Sign in to use this feature.

Years

Between: -

Subjects

remove_circle_outline
remove_circle_outline
remove_circle_outline
remove_circle_outline
remove_circle_outline
remove_circle_outline
remove_circle_outline

Journals

Article Types

Countries / Regions

Search Results (17)

Search Parameters:
Keywords = random periodic packing

Order results
Result details
Results per page
Select all
Export citation of selected articles as:
13 pages, 277 KB  
Article
Effect of Grazing on the Welfare of Dairy Cows Raised Under Different Housing Conditions in Compost Barns
by Beatriz Danieli, Maksuel Gatto de Vitt, Ana Luiza Bachmann Schogor, Maria Luísa Appendino Nunes Zotti, Patrícia Ferreira Ponciano Ferraz and Aline Zampar
Animals 2024, 14(23), 3350; https://doi.org/10.3390/ani14233350 - 21 Nov 2024
Cited by 2 | Viewed by 1518
Abstract
There is currently no established information for assessing the general welfare conditions and behavior of dairy cows housed in compost-bedded pack barns (CBPs) that allow access to pasture. Therefore, the objective of this study was to evaluate and classify the welfare and behavior [...] Read more.
There is currently no established information for assessing the general welfare conditions and behavior of dairy cows housed in compost-bedded pack barns (CBPs) that allow access to pasture. Therefore, the objective of this study was to evaluate and classify the welfare and behavior of dairy cows in three different housing conditions within CBPs in southern Brazil. During both the cold and hot seasons, nine farms were divided into three groups: CONV (conventional, large, full-time barns), ADAP (conventionally adapted, full-time barns), and PART (part-time barns). The European Welfare Quality® (WQ®) protocol takes into account the characteristics of the animals, animal housing, and farm management to set an overall score to assess animal welfare, which is why WQ® was used in this study. Daytime behavior was monitored over a period of four consecutive hours on two days. The 29 WQ® measures were grouped into 11 criteria, then into four principles, and finally into the general welfare category. The experimental design employed was a randomized block design in a 2 × 3 factorial scheme (two climatic seasons and three groups), with the means of the measures, principles, and criteria for each group, season, and interaction (group × season) compared using the Tukey test. The diurnal behavior of the cows was described by the average absolute frequency of each observed behavioral measure. There were no differences among the groups in any of the measures assessed by the WQ® protocol. However, there was a significant increase in both the incidence of diarrhea and the duration of lying down during the cold season. Only the principle of appropriate behavior varied among the groups, with the PART group demonstrating superior scores. Regardless of the season, the welfare of dairy cows maintained in CBPs was classified as “improved”. No abnormalities in behavior were observed among cows housed in the different groups or seasons. Cows in the PART group laid down less frequently during the hot season. Overall, the CBP system provided favorable welfare and behavioral conditions for cows in Brazil, and access to grazing further enhanced the welfare of animals housed in the PART group. Full article
(This article belongs to the Collection Monitoring of Cows: Management and Sustainability)
14 pages, 6063 KB  
Article
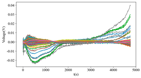
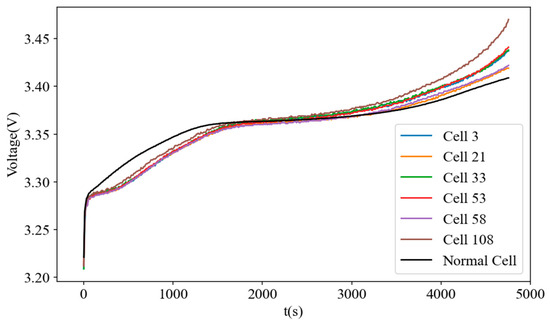
Anomaly Detection for Charging Voltage Profiles in Battery Cells in an Energy Storage Station Based on Robust Principal Component Analysis
by Jiaqi Yu, Yanjie Guo and Wenjie Zhang
Appl. Sci. 2024, 14(17), 7552; https://doi.org/10.3390/app14177552 - 27 Aug 2024
Cited by 3 | Viewed by 3390
Abstract
Lithium-ion batteries, with their high energy density, long cycle life, and non-polluting advantages, are widely used in energy storage stations. Connecting lithium batteries in series to form a battery pack can achieve the required capacity and voltage. However, as the batteries are used [...] Read more.
Lithium-ion batteries, with their high energy density, long cycle life, and non-polluting advantages, are widely used in energy storage stations. Connecting lithium batteries in series to form a battery pack can achieve the required capacity and voltage. However, as the batteries are used for extended periods, some individual cells in the battery pack may experience abnormal failures, affecting the performance and safety of the battery pack. At the same time, as batteries operate in complex environments, the data collected by sensors are susceptible to random noise and drift interference, which can affect the accuracy of anomaly detection in individual battery cells. In order to solve this problem, this article proposes an anomaly detection method for battery cells based on Robust Principal Component Analysis (RPCA), taking the historical operation and maintenance data of a large-scale battery pack from an energy storage station as the research subject. Firstly, theRPCA is used to denoise the observed voltage data of the battery cells to an extreme degree, obtaining a baseline charging state curve for a cell consistency assessment. This also solves the problem of sensor outputs being affected by random noise. To further detect and identify abnormal battery cells, the RPCA is used to extract outlier components. Based on the Average Deviation-3σ principle and by utilizing Gaussian distribution probability characteristics, battery cells are conducted to screen, and the serial numbers of the anomaly cells are obtained. Finally, the effectiveness and accuracy of this anomaly detection method for battery cells are compared and verified through different statistical distributions. Full article
Show Figures

Figure 1

16 pages, 1733 KB  
Article
Search for Dispersed Repeats in Bacterial Genomes Using an Iterative Procedure
by Eugene Korotkov, Yulia Suvorova, Dimitry Kostenko and Maria Korotkova
Int. J. Mol. Sci. 2023, 24(13), 10964; https://doi.org/10.3390/ijms241310964 - 30 Jun 2023
Cited by 7 | Viewed by 3572
Abstract
We have developed a de novo method for the identification of dispersed repeats based on the use of random position-weight matrices (PWMs) and an iterative procedure (IP). The created algorithm (IP method) allows detection of dispersed repeats for which the average number of [...] Read more.
We have developed a de novo method for the identification of dispersed repeats based on the use of random position-weight matrices (PWMs) and an iterative procedure (IP). The created algorithm (IP method) allows detection of dispersed repeats for which the average number of substitutions between any two repeats per nucleotide (x) is less than or equal to 1.5. We have shown that all previously developed methods and algorithms (RED, RECON, and some others) can only find dispersed repeats for x ≤ 1.0. We applied the IP method to find dispersed repeats in the genomes of E. coli and nine other bacterial species. We identify three families of approximately 1.09 × 106, 0.64 × 106, and 0.58 × 106 DNA bases, respectively, constituting almost 50% of the complete E. coli genome. The length of the repeats is in the range of 400 to 600 bp. Other analyzed bacterial genomes contain one to three families of dispersed repeats with a total number of 103 to 6 × 103 copies. The existence of such highly divergent repeats could be associated with the presence of a single-type triplet periodicity in various genes or with the packing of bacterial DNA into a nucleoid. Full article
(This article belongs to the Topic Bioinformatics and Intelligent Information Processing)
Show Figures

Figure 1

18 pages, 4564 KB  
Review
Morphological and Ultrastructural Collagen Defects: Impact and Implications in Dentinogenesis Imperfecta
by Lubabah S. A. Gadi, David Y. S. Chau and Susan Parekh
Dent. J. 2023, 11(4), 95; https://doi.org/10.3390/dj11040095 - 3 Apr 2023
Cited by 6 | Viewed by 4745
Abstract
Collagen is the building block for the extracellular matrix in bone, teeth and other fibrous tissues. Osteogenesis imperfecta (OI), or brittle bone disease, is a heritable disorder that results from defective collagen synthesis or metabolism, resulting in bone fragility. The dental manifestation of [...] Read more.
Collagen is the building block for the extracellular matrix in bone, teeth and other fibrous tissues. Osteogenesis imperfecta (OI), or brittle bone disease, is a heritable disorder that results from defective collagen synthesis or metabolism, resulting in bone fragility. The dental manifestation of OI is dentinogenesis imperfecta (DI), a genetic disorder that affects dentin structure and clinical appearance, with a characteristic feature of greyish-brown discolouration. The aim of this study was to conduct a systematic review to identify and/or define any ultrastructural changes in dentinal collagen in DI. Established databases were searched: Cochrane Library, OVID Embase, OVID Medline and PubMed/Medline. Search strategies included: Collagen Ultrastructure, DI and OI. Inclusion criteria were studies written in English, published after 1990, that examined human dental collagen of teeth affected by DI. A Cochrane data extraction form was modified and used for data collection. The final dataset included seventeen studies published from 1993 to 2021. The most prevalent findings on collagen in DI teeth were increased coarse collagen fibres and decreased fibre quantity. Additional findings included changes to fibre orientation (i.e., random to parallel) and differences to the fibre organisation (i.e., regular to irregular). Ultrastructural defects and anomalies included uncoiled collagen fibres and increased D-banding periodicity. Studies in collagen structure in DI reported changes to the surface topography, quantity, organisation and orientation of the fibres. Moreover, ultrastructural defects such as the packing/coiling and D-banding of the fibrils, as well as differences in the presence of other collagens are also noted. Taken together, this study provides an understanding of the changes in collagen and its impact on clinical translation, paving the way for innovative treatments in dental treatment. Full article
(This article belongs to the Special Issue Feature Review Papers in Dentistry)
Show Figures

Figure 1

12 pages, 1137 KB  
Article
The Clinical Benefits of a Dynamic vs. Static Component as Part of a Comprehensive Warm-Up for Recreational Sports Players with Clinical Histories of Hamstring Injuries: A Randomized Clinical Trial
by Javier Gutierrez-Coronado, Laura López-Bueno, María de los Angeles Cardero-Durán, Manuel Albornoz-Cabello, Jose Vicente Toledo-Marhuenda, Sergio Hernández-Sánchez, Lirios Dueñas, Elena Marques-Sule, Antoni Morral and Luis Espejo-Antúnez
Int. J. Environ. Res. Public Health 2023, 20(1), 744; https://doi.org/10.3390/ijerph20010744 - 31 Dec 2022
Cited by 3 | Viewed by 5538
Abstract
Background: Few previous studies have analyzed the effects of certain specific static and dynamic warm-up components on recreational sports players with a previous hamstring injury. Therefore, the aim of this study was to analyze changes in some modifiable and external risk factors after [...] Read more.
Background: Few previous studies have analyzed the effects of certain specific static and dynamic warm-up components on recreational sports players with a previous hamstring injury. Therefore, the aim of this study was to analyze changes in some modifiable and external risk factors after (immediately and in a follow-up assessment after 10 min) a static or dynamic warm-up program on recreational sports players with a previous hamstring injury. Methods: A total of 62 participants were randomized into 2 groups: static warm-up (SW) (n = 31) or dynamic warm-up (DW) (n = 31). Range of movement (RoM), perceived pain, the pressure–pain threshold, and joint position sense were assessed at baseline, immediately after the intervention and 10 min afterwards. The intervention for the SW (hot pack procedures in both hamstring muscles) lasted 20 min. The DW intervention consisted of a running exercise performed on a treadmill for 10 min. Results: Both groups showed statistically significant changes (p ≤ 0.05) in the primary outcomes (perceived pain and the pressure–pain threshold) at the three measurement times (this was also true for RoM for the SW group, with statistically significant differences only between times from the baseline to the 10-min follow-up; p ≤ 0.05, d = 0.23). The intra-group secondary outcome showed no statistically significant changes (p > 0.05) in both groups (except for the period from the baseline–immediately after in the DW group; p ≤ 0.05, d = 0.53). The comparison between groups showed no statistically significant differences for any of the variables analyzed. (p ≥ 0.05). Conclusion: The present findings suggest that both specific warm-up modalities seem to positively influence perceived pain on stretching and the pressure threshold; however, the significant reduction in the joint repositioning error and the larger effect sizes observed in the DW group suggest that this method has a greater beneficial impact in recreational sports players with clinical histories of hamstring injuries. Full article
Show Figures

Figure 1

13 pages, 973 KB  
Article
Impact of Little Cigars and Cigarillos Packaging Features on Product Preference
by Ce Shang, James Nonnemaker, Kymberle Sterling, Jessica Sobolewski and Scott R. Weaver
Int. J. Environ. Res. Public Health 2021, 18(21), 11443; https://doi.org/10.3390/ijerph182111443 - 30 Oct 2021
Cited by 8 | Viewed by 3099
Abstract
Background: We conducted a discrete choice experiment (DCE) among young adult cigarette smokers in the period July–August 2018 to examine their preference for cigarillos in response to various packaging-related attributes, including flavor, flavor description, quality descriptors, pack size, and prices. Methods: A convenience [...] Read more.
Background: We conducted a discrete choice experiment (DCE) among young adult cigarette smokers in the period July–August 2018 to examine their preference for cigarillos in response to various packaging-related attributes, including flavor, flavor description, quality descriptors, pack size, and prices. Methods: A convenience sample of 566 US young adult cigarette smokers aged 18–34, among whom 296 were current little cigar and cigarillo (LCC) smokers, were recruited using Facebook ads and invited to participate in an online (Qualtrics) tobacco survey containing DCE and tobacco use questions. In the experiment, participants chose among two cigarillo products or “neither” (opt-out). Results: We analyzed preferences for LCCs using multinomial, nested, random parameter logit models. Results showed that young adult cigarette smokers preferred grape over menthol, tobacco/regular, and wine flavors; “color only” and “color and text” flavor depictions over text only; “smooth” and “sweet” quality descriptors over “satisfying”; and larger pack sizes and lower prices. Conclusions: Regulating packaging-related features will impact LCC choices among US young adult smokers. FDA regulation over these packaging-related features may impact LCC use among young adult smokers. Full article
(This article belongs to the Special Issue Health and Economic Impacts of Healthier Lifestyles)
Show Figures

Figure 1

19 pages, 557 KB  
Article
Analysis of Food Habits during Pandemic in a Polish Population-Based Sample of Primary School Adolescents: Diet and Activity of Youth during COVID-19 (DAY-19) Study
by Aleksandra Kołota and Dominika Głąbska
Nutrients 2021, 13(11), 3711; https://doi.org/10.3390/nu13113711 - 22 Oct 2021
Cited by 16 | Viewed by 5826
Abstract
The improper dietary behaviors of children and adolescents during the COVID-19 pandemic, which are associated with lockdowns and reduced physical activity, are a complex problem, potentially resulting in increased risk of diet-related diseases, including overweight and obesity and their consequences. The aim of [...] Read more.
The improper dietary behaviors of children and adolescents during the COVID-19 pandemic, which are associated with lockdowns and reduced physical activity, are a complex problem, potentially resulting in increased risk of diet-related diseases, including overweight and obesity and their consequences. The aim of the study was to assess the food habits during the COVID-19 pandemic and to define their association with physical activity and body mass changes in a Polish population of primary school adolescents within the Diet and Activity of Youth During COVID-19 (DAY-19) Study. The DAY-19 Study was conducted in June 2020 in a national cohort of 1334 primary school students aged 10–16 years, recruited based on a stratified random sampling of schools (sampling counties from voivodeships and schools from counties). The Adolescent Food Habits Checklist (AFHC) was used to assess food habits, associated with food purchase, preparation, and consumption, which in the studied group were analyzed separately for the period before (retrospective data) and during the COVID-19 pandemic (prospective data). The recognizable physical activity changes and recognizable body mass changes were also assessed (retrospective data) and respondents were classified as those declaring that their physical activity and body mass decreased, remained stable, or increased during the COVID-19 pandemic. It was observed that during the COVID-19 pandemic the majority of food habits changed in a statistically significant way (p < 0.05). Within food purchase habits, the number of respondents who declared choosing a low-fat lunch away from home decreased, often buying pastries or cakes decreased, and buying a low-fat crisps brand increased (p < 0.05). Within food preparation habits, the number of respondents who declared trying to keep overall fat intake down increased, trying to keep overall sugar intake down increased, eating at least one serving of vegetables or salad with evening meal increased, and usually including some chocolate and/or biscuits in a packed lunch decreased (p < 0.05). Within food consumption habits, the number of respondents who declared making sure that they eat at least one serving of fruit a day increased, eating at least three servings of fruit most days increased, making sure that they eat at least one serving of vegetables or salad a day increased, trying to ensure that they eat plenty of fruit and vegetables increased, often choosing a fruit when they have a snack between meals increased, eating at least three servings of fruit most days increased, and generally trying to have a healthy diet increased (p < 0.05). It was concluded that in the period of the COVID-19 pandemic and resultant remote education, adolescents in Poland presented different food habits than before, while the majority of changes were positive. The positive food purchase, preparation, and consumption habits were observed mainly in sub-groups of adolescents declaring decreased body mass or increased physical activity during the COVID-19 pandemic. It may be suggested that physical activity may support positive changes of dietary behaviors and while combined positive changes of diet and increased physical activity, they may effectively promote body mass reduction in adolescents. Full article
(This article belongs to the Special Issue Nutrition within and beyond Corona Virus)
Show Figures

Figure 1

16 pages, 305 KB  
Article
Association between Food Preferences and Food Habits in a Polish Adolescents’ COVID-19 Experience (PLACE-19) Study
by Dominika Skolmowska, Dominika Głąbska and Dominika Guzek
Nutrients 2021, 13(9), 3003; https://doi.org/10.3390/nu13093003 - 28 Aug 2021
Cited by 13 | Viewed by 5191
Abstract
Food preferences are among the most influential factors of food habits in the vulnerable period of adolescence; in addition, gender-dependent differences in food preferences are also observed. The aim of the present study was to analyze differences in food habits between individuals stratified [...] Read more.
Food preferences are among the most influential factors of food habits in the vulnerable period of adolescence; in addition, gender-dependent differences in food preferences are also observed. The aim of the present study was to analyze differences in food habits between individuals stratified based on their food preferences in a population-based sample of adolescents aged 15–20. The study was conducted within the Polish Adolescents’ COVID-19 Experience (PLACE-19) Study population in a group of 2419 secondary school students who were randomly chosen to participate in the study using a random quota sampling procedure. The food preferences were determined on the basis of a validated Food Preference Questionnaire (FPQ) (which enables assessing preference of vegetables, fruit, meat/fish, dairy, snacks, and starches), whereas food habits were determined on the basis of the Adolescents’ Food Habits Checklist (AFHC) (which enables assessing food purchase, preparation, and consumption habits). The analysis involved three homogenous clusters (‘low-preferring’, ‘hedonists’, and ‘high-preferring’), which were identified using the k-means algorithm. It was found that for a number of the assessed food purchase, preparation, and consumption habits, there were statistically significant differences between the ‘low-preferring’, ‘hedonists’, and ‘high-preferring’ clusters. Within food purchase habits, the food preference influenced frequency of buying pastries/cakes and frequency of eating takeaway meals for all the respondents, while for female respondents, it influenced also choice of desserts in restaurants, and for male respondents, it influenced choosing a low-fat lunch away from home (p < 0.05). Within food preparation habits, the food preference influenced the fat content in desserts at home, the frequency of eating at least one serving of vegetables/salad with an evening meal, the frequency of spreading butter/margarine on bread thinly, and the frequency of having cream on desserts for all the respondents; meanwhile, for female respondents, it also influenced the frequency of avoiding fried foods and the frequency of including chocolate/biscuits in their packed lunch (p < 0.05). Within food consumption habits, the food preference influenced the frequency of eating a dessert/pudding, eating at least one serving of fruit a day, eating at least one serving of vegetables/salad a day, avoiding sausages/burgers, trying to ensure they eat plenty of fruit and vegetables, and frequency of choosing fruit as a snack for all the respondents; meanwhile, for male respondents, it also influenced the frequency of eating sweet snacks and eating at least three servings of fruit most days (p < 0.05). Taking into account that some improper food habits may be typical for the specific clusters, there is an urgent need to analyze and address them for the purposes of public health and to bear in mind that some of those habits are gender-dependent. Full article
(This article belongs to the Special Issue Lifestyle, Behaviors, and Environment Related to Childhood Obesity)
18 pages, 3129 KB  
Article
Optimal Random Packing of Spheres and Extremal Effective Conductivity
by Vladimir Mityushev and Zhanat Zhunussova
Symmetry 2021, 13(6), 1063; https://doi.org/10.3390/sym13061063 - 13 Jun 2021
Cited by 8 | Viewed by 4071
Abstract
A close relation between the optimal packing of spheres in Rd and minimal energy E (effective conductivity) of composites with ideally conducting spherical inclusions is established. The location of inclusions of the optimal-design problem yields the optimal packing of inclusions. The geometrical-packing [...] Read more.
A close relation between the optimal packing of spheres in Rd and minimal energy E (effective conductivity) of composites with ideally conducting spherical inclusions is established. The location of inclusions of the optimal-design problem yields the optimal packing of inclusions. The geometrical-packing and physical-conductivity problems are stated in a periodic toroidal d-dimensional space with an arbitrarily fixed number n of nonoverlapping spheres per periodicity cell. Energy E depends on Voronoi tessellation (Delaunay graph) associated with the centers of spheres ak (k=1,2,,n). All Delaunay graphs are divided into classes of isomorphic periodic graphs. For any fixed n, the number of such classes is finite. Energy E is estimated in the framework of structural approximations and reduced to the study of an elementary function of n variables. The minimum of E over locations of spheres is attained at the optimal packing within a fixed class of graphs. The optimal-packing location is unique within a fixed class up to translations and can be found from linear algebraic equations. Such an approach is useful for random optimal packing where an initial location of balls is randomly chosen; hence, a class of graphs is fixed and can dynamically change following prescribed packing rules. A finite algorithm for any fixed n is constructed to determine the optimal random packing of spheres in Rd. Full article
(This article belongs to the Special Issue Symmetry and Approximation Methods)
Show Figures

Figure 1

17 pages, 2929 KB  
Article
Biomimicry-Gradient-Based Algorithm as Applied to Photonic Devices Design: Inverse Design of Flat Plasmonic Metalenses
by Kofi Edee
Appl. Sci. 2021, 11(12), 5436; https://doi.org/10.3390/app11125436 - 11 Jun 2021
Cited by 2 | Viewed by 2830
Abstract
The classical adjoint-based topology optimization (TO) method, based on the use of a random continuous dielectric function as design variable distribution is known to be one of the timely efficient and fast optimization methods enable a very high performance functional optical devices. It [...] Read more.
The classical adjoint-based topology optimization (TO) method, based on the use of a random continuous dielectric function as design variable distribution is known to be one of the timely efficient and fast optimization methods enable a very high performance functional optical devices. It relies on the computation of the gradient of a figure of merit (FOM) with respect to the design parameters. The gradient of the figure of merit (FOM) may then be used to update the design vector element in several senarios. One of the most common use scenario consists of updating simultaneously all the design parameter vector elements. In a linear problem case involving a simply convex FOM-function shape, using the gradient information, it is a relatively easy to reach an optimal solution. In the case of constrained and non linear problems stated in an infinite and indeterminate design space, the conventional TO, a local optimizer, may require multiple restarts, with multiple initial points and multiple runs. The algorithm strongly depends on the initial conditions. In this paper, we report a global-like optimizer inspired by a wolf pack hunting, enabling efficient design of metasurfaces through their geometrical parameters. We apply the method to design a non periodic metasurface consisting of plasmonic metalenses, enabling a high energy flow focusing on a well-defined 2D focus spot. Numerical results show that the proposed inverse design method has a low sensitivity to initial conditions. In our design method of metalens, we optimize the full micro device at once, and demonstrate that the proposed method may provide both symmetric and more creative unexpected asymmetric on-axis metalenses even though under a normal illumination. Full article
(This article belongs to the Special Issue The Newest Research in Novel Materials)
Show Figures

Figure 1

9 pages, 870 KB  
Article
Influence of Personal Protective Equipment on Wildland Firefighters’ Physiological Response and Performance during the Pack Test
by Belén Carballo-Leyenda, Jorge Gutiérrez-Arroyo, Fabio García-Heras, Pilar Sánchez-Collado, José G. Villa-Vicente and Jose A. Rodríguez-Marroyo
Int. J. Environ. Res. Public Health 2021, 18(10), 5050; https://doi.org/10.3390/ijerph18105050 - 11 May 2021
Cited by 13 | Viewed by 3596
Abstract
The Pack Test (PT) is a widely used test to establish readiness for work in wildland firefighting. It is common to perform this test dressed in regular exercise clothing. However, wildland firefighters (WFF) have to wear personal protective equipment (PPE) during their deployments, [...] Read more.
The Pack Test (PT) is a widely used test to establish readiness for work in wildland firefighting. It is common to perform this test dressed in regular exercise clothing. However, wildland firefighters (WFF) have to wear personal protective equipment (PPE) during their deployments, which increases the physiological strain and reduces their work capacity. This study aimed to analyse the impact of full PPE on PT performance. Nine male professional WFF performed in random order a PT walking at the fastest possible self-pace wearing two different clothing configurations: (i) traditional short sports gear (SG) and (ii) the PPE currently used by Spanish WFF. Heart rate (HR), rating of perceived exertion and lap time were recorded during the PT. In addition, oxygen uptake (VO2) was estimated through the individual VO2–HR relationship previously obtained during a graded exercise test. There was a significant decrease in the PT performance (i.e., completion time) (~12%, p < 0.05) in PPE. The physiological demands with this configuration were significantly higher (~10%, p < 0.05). WFF spent ~13 min above the anaerobic threshold in PPE vs. ~4 min in SG. A multiple stepwise regression analysis revealed that PT performance variation might be explained by the maximal aerobic velocity (84.5%) in PPE and the VO2max (75.9%) in SG. In conclusion, wearing complete PPE increases WFF’s physiological strain, which translates into a significant PT performance reduction. Performing the test walking at the fastest possible self-pace wearing the PPE would better reflect the high-intensity effort periods reported in real scenarios. Full article
Show Figures

Figure 1

11 pages, 1888 KB  
Article
Effect of Broccoli Residue and Wheat Straw Addition on Nitrous Oxide Emissions in Silt Loam Soil
by Rajan Budhathoki, Dinesh Panday, Perik Seiz, Reiner Ruser and Torsten Müller
Nitrogen 2021, 2(1), 99-109; https://doi.org/10.3390/nitrogen2010007 - 18 Mar 2021
Viewed by 3834
Abstract
Nitrous oxide (N2O) is one of the main greenhouse gases and its emissions from vegetable production systems have brought a sustainability challenge. The objective of this study was to evaluate the potential of reducing N2O emissions from silt loam [...] Read more.
Nitrous oxide (N2O) is one of the main greenhouse gases and its emissions from vegetable production systems have brought a sustainability challenge. The objective of this study was to evaluate the potential of reducing N2O emissions from silt loam soil by mixing nitrogen (N)-rich broccoli (Brassica oleracea var. italica) residue with wheat straw or water-washed wheat straw. An experiment was conducted in randomized complete block design with five treatments; unamended or control (BS), wheat straw (+S), broccoli residue (+CR), broccoli residue and wheat straw (+CR+S) and broccoli residue and washed wheat straw (+CR+Sw) and was replicated four times. The +CR and +S were added at the rate of 3.5 kg and 2.0 kg fresh matter m−2 and their mixtures, +CR+S and +CR+Sw, were incorporated in 3.5 kg of silt loam soil at 60% water-filled pore space (WFPS) and packed in soil microcosms. Nitrous oxide emissions were measured once a day during the 14-day of study period. Daily fluxes of N2O were found to be reduced on +CR+W and +CR+Sw when compared to single-amended +CR treatment. Similarly, N2O fluxes on +CR+Sw (2772 µg N m−2 h−1) were significantly lower than +CR+S (3606 µg N m−2 h−1) soon after the amendment but did not vary significantly thereafter. Moreover, the amendment mixture, +CR+S and +Cr+Sw, resulted in lower net N2O emissions by 73.3% and 74.2%, respectively, relative to +CR treatment. While the results clearly suggest that the +CR+S or +CR+Sw reduced N2O emissions, it necessitated further studies, possibly by increasing the frequency of sampling to clarify if washed wheat straw would further mitigate N2O emissions from the vegetable production system. Full article
Show Figures

Figure 1

73 pages, 23934 KB  
Article
Nonlinear Fourier Analysis: Rogue Waves in Numerical Modeling and Data Analysis
by Alfred R. Osborne
J. Mar. Sci. Eng. 2020, 8(12), 1005; https://doi.org/10.3390/jmse8121005 - 9 Dec 2020
Cited by 8 | Viewed by 4587
Abstract
Nonlinear Fourier Analysis (NLFA) as developed herein begins with the nonlinear Schrödinger equation in two-space and one-time dimensions (the 2+1 NLS equation). The integrability of the simpler nonlinear Schrödinger equation in one-space and one-time dimensions (1+1 NLS) is an important tool in this [...] Read more.
Nonlinear Fourier Analysis (NLFA) as developed herein begins with the nonlinear Schrödinger equation in two-space and one-time dimensions (the 2+1 NLS equation). The integrability of the simpler nonlinear Schrödinger equation in one-space and one-time dimensions (1+1 NLS) is an important tool in this analysis. We demonstrate that small-time asymptotic spectral solutions of the 2+1 NLS equation can be constructed as the nonlinear superposition of many 1+1 NLS equations, each corresponding to a particular radial direction in the directional spectrum of the waves. The radial 1+1 NLS equations interact nonlinearly with one another. We determine practical asymptotic spectral solutions of the 2+1 NLS equation that are formed from the ratio of two phase-lagged Riemann theta functions: Surprisingly this construction can be written in terms of generalizations of periodic Fourier series called (1) quasiperiodic Fourier (QPF) series and (2) almost periodic Fourier (APF) series (with appropriate limits in space and time). To simplify the discourse with regard to QPF and APF Fourier series, we call them NLF series herein. The NLF series are the solutions or approximate solutions of the nonlinear dynamics of water waves. These series are indistinguishable in many ways from the linear superposition of sine waves introduced theoretically by Paley and Weiner, and exploited experimentally and theoretically by Barber and Longuet-Higgins assuming random phases. Generally speaking NLF series do not have random phases, but instead employ phase locking. We construct the asymptotic NLF series spectral solutions of 2+1 NLS as a linear superposition of sine waves, with particular amplitudes, frequencies and phases. Because of the phase locking the NLF basis functions consist not only of sine waves, but also of Stokes waves, breather trains, and superbreathers, all of which undergo complex pair-wise nonlinear interactions. Breather trains are known to be associated with rogue waves in solutions of nonlinear wave equations. It is remarkable that complex nonlinear dynamics can be represented as a generalized, linear superposition of sine waves. NLF series that solve nonlinear wave equations offer a significant advantage over traditional periodic Fourier series. We show how NLFA can be applied to numerically model nonlinear wave motions and to analyze experimentally measured wave data. Applications to the analysis of SINTEF wave tank data, measurements from Currituck Sound, North Carolina and to shipboard radar data taken by the U. S. Navy are discussed. The ubiquitous presence of coherent breather packets in many data sets, as analyzed by NLFA methods, has recently led to the discovery of breather turbulence in the ocean: In this case, nonlinear Fourier components occur as strongly interacting, phase locked, densely packed breather modes, in contrast to the previously held incorrect belief that ocean waves are weakly interacting sine waves. Full article
Show Figures

Figure 1

12 pages, 1462 KB  
Article
Effective Conductivity of Densely Packed Disks and Energy of Graphs
by Wojciech Nawalaniec, Katarzyna Necka and Vladimir Mityushev
Mathematics 2020, 8(12), 2161; https://doi.org/10.3390/math8122161 - 4 Dec 2020
Cited by 6 | Viewed by 2032
Abstract
The theory of structural approximations is extended to two-dimensional double periodic structures and applied to determination of the effective conductivity of densely packed disks. Statistical simulations of non-overlapping disks with the different degrees of clusterization are considered. The obtained results shows that the [...] Read more.
The theory of structural approximations is extended to two-dimensional double periodic structures and applied to determination of the effective conductivity of densely packed disks. Statistical simulations of non-overlapping disks with the different degrees of clusterization are considered. The obtained results shows that the distribution of inclusions in a composite, as an amount of geometrical information, remains in the discrete corresponding Voronoi tessellation, hence, precisely determines the effective conductivity for random composites. Full article
(This article belongs to the Special Issue Numerical Modeling and Analysis)
Show Figures

Figure 1

10 pages, 1240 KB  
Article
Cold Storage and Biocontrol Agents to Extend the Storage Period of ‘BRS Isis’ Seedless Table Grapes
by Ronan Carlos Colombo, Deived Uilian Carvalho, Maria Aparecida Da Cruz, Ciro Hideki Sumida, Saeed Ahmed, Paulo Augusto Bassoli, Reginaldo Teodoro De Souza and Sergio Ruffo Roberto
Horticulturae 2018, 4(3), 18; https://doi.org/10.3390/horticulturae4030018 - 15 Aug 2018
Cited by 7 | Viewed by 5655
Abstract
‘BRS Isis’ is a novel hybrid seedless table grape with large reddish bunches. This cultivar is cultivated in tropical and subtropical areas and has potential to be exported overseas; however, under these growth conditions, grapes can be severely damaged by gray mold ( [...] Read more.
‘BRS Isis’ is a novel hybrid seedless table grape with large reddish bunches. This cultivar is cultivated in tropical and subtropical areas and has potential to be exported overseas; however, under these growth conditions, grapes can be severely damaged by gray mold (Botrytis cinerea), the main postharvest disease of table grapes. Thus, this study aimed to evaluate different pre- and postharvest strategies to extend the storage period of ‘BRS Isis’ seedless table grapes. The treatments consisted of grapes packed into carton boxes under cold storage (1 °C and high relative humidity), pre- and/or postharvest treatment with potassium bicarbonate or a biological control agent (Bacillus subtilis), all with Botrytis inoculation. Additionally, two controls, with and without Botrytis inoculation, were also evaluated. The experimental design was completely randomized with eight treatments and three replications, and each plot consisted of four bunches. After a 50-day cold storage period, the carton boxes were kept for five days at room temperature (22 °C). Gray mold incidence and water loss, as well as soluble solids (SS), pH, titratable acidity (TA), SS/TA ratio, and color attributes were evaluated during both periods. Cold storage effectively reduced gray mold in ‘BRS Isis’ seedless grape for a period of 50 days, even when grapes were inoculated; however, no difference among treatments was observed. Higher water loss was observed in both non-treated control treatments. Full article
(This article belongs to the Special Issue Horticultural Plant Pathology and Prevention)
Show Figures

Figure 1

Back to TopTop