Applications of Electrochromic Copolymers Based on Tris(4-carbazoyl-9-ylphenyl)amine and Bithiophene Derivatives in Electrochromic Devices
Abstract
:1. Introduction
2. Experimental
2.1. Materials
2.2. Electrosynthesis of PtCz, P(tCz-co-bTP), P(tCz-co-CPDT), P(tCz-co-DTC), P(tCz-co-CPDTK), and PProDOT-Me2 Films
2.3. Electrochemical and Spectroelectrochemical Characterizations
2.4. Construction of Electrochromic Devices
3. Results and Discussion
3.1. Electrochemical Polymerization
3.2. Electrochemical Behavior of P(tCz-co-DTC) Film
3.3. Spectroelectrochemical Studies of Polymer Films
3.4. Electrochemical Switching of Polymer Films
3.5. Spectroelectrochemistry of ECDs
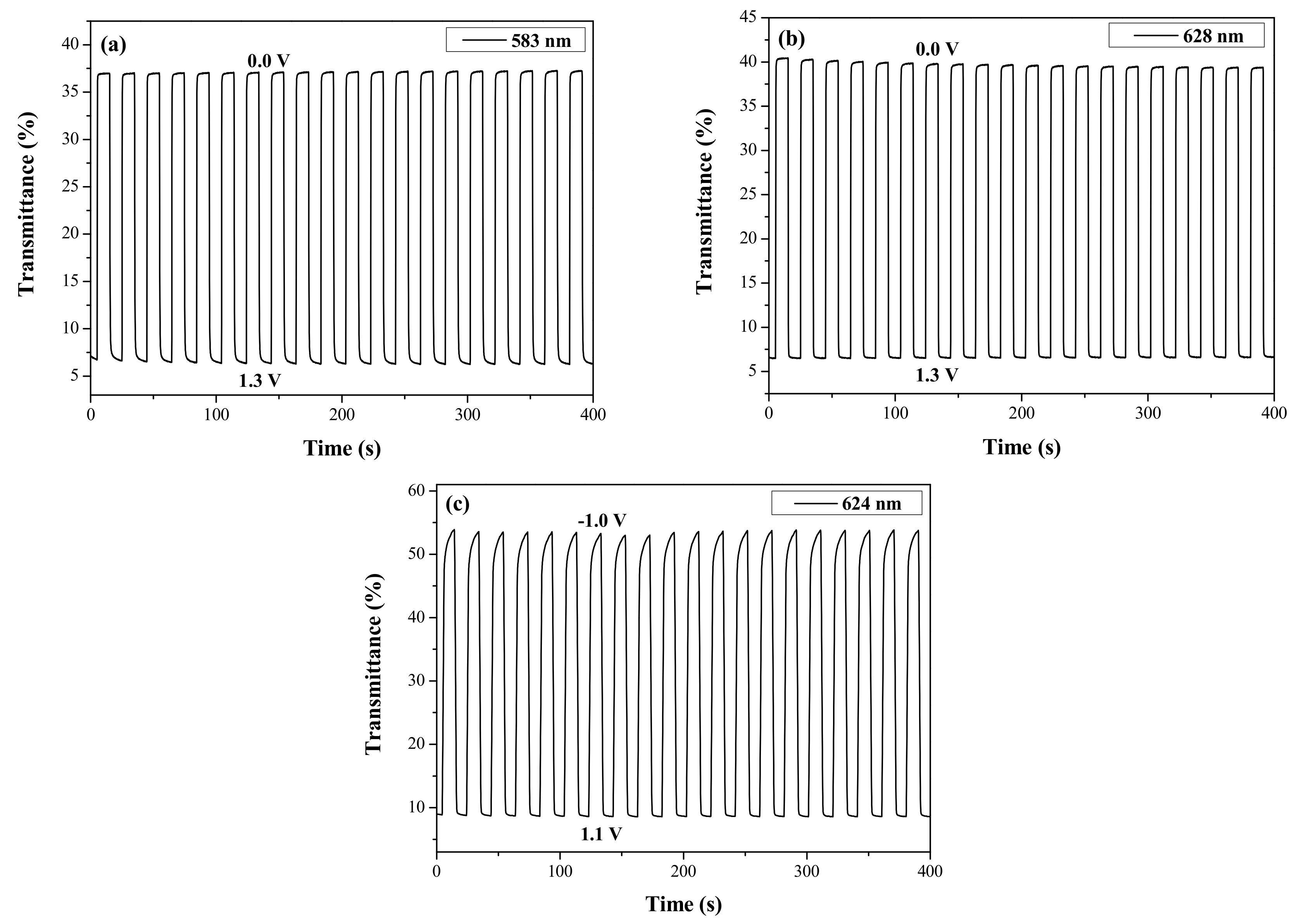
3.6. Electrochemical Switching of ECDs
3.7. Open Circuit Memory
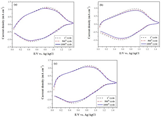
3.8. Stability
4. Conclusions
Author Contributions
Conflicts of Interest
References
- Mortimer, R.G. Electrochromic materials. Chem. Soc. Rev. 1997, 26, 147–156. [Google Scholar] [CrossRef]
- Kline, W.M.; Lorenzini, R.G.; Sotzing, G.A. A review of organic electrochromic fabric devices. Color Technol. 2014, 130, 73–80. [Google Scholar] [CrossRef]
- Beaujuge, P.M.; Reynolds, J.R. Color control in π-conjugated organic polymers for use in electrochromic devices. Chem. Rev. 2010, 110, 268–320. [Google Scholar] [CrossRef] [PubMed]
- Ming, S.; Zhang, S.; Liu, H.; Zhao, Y.; Mo, D.; Xu, J. Methacrylate modified polythiophene: Electrochemistry and electrochromics. Int. J. Electrochem. Sci. 2015, 10, 6598–6609. [Google Scholar]
- Lin, K.; Zhang, S.; Liu, H.; Zhao, Y.; Wang, Z.; Xu, J. Effects on the electrochemical and electrochromic properties of 3 linked polythiophene derivative by the introduction of polyacrylate. Int. J. Electrochem. Sci. 2015, 10, 7720–7731. [Google Scholar]
- Hsiao, S.H.; Hsueh, J.C. Electrochemical synthesis and electrochromic properties of new conjugated polycarbazoles from di(carbazol-9-yl)-substituted triphenylamine and N-phenylcarbazole derivatives. J. Electroanal. Chem. 2015, 758, 100–110. [Google Scholar] [CrossRef]
- Soyleyici, S.; Karakus, M.; Ak, M. Transparent-blue colored dual type electrochromic device: Switchable glass application of conducting organic-inorganic hybrid carbazole polymer. J. Electrochem. Soc. 2016, 163, H679–H683. [Google Scholar] [CrossRef]
- Wu, T.Y.; Chung, H.H. Applications of tris(4-(thiophen-2-yl)phenyl)amine- and dithienylpyrrole-based conjugated copolymers in high-contrast electrochromic devices. Polymers 2016, 8, 206–221. [Google Scholar] [CrossRef]
- Hsiao, S.H.; Lu, H.Y. Electrosynthesis of aromatic poly(amide-amine) films from triphenylamine-based electroactive compounds for electrochromic applications. Polymers 2017, 9, 708. [Google Scholar] [CrossRef]
- Kuo, C.W.; Chen, B.K.; Li, W.B.; Tseng, L.Y.; Wu, T.Y.; Tseng, C.G.; Chen, H.R.; Huang, Y.C. Effects of supporting electrolytes on spectroelectrochemical and electrochromic properties of polyaniline-poly(styrene sulfonic acid) and poly(ethylenedioxythiophene)-poly(styrene sulfonic acid)-based electrochromic device. J. Chin. Chem. Soc. 2014, 61, 563–570. [Google Scholar] [CrossRef]
- Kuo, C.W.; Wu, T.Y.; Fan, S.C. Applications of poly(indole-6-carboxylic acid-co-2,2’-bithiophene) films in high-contrast electrochromic devices. Coatings 2018, 8, 102. [Google Scholar] [CrossRef]
- Nie, G.M.; Zhou, L.J.; Yang, H.J. Electrosynthesis of a new polyindole derivative obtained from 5-formylindole and its electrochromic properties. J. Mater. Chem. 2011, 21, 13873–13880. [Google Scholar] [CrossRef]
- Yu, W.; Chen, J.; Fu, Y.; Xu, J.; Nie, G. Electrochromic property of a copolymer based on 5-cyanoindole and 3,4-ethylenedioxythiophene and its application in electrochromic devices. J. Electroanal. Chem. 2013, 700, 17–23. [Google Scholar] [CrossRef]
- Hsiao, S.H.; Lin, S.W. Electrochemical synthesis of electrochromic polycarbazole films from N-phenyl-3,6-bis(N-carbazolyl)carbazoles. Polym. Chem. 2016, 7, 198–211. [Google Scholar] [CrossRef]
- Hu, B.; Lv, X.; Sun, J.; Bian, G.; Ouyang, M.; Fu, Z.; Wang, P.; Zhang, C. Effects on the electrochemical and electrochromic properties of 3,6 linked polycarbazole derivative by the introduction of different acceptor groups and copolymerization. Org. Electron. 2013, 14, 1521–1530. [Google Scholar] [CrossRef]
- Soganci, T.; Soyleyici, H.C.; Ak, M.; Cetisli, H. An amide substituted dithienylpyrrole based copolymer: its electrochromic properties. J. Electrochem. Soc. 2016, 163, H59–H66. [Google Scholar] [CrossRef]
- Zhang, Y.; Liu, X.; Wang, M.; Liu, X.; Zhao, J. Low band gap donor-acceptor type polymers containing 2,3-bis(4-(decyloxy)phenyl)pyrido[4,3-b]pyrazine as acceptor and different thiophene derivatives as donors. Polymers 2016, 8, 377–395. [Google Scholar] [CrossRef]
- Weng, X.; Wu, S.; Liu, Y.; Wan, Z.; Jia, C.; Xie, J.; Deng, L. Novel electrochromic and infrared emissivity modulation films based on poly(carbazoyltriphenylamine) and poly(carbazoyltriphenylaminethiophene). Org. Electron. 2017, 51, 190–199. [Google Scholar] [CrossRef]
- Yiğit, D.; Hacioglub, S.O.; Güllüa, M.; Toppare, L. Synthesis and spectroelectrochemical characterization of multi-colored novel poly(3,6-dithienylcarbazole) derivatives containing azobenzene and coumarin chromophore units. Electrochim. Acta 2016, 196, 140–152. [Google Scholar] [CrossRef]
- Kuo, C.W.; Hsieh, T.H.; Hsieh, C.K.; Liao, J.W.; Wu, T.Y. Electrosynthesis and characterization of four electrochromic polymers based on carbazole and indole-6-carboxylic acid and their applications in high-contrast electrochromic devices. J. Electrochem. Soc. 2014, 161, D782–D790. [Google Scholar] [CrossRef]
- Karon, K.; Lapkowski, M.; Dabuliene, A.; Tomkeviciene, A.; Kostiv, N.; Grazulevicius, J.V. Spectroelectrochemical characterization of conducting polymers from star-shaped carbazole-triphenylamine compounds. Electrochim. Acta 2015, 154, 119–127. [Google Scholar] [CrossRef]
- Su, Y.S.; Wu, T.Y. Three carbazole-based polymers as potential anodically coloring materials for high-contrast electrochromic devices. Polymers 2017, 9, 284. [Google Scholar] [CrossRef]
- Welsh, D.M.; Kumar, A.; Meijer, E.W.; Reynolds, J.R. Enhanced contrast ratio and rapid switching in electrochromics based on poly(3,4-propylenedioxythiophene) derivatives. Adv. Mater. 1999, 11, 1379–1382. [Google Scholar] [CrossRef]
- Kham, K.; Sadki, S.; Chevrot, C. Oxidative electropolymerizations of carbazole derivatives in the presence of bithiophene. Synth. Met. 2004, 145, 135–140. [Google Scholar] [CrossRef]
- Feng, G.Q.; Wang, Z.; Gao, Q.X.; Chen, S.; Xu, X.L. Electrosyntheses and characterizations of a new multielectrochromic copolymer of 1-(3-methylthiophen-2-yl)pyrene and 3,4-ethylenedioxythiophene. Int. J. Electrochem. Sci. 2014, 9, 5820–5836. [Google Scholar]
- Soganci, T.; Soyleyici, S.; Soyleyici, H.C.; Ak, M. High contrast electrochromic polymer and copolymer materials based on amide-substituted poly(dithienyl pyrrole). J. Electrochem. Soc. 2017, 164, H11–H20. [Google Scholar] [CrossRef]
- Hacioglu, S.O.; Yiğit, D.; Ermis, E.; Soylemez, S.; Güllü, M.; Toppare, L. Syntheses and electrochemical characterization of low oxidation potential nitrogen analogs of pedot as electrochromic materials. J. Electrochem. Soc. 2016, 163, E293–E299. [Google Scholar] [CrossRef]
- Wu, T.Y.; Liao, J.W.; Chen, C.Y. Electrochemical synthesis, characterization and electrochromic properties of indan and 1,3-benzodioxole-based poly(2,5-dithienylpyrrole) derivatives. Electrochim. Acta 2014, 150, 245–262. [Google Scholar] [CrossRef]
- Kuo, C.W.; Wu, B.W.; Chang, J.K.; Chang, J.C.; Lee, L.T.; Wu, T.Y.; Ho, T.H. Electrochromic devices based on poly(2,6-di(9H-carbazol-9-yl)pyridine)-type polymer films and PEDOT-PSS. Polymers 2018, 10, 604. [Google Scholar] [CrossRef]
- Wang, B.; Zhao, J.; Xiao, J.; Cui, C.; Liu, R. Synthesis and electropolymerization of 9H-carbazol-9-ylpyrene and its electrochromic properties and electrochromic device application. Int. J. Electrochem. Sci. 2012, 7, 2781–2795. [Google Scholar]
- Kuo, C.W.; Wu, T.L.; Lin, Y.C.; Chang, J.K.; Chen, H.R.; Wu, T.Y. Copolymers based on 1,3-bis(carbazol-9-yl)benzene and three 3,4-ethylenedioxythiophene derivatives as potential anodically coloring copolymers in high-contrast electrochromic devices. Polymers 2016, 8, 368. [Google Scholar] [CrossRef]
- Chen, S.; Gao, Q.; Zhao, J.; Cui, C.; Yang, W.; Zhang, X. Electrosynthesis, characterizations and electrochromic properties of a novel copolymer of 4,4′-di(N-carbazoyl)biphenyl with 4H-cyclopenta[2,1-b:3,4-b′]dithiophene. Int. J. Electrochem. Sci. 2012, 7, 5256–5272. [Google Scholar]
- Koyuncu, S.; Gultekin, B.; Zafer, C.; Bilgili, H.; Can, M.; Demic, S.; Kaya, I.; Icli, S. Electrochemical and optical properties of biphenyl bridged-dicarbazole oligomer films: electropolymerization and electrochromism. Electrochim. Acta 2009, 54, 5694–5702. [Google Scholar] [CrossRef]
- Wang, B.; Zhao, J.; Liu, R.; Liu, J.; He, Q. Electrosyntheses, characterizations and electrochromic properties of a copolymer based on 4,4′-di(N-carbazoyl)biphenyl and 2,2′-bithiophene. Sol. Energy Mater. Sol. Cells 2011, 95, 1867–1874. [Google Scholar] [CrossRef]
- Udum, Y.A.; Hızlıateş, C.G.; Ergün, Y.; Toppare, L. Electrosynthesis and characterization of an electrochromic material containing biscarbazole–oxadiazole units and its application in an electrochromic device. Thin Solid Films 2015, 595, 61–67. [Google Scholar] [CrossRef]
- Kuo, C.W.; Wu, T.Y.; Huang, M.W. Electrochromic characterizations of copolymers based on 4,4-bis(N-carbazolyl)-1,1-biphenyl and indole-6-carboxylic acid and their applications in electrochromic devices. J. Taiwan Inst. Chem. Eng. 2016, 6, 481–488. [Google Scholar] [CrossRef]
- Wu, T.Y.; Li, J.L. Electrochemical synthesis, optical, electrochemical and electrochromic characterizations of indene and 1,2,5-thiadiazole-based poly(2,5-dithienylpyrrole) derivatives. RSC Adv. 2016, 6, 15988–15998. [Google Scholar] [CrossRef]
- Kuo, C.W.; Lee, P.Y. Electrosynthesis of copolymers based on 1,3,5-tris(N-carbazolyl)benzene and 2,2’-bithiophene and their applications in electrochromic devices. Polymers 2017, 9, 518. [Google Scholar] [CrossRef]
- Guzel, M.; Karatas, E.; Ak, M. Synthesis and fluorescence properties of carbazole based asymmetric functionalized star shaped polymer. J. Electrochem. Soc. 2017, 164, H49–H55. [Google Scholar] [CrossRef]
- Wu, T.Y.; Su, Y.S. Electrochemical synthesis and characterization of 1,4-benzodioxan-based electrochromic polymer and its application in electrochromic devices. J. Electrochem. Soc. 2015, 162, G103–G112. [Google Scholar] [CrossRef]










| Anodic Polymer Electrodes | Feed Species of Anodic Polymers | Feed Molar Ratio of Anodic Polymers |
|---|---|---|
| PtCz | 2 mM tCz | Neat tCz |
| P(tCz-co-bTP) | 2 mM tCz + 2 mM bTP | tCz:bTP = 1:1 |
| P(tCz-co-CPDT) | 2 mM tCz + 2 mM CPDT | tCz:CPDT = 1:1 |
| P(tCz-co-DTC) | 2 mM tCz + 2 mM DTC | tCz:DTC = 1:1 |
| P(tCz-co-CPDTK) | 2 mM tCz + 2 mM CPDTK | tCz:CPDTK = 1:1 |

| Electrodes | λ (nm) | Tox | Tred | ΔT | △OD | Qd (mC cm−2) | η (cm2 C−1) | τc (s) | τb (s) |
|---|---|---|---|---|---|---|---|---|---|
| PtCz | 760 | 33.0 | 63.5 | 30.5 | 0.284 | 6.660 | 42.6 | 6.0 | 5.0 |
| P(tCz-co-bTP) | 967 | 9.5 | 52.5 | 43.0 | 0.742 | 10.986 | 67.6 | 6.5 | 5.0 |
| P(tCz-co-CPDT) | 864 | 13.5 | 42.2 | 28.7 | 0.494 | 6.453 | 76.7 | 6.5 | 5.5 |
| P(tCz-co-DTC) | 870 | 10.0 | 53.6 | 43.6 | 0.729 | 9.310 | 78.3 | 6.5 | 4.5 |
| P(tCz-co-CPDTK) | 984 | 19.5 | 44.0 | 24.5 | 0.353 | 5.653 | 62.5 | 5.5 | 3.5 |
| Polymer Films | ΔTmax (%) | η (cm2 C−1) | Ref. |
|---|---|---|---|
| PETCB | 36 (1100 nm) | - | [15] |
| PMCzP | 29 (460 nm) | - | [30] |
| PBCz | 18.6 (1050 nm) | 180.3 | [31] |
| P(NO2-3Cz) | 52 (710 nm) | 35 | [14] |
| P(tCz-co-DTC) | 43.6 (870 nm) | 78.3 | This work |

| Devices | λ (nm) | Tox | Tred | ΔT | ΔOD | Qd (mC cm−2) | η (cm2 C−1) | τc (s) | τb (s) |
|---|---|---|---|---|---|---|---|---|---|
| PtCz/PProDOT-Me2 | 583 | 6.6 | 37.5 | 30.9 | 0.754 | 1.724 | 437.4 | 0.9 | 0.4 |
| P(tCz-co-bTP) /PProDOT-Me2 | 628 | 6.7 | 38.7 | 32.0 | 0.761 | 1.968 | 387.0 | 0.4 | 0.2 |
| P(tCz-co-CPDT) /PProDOT-Me2 | 582 | 7.4 | 27.1 | 19.7 | 0.563 | 1.343 | 419.7 | 0.3 | 0.5 |
| P(tCz-co-DTC) /PProDOT-Me2 | 624 | 8.6 | 54.5 | 45.9 | 0.801 | 2.001 | 400.5 | 1.2 | 1.6 |
| P(tCz-co-CPDTK) /PProDOT-Me2 | 582 | 7.6 | 37.1 | 29.5 | 0.688 | 1.342 | 513.0 | 0.6 | 0.2 |
| ECD Configurations | ΔTmax (%) | ηmax (cm2 C−1) | Ref. |
|---|---|---|---|
| P(dcbp-co-cpdt)/PEDOT | 39.8 (628 nm) | 319.98 (628 nm) | [32] |
| P(dcbp)/PEDOT | 19 (550 nm) | - | [33] |
| P(dcbp-co-bt)/PEDOT | 28.6 (700 nm) | 234 (700 nm) | [34] |
| P(bmco)/PEDOT | 35 (620 nm) | - | [35] |
| P(BCz-co-ProD)/tri-l PEDOT-PSS | 41 (642 nm) | 417 (642 nm) | [31] |
| P(BCz-co-In)/PProDOT-Et2 | 42.0 (587 nm) | 634 (587 nm) | [36] |
| P(tCz-co-DTC)/PProDOT-Me2 | 45.9 (624 nm) | 401 (624 nm) | This work |
© 2018 by the authors. Licensee MDPI, Basel, Switzerland. This article is an open access article distributed under the terms and conditions of the Creative Commons Attribution (CC BY) license (http://creativecommons.org/licenses/by/4.0/).
Share and Cite
Kuo, C.-W.; Chang, J.-C.; Lee, P.-Y.; Wu, T.-Y.; Huang, Y.-C. Applications of Electrochromic Copolymers Based on Tris(4-carbazoyl-9-ylphenyl)amine and Bithiophene Derivatives in Electrochromic Devices. Materials 2018, 11, 1895. https://doi.org/10.3390/ma11101895
Kuo C-W, Chang J-C, Lee P-Y, Wu T-Y, Huang Y-C. Applications of Electrochromic Copolymers Based on Tris(4-carbazoyl-9-ylphenyl)amine and Bithiophene Derivatives in Electrochromic Devices. Materials. 2018; 11(10):1895. https://doi.org/10.3390/ma11101895
Chicago/Turabian StyleKuo, Chung-Wen, Jui-Cheng Chang, Po-Ying Lee, Tzi-Yi Wu, and Yu-Chang Huang. 2018. "Applications of Electrochromic Copolymers Based on Tris(4-carbazoyl-9-ylphenyl)amine and Bithiophene Derivatives in Electrochromic Devices" Materials 11, no. 10: 1895. https://doi.org/10.3390/ma11101895
APA StyleKuo, C.-W., Chang, J.-C., Lee, P.-Y., Wu, T.-Y., & Huang, Y.-C. (2018). Applications of Electrochromic Copolymers Based on Tris(4-carbazoyl-9-ylphenyl)amine and Bithiophene Derivatives in Electrochromic Devices. Materials, 11(10), 1895. https://doi.org/10.3390/ma11101895

