Effect of Ultrasonic Parameters on Electrochemical Chloride Removal and Rebar Repassivation of Reinforced Concrete
Abstract
:1. Introduction
2. Experimental Procedures
2.1. Materials and Specimen Preparation
2.2. Ultrasonic-Assisted Electrochemical Treatment
2.3. Measurements of Discharged and Residual Chloride Quantities
2.4. Electrochemical Test
3. Results and Discussion
3.1. Effect of Ultrasound Parameters on Chloride Ion Discharge
3.2. Effect of Ultrasonic Parameters on Residual Chloride Ion Content After ECR
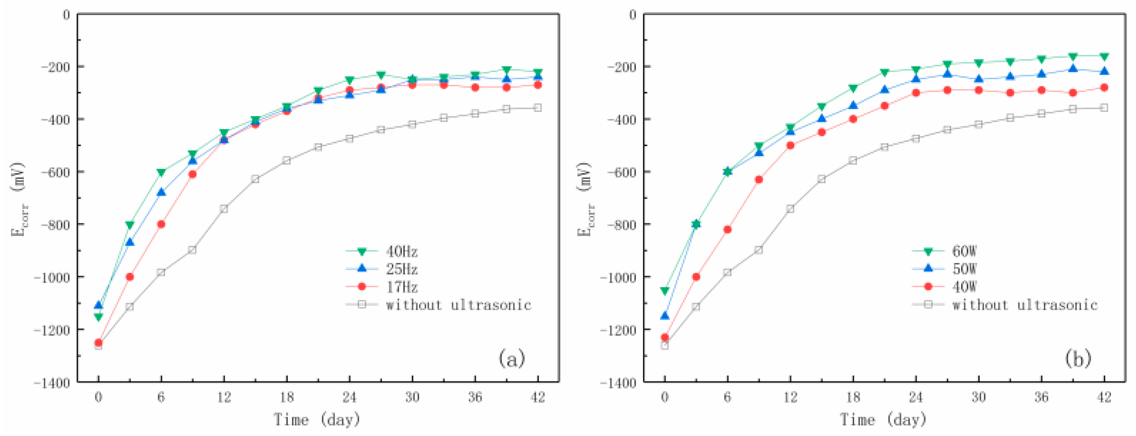
3.3. Effect of Ultrasonic Parameters on Steel Bar Repassivation after ECR
4. Conclusions
- (1).
- Ultrasonic waves could effectively promote the ECR efficiency. When frequency is located in 17–49 Hz and power is in 40–60 W, the promotion effect has a weak positive correlation with the ultrasonic frequency and a relatively strong positive correlation with the ultrasonic power.
- (2).
- The promotion of ultrasonic waves on ECR efficiency was more reflected in the reduction of residual bound chloride ions, which might be a merit of ultrasonic-assisted ECR technique since it would reduce the potential risk from the prospective re-conversion of bound chloride to free ones after ECR treatment.
- (3).
- Electrochemical tests demonstrated that ultrasonic-assisted ECR treatment could accelerate the repassivation process of the embedding steel bar.
Author Contributions
Funding
Conflicts of Interest
References
- Mundra, S.; Criado, M.; Bernal, S.A.; Provis, J.L. Chloride-induced corrosion of steel rebars in simulated pore solutions of alkali-activated concretes. Cem. Concr. Res. 2017, 100, 385–397. [Google Scholar] [CrossRef]
- Pour-Ali, S.; Dehghanian, C.; Kosari, A. Corrosion protection of the reinforcing steels in chloride-laden concrete environment through epoxy/polyaniline–camphorsulfonate nanocomposite coating. Corros. Sci. 2015, 90, 239–247. [Google Scholar] [CrossRef]
- Jiang, L.; Song, Z.J.; Yang, H.; Pu, Q.; Zhu, Q. Modeling the chloride concentration profile in migration test based on general Poisson Nernst Planck equations and pore structure hypothesis. Constr. Build. Mater. 2013, 40, 596–603. [Google Scholar] [CrossRef]
- Cheewaket, T.; Jaturapitakkul, C.; Chalee, W. Concrete durability presented by acceptable chloride level and chloride diffusion coefficient in concrete: 10-year results in marine site. Mater. Struct. 2014, 47, 1501–1511. [Google Scholar] [CrossRef]
- Liu, Y.Q.; Song, Z.J.; Wang, W.W.; Jiang, L.; Zhang, Y.; Guo, M.; Song, F.; Xu, N. Effect of ginger extract as green inhibitor on chloride-induced corrosion of carbon steel in simulated concrete pore solutions. J. Clean. Prod. 2019, 214, 298–307. [Google Scholar] [CrossRef]
- Belie, N.D.; Sonck, B.; Braam, C.R. Durability of Building Materials and Components in the Agricultural Environment, Part II: Metal Structures. J. Agric. Eng. Res. 2000, 75, 333–347. [Google Scholar] [CrossRef]
- Kamde, D.R.; Kondraivendhan, B.; Desai, S.N. Service Life Prediction Model for Reinforced Concrete Structures Due to Chloride Ingress; Springer: New Delhi, India, 2015; pp. 1883–1894. [Google Scholar]
- Shan, H.Y.; Xu, J.X.; Wang, Z.Y.; Jiang, L.; Xu, N. Electrochemical chloride removal in reinforced concrete structures:Improvement of effectiveness by simultaneous migration of silicate ion. Constr. Build. Mater. 2016, 127, 344–352. [Google Scholar] [CrossRef]
- Souza, L.R.D.A.; Pereira, E.; Capraro, A.P.B. Electrochemical hloride extraction: Efficiency and impact on concrete containing 1% of NaCl. Constr. Build. Mater. 2017, 145, 435–444. [Google Scholar] [CrossRef]
- NACE International. Electrochemical Chloride Extraction from Steel-Reinforced Concrete—A State-of-the-Art Report; NACE International: Houston, TX, USA, 2001; pp. 1–14. [Google Scholar]
- Feng, W.; Xu, J.; Jiang, L.; Song, Y.; Cao, Y.; Tan, Q. Improvement on the Repair Effect of Electrochemical Chloride Extraction Using a Modified Electrode Configuration. Materials 2018, 11, 225. [Google Scholar] [CrossRef]
- Orellan, J.C.; Escadeillas, G.; Arliguie, G. Electrochemical chloride extraction: Efficiency and side effects. Cem. Concr. Res. 2004, 34, 227–234. [Google Scholar] [CrossRef]
- Elsener, B.; Aagst, U. Mechanism of electrochemical chloride removal. Corros. Sci. 2007, 49, 4504–4522. [Google Scholar] [CrossRef]
- Velu, S.; Han, S.L.; Karthick, S. Extraction of chloride from chloride contaminated concrete through electrochemical method using different anodes. Constr. Build. Mater. 2018, 158, 549–562. [Google Scholar]
- Chen, Y.Q.; Yao, W.; Xing, X.M. Tentative Study on Sonoelectrochemical Chloride Extraction from Mortar. Key Eng. Mater. 2013, 539, 153–157. [Google Scholar] [CrossRef]
- Song, Z.J.; Jiang, L.H.; Li, W.; Xiong, C.; Chu, H. Impact of compressive fatigue on chloride diffusion coefficient in OPC concrete: An analysis using EIS method. Constr. Build. Mater. 2016, 113, 712–720. [Google Scholar] [CrossRef]
- Ahmad, S. Reinforcement corrosion in concrete structures, its monitoring and service life prediction-a review. Cem. Concr. Compos. 2003, 25, 459–471. [Google Scholar] [CrossRef]
- Andrade, C.; Alonso, C. Test Methods for on Site Corrosion Rate Measurement of Steel Reinforcement in Concrete by Means of the Polarization Resistance Method. Mater. Struct. 2004, 37, 623–643. [Google Scholar] [CrossRef]
- Alonso, C.; Andrade, C.; Castellote, M. Chloride threshold values to depassivate reinforcing bars embedded in a standardized OPC mortar. Cem. Concr. Res. 2000, 30, 1047–1055. [Google Scholar] [CrossRef]
- Luping, T.; Nilsson, L.O. Chloride binding capacity and binding isotherms of OPC pastes and mortars. Cem. Concr. Res. 1993, 23, 247–253. [Google Scholar] [CrossRef]
- Flynn, H.G. Physics of acoustic cavitation in liquids. In Physical Acoustics, Principles and Methods; Mason, B.W.P., Ed.; Academic Press: New York, NY, USA, 1964; pp. 58–172. [Google Scholar]
- Guo, X.W. Ultrasonic Extraction and Separation; Chemical Industry Press: Beijing, China, 2008; pp. 35–37. [Google Scholar]
- Mason, T.J.; Lorimer, J.P. Sonochemistry: Theory, Applications and Uses of Ultrasound in Chemistry; Ellis Horwood: Chichester, UK, 1988. [Google Scholar]
- Jin, T.; Zhang, W.; Li, N.; Liu, X.; Han, L.; Dai, W. Surface Characterization and Corrosion Behavior of 90/10 Copper-Nickel Alloy in Marine Environment. Materials 2019, 12, 1869. [Google Scholar] [CrossRef]
- Herrera, J.C.O.; Escadeillas, G.; Arliguie, G. Electro-chemical chloride extraction: Influence of C3A of the cement on treatment efficiency. Cem. Concr. Res. 2006, 36, 1939–1946. [Google Scholar] [CrossRef]
- Song, G. Equivalent circuit model for AC electrochemical impedance spectroscopy of concrete. Cem. Concr. Res. 2000, 30, 1723–1730. [Google Scholar] [CrossRef]
- Jana, A.K.; Chatterjee, S.N. Estimation of hydroxyl free radicals produced by ultrasound in Fricke solution used as a chemical dosimeter. Ultrason. Sonochem. 1995, 2, S87–S91. [Google Scholar] [CrossRef]










| CaO | SiO2 | Al2O3 | Fe2O3 | SO3 | MgO | LOI | K2O | Na2O | TiO2 | MnO2 | P2O |
|---|---|---|---|---|---|---|---|---|---|---|---|
| 64.65 | 21.70 | 5.08 | 4.32 | 1.08 | 0.92 | 0.85 | 0.54 | 0.22 | 0.14 | 0.10 | 0.05 |
© 2019 by the authors. Licensee MDPI, Basel, Switzerland. This article is an open access article distributed under the terms and conditions of the Creative Commons Attribution (CC BY) license (http://creativecommons.org/licenses/by/4.0/).
Share and Cite
Liu, Q.; Song, Z.; Cai, H.; Zhou, A.; Wang, W.; Jiang, L.; Liu, Y.; Zhang, Y.; Xu, N. Effect of Ultrasonic Parameters on Electrochemical Chloride Removal and Rebar Repassivation of Reinforced Concrete. Materials 2019, 12, 2774. https://doi.org/10.3390/ma12172774
Liu Q, Song Z, Cai H, Zhou A, Wang W, Jiang L, Liu Y, Zhang Y, Xu N. Effect of Ultrasonic Parameters on Electrochemical Chloride Removal and Rebar Repassivation of Reinforced Concrete. Materials. 2019; 12(17):2774. https://doi.org/10.3390/ma12172774
Chicago/Turabian StyleLiu, Qingyang, Zijian Song, Huanchun Cai, Aiping Zhou, Wanyi Wang, Linhua Jiang, Yongqi Liu, Yingjie Zhang, and Na Xu. 2019. "Effect of Ultrasonic Parameters on Electrochemical Chloride Removal and Rebar Repassivation of Reinforced Concrete" Materials 12, no. 17: 2774. https://doi.org/10.3390/ma12172774
APA StyleLiu, Q., Song, Z., Cai, H., Zhou, A., Wang, W., Jiang, L., Liu, Y., Zhang, Y., & Xu, N. (2019). Effect of Ultrasonic Parameters on Electrochemical Chloride Removal and Rebar Repassivation of Reinforced Concrete. Materials, 12(17), 2774. https://doi.org/10.3390/ma12172774

