Effective Properties of Composites with Periodic Random Packing of Ellipsoids
Abstract
:1. Introduction
2. Computational Homogenization Method for Composite Material
2.1. Governing Equations
2.2. The Asymptotic Expansion of Displacement
- Step 1.
- Solve the microscale problem in Equation (19) with six unit right-hand side strain vectors, and compute the stress with the associated strain.
- Step 2.
- Compute the homogenized elastic tensor by Equation (20).
- Step 3.
- Solve the macroscale problem in Equation (18) with the homogenized elastic tensor.
- Step 4.
- Post-process the local stress of the critical RVE.
3. RVE Generation
3.1. RVE Generation Algorithm
3.2. Representation of an Ellipsoid
3.3. Moving and Growing an Ellipsoid
3.4. Calculating the Collision Time
3.4.1. Collision Time between Two Ellipsoids
3.4.2. Collision Time between an Ellipsoid and Cell Faces
3.5. Post-Processing after the Collision
3.5.1. Update the Velocities
3.5.2. Create the Periodic Images
3.6. RVE Samples
4. Effective Properties of Composite Materials
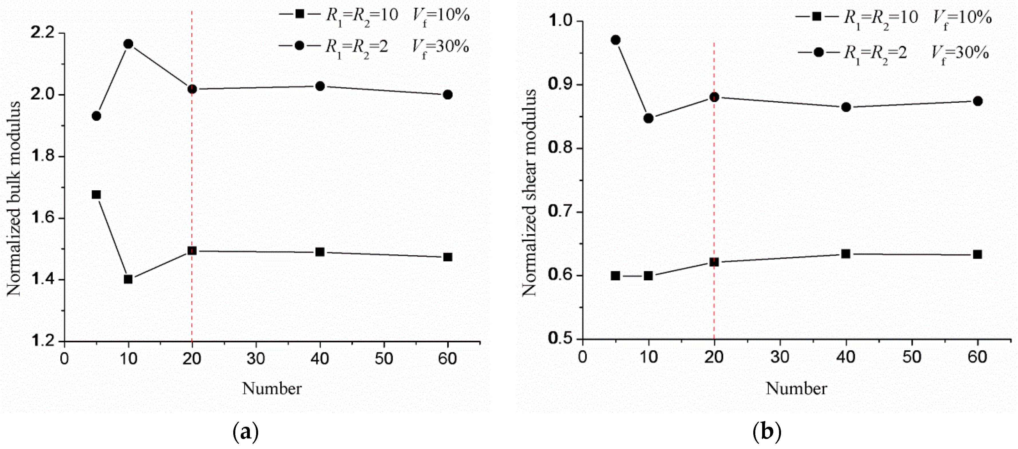
4.1. Influence of the RVE Size
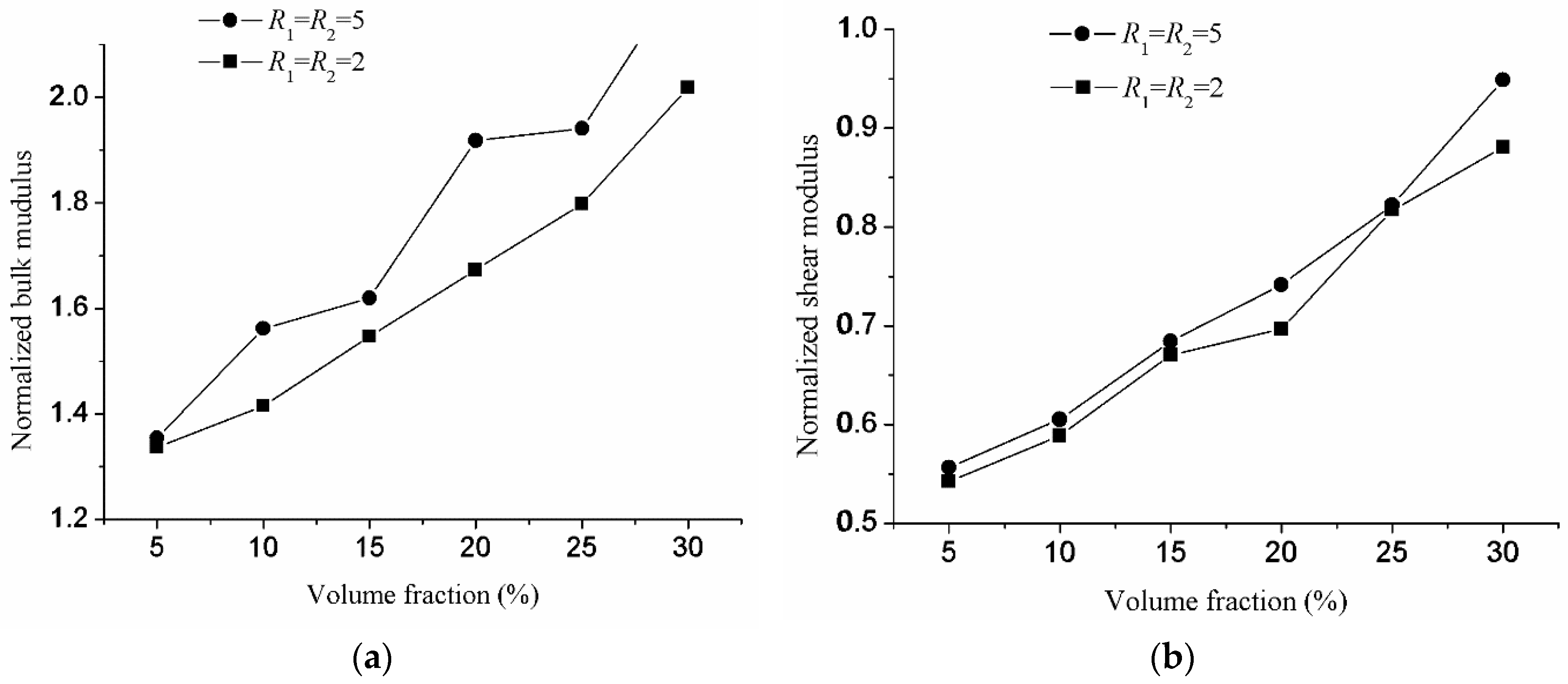
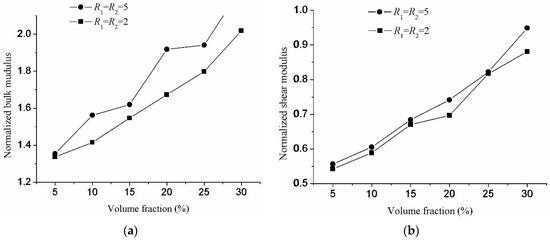
4.2. Influence of the Aspect Ratio
5. Conclusions
Acknowledgments
Author Contributions
Conflicts of Interest
References
- Belytschko, T.; Song, J. Coarse-graining of multiscale crack propagation. Int. J. Numer. Methods Eng. 2010, 81, 537–563. [Google Scholar] [CrossRef]
- Feyel, F.; Chaboche, J. FE2 multiscale approach for modeling the elastoviscoplastic behavior of long fiber Sic/Ti composite materials. Comput. Methods Appl. Mech. Eng. 2000, 183, 309. [Google Scholar] [CrossRef]
- Zhu, H.; Wang, Q.; Zhuang, X. A nonlinear semi-concurrent multiscale method for dynamic fractures. Int. J. Impact Eng. 2016, 87, 65–82. [Google Scholar] [CrossRef]
- Guidault, P.; Belytschko, T. Bridging domain methods for coupled atomistic—Continuum models with L2 or H1 couplings. Int. J. Numer. Methods Eng. 2009, 77, 1566–1592. [Google Scholar] [CrossRef]
- Dhia, H. The Arlequin method: A partition of models for concurrent multiscale analyses (Further insight and mathematical investigations). Proc. Chall. Comput. Mech. Workshop 2006, 10, 12. [Google Scholar]
- Talebi, H.; Silani, M.; Bordas, S.; Kerfriden, P.; Rabczuk, T. Molecular Dynamics/XFEM Coupling by a Three-Dimensional Extended Bridging Domain with Applications to Dynamic Brittle Fracture. Int. J. Multiscale Comput. Eng. 2013, 11, 527–541. [Google Scholar] [CrossRef]
- Wagner, G.; Liu, W. Coupling of atomistic and continuum simulations using a bridging scale decomposition. J. Comput. Phys. 2003, 190, 249–274. [Google Scholar] [CrossRef]
- Eshelby, J.D. The Determination of the Elastic Field of an Ellipsoidal Inclusion and Related Problems. Proc. R. Soc. Lond. Ser. A Math. Phys. Sci. 1957, 241, 376–396. [Google Scholar] [CrossRef]
- Bensoussan, A.; Lions, J.L.; Papanicolaou, G. Asymptotic methods in periodic structures. Stud. Math. Appl. 1978, 5. [Google Scholar]
- Christensen, R.M.; Lo, K.H. Solutions for effective shear properties in three phase sphere and cylinder models. J. Mech. Phys. Solids 1979, 27, 315–330. [Google Scholar] [CrossRef]
- Hashin, Z.; Shtrikman, S. On some variational principles in anisotropic and nonhomogeneous elasticity. J. Mech. Phys. Solids 1962, 10, 335–342. [Google Scholar] [CrossRef]
- Hill, R. A self-consistent mechanics of composite materials. J. Mech. Phys. Solids 1965, 13, 213–222. [Google Scholar] [CrossRef]
- Mori, T.; Tanaka, K. Average stress in matrix and average elastic energy of materials with misfitting inclusions. Acta Metall. 1973, 21, 571–574. [Google Scholar] [CrossRef]
- Sánchez-Palencia, E. Fluid flow in porous media. In Non-Homogeneous Media and Vibration Theory; Springer: Berlin, Germany, 1980; pp. 129–157. [Google Scholar]
- Nguyen, V.P.; Stroeven, M.; Sluys, L.J. Multiscale continuous and discontinuous modeling of heterogeneous materials: A review on recent developments. J. Multiscale Model. 2011, 3, 229–270. [Google Scholar] [CrossRef]
- Budarapu, P.; Gracie, R.; Yang, S.; Zhuang, X.; Rabczuk, T. Effient coarse graining in multiscale modeling of fracture. Theor. Appl. Fract. Mech. 2014, 69, 126–143. [Google Scholar] [CrossRef]
- Talebi, H.; Silani, M.; Rabczuk, T. Concurrent Multiscale Modelling of Three Dimensional Crack and Dislocation Propagation. Adv. Eng. Softw. 2015, 80, 82–92. [Google Scholar] [CrossRef]
- Yang, S.W.; Budarapu, P.R.; Mahapatra, D.R.; Bordas, S.P.A.; Rabczuk, T. A Meshless Adaptive Multiscale Method for Fracture. Comput. Mater. Sci. 2015, 96, 382–395. [Google Scholar] [CrossRef]
- Silani, M.; Talebi, H.; Ziaei-Rad, S.; Hamouda, A.M.S.; Zi, G.; Rabczuk, T. A three dimensional Extended Arlequin Method for Dynamic Fracture. Comput. Mater. Sci. 2015, 96, 425–431. [Google Scholar] [CrossRef]
- Silani, M.; Ziaei-Rad, S.; Talebi, H.; Rabczuk, T. A Semi-ConcurrentMultiscale Approach for Modeling Damage in Nanocomposites. Theor. Appl. Fract. Mech. 2014, 74, 30–38. [Google Scholar] [CrossRef]
- Budarapu, P.; Gracie, R.; Bordas, S.; Rabczuk, T. An adaptive multiscale method for quasi-static crack growth. Comput. Mech. 2014, 53, 1129–1148. [Google Scholar] [CrossRef]
- Talebi, H.; Silani, M.; Bordas, S.; Kerfriden, P.; Rabczuk, T. A Computational Library for Multiscale Modelling of Material Failure. Comput. Mech. 2014, 53, 1047–1071. [Google Scholar] [CrossRef]
- Zhuang, X.; Wang, Q.; Zhu, H. A 3D computational homogenization model for porous material and parameters identification. Comput. Mater. Sci. 2014, 96, 536–548. [Google Scholar] [CrossRef]
- Larsson, F.; Runesson, K.; Su, F. Variationally consistent computational homogenization of transient heat flow. Int. J. Numer. Methods Eng. 2010, 81, 1659–1686. [Google Scholar] [CrossRef]
- Monteiro, E.; Yvonnet, J.; He, Q.C. Computational homogenization for nonlinear conduction in heterogeneous materials using model reduction. Comput. Mater. Sci. 2008, 42, 704–712. [Google Scholar] [CrossRef]
- Özdemir, I.; Brekelmans, W.A.M.; Geers, M.G.D. Computational homogenization for heat conduction in heterogeneous solids. Int. J. Numer. Methods Eng. 2008, 73, 185–204. [Google Scholar] [CrossRef]
- Özdemir, I.; Brekelmans, W.; Geers, M. FE2 computational homogenization for the thermo-mechanical analysis of heterogeneous solids. Comput. Methods Appl. Mech. Eng. 2008, 198, 602–613. [Google Scholar] [CrossRef]
- Schröder, J.; Keip, M. A Framework for the Two-Scale Homogenization of Electro-Mechanically Coupled Boundary Value Problems. In Computer Methods in Mechanics; Kuczma, M., Wilmanski, K., Eds.; Springer: Berlin/Heidelberg, Germany, 2010; pp. 311–329. [Google Scholar]
- Zhuang, X.; Huang, R.; Rabczuk, T.; Liang, C. A coupled thermo-hydro-mechanical model of jointed hard rock for compressed air energy storage. Math. Probl. Eng. 2014, 2014, 179169. [Google Scholar] [CrossRef]
- Perić, D.; de Souza Neto, E.A.; Feijóo, R.A.; Partovi, M.; Molina, A.J. On micro-to-macro transitions for multi-scale analysis of non-linear heterogeneous materials: Unified variational basis and finite element implementation. Int. J. Numer. Methods Eng. 2011, 87, 149–170. [Google Scholar]
- Tandon, G.P.; Weng, G.J. The effect of aspect ratio of inclusions on the elastic properties of unidirectionally aligned composites. Polym. Compos. 1984, 5, 327–333. [Google Scholar] [CrossRef]
- Rintoul, M.D.; Torquato, S. Reconstruction of the Structure of Dispersions. J. Colloid Interface Sci. 1997, 186, 467–476. [Google Scholar] [CrossRef] [PubMed]
- Segurado, J.; Llorca, J. A numerical approximation to the elastic properties of sphere-reinforced composites. J. Mech. Phys. Solids 2002, 50, 2107–2121. [Google Scholar] [CrossRef]
- Barello, R.B.; Lévesque, M. Comparison between the relaxation spectra obtained from homogenization models and finite elements simulation for the same composite. Int. J. Solids Struct. 2008, 45, 850–867. [Google Scholar] [CrossRef]
- Kari, S.; Berger, H.; Gabbert, U. Numerical evaluation of effective material properties of randomly distributed short cylindrical fibre composites. Comput. Mater. Sci. 2007, 39, 198–204. [Google Scholar] [CrossRef]
- Kari, S.; Berger, H.; Rodriguez-Ramos, R.; Gabbert, U. Computational evaluation of effective material properties of composites reinforced by randomly distributed spherical particles. Compos. Struct. 2007, 77, 223–231. [Google Scholar] [CrossRef]
- Lubachevsky, B.D.; Stillinger, F.H. Geometric properties of random disk packings. J. Stat. Phys. 1990, 60, 561–583. [Google Scholar] [CrossRef]
- Lubachevsky, B.D.; Stillinger, F.H.; Pinson, E.N. Disks vs. spheres: Contrasting properties of random packings. J. Stat. Phys. 1991, 64, 501–524. [Google Scholar] [CrossRef]
- Ghossein, E.; Lévesque, M. Random generation of periodic hard ellipsoids based on molecular dynamics: A computationally-efficient algorithm. J. Comput. Phys. 2013, 253, 471–490. [Google Scholar] [CrossRef]
- Ghossein, E.; Lévesque, M. A fully automated numerical tool for a comprehensive validation of homogenization models and its application to spherical particles reinforced composites. Int. J. Solids Struct. 2012, 49, 1387–1398. [Google Scholar] [CrossRef]
- Zohdi, T.I.; Wriggers, P. An Introduction to Computational Micromechanics; Springer: Berlin/Heidelberg, Germany, 2008. [Google Scholar]
- Yuan, Z.; Fish, J. Toward realization of computational homogenization in practice. Int. J. Numer. Methods Eng. 2008, 73, 361–380. [Google Scholar] [CrossRef]
- Savvas, D.; Stefanou, G.; Papadrakakis, M.; Deodatis, G. Homogenization of random heterogeneous media with inclusions of arbitrary shape modeled by XFEM. Comput. Mech. 2014, 54, 1221–1235. [Google Scholar] [CrossRef]
- Eberly, D. Rotation Representations and Performance Issues; Magic Software: Chapel Hill, NC, USA, 2002. [Google Scholar]
- Wang, W.; Wang, J.; Kim, M. An algebraic condition for the separation of two ellipsoids. Comput. Aided Geom. Des. 2001, 18, 531–539. [Google Scholar] [CrossRef]
- Choi, Y.K.; Chang, J.W.; Wang, W.; Kim, M.S.; Elber, G. Continuous collision detection for ellipsoids. IEEE Trans. Vis. Comput. Graph. 2009, 15, 311–325. [Google Scholar] [CrossRef] [PubMed]
- Zhuang, X.; Wang, Q.; Zhu, H. Multiscale modelling of hydro-mechanical couplings in quasi-brittle materials. Int. J. Fract. 2016, 1–27. [Google Scholar] [CrossRef]










| Cases | Conditions | Ellipsoids Configuration |
|---|---|---|
| 1 | Two negative and two positive roots | Separate |
| 2 | Two negative and a double positive roots | Externally tangent |
| 3 | All other cases | Overlap |
| Cases | Conditions | Ellipsoids Configuration |
|---|---|---|
| 1 | xAk < β < xBk | Overlap |
| 2 | β < x>Ak or β > xBk | Separate |
| 3 | β = xAk or β = xBk | Tangent |
© 2017 by the authors. Licensee MDPI, Basel, Switzerland. This article is an open access article distributed under the terms and conditions of the Creative Commons Attribution (CC BY) license ( http://creativecommons.org/licenses/by/4.0/).
Share and Cite
Zhuang, X.; Wang, Q.; Zhu, H. Effective Properties of Composites with Periodic Random Packing of Ellipsoids. Materials 2017, 10, 112. https://doi.org/10.3390/ma10020112
Zhuang X, Wang Q, Zhu H. Effective Properties of Composites with Periodic Random Packing of Ellipsoids. Materials. 2017; 10(2):112. https://doi.org/10.3390/ma10020112
Chicago/Turabian StyleZhuang, Xiaoying, Qing Wang, and Hehua Zhu. 2017. "Effective Properties of Composites with Periodic Random Packing of Ellipsoids" Materials 10, no. 2: 112. https://doi.org/10.3390/ma10020112
APA StyleZhuang, X., Wang, Q., & Zhu, H. (2017). Effective Properties of Composites with Periodic Random Packing of Ellipsoids. Materials, 10(2), 112. https://doi.org/10.3390/ma10020112

