Development of ZIF-Derived Nanoporous Carbon and Cobalt Sulfide-Based Electrode Material for Supercapacitor
Abstract
1. Introduction
2. Materials and Methods
2.1. Chemicals
2.2. Synthesis of ZIF-67
2.3. Preparation of Nanoporous Carbon (NPC) and Cobalt Oxide (CO)
2.4. Preparation of Nanoporous Carbon (NPC) and Cobalt Sulfide (CS)
2.5. Material Characterization
2.6. Electrochemical Testing
3. Results
3.1. Morphology/Structural Analysis
3.2. Electrochemical Testing
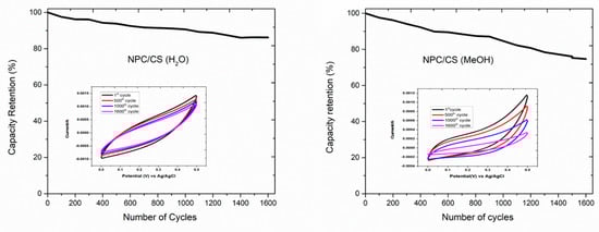
3.3. Cyclic Stability Study
3.4. Electrochemical Impedance Spectroscopy Study
4. Conclusions
Author Contributions
Funding
Acknowledgments
Conflicts of Interest
References
- Chen, B.; Yang, Z.; Zhu, Y.; Xia, Y. Zeolitic imidazolate framework materials: Recent progress in synthesis and applications. J. Mater. Chem. A 2014, 2, 16811–16831. [Google Scholar] [CrossRef]
- Yao, J.; Wang, H. Zeolitic imidazolate framework composite membranes and thin films: Synthesis and applications. Chem. Soc. Rev. 2014, 43, 4470–4493. [Google Scholar] [CrossRef] [PubMed]
- Park, K.S.; Ni, Z.; Côté, A.P.; Choi, J.Y.; Huang, R.; Uribe–Romo, F.J.; Chae, H.K.; O’Keeffe, M.; Yaghi, O.M. Exceptional chemical and thermal stability of zeolitic imidazolate frameworks. P. Natl. Acad. Sci. USA 2006, 103, 10186–10191. [Google Scholar] [CrossRef] [PubMed]
- Wang, Q.; Gao, F.; Xu, B.; Cai, F.; Zhan, F.; Gao, F.; Wang, Q. ZIF–67 derived amorphous CoNi2S4 nanocages with nanosheet arrays on the shell for a high–performance asymmetric supercapacitor. Chem. Eng. J. 2017, 327, 387–396. [Google Scholar] [CrossRef]
- Zhou, J.J.; Han, X.; Tao, K.; Li, Q.; Li, Y.L.; Chen, C.; Han, L. Shish–kebab type MnCo2O4@Co3O4 nanoneedle arrays derived from MnCo–LDH@ZIF–67 for high–performance supercapacitors and efficient oxygen evolution reaction. Chem. Eng. J. 2018, 354, 875–884. [Google Scholar] [CrossRef]
- Guan, C.; Li, X.; Wang, Z.; Cao, X.; Soci, C.; Zhang, H.; Fan, H.J. Nanoporous walls on macroporous foam: Rational design of electrodes to push areal pseudocapacitance. Adv. Mater. 2012, 24, 4186–4190. [Google Scholar] [CrossRef]
- Hao, P.; Tian, J.; Sang, Y.; Tuan, C.C.; Cui, G.; Shi, X.; Wong, C.P.; Tang, B.; Liu, H. 1D Ni–Co oxide and sulfide nanoarray/carbon aerogel hybrid nanostructures for asymmetric supercapacitors with high energy density and excellent cycling stability. Nanoscale 2016, 8, 16292–16301. [Google Scholar] [CrossRef]
- Tang, Y.; Chen, T.; Yu, S. Morphology controlled synthesis of monodispersed manganese sulfide nanocrystals and their primary application in supercapacitors with high performances. Chem. Commun. 2015, 51, 9018–9021. [Google Scholar] [CrossRef]
- Raj, C.J.; Kim, B.C.; Cho, W.J.; Lee, W.G.; Seo, Y.; Yu, K.H. Electrochemical capacitor behavior of copper sulfide (CuS) nanoplatelets. J. Alloy. Compd. 2014, 586, 191–196. [Google Scholar]
- Huang, K.J.; Wang, L.; Liu, Y.J.; Liu, Y.M.; Wang, H.B.; Gan, T.; Wang, L.L. Layered MoS2–graphene composites for supercapacitor applications with enhanced capacitive performance. Int. J. Hydrog. Energy 2013, 38, 14027–14034. [Google Scholar] [CrossRef]
- Sun, L.; Lu, L.; Bai, Y.; Sun, K. Three–dimensional porous reduced graphene oxide/sphere–like CoS hierarchical architecture composite as efficient counter electrodes for dye–sensitized solar cells. J. Alloy. Compd. 2016, 654, 196–201. [Google Scholar] [CrossRef]
- Yang, J.; Duan, X.; Guo, W.; Li, D.; Zhang, H.; Zheng, W. Electrochemical performances investigation of NiS/rGO composite as electrode material for supercapacitors. Nano Energy 2014, 5, 74–81. [Google Scholar] [CrossRef]
- Zhou, H.C.; Long, J.R.; Yaghi, O.M. Introduction to Metal–Organic Frameworks. Chem. Rev. 2012, 112, 673–674. [Google Scholar] [CrossRef] [PubMed]
- Bux, H.; Chmelik, C.; Krishna, R.; Caro, J. Ethene/ethane separation by the MOF membrane ZIF–8: Molecular correlation of permeation, adsorption, diffusion. J. Membrane. Sci. 2011, 369, 284–289. [Google Scholar] [CrossRef]
- Song, X.D.; Wang, S.; Hao, C.; Qiu, J.S. Investigation of SO2 gas adsorption in metal–organic frameworks by molecular simulation. Inorg. Chem. Commun. 2014, 46, 277–281. [Google Scholar] [CrossRef]
- Samadi-Maybodi, A.; Ghasemi, S.; Ghaffari-Rad, H. A novel sensor based on Ag–loaded zeolitic imidazolate framework–8 nanocrystals for efficient electrocatalytic oxidation and trace level detection of hydrazine. Sens. Actuators B Chem. 2015, 220, 627–633. [Google Scholar] [CrossRef]
- Guan, Y.; Shi, J.; Xia, M.; Zhang, J.; Pang, Z.; Marchetti, A.; Wang, X.; Cai, J.; Kong, X. Monodispersed ZIF–8 particles with enhanced performance for CO2 adsorption and heterogeneous catalysis. Appl Surf. Sci 2017, 423, 349–353. [Google Scholar] [CrossRef]
- Mu, L.; Liu, B.; Liu, H.; Yang, Y.; Sun, C.; Chen, G. A novel method to improve the gas storage capacity of ZIF–8. J. Mater. Chem. 2012, 22, 12246–12252. [Google Scholar] [CrossRef]
- Shearier, E.; Cheng, P.; Zhu, Z.; Bao, J.; Hu, Y.H.; Zhao, F. Surface defection reduces cytotoxicity of Zn(2–methylimidazole)2 (ZIF–8) without compromising its drug delivery capacity. Rsc Adv. 2016, 6, 4128–4135. [Google Scholar] [CrossRef]
- Wang, Q.; Bai, J.; Lu, Z.; Pan, Y.; You, X. Finely tuning MOFs towards high–performance post–combustion CO2 capture materials. Chem. Commun. 2016, 52, 443–452. [Google Scholar] [CrossRef]
- Bustamante, E.L.; Fernández, J.L.; Zamaro, J.M. Influence of the solvent in the synthesis of zeolitic imidazolate framework–8 (ZIF–8) nanocrystals at room temperature. J. Colloid Interface Sci. 2014, 424, 37–43. [Google Scholar] [CrossRef] [PubMed]
- Yang, C.; Ou, X.; Xiong, X.; Zheng, F.; Hu, R.; Chen, Y.; Liu, M.; Huang, K. V5S8–graphite hybrid nanosheets as a high rate–capacity and stable anode material for sodium–ion batteries. Energy Environ. Sci. 2017, 10, 107–113. [Google Scholar] [CrossRef]
- Zhu, X.; Liang, X.; Fan, X.; Su, X. Fabrication of flower–like MoS2/TiO2 hybrid as an anode material for lithium ion batteries. Rsc. Adv. 2017, 7, 38119–38124. [Google Scholar] [CrossRef]
- Wu, R.; Qian, X.; Rui, X.; Liu, H.; Yadian, B.; Zhou, K.; Wei, J.; Yan, Q.; Feng, X.Q.; Long, Y.; et al. Zeolitic Imidazolate Framework 67–Derived High Symmetric Porous Co3O4 Hollow Dodecahedra with Highly Enhanced Lithium Storage Capability. Small 2014, 10, 1932–1938. [Google Scholar] [CrossRef] [PubMed]
- Torad, N.L.; Hu, M.; Ishihara, S.; Sukegawa, H.; Belik, A.A.; Imura, M.; Ariga, K.; Sakka, Y.; Yamauchi, Y. Direct Synthesis of MOF–Derived Nanoporous Carbon with Magnetic Co Nanoparticles toward Efficient Water Treatment. Small 2014, 10, 2096–2107. [Google Scholar] [CrossRef]
- Hu, H.; Han, L.; Yu, M.; Wang, Z.; Lou, X.W. Metal–organic–framework–engaged formation of Co nanoparticle–embedded carbon@Co9S8 double–shelled nanocages for efficient oxygen reduction. Energy Environ. Sci. 2016, 9, 107–111. [Google Scholar] [CrossRef]
- Escorihuela, J.; Sahuquillo, Ó.; García–Bernabé, A.; Giménez, E.; Compañ, V. phosphoric acid doped polybenzimidazole (PBI)/zeolitic imidazolate framework composite membranes with significantly enhanced proton conductivity under low humidity conditions. Nanomaterials 2018, 8, 775. [Google Scholar] [CrossRef]
- Barjola, A.; Escorihuela, J.; Andrio, A.; Giménez, E.; Compañ, V. Enhanced conductivity of composite membranes based on sulfonated poly (ether ether ketone)(SPEEK) with zeolitic imidazolate frameworks (ZIFs). Nanomaterials 2018, 8, 1042. [Google Scholar] [CrossRef]
- Qin, J.; Wang, S.; Wang, X. Visible–light reduction CO2 with dodecahedral zeolitic imidazolate framework ZIF–67 as an efficient co–catalyst. Appl. Catal. B: Environ 2017, 209, 476–482. [Google Scholar] [CrossRef]
- Alothman, Z. A Review: Fundamental Aspects of Silicate Mesoporous Materials. Materials 2012, 5, 2874–2902. [Google Scholar] [CrossRef]
- Chen, G.Z. Understanding supercapacitors based on nano–hybrid materials with interfacial conjugation. Prog. Nat. Sci–Mater 2013, 2, 245–255. [Google Scholar] [CrossRef]
- Ensafi, A.A.; Ahmadi, N.; Rezaei, B. Electrochemical preparation and characterization of a polypyrrole/nickel–cobalt hexacyanoferrate nanocomposite for supercapacitor applications. Rsc. Adv. 2015, 5, 91448–91456. [Google Scholar] [CrossRef]
- Dong, X.; Wang, L.; Wang, D.; Li, C.; Jin, J. Layer–by–Layer Engineered Co–Al Hydroxide Nanosheets/Graphene Multilayer Films as Flexible Electrode for Supercapacitor. Langmuir. 2012, 28, 293–298. [Google Scholar] [CrossRef] [PubMed]
- Zhou, Y.; Liu, C.; Li, X.; Sun, L.; Wu, D.; Li, J.; Huo, P.; Wang, H. Chemical precipitation synthesis of porous Ni2P2O7 nanowires for supercapacitor. J. Alloy. Compd. 2019, 790, 36–41. [Google Scholar] [CrossRef]
- Syed, J.A.; Ma, J.; Zhu, B.; Tang, S.; Meng, X. Hierarchical Multicomponent Electrode with Interlaced Ni(OH)2 Nanoflakes Wrapped Zinc Cobalt Sulfide Nanotube Arrays for Sustainable High-Performance Supercapacitors. Adv. Energy Mater. 2017, 7, 1701228. [Google Scholar] [CrossRef]
- Zhu, B.T.; Wang, Z.; Ding, S.; Chen, J.S.; Lou, X.W. Hierarchical nickel sulfide hollow spheres for high performance supercapacitors. Rsc. Adv. 2011, 1, 397–400. [Google Scholar] [CrossRef]
- Zhu, T.; Koo, E.R.; Ho, G.W. Shaped–controlled synthesis of porous NiCo2O4 with 1–3 dimensional hierarchical nanostructures for high–performance supercapacitors. Rsc. Adv. 2015, 5, 1697–1704. [Google Scholar] [CrossRef]
- Li, J.; Ren, Z.; Ren, Y.; Zhao, L.; Wang, S.; Yu, J. Activated carbon with micrometer–scale channels prepared from luffa sponge fibers and their application for supercapacitors. Rsc. Adv. 2014, 4, 35789–35796. [Google Scholar] [CrossRef]
- Yang, J.; Gunasekaran, S. Electrochemically reduced graphene oxide sheets for use in high performance supercapacitors. Carbon 2013, 51, 36–44. [Google Scholar] [CrossRef]
- Wang, R.; Li, Q.; Cheng, L.; Li, H.; Wang, B.; Zhao, X.S.; Guo, P. Electrochemical properties of manganese ferrite–based supercapacitors in aqueous electrolyte: The effect of ionic radius. Colloids Surf. A Phys. Eng. Asp. 2014, 457, 94–99. [Google Scholar] [CrossRef]
- Sun, K.; Feng, E.; Peng, H.; Ma, G.; Wu, Y.; Wang, H.; Lei, Z. A simple and high–performance supercapacitor based on nitrogen–doped porous carbon in redox–mediated sodium molybdate electrolyte. Electrochim. Acta 2015, 158, 361–367. [Google Scholar] [CrossRef]








| Compound | Temp. Range (°C) | Mass Loss or Residue (%) |
|---|---|---|
| ZIF-67 (MeOH) before pyrolysis ZIF-67 (H2O) before pyrolysis | 336–458 302–373 | 57 48 |
| NPC/CO (MeOH) NPC/CO (H2O) | 314–492 297–414 | 28 40 |
| NPC/CS (MeOH) NPC/CS (H2O) | 300–544 311–535 | 34 56 |
| Electrode Material | Surface Area (m2/g) | Pore Volume (cm3/g) | Average Pore Size (nm) |
|---|---|---|---|
| NPC/CO (MeOH) | 726.3 | 0.273 | 1.277 |
| NPC/CS (MeOH) | 934.5 | 0.532 | 1.677 |
| NPC/CO (H2O) | 264.6 | 0.063 | 1.544 |
| NPC/CS (H2O) | 521.4 | 0.141 | 2.25 |
| Electrode Material | Specific Capacitance (F/g) | Energy Density (Wh/kg) |
|---|---|---|
| NPC/CO (MeOH) | 159 | 5.520 |
| NPC/CS (MeOH) | 480 | 16.666 |
| NPC/CS (H2O) | 373 | 12.951 |
| NPC/CS (H2O) | 677 | 23.506 |
© 2019 by the authors. Licensee MDPI, Basel, Switzerland. This article is an open access article distributed under the terms and conditions of the Creative Commons Attribution (CC BY) license (http://creativecommons.org/licenses/by/4.0/).
Share and Cite
Ahmad, R.; Iqbal, N.; Noor, T. Development of ZIF-Derived Nanoporous Carbon and Cobalt Sulfide-Based Electrode Material for Supercapacitor. Materials 2019, 12, 2940. https://doi.org/10.3390/ma12182940
Ahmad R, Iqbal N, Noor T. Development of ZIF-Derived Nanoporous Carbon and Cobalt Sulfide-Based Electrode Material for Supercapacitor. Materials. 2019; 12(18):2940. https://doi.org/10.3390/ma12182940
Chicago/Turabian StyleAhmad, Rabia, Naseem Iqbal, and Tayyaba Noor. 2019. "Development of ZIF-Derived Nanoporous Carbon and Cobalt Sulfide-Based Electrode Material for Supercapacitor" Materials 12, no. 18: 2940. https://doi.org/10.3390/ma12182940
APA StyleAhmad, R., Iqbal, N., & Noor, T. (2019). Development of ZIF-Derived Nanoporous Carbon and Cobalt Sulfide-Based Electrode Material for Supercapacitor. Materials, 12(18), 2940. https://doi.org/10.3390/ma12182940

