Model for the Correlation between Anodic Dissolution Resistance and Crystallographic Texture in Pipeline Steels
Abstract
1. Introduction
2. Materials and Methods
2.1. Materials
2.2. Crystallographic Texture Measurements
2.3. Electrochemical Tests
3. Model for Estimating the Average Corrosion Resistance Index from Crystallographic Texture
4. Results and Discussion
4.1. Microstructure Study
4.2. Estimation of the Average CRI from Crystallographic Texture
4.3. Model Validation
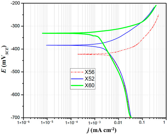
4.3.1. Potentiodynamic Polarization Tests
4.3.2. Analysis of EIS Measurements
5. Conclusions
Author Contributions
Funding
Acknowledgments
Conflicts of Interest
References
- Vanaei, H.R.; Eslami, A.; Egbewande, A. A review on pipeline corrosion, in-line inspection (ILI), and corrosion growth rate models. Int. J. Press. Vessels. Pip. 2017, 149, 43–54. [Google Scholar] [CrossRef]
- Tawancy, H.M.; Al-Hadhrami, L.M.; Al-Yousef, F.K. Analysis of corroded elbow section of carbon steel piping system of an oil–gas separator vessel. Case Stud. Eng. Fail Anal. 2013, 1, 6–14. [Google Scholar] [CrossRef]
- Arzaghi, E.; Abbassi, R.; Garaniya, V.; Binns, J.; Chin, C.; Khakzad, N.; Reniers, G. Developing a dynamic model for pitting and corrosion-fatigue damage of subsea pipelines. Ocean Eng. 2018, 150, 391–396. [Google Scholar] [CrossRef]
- McCafferty, E. Introduction to Corrosion Science; Springer: Berlin, Germany, 2010; p. 119. [Google Scholar]
- Bhandari, J.; Khan, F.; Abbassi, R.; Garaniya, V.; Ojeda, R. Modelling of pitting corrosion in marine and offshore steel structures—A technical review. J. Loss Prev. Process Ind. 2015, 37, 39–62. [Google Scholar] [CrossRef]
- Liu, A.; Ren, X.F.; Zhang, J.; Wang, C.; Yang, P.X.; Zhang, J.Q.; An, M.Z.; Higgins, D.; Li, Q.; Wu, G. Theoretical and experimental studies of the corrosion inhibition effect of nitrotetrazolium blue chloride on copper in 0.1 M H2SO4. RSC Adv. 2014, 4, 40606–40616. [Google Scholar] [CrossRef]
- Frankel, G.S. Pitting corrosion of metals a review of critical factors. J. Electrochem. Soc. 1998, 145, 2186–2198. [Google Scholar] [CrossRef]
- Buck, W.R.; Leidheiser, H. The corrosion of single crystals and recrystallized single crystals of iron and steel in citric acid. J. Electrochem. Soc. 1957, 104, 474–481. [Google Scholar] [CrossRef]
- Boggs, W.E.; Kachik, R.H.; Pellissier, G.E. The effects of crystallographic orientation and oxygen pressure on the oxidation of iron. J. Electrochem. Soc. 1967, 114, 32–39. [Google Scholar] [CrossRef]
- Fushimi, K.; Miyamoto, K.; Konno, H. Anisotropic corrosion of iron in pH 1 sulphuric acid. Electrochim. Acta 2010, 55, 7322–7327. [Google Scholar] [CrossRef]
- Takabatake, Y.; Fushimi, K.; Nakanishi, T.; Hasegawa, Y. Grain-dependent passivation of iron in sulfuric acid solution. J. Electrochem. Soc. 2014, 161, C594–C600. [Google Scholar] [CrossRef]
- Wang, X.; Szpunar, J.A.; Zhang, L. Effect of surface crystallographic orientation on the oxidation behavior of Ni-based alloy. Appl. Surf. Sci. 2015, 327, 532–536. [Google Scholar] [CrossRef]
- Bland, L.G.; Gusieva, K.; Scully, J.R. Effect of crystallographic orientation on the corrosion of magnesium: Comparison of film forming and bare crystal facets using electrochemical impedance and Raman spectroscopy. Electrochim. Acta 2017, 227, 136–151. [Google Scholar] [CrossRef]
- Schreiber, A.; Schultze, J.W.; Lohrengel, M.M.; Kármán, F.; Kálmán, E. Grain dependent electrochemical investigations on pure iron in acetate buffer pH 6.0. Electrochim. Acta 2006, 51, 2625–2630. [Google Scholar] [CrossRef]
- Schreiber, A.; Rosenkranz, C.; Lohrengel, M.M. Grain-dependent anodic dissolution of iron. Electrochim. Acta 2007, 52, 7738–7745. [Google Scholar] [CrossRef]
- Kim, K.M.; Kim, H.K.; Park, J.Y.; Lee, J.S.; Kim, S.G.; Kim, N.J.; Lee, B.J. {100} texture evolution in bcc Fe sheets—Computational design and experiments. Acta Mater. 2016, 106, 106–116. [Google Scholar] [CrossRef]
- Brewick, P.T.; Kota, N.; Lewis, A.C.; DeGiorgi, V.G.; Geltmacher, A.B.; Qidwai, S.M. Microstructure-sensitive modeling of pitting corrosion: Effect of the crystallographic orientation. Corros. Sci. 2017, 129, 54–69. [Google Scholar] [CrossRef]
- Brahim-Bounab, A.; Amaudrut, J.Y.; Tellier, C.R. Dissolution slowness surfaces of cubic crystals Part I. J. Mater. Sci. 1991, 26, 5585–5594. [Google Scholar] [CrossRef]
- Dwivedi, D.; Lepkova, K.; Becker, T. Carbon steel corrosion: a review of key surface properties and characterization methods. RSC Adv. 2017, 7, 4580–4610. [Google Scholar] [CrossRef]
- Arafin, M.A.; Szpunar, J.A. A Markov Chain–Monte Carlo model for intergranular stress corrosion crack propagation in polycrystalline materials. Mater. Sci. Eng. A. 2009, 513–514, 254–266. [Google Scholar] [CrossRef]
- Arafin, M.A.; Szpunar, J.A. A new understanding of intergranular stress corrosion cracking resistance of pipeline steel through grain boundary character and crystallographic texture studies. Corros. Sci. 2009, 51, 119–128. [Google Scholar] [CrossRef]
- Venegas, V.; Caleyo, F.; Baudin, T.; Espina-Hernandez, J.H.; Hallen, J.M. On the role of crystallographic texture in mitigating hydrogen-induced cracking in pipeline steels. Corros. Sci. 2011, 53, 4204–4212. [Google Scholar] [CrossRef]
- Shahryari, A.; Szpunar, J.A.; Omanovic, S. The influence of crystallographic orientation distribution on 316LVM stainless steel pitting behavior. Corros. Sci. 2009, 51, 677–682. [Google Scholar] [CrossRef]
- Venegas, V.; Caleyo, F.; Vázquez, L.E.; Baudin, T.; Hallen, J.M. On the influence of crystallographic texture on pitting corrosion in pipeline steels. Int. J. Electrochem. Sci. 2015, 10, 3539–3552. [Google Scholar]
- Manh, T.L.; Caleyo, F.; Hallen, J.M.; Pérez-Benítez, J.A.; Espina-Hernández, J.H. Novel method for the accurate determination of magnetocrystalline energy from Barkhausen noise in ferromagnetic materials. Mater. Sci. Eng. B 2017, 225, 98–107. [Google Scholar] [CrossRef]
- Pawlik, K. Determination of the orientation distribution function from pole figures in arbitrarily defined Cells. Phys. Status Solidi 1986, 134, 477–483. [Google Scholar] [CrossRef]
- Espina-Hernández, J.H.; Caleyo, F.; Venegas, V.; Hallen, J.M. Pitting corrosion in low carbon steel influenced by remanent magnetization. Corros. Sci. 2011, 53, 3100–3107. [Google Scholar] [CrossRef]
- Taleb, A.; Stafiej, J. Numerical simulation of the effect of grain size on corrosion processes: Surface roughness oscillation and cluster detachment. Corros. Sci. 2011, 53, 2508–2513. [Google Scholar] [CrossRef]
- Blonski, P.; Kiejna, A. Structural, electronic, and magnetic properties of bcc iron surfaces. Surf. Sci. 2007, 601, 123–133. [Google Scholar] [CrossRef]
- Bunge, H.J. Texture Analysis in Materials Science, Mathematical Methods; Elsevier: New York, NY, USA, 1982; p. 351. [Google Scholar]
- Raabe, D.; Lucke, K. Texture and microstructure of hot rolled steel. Scr. Matll. 1992, 26, 1221–1226. [Google Scholar] [CrossRef]
- Manh, T.L.; Caleyo, F.; Hallen, J.M.; Espina-Hernández, J.H.; Pérez-Benitez, J.A. Model for the correlation between magnetocrystalline energy and Barkhausen noise in ferromagnetic materials. J. Magn. Magn. Mater. 2018, 454, 155–164. [Google Scholar] [CrossRef]
- Manh, T.L.; Hallen, J.M.; Caleyo, F.; Sierra-Marquez, A.L. Electron backscatter diffraction helps direct calculation of magnetocrystalline anisotropy energy in API 5L steels. Mater. Charact. 2018, 141, 86–96. [Google Scholar] [CrossRef]
- Yan, M.C.; Sun, C.; Xu, J.; Ke, W. Anoxic corrosion behavior of pipeline steel in acidic soils. Ind. Eng. Chem. Res. 2014, 53, 17615–17624. [Google Scholar] [CrossRef]






| Solution | Cl− (ppm) | SO42− (ppm) | pH |
|---|---|---|---|
| S** | 290 | 16.8 | 4.35 1 |
| Steels | Average Grain Size (µm) | Ferrite Content (%) |
|---|---|---|
| X56 | 13.88 ± 0.012 | 75.45 ± 0.05 |
| X52 | 18.22 ± 0.014 | 64.38 ± 0.03 |
| X60 | 23.89 ± 0.015 | 65.42 ± 0.03 |
| Materials | V{001}ND | V{112}ND | V{111}ND | V{110}ND |
|---|---|---|---|---|
| X56 | 8.32 | 22.29 | 12.34 | 3.93 |
| X52 | 4.57 | 15.14 | 6.51 | 9.36 |
| X60 | 5.37 | 16.68 | 7.44 | 9.19 |
| Materials | Ecorr (mVSCE) | jcorr (µA cm−2) | bc (mV dec−1) | ba (mV dec−1) | |
|---|---|---|---|---|---|
| X56 | 6.35 | −460 ± 9 | 3.72 ± 0.05 | 284 ± 8 | 21 ± 0.5 |
| X52 | 6.72 | −385 ± 7 | 1.37 ± 0.03 | 284 ± 7 | 35 ± 0.6 |
| X60 | 7.01 | −338 ± 6 | 0.51 ± 0.01 | 294 ± 6 | 23 ± 0.5 |
| Materials | Rs (Ω cm2) | C1 (µF cm−2) | R1 (Ω cm2) | C2 (µF cm−2) | R2 (Ω cm2) | CPE (µF cm−2) | n | Rct (Ω cm2) |
|---|---|---|---|---|---|---|---|---|
| X56 | 217.4 | 3.09 × 10−5 | 122.2 | 1.02 × 10−4 | 818.2 | 1.58 × 10−3 | 1 | 729.5 |
| X52 | 218.8 | 2.53 × 10−5 | 111.1 | 4.82 × 10−5 | 116.5 | 1.36 × 10−4 | 0.6730 | 1654.1 |
| X60 | 206.9 | 1.32 × 10−5 | 71.2 | 2.36 × 10−5 | 201.7 | 1.76 × 10−5 | 0.7489 | 1758.1 |
© 2018 by the authors. Licensee MDPI, Basel, Switzerland. This article is an open access article distributed under the terms and conditions of the Creative Commons Attribution (CC BY) license (http://creativecommons.org/licenses/by/4.0/).
Share and Cite
Madrigal-Cano, M.; Hernández-Maya, L.; Hallen, J.M.; Corrales-Luna, M.; Arce-Estrada, E.M.; Le Manh, T. Model for the Correlation between Anodic Dissolution Resistance and Crystallographic Texture in Pipeline Steels. Materials 2018, 11, 1432. https://doi.org/10.3390/ma11081432
Madrigal-Cano M, Hernández-Maya L, Hallen JM, Corrales-Luna M, Arce-Estrada EM, Le Manh T. Model for the Correlation between Anodic Dissolution Resistance and Crystallographic Texture in Pipeline Steels. Materials. 2018; 11(8):1432. https://doi.org/10.3390/ma11081432
Chicago/Turabian StyleMadrigal-Cano, Manuel, Luis Hernández-Maya, José Manuel Hallen, Mónica Corrales-Luna, Elsa Miriam Arce-Estrada, and Tu Le Manh. 2018. "Model for the Correlation between Anodic Dissolution Resistance and Crystallographic Texture in Pipeline Steels" Materials 11, no. 8: 1432. https://doi.org/10.3390/ma11081432
APA StyleMadrigal-Cano, M., Hernández-Maya, L., Hallen, J. M., Corrales-Luna, M., Arce-Estrada, E. M., & Le Manh, T. (2018). Model for the Correlation between Anodic Dissolution Resistance and Crystallographic Texture in Pipeline Steels. Materials, 11(8), 1432. https://doi.org/10.3390/ma11081432

