Study on Scattering and Absorption Properties of Quantum-Dot-Converted Elements for Light-Emitting Diodes Using Finite-Difference Time-Domain Method
Abstract
:1. Introduction
2. Method
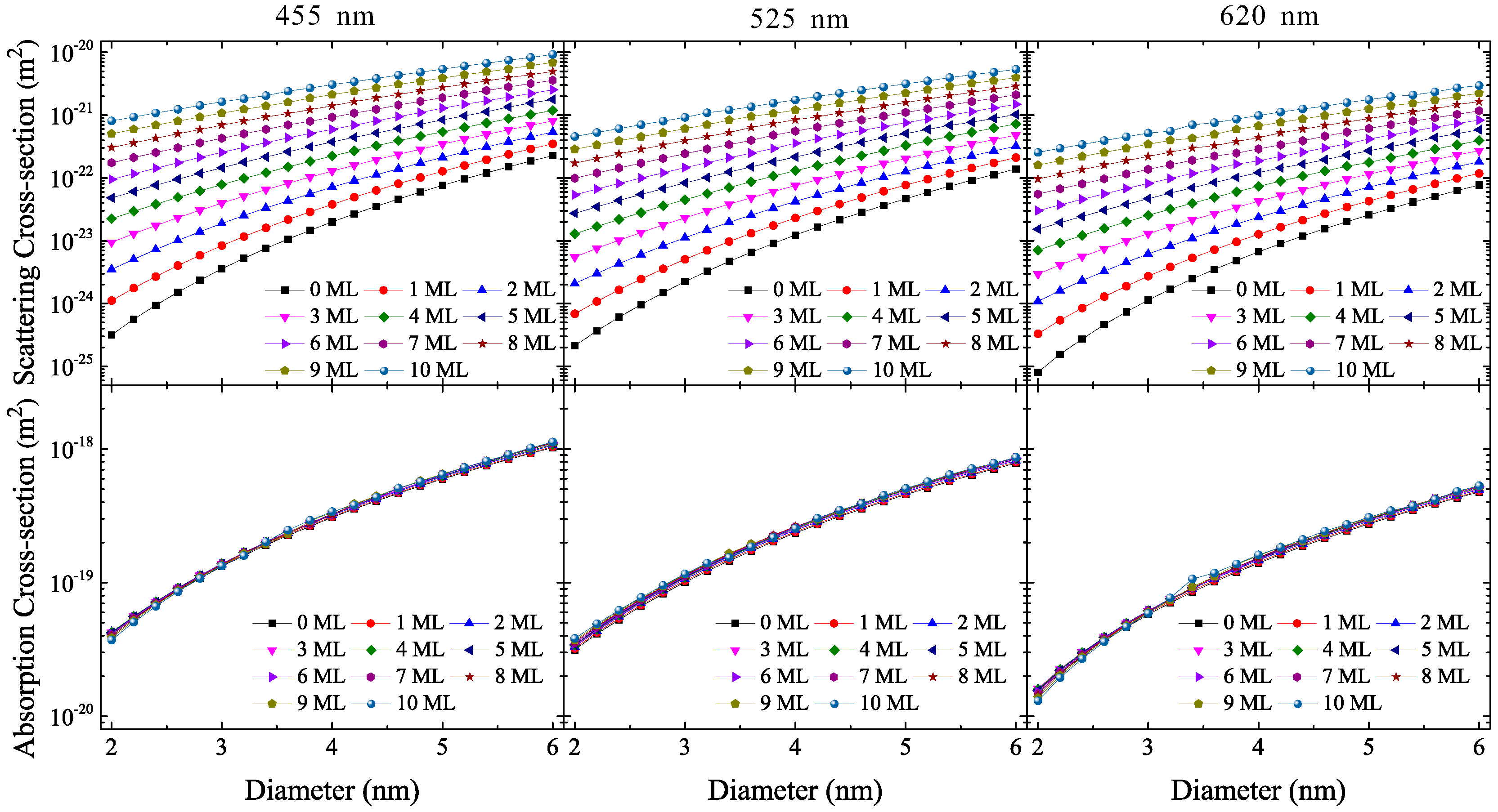
3. Results and Discussion
4. Conclusions
Supplementary Materials
Acknowledgments
Author Contributions
Conflicts of Interest
References
- Shirasaki, Y.; Supran, G.J.; Bawendi, M.G.; Bulović, V. Emergence of colloidal quantum-dot light-emitting technologies. Nat. Photonics 2013, 7, 13–23. [Google Scholar] [CrossRef]
- Dabbousi, B.O.; Rodriguez-Viejo, J.; Mikulec, F.V.; Heine, J.R.; Mattoussi, H.; Ober, R.; Jensen, K.F.; Bawendi, M.G. (CdSe) ZnS core− shell quantum dots: Synthesis and characterization of a size series of highly luminescent nanocrystallites. J. Phys. Chem. B 1997, 101, 9463–9475. [Google Scholar] [CrossRef]
- Yuan, F.; Ryu, H. Ce-doped YAG phosphor powders prepared by co-precipitation and heterogeneous precipitation. Mater. Sci. Eng. B 2004, 107, 14–18. [Google Scholar] [CrossRef]
- Xie, B.; Hu, R.; Luo, X. Quantum dots-converted light-emitting diodes packaging for lighting and display: Status and perspectives. J. Electron. Packag. 2016, 138, 020803. [Google Scholar] [CrossRef]
- Allen, S.C.; Steckl, A.J. A nearly ideal phosphor-converted white light-emitting diode. Appl. Phys. Lett. 2008, 92, 143309. [Google Scholar] [CrossRef]
- Zhu, Y.; Chen, W.; Hu, J.; Xie, B.; Hao, J.; Wu, D.; Luo, X.; Wang, K. Light conversion efficiency enhancement of modified quantum dot films integrated with micro SiO2 particles. IEEE Trans. Electron Dev. 2016, 63, 691–697. [Google Scholar]
- Hsu, S.-X.; Chen, Y.-H.; Tu, Z.-Y.; Han, H.-V.; Lin, S.-L.; Chen, T.-M.; Kuo, H.-C.; Lin, C.-C. Highly stable and efficient hybrid quantum dot light-emitting diodes. IEEE Photonics J. 2015, 7, 1–10. [Google Scholar] [CrossRef]
- Xie, B.; Chen, W.; Hao, J.; Wu, D.; Yu, X.; Chen, Y.; Hu, R.; Wang, K.; Luo, X. Structural optimization for remote white light-emitting diodes with quantum dots and phosphor: Packaging sequence matters. Opt. Express 2016, 24, A1560–A1570. [Google Scholar] [CrossRef] [PubMed]
- Lei, X.; Zheng, H.; Guo, X.; Chu, J.; Liu, S.; Liu, P. Optical Performance Enhancement of Quantum Dot-Based Light-Emitting Diodes Through an Optimized Remote Structure. IEEE Trans. Electron Dev. 2016, 63, 691–697. [Google Scholar] [CrossRef]
- Xie, B.; Hu, R.; Yu, X.; Shang, B.; Ma, Y.; Luo, X. Effect of packaging method on performance of light-emitting diodes with quantum dot phosphor. IEEE Photonic Technol. Lett. 2016, 28, 1115–1118. [Google Scholar] [CrossRef]
- Sommer, C.; Krenn, J.R.; Hartmann, P.; Pachler, P.; Schweighart, M.; Tasch, S.; Wenzl, F.P. The effect of the phosphor particle sizes on the angular homogeneity of phosphor-converted high-power white LED light sources. IEEE J. Sel. Top. Quantum 2009, 15, 1181–1188. [Google Scholar] [CrossRef]
- Sommer, C.; Reil, F.; Krenn, J.R.; Hartmann, P.; Pachler, P.; Hoschopf, H.; Wenz, F.P.L. The impact of light scattering on the radiant flux of phosphor-converted high power white light-emitting diodes. J. Lightwave Technol. 2011, 29, 2285–2291. [Google Scholar] [CrossRef]
- Wenzl, F.; Fulmek, P.; Sommer, C.; Schweitzer, S.; Nemitz, W.; Hartmann, P.; Pachler, P.; Hoschopf, H.; Schrank, F.; Langer, G. Impact of extinction coefficient of phosphor on thermal load of color conversion elements of phosphor converted LEDs. J. Rare Earth 2014, 32, 201–206. [Google Scholar] [CrossRef]
- Fulmek, P.; Sommer, C.; Hartmann, P.; Pachler, P.; Hoschopf, H.; Langer, G.; Nicolics, J.; Wenzl, F.P. On the Thermal Load of the Color-Conversion Elements in Phosphor-Based White Light-Emitting Diodes. Adv. Opt. Mater. 2013, 1, 753–762. [Google Scholar] [CrossRef]
- Hu, R.; Zheng, H.; Hu, J.; Luo, X. Comprehensive study on the transmitted and reflected light through the phosphor layer in light-emitting diode packages. J. Disp. Technol. 2013, 9, 447–452. [Google Scholar] [CrossRef]
- Li, J.; Chen, J.; Lin, L.; Li, Z.; Tang, Y.; Yu, B.; Ding, X. A detailed study on phosphor-converted light-emitting diodes with multi-phosphor configuration using the finite-difference time-domain and ray-tracing methods. IEEE J. Quantum Electron. 2015, 51, 1–10. [Google Scholar] [CrossRef]
- Li, Z.-T.; Tang, Y.; Liu, Z.-Y.; Tan, Y.-E.; Zhu, B.-M. Detailed study on pulse-sprayed conformal phosphor configurations for LEDs. J. Disp. Technol. 2013, 9, 433–440. [Google Scholar] [CrossRef]
- Kang, D.-Y.; Wu, E.; Wang, D.-M. Modeling white light-emitting diodes with phosphor layers. Appl. Phys. Lett. 2006, 89, 231102. [Google Scholar] [CrossRef]
- Liu, Z.; Liu, S.; Wang, K.; Luo, X. Measurement and numerical studies of optical properties of YAG: Ce phosphor for white light-emitting diode packaging. Appl. Opt. 2010, 49, 247–257. [Google Scholar] [CrossRef] [PubMed]
- Li, J.; Li, Z.; Liang, G.; Yu, S.; Tang, Y.; Ding, X. Color uniformity enhancement for COB WLEDs using a remote phosphor film with two freeform surfaces. Opt. Express 2016, 24, 23685–23696. [Google Scholar] [CrossRef] [PubMed]
- Ding, X.; Li, J.; Chen, Q.; Tang, Y.; Li, Z.; Yu, B. Improving LED CCT uniformity using micropatterned films optimized by combining ray tracing and FDTD methods. Opt. Express 2015, 23, A180–A191. [Google Scholar] [CrossRef] [PubMed]
- Liu, Z.; Liu, S.; Wang, K.; Luo, X. Optical analysis of color distribution in white LEDs with various packaging methods. IEEE Photonic Technol. Lett. 2008, 20, 2027–2029. [Google Scholar]
- Flock, S.T.; Patterson, M.S.; Wilson, B.C.; Wyman, D.R. Monte Carlo modeling of light propagation in highly scattering tissues. I. Model predictions and comparison with diffusion theory. IEEE Trans. Biomed. Eng. 1989, 36, 1162–1168. [Google Scholar] [CrossRef] [PubMed]
- Wiscombe, W.J. Improved Mie scattering algorithms. Appl. Opt. 1980, 19, 1505–1509. [Google Scholar] [CrossRef] [PubMed]
- Yee, K.S. Numerical solution of initial boundary value problems involving Maxwell’s equations in isotropic media. IEEE Trans. Antennas Propag. 1966, 14, 302–307. [Google Scholar]
- Jones, A. Light scattering for particle characterization. Prog. Energy Combust. 1999, 25, 1–53. [Google Scholar] [CrossRef]
- Reynolds, L.; McCormick, N. Approximate two-parameter phase function for light scattering. J. Opt. Soc. Am. 1980, 70, 1206–1212. [Google Scholar] [CrossRef]
- Palik, E.D. Handbook of Optical Constants of Solids; Academic Press: San Diego, CA, USA, 1998; Volume 3. [Google Scholar]
- Xia, C.S.; Sheng, Y.; Li, Z.S.; Cheng, L. Simulation of GaN-Based Light-Emitting Diodes With Hemisphere Patterned Sapphire Substrate Based on Poynting Vector Analysis. IEEE J. Quantum Electron. 2015, 51, 1–5. [Google Scholar] [CrossRef]
- Lee, J.S.; Arunkumar, P.; Kim, S.; Lee, I.J.; Lee, H.; Im, W.B. Smart design to resolve spectral overlapping of phosphor-in-glass for high-powered remote-type white light-emitting devices. Opt. Lett. 2014, 39, 762–765. [Google Scholar] [CrossRef] [PubMed]
- Mishchenko, M.I.; Travis, L.D.; Kahn, R.A.; West, R.A. Modeling phase functions for dustlike tropospheric aerosols using a shape mixture of randomly oriented polydisperse spheroids. J. Geophys. Res. Atmos. 1997, 102, 16831–16847. [Google Scholar] [CrossRef]
- Yu, W.W.; Qu, L.; Guo, W.; Peng, X. Experimental determination of the extinction coefficient of CdTe, CdSe, and CdS nanocrystals. Chem. Mater. 2003, 15, 2854–2860. [Google Scholar] [CrossRef]




© 2017 by the authors. Licensee MDPI, Basel, Switzerland. This article is an open access article distributed under the terms and conditions of the Creative Commons Attribution (CC BY) license (http://creativecommons.org/licenses/by/4.0/).
Share and Cite
Li, J.; Tang, Y.; Li, Z.; Ding, X.; Yuan, D.; Yu, B. Study on Scattering and Absorption Properties of Quantum-Dot-Converted Elements for Light-Emitting Diodes Using Finite-Difference Time-Domain Method. Materials 2017, 10, 1264. https://doi.org/10.3390/ma10111264
Li J, Tang Y, Li Z, Ding X, Yuan D, Yu B. Study on Scattering and Absorption Properties of Quantum-Dot-Converted Elements for Light-Emitting Diodes Using Finite-Difference Time-Domain Method. Materials. 2017; 10(11):1264. https://doi.org/10.3390/ma10111264
Chicago/Turabian StyleLi, Jiasheng, Yong Tang, Zongtao Li, Xinrui Ding, Dong Yuan, and Binhai Yu. 2017. "Study on Scattering and Absorption Properties of Quantum-Dot-Converted Elements for Light-Emitting Diodes Using Finite-Difference Time-Domain Method" Materials 10, no. 11: 1264. https://doi.org/10.3390/ma10111264
APA StyleLi, J., Tang, Y., Li, Z., Ding, X., Yuan, D., & Yu, B. (2017). Study on Scattering and Absorption Properties of Quantum-Dot-Converted Elements for Light-Emitting Diodes Using Finite-Difference Time-Domain Method. Materials, 10(11), 1264. https://doi.org/10.3390/ma10111264

