Nonlinear Modulation of Plasmonic Resonances in Graphene-Integrated Triangular Dimers at Terahertz Frequencies
Abstract
1. Introduction
2. Sample Design and Characterization
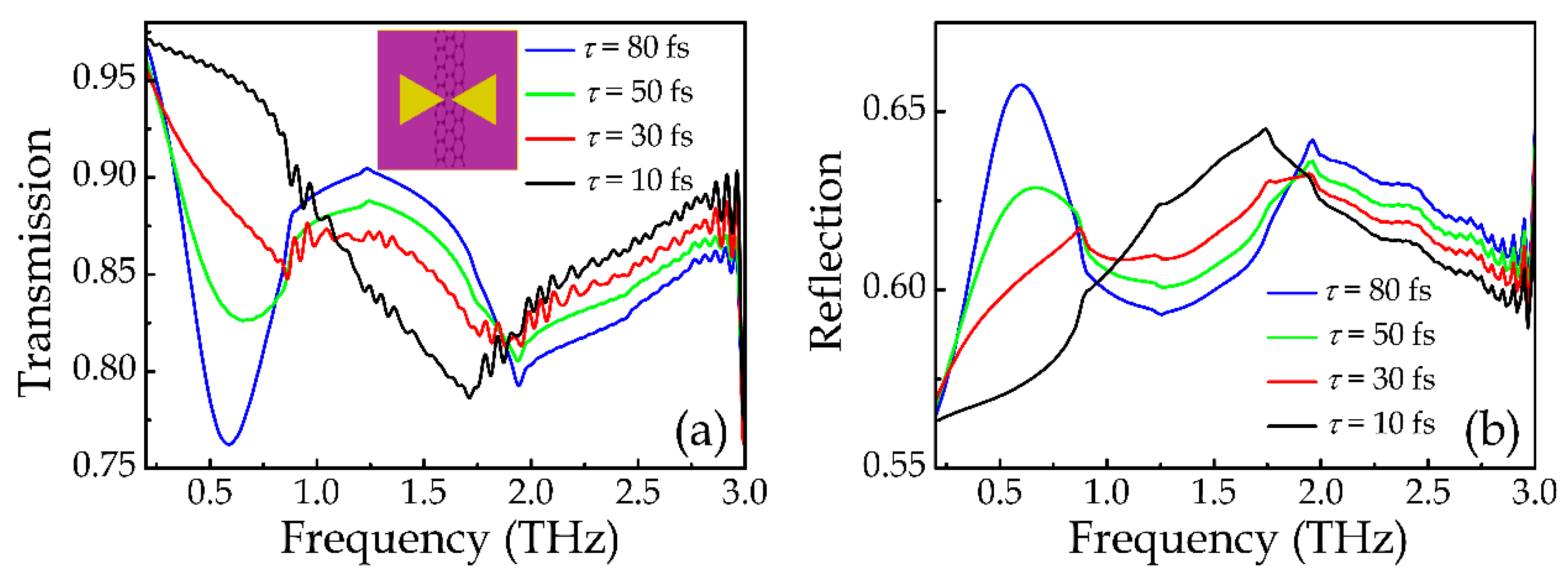
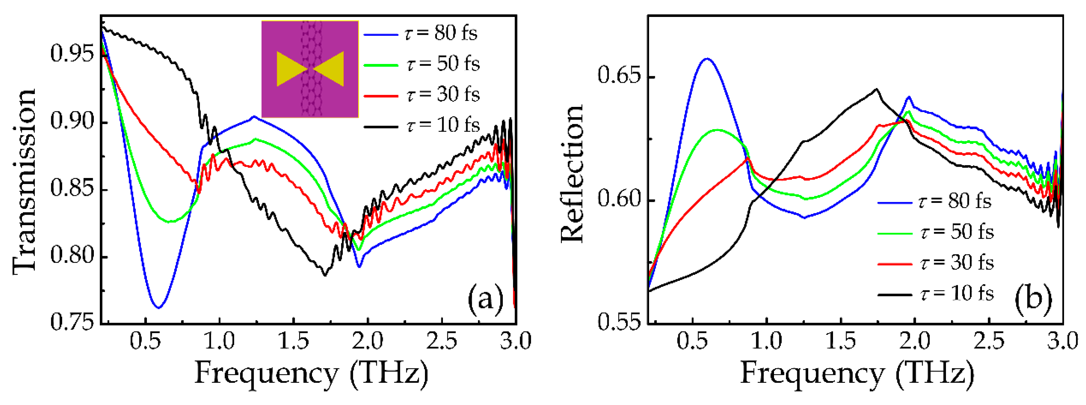
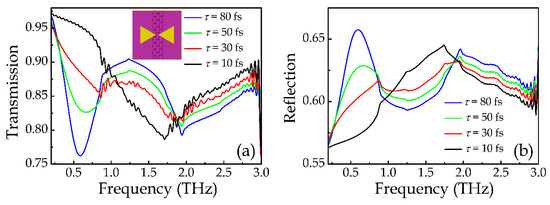
3. Results and Discussion
4. Conclusions
Author Contributions
Funding
Conflicts of Interest
Appendix A
References
- Paul, O.; Beigang, R.; Rahm, M. Highly selective terahertz bandpass filters based on trapped mode excitation. Opt Express 2009, 17, 18590–18595. [Google Scholar] [CrossRef] [PubMed]
- Zhang, X.; Gu, J.; Cao, W.; Han, J.; Lakhtakia, A.; Zhang, W. Bilayer-fish-scale ultrabroad terahertz bandpass filter. Opt. Lett. 2012, 37, 906–908. [Google Scholar] [CrossRef] [PubMed]
- Zhu, Z.; Zhang, X.; Gu, J.; Singh, R.; Tian, Z.; Han, J.; Zhang, W. A metamaterial-based terahertz low-pass filter with low insertion loss and sharp rejection. IEEE Trans. Terahertz Sci. Technol. 2013, 3, 832–837. [Google Scholar] [CrossRef]
- O’Hara, J.F.; Singh, R.; Brener, I.; Smirnova, E.; Han, J.; Taylor, A.J.; Zhang, W. Thin-film sensing with planar terahertz metamaterials: Sensitivity and limitations. Opt. Express 2008, 16, 1786–1795. [Google Scholar] [CrossRef] [PubMed]
- Singh, R.; Cao, W.; Al-Naib, I.; Cong, L.; Withayachumnankul, W.; Zhang, W. Ultrasensitive terahertz sensing with high-Q Fano resonances in metasurfaces. Appl. Phys. Lett. 2014, 105, 171101. [Google Scholar] [CrossRef]
- Zhang, X.; Tian, Z.; Yue, W.; Gu, J.; Zhang, S.; Han, J.; Zhang, W. Broadband terahertz wave deflection based on C-shape complex metamaterials with phase discontinuities. Adv. Mater. 2013, 25, 4567–4572. [Google Scholar] [CrossRef] [PubMed]
- Yu, N.; Genevet, P.; Kats, M.A.; Aieta, F.; Tetienne, J.P.; Capasso, F.; Gaburro, Z. Light propagation with phase discontinuities: Generalized laws of reflection and refraction. Science 2011, 334, 333–337. [Google Scholar] [CrossRef]
- Zhang, H.; Zhang, X.; Xu, Q.; Tian, C.; Wang, Q.; Xu, Y.; Li, Y.; Gu, J.; Tian, Z.; Ouyang, C.; et al. High-efficiency dielectric metasurfaces for polarization-dependent terahertz wavefront manipulation. Adv. Opt. Mater. 2017, 6, 1700773. [Google Scholar] [CrossRef]
- Zhao, X.; Zhang, J.; Fan, K.; Duan, G.; Metcalfe, G.D.; Wraback, M.; Zhang, X.; Averitt, R.D. Nonlinear terahertz metamaterial perfect absorbers using GaAs. Photonics Res. 2016, 4, A16–A21. [Google Scholar] [CrossRef]
- Li, S.; Nugraha, P.S.; Su, X.; Chen, X.; Yang, Q.; Unferdorben, Q.; Kovács, Q.; Kunsági-Máté, S.; Liu, M.; Zhang, X.; et al. Terahertz electric field modulated mode coupling in graphene-metal hybrid metamaterials. Opt. Express 2019, 27, 2317–2326. [Google Scholar] [CrossRef]
- Keiser, G.R.; Karl, N.; Liu, P.; Tulloss, C.; Chen, H.T.; Taylor, A.J.; Brener, I.; Reno, J.L.; Mittleman, D.M. Nonlinear terahertz metamaterials with active electrical control. Appl. Phys. Lett. 2017, 111, 121101. [Google Scholar] [CrossRef]
- Gu, J.; Singh, R.; Liu, X.; Zhang, X.; Ma, Y.; Zhang, S.; Maier, S.A.; Tian, Z.; Azad, A.K.; Chen, H.; et al. Active control of electromagnetically induced transparency analogue in terahertz metamaterials. Nat. Commun. 2012, 3, 1151. [Google Scholar] [CrossRef] [PubMed]
- Chen, X.; Ghosh, S.; Xu, Q.; Ouyang, C.; Li, Y.; Zhang, X.; Tian, Z.; Gu, J.; Liu, L.; Azad, A.K.; et al. Active control of polarization-dependent near-field coupling in hybrid metasurfaces. Appl. Phys. Lett. 2018, 113, 061111. [Google Scholar] [CrossRef]
- Wang, L.; Hong, W.; Deng, L.; Li, S.; Zhang, C.; Zhu, J.; Wang, H. Reconfigurable multifunctional metasurface hybridized with vanadium dioxide at terahertz frequencies. Materials 2018, 11, 2040. [Google Scholar] [CrossRef] [PubMed]
- Chen, H.T.; Padilla, W.J.; Zide, J.M.O.; Gossard, A.C.; Taylor, A.J.; Averitt, R.D. Active terahertz metamaterial devices. Nature 2006, 444, 597–600. [Google Scholar] [CrossRef] [PubMed]
- Liu, X.; Wang, Q.; Zhang, X.; Li, H.; Xu, Q.; Xu, Y.; Chen, X.; Li, S.; Liu, M.; Tian, Z.; et al. Thermally dependent dynamic meta-holography using a vanadium dioxide integrated metasurface. Adv. Opt. Mater. 2019, 7, 1900175. [Google Scholar] [CrossRef]
- Li, Q.; Tian, Z.; Zhang, X.; Singh, R.; Du, L.; Gu, J.; Han, J.; Zhang, W. Active graphene-silicon hybrid diode for terahertz waves. Nat. Commun. 2015, 6, 7082. [Google Scholar] [CrossRef]
- Li, Q.; Tian, Z.; Zhang, X.; Xu, N.; Singh, R.; Gu, J.; Lv, P.; Luo, L.B.; Zhang, S.; Han, J.; et al. Dual control of active graphene-silicon hybrid metamaterial devices. Carbon 2015, 90, 146–153. [Google Scholar] [CrossRef]
- Zhang, H.; Cao, Y.; Liu, Y.; Li, Y.; Zhang, Y. A novel graphene metamaterial design for tunable terahertz plasmon induced transparency by two bright mode coupling. Opt. Commun. 2017, 391, 9–15. [Google Scholar] [CrossRef]
- Izadshenas, S.; Zakery, A.; Vafapour, Z. Tunable slow light in graphene metamaterial in a broad terahertz range. Plamonics 2018, 13, 63–70. [Google Scholar] [CrossRef]
- Kim, T.T.; Oh, S.S.; Kim, H.D.; Park, H.S.; Hess, O.; Min, B.; Zhang, S. Electrical access to critical coupling of circularly polarized waves in graphene chiral metamaterials. Sci. Adv. 2017, 3, e1701377. [Google Scholar] [CrossRef] [PubMed]
- Huang, Y.; Yao, Z.; Hu, F.; Liu, C.; Yu, L.; Jin, Y.; Xu, X. Tunable circular polarization conversion and asymmetric transmission of planar chiral graphene-metamaterial in terahertz region. Carbon 2017, 119, 305–313. [Google Scholar] [CrossRef]
- Deng, L.; Zhang, Y.; Zhu, J.; Qu, M.; Wang, L.; Zhang, C. Independent manipulating of orthogonal-polarization terahertz waves using a reconfigurable graphene-based metasurface. Materials 2018, 11, 1817. [Google Scholar] [CrossRef] [PubMed]
- Huang, M.L.; Cheng, Y.Z.; Cheng, Z.Z.; Chen, H.R.; Mao, X.S.; Gong, R.Z. Design of a broadband tunable terahertz metamaterial absorber based on complementary structural graphene. Materials 2018, 11, 540. [Google Scholar] [CrossRef] [PubMed]
- Li, Q.; Cong, L.; Singh, R.; Xu, N.; Cao, W.; Zhang, X.; Tian, Z.; Du, L.; Han, J.; Zhang, W. Monolayer graphene sensing enabled by the strong Fano-resonant metasurface. Nanoscale 2016, 8, 17278. [Google Scholar] [CrossRef] [PubMed]
- Zhou, Q.; Zha, S.; Liu, P.; Liu, C.; Bian, L.; Zhang, J.; Liu, H.; Ding, L. Graphene based controllable broadband terahertz metamaterial absorber with transmission band. Materials 2018, 11, 2409. [Google Scholar] [CrossRef] [PubMed]
- Grischkowsky, D.; Keiding, S.; Exter, M.; Fattinger, C. Far-infrared time-domain spectroscopy with terahertz beams of dielectrics and semiconductors. J. Opt. Soc. Am. B 1990, 7, 2006–2015. [Google Scholar] [CrossRef]
- Zhang, H.; Li, C.; Zhang, C.; Zhang, X.; Gu, J.; Jin, B.; Han, J.; Zhang, W. Experimental study on the transition of plasmonic resonance modes in double-ring dimers by conductive junctions in the terahertz regime. Opt. Express 2016, 24, 27415–27422. [Google Scholar] [CrossRef] [PubMed]
- Zuloaga, J.; Prodan, E.; Nordlander, P. Quantum description of the plasmon resonances of a nanoparticle dimer. Nano Lett. 2009, 9, 887–891. [Google Scholar] [CrossRef] [PubMed]
- Pérez-González, O.; Zabala, N.; Borisov, A.G.; Halas, N.J.; Nordlander, P.; Aizpurua, J. Optical spectroscopy of conductive junctions in plasmonic cavities. Nano Lett. 2010, 10, 3090–3095. [Google Scholar] [CrossRef] [PubMed]
- Pérez-González, O.; Zabala, N.; Aizpurua, J. Optical characterization of charge transfer and bonding dimer plasmons in linked interparticle gaps. New J. Phys. 2011, 13, 083013. [Google Scholar] [CrossRef]
- Chen, P.Y.; Alù, A. Atomically thin surface cloak using graphene monolayers. ACS Nano 2011, 5, 5855–5863. [Google Scholar] [CrossRef] [PubMed]
- Lee, S.H.; Choi, M.; Kim, T.T.; Lee, S.; Liu, M.; Yin, X.; Choi, H.K.; Lee, S.S.; Choi, C.G.; Choi, S.Y.; et al. Switching terahertz waves with gate-controlled active graphene metamaterials. Nat. Mater. 2012, 11, 936–941. [Google Scholar] [CrossRef] [PubMed]
- Hwang, H.Y.; Brandt, N.C.; Farhat, H.; Hsu, A.L.; Kong, J.; Nelson, K.A. Nonlinear THz conductivity dynamics in P-type CVD-grown graphene. J. Phys. Chem. B 2013, 117, 15819–15824. [Google Scholar] [CrossRef] [PubMed]
- Razavipour, H.; Yang, W.; Guermoune, A.; Hilke, M.; Cooke, D.G. High-field response of gated graphene at terahertz frequencies. Phys. Rev. B 2015, 92, 245421. [Google Scholar] [CrossRef]
- Kakenov, N.; Balci, O.; Takan, T.; Ozkan, V.A.; Altan, H.; Kocabas, C. Observation of gate-tunable coherent perfect absorption of terahertz radiation in graphene. ACS Photonics 2016, 3, 1531–1535. [Google Scholar] [CrossRef]
- Kakenov, N.; Ergoktas, M.S.; Balci, O.; Kocabas, C. Graphene based terahertz phase modulators. 2D Mater. 2018, 5, 035018. [Google Scholar] [CrossRef]
- Vakil, A.; Engheta, N. Transformation optics using graphene. Science 2011, 332, 1291. [Google Scholar] [CrossRef]
- Hafez, H.A.; Al-Naib, I.; Dignam, M.M.; Sekine, Y.; Oguri, K.; Blanchard, F.; Cooke, D.G.; Tanaka, S.; Komori, F.; Hibino, H.; et al. Nonlinear terahertz field-induced carrier dynamics in photoexcited epitaxial monolayer graphene. Phys. Rev. B 2015, 91, 035422. [Google Scholar] [CrossRef]






© 2019 by the authors. Licensee MDPI, Basel, Switzerland. This article is an open access article distributed under the terms and conditions of the Creative Commons Attribution (CC BY) license (http://creativecommons.org/licenses/by/4.0/).
Share and Cite
Li, Q.; Wang, S.; Chen, T. Nonlinear Modulation of Plasmonic Resonances in Graphene-Integrated Triangular Dimers at Terahertz Frequencies. Materials 2019, 12, 2466. https://doi.org/10.3390/ma12152466
Li Q, Wang S, Chen T. Nonlinear Modulation of Plasmonic Resonances in Graphene-Integrated Triangular Dimers at Terahertz Frequencies. Materials. 2019; 12(15):2466. https://doi.org/10.3390/ma12152466
Chicago/Turabian StyleLi, Quan, Shuang Wang, and Tai Chen. 2019. "Nonlinear Modulation of Plasmonic Resonances in Graphene-Integrated Triangular Dimers at Terahertz Frequencies" Materials 12, no. 15: 2466. https://doi.org/10.3390/ma12152466
APA StyleLi, Q., Wang, S., & Chen, T. (2019). Nonlinear Modulation of Plasmonic Resonances in Graphene-Integrated Triangular Dimers at Terahertz Frequencies. Materials, 12(15), 2466. https://doi.org/10.3390/ma12152466

