater. Des. 2014, 64, 294–300. [Google Scholar] [CrossRef]
- Ren, F.; Zhou, R.; Sun, F.; Ma, H.; Zhou, Z.; Xu, W. Blocked isocyanate silane modified Al2O3/polyamide 6 thermally conductive and electrical insulation composites with outstanding mechanical properties. RSC Adv. 2017, 7, 29779–29785. [Google Scholar] [CrossRef]
- Satheeskumar, S.; Kanagaraj, G. Experimental investigation on tribological behaviours of PA6, PA6-reinforced Al2O3 and PA6-reinforced graphite polymer composites. Bull. Mater. Sci. 2016, 39, 1467–1481. [Google Scholar] [CrossRef]
- Wieme, T.; Duan, L.; Mys, N.; Cardon, L.; D’hooge, D. Effect of Matrix and Graphite Filler on Thermal Conductivity of Industrially Feasible Injection Molded Thermoplastic Composites. Polymers 2019, 11, 87. [Google Scholar] [CrossRef] [PubMed]
- Ranvijay, K.; Rupinder, S.; Ahuja, I.P.S.; Ada, A.; Rosa, P. Friction welding for the manufacturing of PA6 and ABS structures reinforced with Fe particles. Compos. Part B 2018, 132, 244–257. [Google Scholar] [CrossRef]
- Cristina, P.; George, P.; Adriana, S.; Ecaterina, A.; Ion, D.; Anton, F.; Roxana, T. Mechanical properties of polyamide/carbon-fiber-fabric composites. MTAEC9 2016, 50, 723–728. [Google Scholar] [CrossRef]
- Ferg, E.E.; Bolo, L.L. A correlation between the variable melt flow index and the molecular mass distribution of virgin and recycled polypropylene used in the manufacturing of battery cases. Polym. Test. 2013, 32, 1452–1459. [Google Scholar] [CrossRef]
- Sun, H.; Jiang, F.; Lei, F.; Chen, L.; Zhang, H.; Leng, J.; Sun, D. Graphite fluoride reinforced PA6 composites: Crystallization and mechanical properties. Mater. Today Commun. 2018, 16, 217–225. [Google Scholar] [CrossRef]
- Weon, J.I.; Sue, H.J. Effects of clay orientation and aspect ratio on mechanical behavior of nylon-6 nanocomposite. Polymer 2005, 46, 6325–6334. [Google Scholar] [CrossRef]
- Li, J.; Fang, Z.; Zhu, Y.; Tong, L.; Gu, A.; Liu, F. Isothermal crystallization kinetics and melting behavior of multiwalled carbon nanotubes/polyamide-6 composites. J. Appl. Polym. Sci. 2007, 105, 3531–3542. [Google Scholar] [CrossRef]
- Wu, B.; Gong, Y.; Yang, G. Non-isothermal crystallization of polyamide 6 matrix in all-polyamide composites: Crystallization kinetic, melting behavior, and crystal morphology. J. Mater. Sci. 2011, 46, 5184–5191. [Google Scholar] [CrossRef]
- Zhao, X.; Zhang, B. The effects of annealing (solid and melt) on the time evolution of the polymorphic structure of polyamide 6. J. Appl. Polym. Sci. 2010, 115, 1688–1694. [Google Scholar] [CrossRef]
- Liu, T.; Phang, I.; Shen, L.; Chow, S.; Zhang, W. Morphology and mechanical properties of multiwalled carbon nanotubes reinforced nylon-6 composites. Macromolecules 2004, 37, 7214–7222. [Google Scholar] [CrossRef]
- Nan, L.; Xiuxiu, Y.; Feng, B.; Yunxing, P.; Chenghao, W.; Bo, C.; Lishuai, Z.; Chengde, L.; Jinyan, W.; Xigao, J. Improved Mechanical Properties of Copoly(Phthalazinone Ether Sulphone)s Composites Reinforced by Multiscale Carbon Fibre/Graphene Oxide Reinforcements: A Step Closer to Industrial Production. Polymers 2019, 11, 237. [Google Scholar] [CrossRef]
- Yan, M.; Masahito, U.; Tomohiro, Y.; Toshi, S.; Yuqiu, Y.; Hiroyuki, H. A comparative study of the mechanical properties and failure behavior of carbon fiber/epoxy and carbon fiber/polyamide 6 unidirectional composites. Compos. Struct. 2017, 160, 89–99. [Google Scholar] [CrossRef]
- Li, J.; Cai, C.L. The carbon fiber surface treatment and addition of PA6 on tensile properties of ABS composites. Curr. Appl. Phys. 2011, 11, 50–54. [Google Scholar] [CrossRef]
- Li, M.; Wan, Y.; Gao, Z.; Xiong, G.; Wang, X.; Wan, C.; Luo, L. Preparation and properties of polyamide 6 thermal conductive composites reinforced with fibers. Mater. Design 2013, 51, 257–261. [Google Scholar] [CrossRef]






| Sample Designation | Composition (wt%) | ||
|---|---|---|---|
| PA6 | Al2O3 | CF | |
| PA6/Al2O3/CF (0-0) | 100 | ||
| PA6/Al2O3/CF (60-0) | 40 | 60 | - |
| PA6/Al2O3/CF (65-0) | 35 | 65 | - |
| PA6/Al2O3/CF (50-5) | 45 | 50 | 5 |
| PA6/Al2O3/CF (50-10) | 40 | 50 | 10 |
| PA6/Al2O3/CF (60-10) | 30 | 60 | 10 |
| Sample Designation | Tensile Strength (MPa) | Elongation (%) | Flexural Strength (MPa) | Impact Strength (kJ/m2) | Melt Flow Rates (g/10 min) | Thermal Conductivity (W/mK) |
|---|---|---|---|---|---|---|
| PA6/Al2O3/CF (0-0) | 72.2 ± 0.1 | 30 ± 0.01 | 105.6 ± 0.5 | 2.9 ± 0.1 | 63.0 | 0.29 ± 0.002 |
| PA6/Al2O3/CF (60-0) | 60.4 ± 0.2 | 1.33 ± 0.01 | 100.7 ± 0.7 | 3.3 ± 0.1 | 46.2 | 1.13 ± 0.001 |
| PA6/Al2O3/CF (65-0) | 55.1 ± 0.2 | 1.0 ± 0.02 | 99.3 ± 0.6 | 3.1 ± 0.2 | 44.4 | 0.98 ± 0.004 |
| PA6/Al2O3/CF (50-5) | 69.5 ± 0.4 | 1.83 ± 0.02 | 115.8 ± 1.5 | 3.9 ± 0.3 | 37.2 | 0.70 ± 0.001 |
| PA6/Al2O3/CF (50-10) | 75.3 ± 0.3 | 1.15 ± 0.01 | 133.9 ± 0.8 | 4.4 ± 0.1 | 28.8 | 0.85 ± 0.001 |
| PA6/Al2O3/CF (60-10) | 76.9 ± 0.6 | 0.99 ± 0.01 | 127.4 ± 1.2 | 4.3 ± 0.2 | 22.8 | 1.29 ± 0.001 |
| Parameters of Compounding Process | Tensile Strength (MPa) | Elongation (%) | Flexural Strength (MPa) | Flexural Modulus (GPa) | Impact Strength (kJ/m2) | Melt Flow Rates (g/10 min) | |
|---|---|---|---|---|---|---|---|
| Temp. (°C) | RPM | ||||||
| 250 | 300 | 76.9 ± 0.4 | 0.99 ± 0.01 | 127.1 ± 2.1 | 13.4 ± 0.2 | 4.3 ± 0.01 | 22.8 |
| 250 | 400 | 77.6 ± 0.1 | 1.05 ± 0.00 | 127.8 ± 0.5 | 13.3 ± 0.1 | 3.9 ± 0.02 | 24.0 |
| 250 | 500 | 77.9 ± 0.1 | 1.04 ± 0.02 | 128.8 ± 0.7 | 13.9 ± 0.2 | 3.9 ± 0.03 | 24.6 |
| 270 | 300 | 78.6 ± 0.8 | 1.04 ± 0.02 | 127.7 ± 2.0 | 13.6 ± 0.3 | 3.9 ± 0.04 | 25.8 |
| 270 | 400 | 78.1 ± 0.9 | 1.06 ± 0.03 | 129.9 ± 2.2 | 14.0 ± 0.1 | 4.2 ± 0.03 | 29.4 |
| 270 | 500 | 80.4 ± 0.5 | 1.07 ± 0.03 | 131.6 ± 2.8 | 13.9 ± 0.2 | 5.2 ± 0.01 | 33.6 |
| 290 | 300 | 79.2 ± 0.3 | 1.04 ± 0.02 | 128.0 ± 0.2 | 14.3 ± 0.1 | 4.4 ± 0.02 | 33.0 |
| 290 | 400 | 80.2 ± 0.4 | 1.17 ± 0.01 | 131.8 ± 1.8 | 14.3 ± 0.1 | 4.4 ± 0.03 | 35.4 |
| 290 | 500 | 80.7 ± 0.2 | 1.17 ± 0.02 | 133.3 ± 2.3 | 14.5 ± 0.2 | 4.2 ± 0.02 | 43.8 |
| Parameters of Compounding Process | Thermal Conductivity (W/mK) | |
|---|---|---|
| Temp. (°C) | RPM | |
| 250 | 300 | 1.043 ± 0.004 |
| 250 | 400 | 0.986 ± 0.006 |
| 250 | 500 | 1.094 ± 0.004 |
| 270 | 300 | 1.102 ± 0.003 |
| 270 | 400 | 1.077 ± 0.002 |
| 270 | 500 | 1.178 ± 0.001 |
| 290 | 300 | 1.100 ± 0.003 |
| 290 | 400 | 1.155 ± 0.003 |
| 290 | 500 | 1.290 ± 0.006 |
| Sample Designation | Process Parameters of Compounding | DSC Data | |||
|---|---|---|---|---|---|
| Temp. (°C) | RPM | Tm (°C) | ΔH (J/g) | Xc (%) | |
| PA6/Al2O3/CF(50-5) | 250 | 300 | 220.84 | 32.14 | 29.76 |
| PA6/Al2O3/CF(50-10) | 220.59 | 27.52 | 28.67 | ||
| PA6/Al2O3/CF(60-10) | 220.66 | 21.92 | 30.44 | ||
| PA6/Al2O3/CF(60-10) | 250 | 400 | 220.55 | 21.35 | 29.65 |
| 250 | 500 | 220.14 | 20.22 | 28.08 | |
| 270 | 300 | 220.45 | 22.30 | 30.97 | |
| 270 | 400 | 220.25 | 22.45 | 31.18 | |
| 270 | 500 | 220.06 | 23.37 | 32.46 | |
| 290 | 300 | 221.24 | 21.92 | 30.44 | |
| 290 | 400 | 220.29 | 22.28 | 30.94 | |
| 290 | 500 | 219.91 | 22.26 | 30.92 | |
© 2019 by the authors. Licensee MDPI, Basel, Switzerland. This article is an open access article distributed under the terms and conditions of the Creative Commons Attribution (CC BY) license (http://creativecommons.org/licenses/by/4.0/).
Share and Cite
Kim, Y.S.; Kim, J.K.; Jeon, E.S. Effect of the Compounding Conditions of Polyamide 6, Carbon Fiber, and Al2O3 on the Mechanical and Thermal Properties of the Composite Polymer. Materials 2019, 12, 3047. https://doi.org/10.3390/ma12183047
Kim YS, Kim JK, Jeon ES. Effect of the Compounding Conditions of Polyamide 6, Carbon Fiber, and Al2O3 on the Mechanical and Thermal Properties of the Composite Polymer. Materials. 2019; 12(18):3047. https://doi.org/10.3390/ma12183047
Chicago/Turabian StyleKim, Young Shin, Jae Kyung Kim, and Euy Sik Jeon. 2019. "Effect of the Compounding Conditions of Polyamide 6, Carbon Fiber, and Al2O3 on the Mechanical and Thermal Properties of the Composite Polymer" Materials 12, no. 18: 3047. https://doi.org/10.3390/ma12183047
APA StyleKim, Y. S., Kim, J. K., & Jeon, E. S. (2019). Effect of the Compounding Conditions of Polyamide 6, Carbon Fiber, and Al2O3 on the Mechanical and Thermal Properties of the Composite Polymer. Materials, 12(18), 3047. https://doi.org/10.3390/ma12183047

