Soft Ionic Electroactive Polymer Actuators with Tunable Non-Linear Angular Deformation
Abstract
:1. Introduction
2. Experimental
2.1. Materials
2.2. Sample Fabrication
2.3. Sample Nomenclature
2.4. Electrochemical Characterizations
2.5. Electromechanical Characterizations
2.6. Morphological and Mechanical Characterizations
2.7. Finite Element Modeling
3. Results
3.1. Cyclic Voltammetry
3.2. Equivalent Circuit Modeling
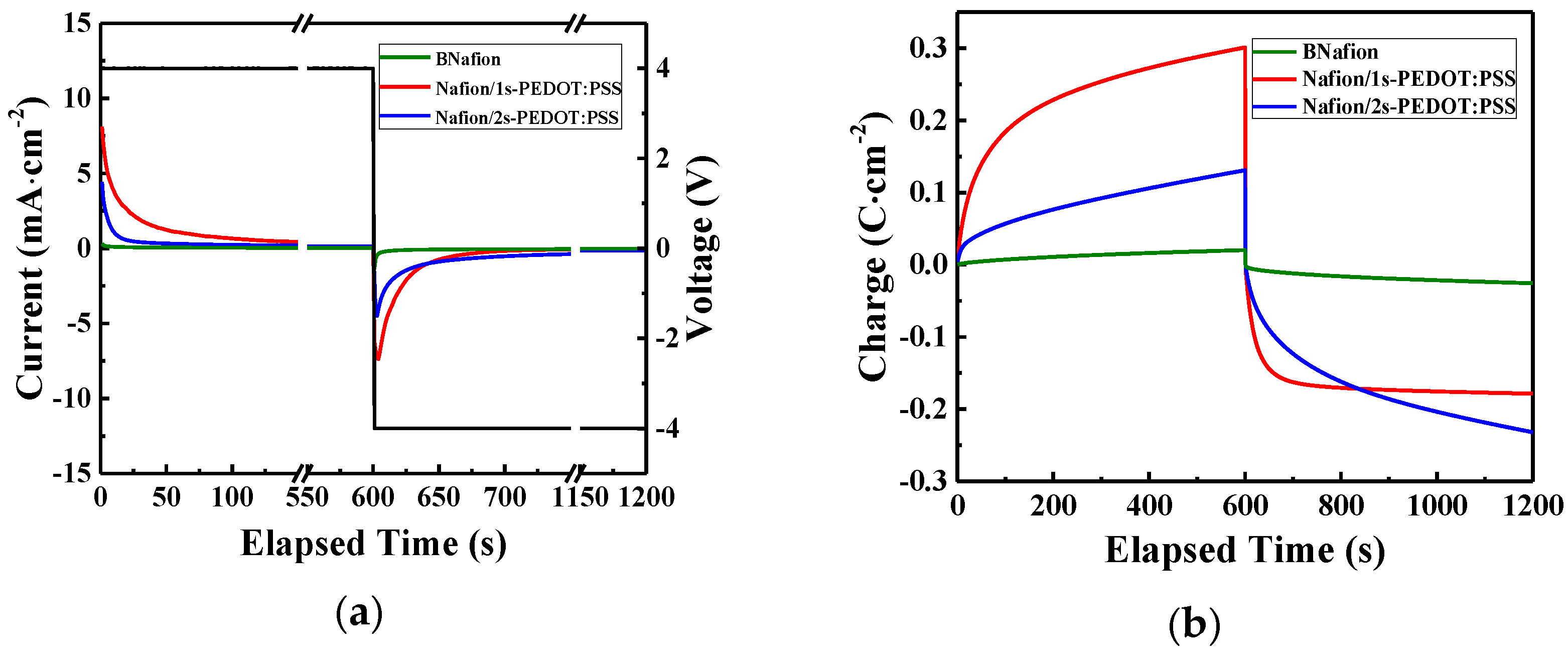
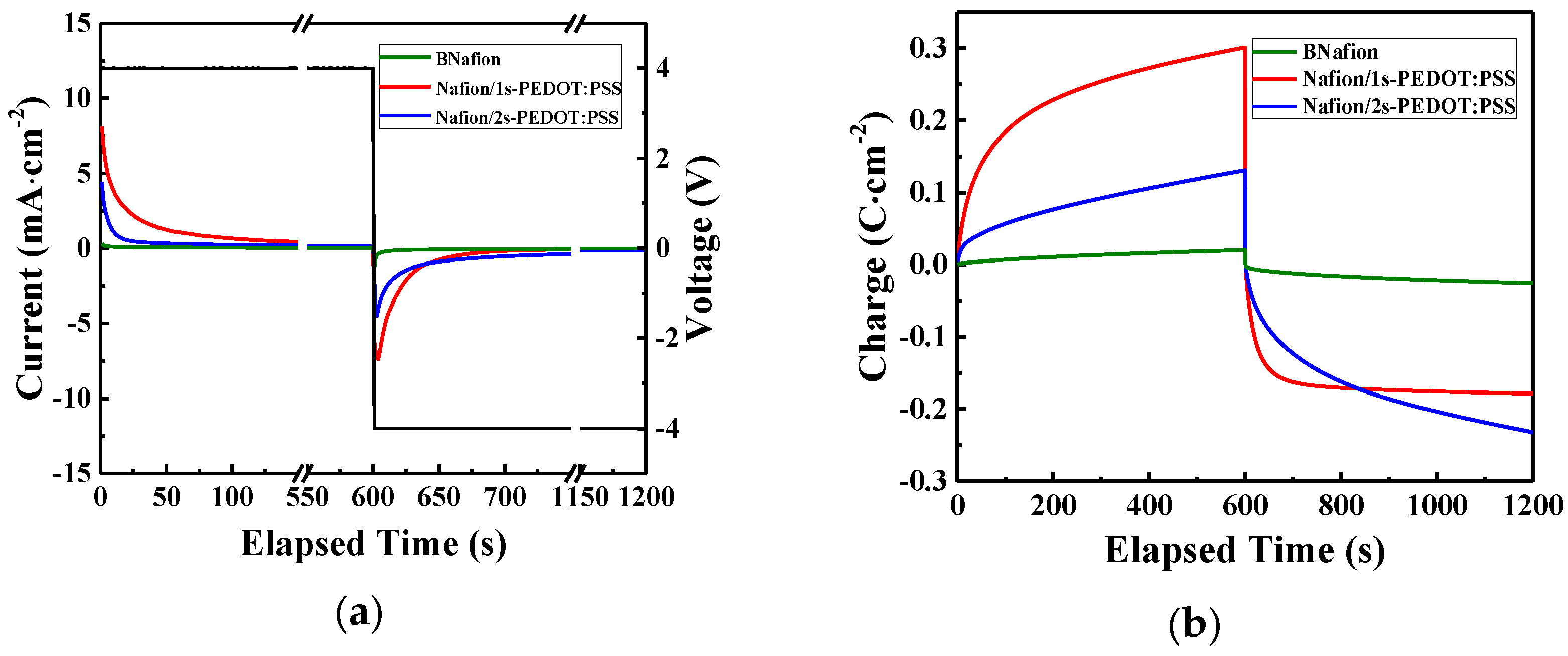
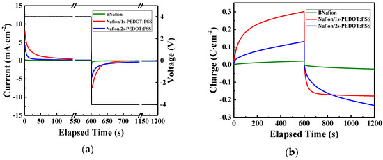
3.3. Charging and Discharging
3.4. Electromechanical Response
4. Discussion and Simulation
4.1. Discussion
4.2. Finite Element Simulation
5. Conclusions
Supplementary Materials
Acknowledgments
Author Contributions
Conflicts of Interest
References
- Raibert, M.; Blankespoor, K.; Nelson, G.; Playter, R. Bigdog, the rough-terrain quadruped robot. In Proceedings of the 17th World Congress, Seoul, Korea, 6–11 July 2008; pp. 10822–10825. [Google Scholar]
- Shian, S.; Bertoldi, K.; Clarke, D.R. Dielectric Elastomer Based “Grippers” for Soft Robotics. Adv. Mater. 2015, 27, 6814–6819. [Google Scholar] [CrossRef] [PubMed]
- Yang, D.; Mosadegh, B.; Ainla, A.; Lee, B.; Khashai, F.; Suo, Z.; Bertoldi, K.; Whitesides, G.M. Buckling of Elastomeric Beams Enables Actuation of Soft Machines. Adv. Mater. 2015, 27, 6323–6327. [Google Scholar] [CrossRef] [PubMed]
- Asaka, K.; Okuzaki, H. Soft Actuators: Materials, Modeling, Applications, and Future Perspectives; Springer: Tokyo, Japan, 2014. [Google Scholar]
- Rogers, J.A. Materials science. A clear advance in soft actuators. Science 2013, 341, 968–969. [Google Scholar] [CrossRef] [PubMed]
- Yu, Y.; Ikeda, T. Soft Actuators Based on Liquid-Crystalline Elastomers. Angew. Chem. Int. Ed. 2006, 45, 5416–5418. [Google Scholar] [CrossRef] [PubMed]
- Chatterjee, D.; Hanumaiah, N.; Bahramzadeh, Y.; Shahinpoor, M. Actuation and sensing studies of a miniaturized five fingered robotic hand made with ion polymeric metal composite (IPMC). Adv. Mater. Res. 2013, 740, 492–495. [Google Scholar] [CrossRef]
- Lumia, R.; Shahinpoor, M. IPMC Microgripper Research and Development. J. Phys. Conf. Ser. 2008, 127. [Google Scholar] [CrossRef]
- Kim, K.; Shahinpoor, M. Special issue—Biomimetics, Artificial Muscles, and Nano-Bio 2004. J. Intell. Mater. Syst. Struct. 2007, 18, 101. [Google Scholar] [CrossRef]
- Choe, K.; Kim, K.J.; Kim, D.; Manford, C.; Heo, S.; Shahinpoor, M. Performance characteristics of electro-chemically driven polyacrylonitrile fiber bundle actuators. J. Intell. Mater. Syst. Struct. 2006, 17, 563–576. [Google Scholar] [CrossRef]
- Shahinpoor, M.; Kim, K.J.; Leo, D.J. Ionic polymer-metal composites as multifunctional materials. Polym. Compos. 2003, 24, 24–33. [Google Scholar] [CrossRef]
- Shahinpoor, M. Ionic polymer-conductor composites as biomimetic sensors, robotic actuators and artificial muscles—A review. Electrochim. Acta 2003, 48, 2343–2353. [Google Scholar] [CrossRef]
- Shahinpoor, M.; Kim, K.J. Solid-state soft actuator exhibiting large electromechanical effect. Appl. Phys. Lett. 2002, 80, 3445–3447. [Google Scholar] [CrossRef]
- Hong, W.; Meis, C.; Heflin, J.R.; Montazami, R. Evidence of counterion migration in ionic polymer actuators via investigation of electromechanical performance. Sens. Actuators B Chem. 2014, 205, 371–376. [Google Scholar] [CrossRef]
- Montazami, R.; Wang, D.; Heflin, J.R. Influence of conductive network composite structure on the electromechanical performance of ionic electroactive polymer actuators. Int. J. Smart Nano Mater. 2012, 3, 204–213. [Google Scholar] [CrossRef]
- Montazami, R.; Liu, S.; Liu, Y.; Wang, D.; Zhang, Q.; Heflin, J.R. Thickness dependence of curvature, strain, and response time in ionic electroactive polymer actuators fabricated via layer-by-layer assembly. J. Appl. Phys. 2011, 109, 104301. [Google Scholar] [CrossRef]
- Liu, Y.; Liu, S.; Lin, J.; Wang, D.; Jain, V.; Montazami, R.; Heflin, J.R.; Li, J.; Madsen, L.; Zhang, Q.M. Ion transport and storage of ionic liquids in ionic polymer conductor network composites. Appl. Phys. Lett. 2010, 96, 223503. [Google Scholar] [CrossRef]
- Liu, S.; Montazami, R.; Liu, Y.; Jain, V.; Lin, M.; Zhou, X.; Heflin, J.R.; Zhang, Q.M. Influence of the conductor network composites on the electromechanical performance of ionic polymer conductor network composite actuators. Sens. Actuators A Phys. 2010, 157, 267–275. [Google Scholar] [CrossRef]
- Liu, S.; Montazami, R.; Liu, Y.; Jain, V.; Lin, M.; Heflin, J.R.; Zhang, Q.M. Layer-by-layer self-assembled conductor network composites in ionic polymer metal composite actuators with high strain response. Appl. Phys. Lett. 2009, 95, 023505. [Google Scholar] [CrossRef]
- Meis, C.; Hashemi, N.; Montazami, R. Investigation of spray-coated silver-microparticle electrodes for ionic electroactive polymer actuators. J. Appl. Phys. 2014, 115, 134302. [Google Scholar] [CrossRef]
- Moghadam, A.A.A.; Hong, W.; Kouzani, A.; Kaynak, A.; Zamani, R.; Montazami, R. Nonlinear dynamic modeling of ionic polymer conductive network composite actuators using rigid finite element method. Sens. Actuators A Phys. 2014, 217, 168–182. [Google Scholar] [CrossRef]
- Liu, Y.; Zhao, R.; Ghaffari, M.; Lin, J.; Liu, S.; Cebeci, H.; de Villoria, R.G.; Montazami, R.; Wang, D.; Wardle, B.L.; et al. Equivalent circuit modeling of ionomer and ionic polymer conductive network composite actuators containing ionic liquids. Sens. Actuators A Phys. 2012, 181, 70–76. [Google Scholar] [CrossRef]
- Hong, W.; Almomani, A.; Montazami, R. Influence of ionic liquid concentration on the electromechanical performance of ionic electroactive polymer actuators. Org. Electron. 2014, 15, 2982–2987. [Google Scholar] [CrossRef]
- Hou, J.; Zhang, Z.; Madsen, L.A. Cation/anion associations in ionic liquids modulated by hydration and ionic medium. J. Phys. Chem. B 2011, 115, 4576–4582. [Google Scholar] [CrossRef] [PubMed]
- Shahinpoor, M. Biomimetic robotic Venus flytrap (Dionaea muscipula Ellis) made with ionic polymer metal composites. Bioinspir. Biomim. 2011, 6, 046004. [Google Scholar] [CrossRef] [PubMed]
- Kim, K. Ionic Polymer-metal composite as a new actuator and transducer material. In Electroactive Polymers for Robotic Applications; Springer: London, UK, 2007; pp. 153–164. [Google Scholar]
- Lee, S.; Park, H.; Pandita, S.D.; Yoo, Y. Performance improvement of IPMC (ionic polymer metal composites) for a flapping actuator. Int. J. Control Autom. Syst. 2006, 4, 748–755. [Google Scholar]
- Bar-Cohen, Y. Artificial Muscles Using Electroactive Polymers (EAP): Capabilities, Challenges and Potential; Jet Propulsion Laboratory, National Aeronautics and Space Administration: Pasadena, CA, USA, 2005.
- Chen, Z.; Shatara, S.; Tan, X. Modeling of biomimetic robotic fish propelled by an ionic polymer-metal composite caudal fin. IEEE ASME Trans. Mechatron. 2010, 15, 448–459. [Google Scholar] [CrossRef]
- Tant, X.; Kim, D.; Usher, N.; Laboy, D.; Jackson, J.; Kapetanovic, A.; Rapai, J.; Sabadus, B.; Zhou, X. An autonomous robotic fish for mobile sensing. In Proceedings of the 2006 IEEE/RSJ International Conference on Intelligent Robots and Systems, Beijing, China, 9–15 October 2006; pp. 5424–5429. [Google Scholar]
- Jain, R.K.; Patkar, U.S.; Majumdar, S. Micro gripper for micromanipulation using IPMCs (ionic polymer metal composites). J. Sci. Ind. Res. 2009, 68, 23–28. [Google Scholar]
- Nakabo, Y.; Mukai, T.; Asaka, K. Biomimetic soft robots with artificial muscles. In Smart Materials, Nano-, and Micro-Smart Systems; SPIE: Sydney, Australia, 2004; pp. 132–144. [Google Scholar]
- Nakabo, Y.; Mukai, T.; Asaka, K. Kinematic modeling and visual sensing of multi-DOF robot manipulator with patterned artificial muscle. In Proceedings of the 2005 IEEE International Conference on Robotics and Automation, Barcelona, Spain, 18–22 April 2005; pp. 4315–4320. [Google Scholar]
- Kamamichi, N.; Yamakita, M.; Asaka, K.; Luo, Z.W. A snake-like swimming robot using IPMC actuator/sensor. In Proceedings of the 2006 IEEE International Conference on Robotics and Automation (ICRA 2006), Orlando, FL, USA, 15–19 May 2006; pp. 1812–1817. [Google Scholar]
- Di Pasquale, G.; Fortuna, L.; Graziani, S.; La Rosa, M.; Pollicino, A.; Umana, E. A study on IP2C actuators using ethylene glycol or EmI-Tf as solvent. Smart Mater. Struct. 2011, 20, 045014. [Google Scholar] [CrossRef]
- Crispin, X.; Jakobsson, F.L.E.; Crispin, A.; Grim, P.C.M.; Andersson, P.; Volodin, A.; Van Haesendonck, C.; Van der Auweraer, M.; Salaneck, W.R.; Berggren, M. The origin of the high conductivity of poly(3,4-ethylenedioxythiophene)-poly(styrenesulfonate)(PEDOT-PSS) plastic electrodes. Chem. Mater. 2006, 18, 4354–4360. [Google Scholar] [CrossRef]
- Di Pasquale, G.; Graziani, S.; Umana, E. From IPMC transducers to all-organic transducers. In Sensors; Springer: New York, NY, USA, 2014; pp. 251–254. [Google Scholar]
- Okuzaki, H.; Takagi, S.; Hishiki, F.; Tanigawa, R. Ionic liquid/polyurethane/PEDOT:PSS composites for electro-active polymer actuators. Sens. Actuators B Chem. 2014, 194, 59–63. [Google Scholar] [CrossRef]
- Graziani, S.; Umana, E.; Xibilia, M.G.; De Luca, V. Multi-input identification of IP2C actuators. In Proceedings of the 2013 IEEE International Instrumentation and Measurement Technology Conference (I2MTC), Minneapolis, MN, USA, 6–9 May 2013; pp. 1147–1151. [Google Scholar]
- Graziani, S.; Umana, E.; Xibilia, M.G. Identification and modeling of polymeric actuators: A comparison. In Proceedings of the 2012 20th Mediterranean Conference on Control & Automation (MED), Barcelona, Spain, 3–6 July 2012; pp. 216–221. [Google Scholar]
- Fortuna, L.; Graziani, S.; La Rosa, M.; Nicolosi, D.; Sicurella, G.; Umana, E. Modelling and design of all-organic electromechanic transducers. Eur. Phys. J. Appl. Phys. 2009, 46, 12513. [Google Scholar] [CrossRef]
- Cavallini, L.; Di Giamberardino, P. Validation of IP 2 C devices as touch sensors. In Proceedings of the 2012 20th Mediterranean Conference on Control & Automation (MED), Barcelona, Spain, 3–6 July 2012; pp. 48–53. [Google Scholar]
- Graziani, S.; Umana, E.; Di Pasquale, G.; La Rosa, M.; Sicurella, G. IP 2 C sensor modeling. In Proceedings of the 2012 IEEE International Instrumentation and Measurement Technology Conference (I2MTC), Graz, Austria, 13–16 May 2012; pp. 1299–1302. [Google Scholar]
- Zolfagharian, A.; Kouzani, A.Z.; Khoo, S.Y.; Moghadam, A.A.A.; Gibson, I.; Kaynak, A. Evolution of 3D printed soft actuators. Sens. Actuators A Phys. 2016, 250, 258–272. [Google Scholar] [CrossRef]
- Momeni, F.; Liu, X.; Ni, J. A review of 4D printing. Mater. Des. 2017, 122, 42–79. [Google Scholar] [CrossRef]
- Noh, T.G.; Tak, Y.; Nam, J.D.; Choi, H. Electrochemical characterization of polymer actuator with large interfacial area. Electrochim. Acta 2002, 47, 2341–2346. [Google Scholar] [CrossRef]
- Liu, S.; Liu, W.; Liu, Y.; Lin, J.H.; Zhou, X.; Janik, M.J.; Colby, R.H.; Zhang, Q. Influence of imidazolium-based ionic liquids on the performance of ionic polymer conductor network composite actuators. Polym. Int. 2010, 59, 321–328. [Google Scholar] [CrossRef]
- Hong, W.; Almomani, A.; Montazami, R. Electrochemical and morphological studies of ionic polymer metal composites as stress sensors. Measurement 2017, 95, 128–134. [Google Scholar] [CrossRef]
- Smela, E. Conjugated polymer actuators for biomedical applications. Adv. Mater. 2003, 15, 481–494. [Google Scholar] [CrossRef]
- Edward, J.T. Molecular volumes and the Stokes-Einstein equation. J. Chem. Educ. 1970, 47, 261. [Google Scholar] [CrossRef]









| Samples for Electromechanical Characterizations | |
| Name | Definition |
| 1S | Pattern deposited on one side, Figure 1a |
| 2SS | Symmetric patterns on both sides, Figure 1b |
| 2SA | Asymmetric patterns on both sides, Figure 1c |
| 2SA2 | 2SA sample with 2 strip-patterned side attached to anode |
| 2SA3 | 2SA sample with 3 strip-patterned side attached to anode |
| Samples for Electrochemical Characterizations | |
| Name | Definition |
| BNafion | Bare Nafion doped with ionic liquid |
| Nafion/1s-PEDOT:PSS | PEDOT:PSS drop-cast on one side (full coverage, no pattern) |
| Nafion/2s-PEDOT:PSS | PEDOT:PSS drop-cast on both sides (full coverage, no pattern) |
| Sample for Morphological Characterizations | |
| Name | Definition |
| Nafion/1s-PEDOT:PSS/Au | PEDOT:PSS drop-cast on one side (full coverage, no pattern), with gold leaf electrodes hot-pressed on both sides |
| Circuit Element | BNafion | Nafion/1s-PEDOT:PSS | Nafion/2s-PEDOT:PSS | |
|---|---|---|---|---|
| 89.9 | 118.9 | 171.7 | ||
| 3.90 × 10−5 | 1.95 × 10−4 | 3.12 × 10−4 | ||
| 0.29 | 0.18 | 0.11 | ||
| 3.90 × 10−5 | 3.50 × 10−4 | 3.12 × 10−4 | ||
| 0.29 | 0.21 | 0.11 | ||
| 3.24 | 12.78 | 0.12 | ||
| 3.24 | 3.52 × 10−3 | 0.12 | ||
© 2017 by the authors. Licensee MDPI, Basel, Switzerland. This article is an open access article distributed under the terms and conditions of the Creative Commons Attribution (CC BY) license (http://creativecommons.org/licenses/by/4.0/).
Share and Cite
Hong, W.; Almomani, A.; Chen, Y.; Jamshidi, R.; Montazami, R. Soft Ionic Electroactive Polymer Actuators with Tunable Non-Linear Angular Deformation. Materials 2017, 10, 664. https://doi.org/10.3390/ma10060664
Hong W, Almomani A, Chen Y, Jamshidi R, Montazami R. Soft Ionic Electroactive Polymer Actuators with Tunable Non-Linear Angular Deformation. Materials. 2017; 10(6):664. https://doi.org/10.3390/ma10060664
Chicago/Turabian StyleHong, Wangyujue, Abdallah Almomani, Yuanfen Chen, Reihaneh Jamshidi, and Reza Montazami. 2017. "Soft Ionic Electroactive Polymer Actuators with Tunable Non-Linear Angular Deformation" Materials 10, no. 6: 664. https://doi.org/10.3390/ma10060664
APA StyleHong, W., Almomani, A., Chen, Y., Jamshidi, R., & Montazami, R. (2017). Soft Ionic Electroactive Polymer Actuators with Tunable Non-Linear Angular Deformation. Materials, 10(6), 664. https://doi.org/10.3390/ma10060664

