Preparation and Characterization of Thermoresponsive Poly(N-isopropylacrylamide-co-acrylic acid)-Grafted Hollow Fe3O4/SiO2 Microspheres with Surface Holes for BSA Release
Abstract
:1. Introduction
2. Materials and Methods
2.1. Materials
2.2. Preparation of the p-Fe3O4/SiO2 Microspheres
2.3. Synthesis of the P(NIPAM-AA)/Fe3O4/SiO2 Microspheres
2.4. Loading and Release
2.5. Characterizations
3. Results and Discussion
3.1. The Preparation and Morphology Characterization of the p-Fe3O4/SiO2 Microspheres
3.2. Porous Structure Characterization of the p-Fe3O4/SiO2 Microspheres
3.3. Morphology Characterization of the P(NIPAM-AA)/Fe3O4/SiO2 Microspheres
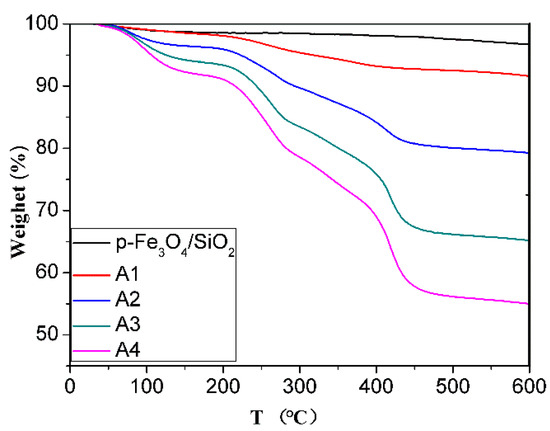
3.4. Characterization of the P(NIPAM-AA)/Fe3O4/SiO2 Microspheres
3.5. BSA Loading and Release
4. Conclusions
Supplementary Materials
Acknowledgments
Author Contributions
Conflicts of Interest
References
- Zhao, J.; He, Z.; Li, B.; Cheng, T.; Liu, G. And logic-like pH- and light-dual controlled drug delivery by surface modified mesoporous silica nanoparticles. Mater. Sci. Eng. C 2017, 73, 1–7. [Google Scholar] [CrossRef] [PubMed]
- Trendafilova, I.; Szegedi, A.; Mihály, J.; Momekov, G.; Lihareva, N.; Popova, M. Preparation of efficient quercetin delivery system on Zn-modified mesoporous SBA-15 silica carrier. Mater. Sci. Eng. C 2017, 73, 285–292. [Google Scholar] [CrossRef] [PubMed]
- Yu, E.; Galiana, I.; Martínez-Máñez, R.; Stroeve, P.; Marcos, M.D.; Aznar, E.; Sancenón, F.; Murguía, J.R.; Amorós, P. Poly(N-isopropylacrylamide)-gated Fe3O4/SiO2 core shell nanoparticles with expanded mesoporous structures for the temperature triggered release of lysozyme. Colloids Surf. B Biointerfaces 2015, 135, 652–660. [Google Scholar] [CrossRef] [PubMed]
- Wang, P.; Wang, X.; Yu, S.; Zou, Y.; Wang, J.; Chen, Z.; Alharbi, N.S.; Alsaedi, A.; Hayat, T.; Chen, Y. Silica coated Fe3O4 magnetic nanospheres for high removal of organic pollutants from wastewater. Chem. Eng. J. 2016, 306, 280–288. [Google Scholar] [CrossRef]
- Mendez-Gonzalez, D.; Alonso-Cristobal, P.; Lopez-Cabarcos, E.; Rubio-Retama, J. Multi-responsive hybrid janus nanoparticles: Surface functionalization through solvent physisorption. Eur. Polym. J. 2016, 75, 363–370. [Google Scholar] [CrossRef]
- Wang, X.; Huang, P.; Ma, X.; Wang, H.; Lu, X.; Du, X. Preparation and evaluation of magnetic core-shell mesoporous molecularly imprinted polymers for selective adsorption of tetrabromobisphenol S. Talanta 2017, 166, 300–305. [Google Scholar] [CrossRef] [PubMed]
- Wei, W.W.; Liang, Y.J. Synthesis of SiO2/α-Fe2O3 porous structure and Cr( VI) adsorption property. Bull. Chin. Ceram. Soc. 2013, 32, 2352–2357. [Google Scholar]
- Yang, L.; Guo, H.; Wang, L.; Zhang, J. A facile “polystyrene-dissolving” strategy to hollow periodic mesoporous organosilica with flexible structure-tailorability. Microporous Mesoporous Mater. 2017, 239, 173–179. [Google Scholar] [CrossRef]
- Wang, S.; Min, C.; Wu, L. One-step synthesis of cage-like hollow silica spheres with large-through-holes for macromolecule delivery. ACS Appl. Mater. Interfaces 2016, 8, 33316–33325. [Google Scholar] [CrossRef] [PubMed]
- Zhang, J.; Liu, H. A novel approach to preparing polystyrene/Fe3O4 multihollow microspheres with porous walls. Colloid Polym. Sci. 2016, 294, 1755–1763. [Google Scholar] [CrossRef]
- Liu, Z.; Li, J.; Chen, L.; Yu, H.; Zeng, F.; Wang, Y. Synchronous synthesis/modification of mutifunctional hollow silica nanospheres through selective etching and application in catalysis. Colloids Surf. A Physicochem. Eng. Asp. 2016, 509, 648–655. [Google Scholar] [CrossRef]
- Balamurugan, J.; Thanh, T.D.; Karthikeyan, G.; Kim, N.H.; Lee, J.H. A novel hierarchical 3D N-Co-CNT@NG nanocomposite electrode for non-enzymatic glucose and hydrogen peroxide sensing applications. Biosens. Bioelectron. 2017, 89, 970–977. [Google Scholar] [CrossRef] [PubMed]
- Hameed, S.; Munawar, A.; Khan, W.S.; Mujahid, A.; Ihsan, A.; Rehman, A.; Ahmed, I.; Bajwa, S.Z. Assessing manganese nanostructures based carbon nanotubes composite for the highly sensitive determination of vitamin C in pharmaceutical formulation. Biosens. Bioelectron. 2017, 89, 822–828. [Google Scholar] [CrossRef] [PubMed]
- Ding, H.; Zhang, Y.; Xu, S.; Li, G. A wrinkle to sub-100 nm yolk/shell Fe3O4@SiO2 nanoparticles. Nano Res. 2016, 9, 3632–3643. [Google Scholar] [CrossRef]
- Li, Q.; Zhou, Y.; Ma, K.; Wei, Q.; Nie, Z. A mesoporous SiO2/dense SiO2/Fe3O4 multiply coated hollow microsphere: Synthesis and application on papain immobilization. Colloids Surf. A Physicochem. Eng. Asp. 2016, 511, 239–246. [Google Scholar] [CrossRef]
- Fu, X.; Liu, J.; He, X. A facile preparation method for single-hole hollow Fe3O4@SiO2 microspheres. Colloids Surf. A Physicochem. Eng. Asp. 2014, 453, 101–108. [Google Scholar] [CrossRef]
- Li, Q.Y.; Wang, P.Y.; Zhou, Y.L.; Nie, Z.R.; Wei, Q. A magnetic mesoporous SiO2/Fe3O4 hollow microsphere with a novel network-like composite shell: Synthesis and application on laccase immobilization. J. Sol-Gel Sci. Technol. 2016, 78, 523–530. [Google Scholar] [CrossRef]
- Pardhy, N.P.; Budhlall, B.M. Pickering emulsion as a template to synthesize janus colloids with anisotropy in the surface potential. Langmuir 2010, 26, 13130–13141. [Google Scholar] [CrossRef] [PubMed]
- Du, P.; Mu, B.; Wang, Y.; Shi, H.; Xue, D.; Liu, P. Facile approach for temperature-responsive polymeric nanocapsules with movable magnetic cores. Mater. Lett. 2011, 65, 1579–1581. [Google Scholar] [CrossRef]
- Cai, J.; Guo, J.; Ji, M.; Yang, W.; Wang, C.; Fu, S. Preparation and characterization of multiresponsive polymer composite microspheres with core–shell structure. Colloid Polym. Sci. 2007, 285, 1607–1615. [Google Scholar] [CrossRef]
- Zhang, R.; Ma, S.; Liu, G.; Cai, M.; Ye, Q.; Yu, B.; Zhou, F. The electrostatic self-assembly of microgels on polymer brushes and its effects on interfacial friction. J. Appl. Polym. Sci. 2016, 133. [Google Scholar] [CrossRef]
- Chen, D.; Li, J. Interfacial functionalization of TiO2 with smart polymers: Ph-controlled switching of photocurrent direction. J. Phys. Chem. C 2010, 114, 10478–10483. [Google Scholar] [CrossRef]
- Christensen, M.L.; Keiding, K. Study of the compositional heterogeneity in poly(N-isopropylacrylamide-acrylic acid) microgels by potentiometric titration experiments. Colloids Surf. A Physicochem. Eng. Asp. 2005, 252, 61–69. [Google Scholar] [CrossRef]
- Thi, T.T.M.; Le, T.H.P.; Pham, H.N.; Do, H.M.; Phuc Nguyen, X. Synthesis and magnetic heating characteristics of thermoresponsive poly(N-isopropylacrylamide-co-acrylic acid)/nano Fe3O4 nanparticles. Adv. Nat. Sci. Nanosci. Nanotechnol. 2014, 5, 045007. [Google Scholar]
- Jiang, X.; Wang, F.; Cai, W.; Zhang, X. Trisodium citrate-assisted synthesis of highly water-dispersible and superparamagnetic mesoporous Fe3O4 hollow microspheres via solvothermal process. J. Alloys Compd. 2015, 636, 34–39. [Google Scholar] [CrossRef]
- Yang, J.; Shen, D.; Zhou, L.; Li, W.; Li, X.; Yao, C.; Wang, R.; Eltoni, A.M.; Zhang, F.; Zhao, D. Spatially confined fabrication of core–shell gold nanocages@mesoporous silica for near-infrared controlled photothermal drug release. Chem. Mater. 2013, 25, 3030–3037. [Google Scholar] [CrossRef]
- Guo, J.; Wang, Y.; Liu, Y.; Zhou, Y. The synthesis of imprinted polymers based on Fe3O4 nanomaterials and the recognition of proteins. Anal. Methods 2015, 7, 10018–10025. [Google Scholar] [CrossRef]
- Rouquérol, J.; Avnir, D.; Fairbridge, C.W.; Everett, D.H.; Haynes, J.M.; Pernicone, N.; Ramsay, J.D.F.; Sing, K.S.W.; Unger, K.K. Recommendations for the recommendations for the characterization of porous solids. Pure Appl. Chem. 1994, 66, 1739–1758. [Google Scholar] [CrossRef]
- Shamim, N.; Hong, L.; Hidajat, K.; Uddin, M.S. Thermosensitive-polymer-coated magnetic nanoparticles: Adsorption and desorption of bovine serum albumin. J. Colloid Interface Sci. 2006, 304, 1–8. [Google Scholar] [CrossRef] [PubMed]
- Saravanan, A.; Ramasamy, R.P. Investigation of polymer dynamics in chitosan-maghemite nanocomposites: A potential green superparamagnetic material. J. Polym. Res. 2016, 23, 104. [Google Scholar] [CrossRef]
- Batlle, X.; Labarta, A. Finite-size effects in fine particles: Magnetic and transport properties. J. Phys. D Appl. Phys. 2002, 35, R15–R42. [Google Scholar] [CrossRef]
- Nazari, M.; Ghasemi, N.; Maddah, H.; Motlagh, M.M. Synthesis and characterization of maghemite nanopowders by chemical precipitation method. J. Nanostruct. Chem. 2014, 4, 99. [Google Scholar] [CrossRef]
- Bandyopadhyay, S.; Andersen, M.K.; Alvi, M.A.A.; Sharma, A.; Raju, R.; Mcdonagh, B.H.; Glomm, W.R. Incorporation of fe@au nanoparticles into multiresponsive pnipam-aac colloidal gels modulates drug uptake and release. Colloid Polym. Sci. 2016, 294, 1929–1942. [Google Scholar] [CrossRef]
- Biswas, C.S.; Mitra, K.; Singh, S.; Ramesh, K.; Misra, N.; Maiti, B.; Panda, A.K.; Maiti, P.; Kamigaito, M.; Okamoto, Y. Study of the effect of isotacticity on some physical properties of poly(N-isopropylacrylamide). Colloid Polym. Sci. 2015. [Google Scholar] [CrossRef]
- And, N.S.; Lyon, L.A. Au nanoparticle templated synthesis of pnipam nanogels. Chem. Mater. 2007, 19, 719–726. [Google Scholar]
- Djonlagic, J.; Lancuski, A.; Nikolic, M.S.; Rogan, J.; Ostojic, S.; Petrovic, Z. Hydrogels reinforced with nanoclays with improved response rate. J. Appl. Polym. Sci. 2017, 134. [Google Scholar] [CrossRef]
- Walldal, C.; Wall, S. Coil-to-globule-type transition of poly(N-isopropylacrylamide) adsorbed on colloidal silica particles. Colloid Polym. Sci. 2000, 278, 936–945. [Google Scholar] [CrossRef]
- Chen, M.Q.; Serizawa, T.; Li, M.; Wu, C.; Akashi, M. Thermosensitive behavior of poly(N-isopropylacrylamide) grafted polystyrene nanoparticles. Polym. J. 2003, 35, 901–910. [Google Scholar] [CrossRef]
- Brunella, V.; Jadhav, S.A.; Miletto, I.; Berlier, G.; Ugazio, E.; Sapino, S.; Scalarone, D. Hybrid drug carriers with temperature-controlled on–off release: A simple and reliable synthesis of pnipam-functionalized mesoporous silica nanoparticles. React. Funct. Polym. 2015, 98, 31–37. [Google Scholar] [CrossRef]
- Hu, X.; Hao, X.; Wu, Y.; Zhang, J.; Zhang, X.; Wang, P.C.; Zou, G.; Liang, X.J. Multifunctional hybrid silica nanoparticles for controlled doxorubicin loading and release with thermal and ph dually response. J. Mater. Chem. B Mater. Biol. Med. 2013, 1, 1109–1118. [Google Scholar] [CrossRef] [PubMed]
- Yan, T.; Luo, X.; Lin, X.; Yang, J. Preparation, characterization and adsorption properties for lead (ii) of alkali-activated porous leather particles. Colloids Surf. A Physicochem. Eng. Asp. 2016, 512, 7–16. [Google Scholar] [CrossRef]










| Sample 1 | AA (mmol) | NIPAM (mol) | MBA (mmol) | SDS (mol) | APS (mmol) |
|---|---|---|---|---|---|
| A1 | 0.44 | 0.06 | 5 | 0.007 | 2.63 |
| A2 | 0.88 | 0.12 | 10 | 0.014 | 3.96 |
| A3 | 1.32 | 0.18 | 15 | 0.021 | 5.27 |
| A4 | 1.76 | 0.24 | 20 | 0.028 | 10.52 |
| Microspheres Corrosion Time (min) | Loading Capacity (mg/g) | |
|---|---|---|
| p-Fe3O4/SiO2 Microspheres | P(NIPAM-AA)/Fe3O4/SiO2 Microspheres | |
| 0 | 18.4 | 31.6 |
| 15 | 24.1 | 41.8 |
| 30 | 31.6 | 55.2 |
| 45 | 34.0 | 74.0 |
© 2017 by the authors. Licensee MDPI, Basel, Switzerland. This article is an open access article distributed under the terms and conditions of the Creative Commons Attribution (CC BY) license (http://creativecommons.org/licenses/by/4.0/).
Share and Cite
Zhao, J.; Zeng, M.; Zheng, K.; He, X.; Xie, M.; Fu, X. Preparation and Characterization of Thermoresponsive Poly(N-isopropylacrylamide-co-acrylic acid)-Grafted Hollow Fe3O4/SiO2 Microspheres with Surface Holes for BSA Release. Materials 2017, 10, 411. https://doi.org/10.3390/ma10040411
Zhao J, Zeng M, Zheng K, He X, Xie M, Fu X. Preparation and Characterization of Thermoresponsive Poly(N-isopropylacrylamide-co-acrylic acid)-Grafted Hollow Fe3O4/SiO2 Microspheres with Surface Holes for BSA Release. Materials. 2017; 10(4):411. https://doi.org/10.3390/ma10040411
Chicago/Turabian StyleZhao, Jing, Ming Zeng, Kaiqiang Zheng, Xinhua He, Minqiang Xie, and Xiaoyi Fu. 2017. "Preparation and Characterization of Thermoresponsive Poly(N-isopropylacrylamide-co-acrylic acid)-Grafted Hollow Fe3O4/SiO2 Microspheres with Surface Holes for BSA Release" Materials 10, no. 4: 411. https://doi.org/10.3390/ma10040411
APA StyleZhao, J., Zeng, M., Zheng, K., He, X., Xie, M., & Fu, X. (2017). Preparation and Characterization of Thermoresponsive Poly(N-isopropylacrylamide-co-acrylic acid)-Grafted Hollow Fe3O4/SiO2 Microspheres with Surface Holes for BSA Release. Materials, 10(4), 411. https://doi.org/10.3390/ma10040411

