Next Article in Journal
Solar Access Assessment in Dense Urban Environments: The Effect of Intersections in an Urban Canyon
Next Article in Special Issue
Effects of Syngas Cooling and Biomass Filter Medium on Tar Removal
Previous Article in Journal
Sensitivity-Based Model of Low Voltage Distribution Systems with Distributed Energy Resources
 
 
Font Type:
Arial Georgia Verdana
Font Size:
Aa Aa Aa
Line Spacing:
Column Width:
Background:
Article

Torrefied Biomass Pellets—Comparing Grindability in Different Laboratory Mills

1
Deutsches Biomasseforschungszentrum gemeinnützige GmbH, Leipzig 04347, Germany
2
School of Chemical and Process Engineering, University of Leeds, Leeds LS2 9JT, UK
*
Author to whom correspondence should be addressed.
Energies 2016, 9(10), 794; https://doi.org/10.3390/en9100794
Submission received: 17 August 2016 / Accepted: 26 September 2016 / Published: 4 October 2016
(This article belongs to the Special Issue Woody Biomass for Bioenergy Production)

Abstract

:
The firing and co-firing of biomass in pulverized coal fired power plants around the world is expected to increase in the coming years. Torrefaction may prove to be a suitable way of upgrading biomass for such an application. For transport and storage purposes, the torrefied biomass will tend to be in pellet form. Whilst standard methods for the assessment of the milling characteristics of coal exist, this is not the case for torrefied materials—whether in pellet form or not. The grindability of the fuel directly impacts the overall efficiency of the combustion process and as such it is an important parameter. In the present study, the grindability of different torrefied biomass pellets was tested in three different laboratory mill types; cutting mill (CM), hammer mill (HM) and impact mill (IM). The specific grinding energy (SGE) required for a defined mass throughput of pellets in each mill was measured and results were compared to other pellet characterization methods (e.g., durability, and hardness) as well as the modified Hardgrove Index. Seven different torrefied biomass pellets including willow, pine, beech, poplar, spruce, forest residue and straw were used as feedstock. On average, the particle-size distribution width (across all feedstock) was narrowest for the IM (0.41 mm), followed by the HM (0.51 mm) and widest for the CM (0.62 mm). Regarding the SGE, the IM consumed on average 8.23 Wh/kg while CM and HM consumed 5.15 and 5.24 Wh/kg, respectively. From the three mills compared in this study, the IM seems better fit for being used in a standardized method that could be developed in the future, e.g., as an ISO standard.

Graphical Abstract

1. Introduction

Over the past few years there has been a significant effort worldwide to increase the utilization of renewable energy sources for electricity and heat production. The European Union Renewables Directive, for example, set a target of 20% of the energy consumption of the European Union to be from renewable sources by 2020 [1] and current decarburization scenarios point at 30% by 2030 and at least 55% by 2050 [2]. In this context, the firing of biomass and the co-firing of biomass with coal in power plants originally designed for coal play a significant role. This approach to the generation of renewable energy has been demonstrated in more than 200 power plants over the recent years taking advantage of the infrastructure already in place within the electricity supply industry, and the associated low capital investment requirements [3].
Besides the expected reduction in both NOx and SOx levels, there are still some difficulties in using raw biomass for co-firing with coal [4]. Amongst the biggest challenges are the diverse chemical and physical properties of biomass that need to be addressed. The ash content as well as volatiles and oxygen content can be higher in biomass than in coal resulting in lower gross calorific value of the fuel [5]. Additionally, problems may occur if feeding and milling is not adapted. The particle size distribution of ground biomass is different from coal and particles may be considerably larger leading to lower burn-out efficiencies [6]. Overall, co-firing with regular biomass may lead to instability of the combustion process making biomass with coal-like properties the most desirable co-firing fuel.
One intensively researched approach for upgrading regular biomass for co-firing with coal is the thermo-chemical pre-treatment best known as torrefaction. At temperatures in the range of 250–300 °C, and in the absence of air, the biomass undergoes a mild form of pyrolysis and is converted into a solid fuel with chemical and mechanical properties similar to coal [7]. This process has been studied on a large variety of feedstock applying different torrefaction settings (e.g., temperature, and time) mainly on lab-scale [8] and most recently also in pilot scale plants [9]. Several technological innovations were made over the past years to bring the process to commercial scale [10] and techno-economic assessments assuming European and Northern American conditions were conducted [11,12]. In both cases, the now more homogenous, brittle and hydrophobic material is compacted to pellets and can be transported, stored for prolonged periods and delivered as a boiler fuel.
Some experts came to the conclusion that the percentage of biomass for co-firing in power plants can be as high as 40% when the torrefied biomass is used [13] while others showed that, according to CFD simulations, coal boilers can handle operation with up to 100% of torrefied biomass without an obvious decrease of energy efficiency and fluctuation of the boiler load [14]. The direct application of torrefied biomass pellets in small-scale pellet boilers may not be advisable at this point unless boiler technology is adapted [15].
For the utilization of torrefied biomass in pulverized coal fired plants it is necessary to assess its fuel properties (chemical and mechanical) beforehand. For most of the parameters standardized analysis methods are available. However, the difference in characteristics between torrefied biomass and coal requires some adaptation of existing methods or even new methods to fully describe their fuels properties, which would then allow comparison with those of coals. A power plant operator will need to, e.g., adjust the mills for achieving the right particle size distribution for optimal plant operation. It is assumed that particle size distribution of the milled material may effect combustion efficiency, the amount of unburned carbon in the ash and the stability of combustion [16]. The Hardgrove Index (HGI), developed in the 1930 by Hardgrove [17], was designed to compare grindability of brittle materials such as black coal. It is commonly used as a simple empirical laboratory procedure for the characterization of their milling behaviour in large coal mills to produce a pulverized fuel with the appropriate fineness. The HGI method described in ISO 5074 [18], however, is not suitable for the characterization of more fibrous material like torrefied biomass and does not consider the actual milling of pellets.
Several studies have determined the grindability of torrefied biomass by applying one of the following methods: the modified Hardgrove Index [16], the Grindability Criterion (GC) [19], the Hybrid Work Index (HWI) [20] and the Impact Grindability Index (PMI) [21]. The HGI was developed for the testing of black coals, which are commonly milled in ball and roller mills. The PMI was developed for low rank coals, which are commonly processed in beater or fan mills. The modified HGI, the HWI and the GC were specifically designed to characterize the grindability of torrefied biomass. A number of boiler makers and mill suppliers also have scaled down coal mills that are employed for test purposes.
All of the current laboratory grindability tests require the preparation of a pre-crushed feed material of a specific particle size. In all cases, the test results provide an assessment of the relative grinding behaviour of the test materials. It may, however, be difficult to extrapolate the data from a laboratory test to provide quantitative information on the behaviour of torrefied biomass pellets in an industrial scale mill.
The aim of the work presented here, which was part of the SECTOR-project (funded under the EU FP7 programme) [9], is to test a grindability method (GM) for torrefied biomass pellets, which is simple, fast and reliable and based on the grinding of pellets rather than pre-crushed material. The method will result in a single parameter: the specific grinding energy (SGE), i.e., the energy consumed when a defined pellet mass (2.5 kg), at a defined mass flow is ground to a particle top size of 1 mm. This parameter, or the basic principles behind it, may eventually become useful to pellet producers and plant operators if grindability is introduced to a standardized product specification of thermally treated biomass, which is currently being drafted in the relevant ISO TC238 working group (as ISO/PRF TS 17225-8 [22]).
The results of the GM, when done with different mill types (hammer, cutting and impact mill), will be compared and their relation to other pellet stability measures such as the modified HGI, mechanical durability and a hardness test will be discussed. Finally, advantages and disadvantages of the different mill types as proper equipment for a standardized method are discussed.

2. Materials and Methods

2.1. Torrefied Biomass Pellets

Five different types of wood, one batch of straw and one batch of forest residue were torrefied at different temperatures and retention time. The raw materials were torrefied at different pilot plants (capacity <200 kg/h) with slightly different technology: willow and forest residue material was torrefied in northern Sweden (conveying screw reactor); the pine, poplar, beech and straw material in Spain (rotating shaft reactor) and the spruce material in the Netherlands (moving bed reactor). All torrefied material was compressed into pellets on site with the available pelletizing technology resulting in two different pellet diameters (6 and 8 mm).
Most relevant fuel characteristics (chemical parameters), pellet characteristics (physical-mechanical parameters) and torrefaction characteristics (temperature and time) were analysed (via one representative sample of each pellet type) according to standard methods (if available) and are presented and discussed in Section 3.1. The degree of torrefaction (TFdgr), for which no standardized method exists yet, was defined here as the reduction in volatile matter content (VM) caused by the torrefaction process, based on dry matter (DM) values, according to Equation (1):
TF dgr = 100 ( VM before ( % DM ) VM after ( % DM ) × 100 )
The pellet length is an average value of 20 randomly sampled pellets from the bulk as was required for the method described in Section 2.2.

2.2. Hardness Test

The hardness (also compressive resistance) is defined as the resistance to fracture of the pellets and is supposed to help characterize the pellets regarding their stability during e.g., storage or handling [23]. The pellet hardness values were measured using a Pellet Hardness Tester with display and PC interface (Amandus Kahl GmbH, Reinbek, Germany) which was designed for single pellets with Ø = 3–14 mm. In this test, the pellet rests in a flat position on an anvil and is stressed by a plunger with a flat tip with a diameter of 5 mm (see Figure S1).
In order to achieve a representative value, the following procedure was applied: At first 20 pellets were randomly selected and the average length (Lavg) was determined (data shown in Section 3.1). Based on the Lavg another 20 pellets in the range of Lavg ± 2 mm were selected. These 20 pellets were the actual pellets being individually placed on the anvil of the Hardness Tester. Each pellet was exposed to the plunger pressing into the pellets with a speed of 5 mm/min and the increase in force (given in N) was recorded (with 100 values per second). The actual hardness value is the maximum value of N, which occurs right before the pellet fractures and a sudden decline in N is observed. From each set of 20 hardness values the min and max value was removed to smooth the distribution and an adjusted mean value was calculated (see results in Section 3.2).

2.3. Modified Hardgrove Index

The standard procedure is described in ISO 5074 [18]. A specialized ball mill apparatus (BM) is calibrated using reference coals with known HGI values. A defined mass of coal (50 g) with a specific particle size range (1.18 and 0.6 mm) is then ground and sieved, and the mass fraction of the particles passing through the 75-µm sieve is determined. From this value the HGI is calculated. The lower the HGI value the harder and less grindable the material is.
Bridgeman et al. [16] recognized that this method needs to be adapted for biomass because the volumes of biomass and coals differ significantly receiving the same grinding energy in the mill [24,25] and results will thus not be comparable. Instead of using a defined mass the modified HGI (mHGI) requires a defined volume (50 cm³) of the substrate to be ground. Thus, the torrefied biomass pellets were pre-crushed and sieved according to ISO 5074 and treated following the method laid out by Bridgeman et al. [16] with an initial calibration of the mill using four standard coals with known HGI values. Mean values of the duplicates were calculated and are used for further discussion in this study.

2.4. Specific Grinding Energy

2.4.1. Experimental Setup

The experimental set-up to estimate the SGE consisted of the following equipment: (i) mill; (ii) feeding unit; and (iii) power measuring device.
Three common laboratory mill types for grinding of biomass where chosen each imposing a different kind of stress on the material (see pictures of the mill interior in Figure S2). In the cutting mill (CM: Pulverisette 19, FRITSCH GmbH, Idar-Oberstein, Germany), the material is predominantly cut by the blades, while, in the hammer mill (HM: CHM 230, NETZSCH GmbH, Selb, Germany), the flexible hammer elements crush the material. The impact mill (IM: Rekord A, Jehmlich GmbH, Nossen, Germany) has neither cutting elements nor flexible elements, and the grinding is caused by the specific geometry of a disc (grinding ring) rotating in the chamber. For each mill an outlet sieve with mesh size Ø = 1 mm is used. For tests with HM and IM a round-hole sieve is used and for the CM a sieve with trapezoidal meshes is used. All mills are constructed for grinding soft to medium-hard or fibrous biogenic feedstock. The technical specifications are summarized in Table 1.
In order to feed the pellets at a uniform mass flow into the mill a screw feeder (GLD 87, Gericke AG, Regensdorf, Switzerland) was used. On average the feeder was operated with 16.2 (HM) and 16.7 Hz (IM, and CM) realizing a comparable pellet mass flow between the different sets of experiments. However, due to the difference in bulk density, length and diameter individual feeding rates were estimated for the different pellet types, which could vary between 10 and 21.2 Hz (see Table 1).
A clamp meter (345 PQ, Fluke Corporation, Everett, WA, USA) was used as the power measuring device and set to record one value per second.

2.4.2. Procedure

Prior to the actual measurements the following preparatory measures were taken: the fines of the pellets were screened with a 3.15 mm round-hole sieve (according to EN 15149-1); a 2.5 kg sample (with moisture as received) was prepared for the measurement; the feeder was adjusted to the previously estimated setting; the power measuring device was installed directly at the power supply line of the mill; and the mill was equipped with 1 mm mesh.
A full recording cycle (see Figure S3) was comprised of: a mill idling period of at least 2 min, during which the idle power consumption of the mill running empty was recorded; the actual milling period; and a second idle period of at least 2 min after no more material fell through the sieve.
The ground material was weighed to check on whether grinding was complete. The whole procedure was repeated at least once for each pellet type.

2.4.3. Calculating the Specific Grinding Energy

The determination of SGE involves the measurement of the idling power before grinding (PI1), the total active power during milling process (Ptotal), the idling power after the grinding (PI2), the actual duration of the grinding (tG) and the mass of material that was ground (mG). Preliminary tests showed that differences between PI1 and PI2 might occur; hence, both values are necessary. In order to make the measurement comparable across all samples it was decided to define tG as the time when Ptotal is at a stable plateau. Even though minimal grinding takes place before and after that (grey areas in Figure S3), it was found to be the simplest and most representative way of reading the Ptotal from the power curve.
As Ptotal is the sum of the power applied for grinding and the idle power the actual power needed just for the grinding (PG) is calculated by subtracting the averaged idle powers of PI1 and PI2 (PI) from Ptotal.
The average idle power PI (in W):
P I = P I 1 + P I 2 2
The power needed for grinding the pellets PG (in W):
P G = P total P I
By multiplying PG with tG (in h) the grinding energy (EG, in Wh) is calculated:
E G = P G · t G
Finally, SGE (in Wh/kg) is defined as:
SGE = E G m G

2.5. Particle Size Distributions

For the comparison of the three mill types and their grinding performance, the particle size distributions (PSD) were obtained after sieving the ground material according to DIN EN 15149-2 with sieve mesh size of 3.15, 2.00, 1.00, 0.71, 0.50, 0.40, 0.25, 0.16, 0.10 and 0.063 mm. The data points used for the distribution curves refer to the cumulative mass which was observed under the respective mesh size, e.g., the mass obtained at a particle size value of 0.40 mm are all the particles that fell through the sieves with mesh size 0.40 mm and under.
A representative particle size value for which 10%, 50% and 90% of the mass are accumulated (x10, x50, x90) can be calculating from: (i) the upper (Xu) and the lower (Xl) size class value (in mm) between which the respective particle size value is to be expected, (ii) the mass percentage (%) under each of the two size class (Qu and Ql) and (iii) the ratio (R) between (Qu − Ql) and (Xu − Xl). The following equations were used:
R = Q u Q l X u X l
x 90 = X l + 90 Q u R
x 50 = X l + 50 Q u R
x 10 = X l + 10 Q u R
The difference between x90 and x10 is defined here as the width of the PSD curve and used in Section 3.4 to discuss the characteristics of the distribution curves. The full dataset, however, can be found in Table S1 of the Supplementary Materials.

3. Results and Discussion

3.1. General Fuel Charactersitic of the Torrefied Biomass Pellets

The seven different biomass materials all underwent slightly different torrefaction conditions with a TFtemp range between 260 °C and 308 °C while the residence time of the biomass in the reactor varied between 9 and 30 min (see Table 2). In order to compare the relative change of the material caused by torrefaction, the change in volatile content was chosen as TFdgr, which, in this case, ranged between 6 and 9% DM. Regarding the HHV, which is increased during torrefaction, values found by other torrefaction studies were in some cases similar to what was obtained in this study and in other cases not. Gucho et al. [26] for example found torrefied beech wood both at 260 °C and at 280 °C for 30 min and the mean HHV between the two is the same as the value obtained here for 30 min at 270 °C. Phanphanich and Mani [27] on the other hand torrefied pine chips at 300 °C for 30 min and obtained a HHV of 25.4 MJ/kg, much higher than the 21.9 MJ/kg observed here. However, both studies torrefied on lab scale in batch reactors and it is known from studies on biomass pyrolysis that particles size and sample size, let alone the reactor type, will have an impact on the product [28]. Reports on increasing HHV with increasing intensity of torrefaction when using pilot scale plants are available and support the findings here [29,30].
Specific requirements for chemical and physical-mechanical characteristic of the pellets made from thermally treated are currently finalized in a technical specification (TS) on international level as ISO/PRF TS 17225-8 [22]. Once finalized, ISO/PRF TS 17225-8 will have an outline much like the ISO 17225-2 [31] for pellets made from wood or ISO 17225-6 [32] for pellets made from non-woody biomass. However, as the market of thermally treated biomass is still developing a TS will serve as a placeholder until a full standard can be agreed upon. The main categorization in this TS is between woody biomass of energy content (HHV) below or above 21 MJ/kg DM. Again, there is a differentiation in woody and non-woody biomass and three respective quality classes, however, for non-woody biomass, the 21 MJ/kg DM threshold does not exist. In order to produce a fuel that is above or below 21 MJ/kg DM, the torrefaction plant operators will have to decide how they run their reactor accordingly. In case of this study, which took place before the conception of this TS, almost all woody fuels are above 21 MJ/kg DM (except for the beech pellets) which is why the requirements for bulk density, durability, moisture and ash will be discussed based on the thresholds that apply to that category. None of the here investigated woody biomass pellets could meet the criteria for the highest quality class. Even the second highest class, which requires bulk density to be >650 kg/m3, durability to be >96%, moisture to be <8% water content, and ash to be <3%, could only be met by spruce pellets (see Table 2). However, bulk density, durability, and moisture of the pellets are all parameters that are a result of pelletizing process while the HHV is a result of the torrefaction process. Creating standardized high quality fuel pellet will only be a problem when ash content of the input material is already high as it will only be increased during torrefaction. The straw pellets produced here were able to meet many of the requirements for the highest quality class of pellets made from thermally treated non-woody biomass such as bulk density (>600 kg/m3), durability (>97.5%, see optimization of durability in [9]) and ash content (<5%). However, the S content was posing a problem as it was above the threshold of 0.05% for the highest quality class. In addition, the moisture was slightly above the threshold of 10%, which is no major challenge and can be adjusted either during pelletizing or through subsequent drying. The S content, however, is much like the ash content a parameter that needs to be controlled in the raw material as the torrefaction will not help reduce it. In general, a non-woody biomass pellet to fall into the thermally treated biomass standard not only needs to be thermally treated but should also have a minimum HHV of 18 MJ/kg DM for the highest quality class.

3.2. Hardness and Modefied Hardgrove Index of the Torrefied Biomass Pellets

Beyond the standard characteristics, which are prescribed in the respective ISO standards, the quality of the pellets may also be described by other relevant properties e.g., resistance to fracture or grindability. In this study, hardness was chosen as a parameter that may bridge the gap between the information obtained from the mechanical durability test (ISO 17831-1) to the actual grindability using a laboratory mill. In addition, the hardness test may also help understand the unintended grinding which happens when pellets are being fed, e.g., using a screw feeder. This, however, was not focus of this study.
The average hardness of the different pellets types was very different with 96 N for forest residue pellets and 496 N for spruce pellets (Table 3). This variation is partly reflected by the differences in torrefaction conditions with forest residue being exposed to the highest and spruce being exposed to the lowest TFtemp. This may be explained by the removal of hydrogen bonding sites, depolymerisation and the destruction of the fibrous structure (less interlocking bonds) with increased degree of torrefaction. The high standard deviation, which is observed when recording the pellet hardness across 20 pellets, as proposed here, may reflect the inhomogeneity of the torrefied material leading to different structural bonds in the pellets. In order to produce torrefied pellets with high durability and a respective hardness, application of steam and water prior to densification may be crucial to help plasticize the material and reduce the softening temperature of the remaining lignin [9].
In literature only one study could be found reporting the hardness of torrefied biomass pellets measured via the Kahl Hardness Tester [30], while Li et al. [33] compared the Meyer hardness of torrefied wood pellets which in addition to the force also includes the indentation depth and the surface area the force is applied to. Li et al. [33] found that the higher the severity of the torrefaction the lower the hardness of the pellets was. This is in line with the findings of this study.
Regarding a comparison with standardized Hardgrove coals by applying the modified HGI method, forest residue and straw had the highest value (HGI = 55) which reflects a low energy input, better grindability and potentially a higher throughput while spruce and beech had the lowest HGI values (HGI = 25 and 21 respectively) being not so favourable for grinding. Similar to the method used here with 50 cm3 samples, Shang et al. [34] investigated the HGI of torrefied wheat straw at different TFtemp with a residence time much higher (2 h) than any of the TFtime used here. The HGI of the pellets made from straw torrefied at 270 °C for 30 min analysed here (HGI = 55) is therefore slightly below the value observed by Shang et al. [34] for straw torrefied at 250 °C for 2 h (HGI ≈ 60). Bridgeman et al. [16] measured the modified HGI of torrefied willow and found values between 24 and 51 mainly depending on the difference in TFtime (10 vs. 60 min) while the TFtemp was in both cases at 290 °C. The pellets from torrefied willow analysed here had a HGI of 34 which is between the two HGIs measured by Bridgeman et al. [16] probably due to a higher TFtemp (308 °C) at similar TFtime (9 min). Interestingly, the results obtained by Bridgeman et al. [16] and Shang et al. [34] compare well to the results obtained here even though the torrefaction in these two studies was done in lab-scale reactors as compared to the pilot-scale torrefaction which might affect homogeneity of the product.
No evident correlation could be observed between mHGI and the hardness. This is to be expected as the hardness test gives an information on the resistance of the pellet to fracture while the mHGI is measured on the pre-ground pellet (<1.18 mm) and therefore reflects the characteristics of those particles. The hardness test is more similar to the durability test which is supported by a correlation between the two parameters of R2 = 0.72. Durability and HGI values are also not correlated.

3.3. Performance of the Mills and Specific Grinding Energy

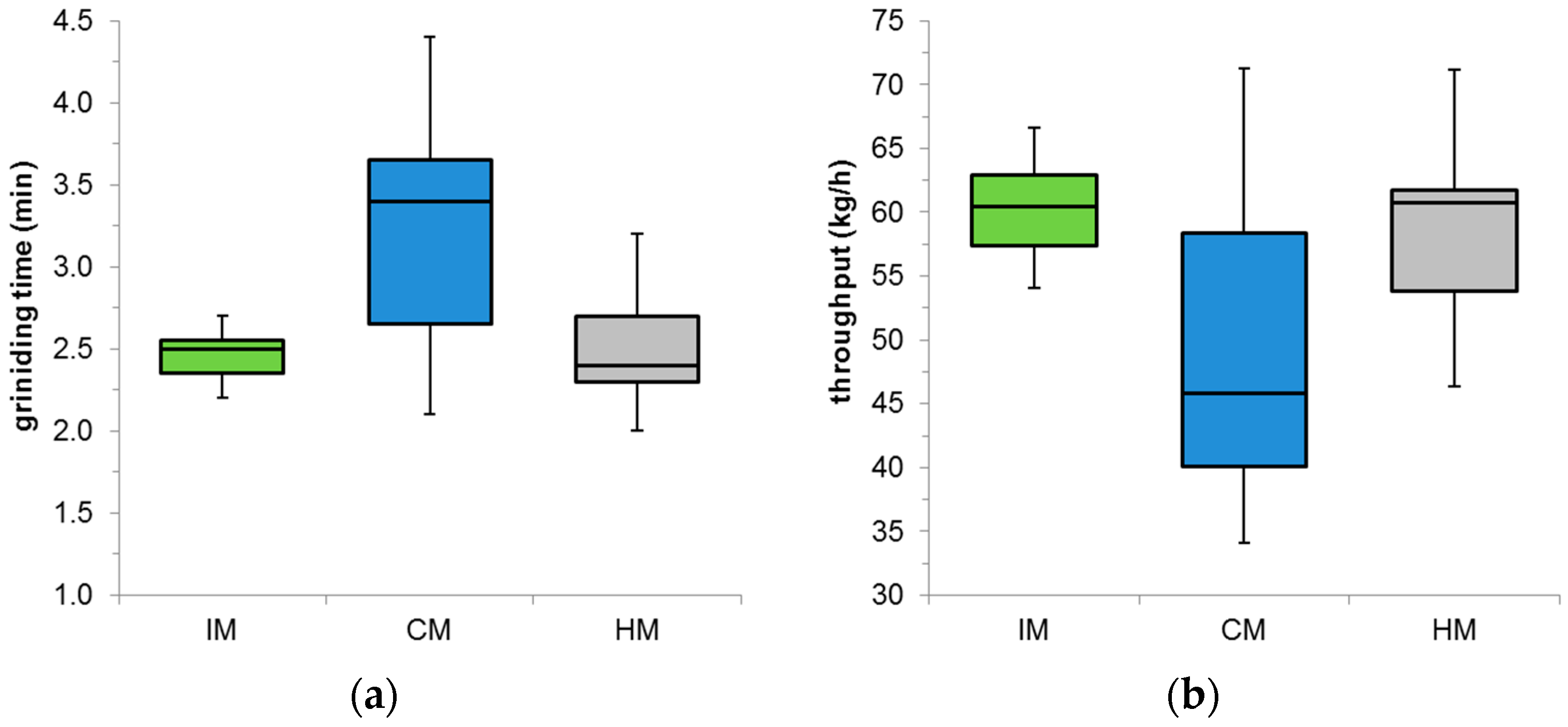
The range in time required to grind 2.5 kg of pellets using a 1 mm sieve varied between the different mills (Figure 1a). The smallest variation was observed for pellets ground with the IM (2.3–2.7 min) while for the CM the range was between 2.1 and 4.4 min. The type of pellet requiring the longest (tmax) or shortest time (tmin) to be ground was never the same between the mills (IM: tmax = poplar, tmin = beech; CM: tmax = straw, tmin = willow; HM: tmax = forest residue, tmin = pine) highlighting that different grinding forces are at work. For IM and HM, the grinding time was independent of mHGI, hardness or durability of the pellets (all R2 < 0.01). However, the grinding time in the CM was showing signs of dependency on hardness (R2 = 0.50) and a strong correlation (R2 = 0.79) with durability. The fact that IM takes the least time for crushing the pellets below 1 mm is largely due to its capacity. As by construction the impact mill is designed for the highest throughput and operating at higher rotor speed than the other two mills. Given the procedure chosen in this study (2.5 kg input material) the IM was not operating at full capacity.
Regarding the throughput of the mills (Figure 1b), which by definition is dependent on the grinding time, smallest variation was observed for IM and HM while CM had a wide range (34.1–71.3 kg/h). Since low grinding time leads to a high throughput, the pattern of pellet specific throughput per mill is the reverse pattern of pellet specific grinding time mentioned above.
How the different torrefied biomass pellets resulted in different SGEs can be seen in Figure 2. The mean SGE observed for CM and HM were about the same at 5.15–5.24 Wh/kg while the mean SGE of the IM was substantially higher with 8.23 Wh/kg. Again, this reflects the similar technical specifications of both CM and HM in terms of throughput and rotor speed, which is much different from the IM. More interesting, however, is the way the different mills performed with the respective pellets. The commonality between all three mills was that forest residue pellets required the least and straw the most energy for grinding. In addition, all three mills were able to grind forest residue, willow and pine well below the average SGE consumption while in addition to straw poplar and spruce and beech (except for the CM) required above average SGE. This pattern is in line with several physical-mechanical characteristics of the pellets. Forest residue, willow and pine have much lower hardness (96–125 N) and durability (87.7%–90.3%) and higher TFTEMP (300–308 °C) than the other pellet types (hardness: 206–496 N; durability: 94.5%–97.9%; TFTEMP: 260–280 °C).
Current literature does not allow a good classification of the results obtained here as in other studies other parameters were the centre of focus when reporting grinding energy. However, a closer look at other studies recording grinding energy may still give further insights into the results obtained here. Phanphanich and Mani [27], for example, showed a dramatic decrease in grinding energy between untreated wood chips (237 Wh/kg; at water content of 7%) and torrefied wood chips (as low as 23 Wh/kg) using a laboratory cutting mill (1.5 kW, mesh size 1.5 mm) and found a strong linear correlation with torrefaction temperature. Temmerman et al. found similar values for grinding energy of wood chips (162 Wh/kg, at water content of 5%–10%) as Phanphanich and Mani [27] using a laboratory hammer mill (1.1 kW, mesh size 2 mm), while regular wood pellets consumed energies much closer to the ones measured here for torrefied wood pellets (on average 11.4 Wh/kg; water content of 5%–10%). This may be explained by the fact that grinding pellets often is a disintegration of the pellets back into the particles they were made of. Hence, the difference in grinding energy between pellets from untreated material and torrefied material will be much smaller than between, e.g., wood chips and pellets. However, whether the grindability of untreated and torrefied material or non-torrefied and torrefied pellets are compared, increasing the degree of torrefaction should result in lower SGE. Shang et al. [35] reported an exponential decrease of the grinding energy for pine pellets exposed to increasingly higher torrefaction temperatures when using a coffee grinder as laboratory mill (0.55 kW; similar grinding forces as the IM). However, a comparison between the grindability of torrefied pellets and pellets from torrefied material may only partly apply (see discussion on bonding mechanisms during densification in Section 3.2).
The fact that pellets from torrefied material require a much lower grinding energy is one of the economic advantages of torrefaction as it will save energy during the final grinding for injecting the biomass powder into the boiler. However, the possible difference that may occur between different laboratory mill types, as shown here, may only partly be relevant for power plant operators since existing technology may not be replaced for new technology due to high investment costs. However, the results shown here could help identify the most appropriate mill type for a standardized methodology to assess grindability of regular and thermally-treated biomass pellets. The SGEs observed in the IM, for example, are much more distinct for the different pellet types than the values observed with the HM where poplar, spruce, beech and straw only differ minimally.

3.4. Particle Size Distributions after Grinding

In addition to the SGE, the cumulative PSD curves (Figure 3) were compared to assess the impact of the mills on the material and to check whether a particular mill type might prove more suitable for use in a standardized methodology in relation to, e.g., co-combustion requirements.
As can be seen in Figure 3, each mill yields a uniquely shaped distribution curve, which is similar for all materials ground with that mill. In the current literature, a comparison of PSD curves between different lab-size mills and their performance with torrefied pellets is missing. Some studies, however, may be helpful to further understand the results shown here. Phanphanich and Mani [27], for example, produced cumulative PSDs of two materials (pine chips and logging residue) with different degrees of torrefaction which were ground in a lab-size cutting mill. The resultant PSD curve showed a linear increase—much like the one in this study for the untreated materials (Figure 3b)—where it can be seen that as the severity of the torrefaction increased the incline of the curve was more pronounced at <0.25 mm before it started declining (at >0.25 mm). However, it is difficult comparing the grindability of wood chips with the grindability of pellets. Thrän et al. [9] showed that pellets from torrefied spruce were mostly disintegrated back to the particle sizes before densification. The disintegration of non-densified material is of course very different and may depend even more on the mill type. However, when looking at the three different mill types and their respective PSD curves it becomes clear that the pellets were not just disintegrated but fractioned differently. Especially the PSD curves of the IM (Figure 3a) had a unique characteristic with a slow incline up until 0.2 mm followed by a strong incline between 0.2 and 0.5 mm and phasing out thereafter. For both CM and HM the incline is steady up until 0.7 mm before the curves phase out (with the exception of forest residue in the HM). Bridgman et al. [16] showed cumulative PSD curves for two energy crops (willow and miscanthus) which where torrefied and ground in a roller-ball mill designed for the HGI test and they had very different characteristics than the curves of the three mills used here. Interestingly, in their study, all degrees of torrefaction of miscanthus resulted in curves similar to the ones from the HGI coals while the raw material yielded an entirely different curve. However, in the case of willow, only the PSD curve of the most severely torrefied sample showed the same pattern as all the standard coal curves. Despite the differences in mills, the PSD curves obtained by their study do not compare well with the result obtained here as they show the grindability of pre-ground material (as required by the HGI procedure) while here whole pellets were used. Only during the investigation of the mHGI of the seven pellet (when using a ball mill after pre-grinding the pellets) their findings (PSD curve of torrefied willow) could be confirmed (see Figure S4).
Regarding the grinding performance and suitability of the PSD for co-combustion application Thrän et al. [9] investigated the co-milling of torrefied pellets with coal in a bowl mill (400 kg/h at medium load, vertical rollers) at different mixture rates. When the share of torrefied pellets in the mixture was high (58.5%) 90% of the ground material had a particle size below 0.6 mm while at a lower share of torrefied pellets (32%) the main particle size fraction dropped below 0.2 mm. In comparison to the mills used here, only the IM can achieve similar results with most of the seven feedstocks resulting in 90% of the ground mass to be below 0.6 mm.
To assess the suitability of the mills to test grindability in a standardized way for an application in co-combustion process the distribution widths of the PSD curves were compared. The average distribution width (Figure 4) across all input materials was narrowest for the IM (0.41 mm), followed by the HM (0.51 mm) and the CM (0.62 mm). However, the IM had the largest variation in feedstock-based distribution width ranging from 0.33 mm all the way to 0.52 mm. Both HM (0.41–0.56 mm) and CM (0.57–0.69 mm) had more even distribution widths across the different feedstock. Looking back at the distribution curves again (Figure 3), it becomes obvious that the variation in the curves from the IM happened in the particle range of >0.3 mm, while the variation observed in the other two mills was more or less consistent along the particle size scale. The distribution curves of HM, on the other hand, had one strong outlier (forest residue) compared to the other mills. However, in all mills the distribution width was below average when grinding forest residue material, which is also in line with the low SGE required to grind this type of pellet in all mills. Along the same line, straw resulted in the largest distribution width in all mills (curve for straw in HM is missing from the data) as suggested by the SGE. However, a modest linear correlation of the SGEs and the respective distribution width could be observed for the CM (R2 = 0.65) and the IM (R2 = 0.47) while the HM had only weak correlations (R2 = 0.27). Thus, for CM and IM it can be concluded that pellets from torrefied material, which generally require lower SGEs, also will be ground with narrower distribution widths. The fact that the IM not only has the narrowest distribution width but also the lowest values for x90 (0.53 mm, average across all seven pellet types; see Table S1) makes it a more ideal lab-mill for producing particles favourable in co-combustion settings.

3.5. Specific Grinding Energy versus Other Methods

To assess whether the SGE is a parameter that can stand alone or is better complemented with another parameter the SGE values were correlated to the three relevant grindability parameters analysed here. The SGE was found to be in a positive linear relation with the durability of the pellets and the pellet hardness (Table 4). However, only the correlation with the durability is of strong enough significance (R2 = 0.86 for both IM and HM) that one could argue that SGE is partly reproducing that information. All correlations of SGE with the modified HGI were weaker (R2 ≤ 0.77) than the correlation between durability and SGE. The correlations between mHGI and SGE were all negative, as a lower value mHGI will imply higher energy requirement for grinding. The correlations of SGE with hardness were all of insignificant strength.
Looking at the close correlation between SGE and durability it might be advisable to combine SGE values with a PSD parameter such as the distribution width to help detangle it from durability and give a unique insight into the co-combustion characteristics of the torrefied biomass pellets.

3.6. Adjustments of the Grindablity Method for Reliable Performance

For a standardized method, it is essential for the equipment used to perform reliably and a procedure that ensures high repeatability and reproducibility of the results obtained. For the proposed GM and the values it will yield, it is necessary to not only define the type of mill but also to adjust some parameters, e.g., the feeding rate. This will require a round robin test of the methodology across different laboratories all using the same equipment.
In terms of choosing the right mill technology for a standardized method, the transferability of the results to plant operator scenarios is the main focus. As plant operators will try to use their existing equipment (in most cases ball, roller or impact mills) and adapt it to the new biomass, a CM seems to be an unlikely choice. Another disadvantageous feature of a CM, also in terms of repeatability and reproducibility of laboratory results, are the knives, which tend to become dull and thereby bias the results (e.g., the sharpness of the knives used here could not be quantified). A HM on the other hand may pose the challenge of proper adjustment of the hammers so that results will be repeatable and reproducible, which, however, is less of a challenge than what the CM poses. IM seem to be the easiest to handle and adjust and yielded the most promising PSD curves and distinct SGE values amongst the three mills. Results from a mill like Thrän et al. [9] used in there study may be even more valuable to plant operators yet it is not applicable for a lab standard given its capacity (double that of the IM) and respective investment cost. As the IM used here is still relatively large for lab application, it might be advisable to also do an investigation on the performance of a small-scale disc-grinding system as was used by Shang et al [35].

4. Conclusions

The proposed method for assessing the specific grinding energy of torrefied biomass pellets is a promising tool that could allow further characterization of torrefied pellets beyond the existing physical-mechanical and chemical parameters already being measured. The method itself is simple enough to be conducted by specialized laboratories and pellet producers alike without great investment cost or training. Even though the impact mill seems to have the most promising features and results, further investigations could be necessary to decide whether the results obtained by this mill type represent the characteristics most relevant to plant operators. To increase the impact of the newly introduced parameter (SGE), it would also be necessary for plant operators to acquire first-hand experience on how the specific grinding energy values translate into adjustment of their mills on-site. Therefore, if the specific grinding energy is to be used as a quality parameter, it might also be useful to complement the single value information with either a particle size distribution curve or the distribution width as part of the characterization.

Supplementary Materials

The following are available online at www.mdpi.com/1996-1073/9/10/794/s1. Figure S1: Picture of the anvil and plunger used during the hardness test, Figure S2: View of the grinding chamber of each of the three mills used, Figure S3: Typical power curve when recoding the power consumption during grinding, Figure S4: Cumulative particle size distribution obtained when using a ball mill on three selected torrefied biomass pellets and four standardized HGI coals, Table S1: Characteristic values of the particle size distributions obtained by the different mills for the different biomass types.

Acknowledgments

The authors would like to thank the managers of the SECTOR-Project for their organizational skills and the European Union for their funding (The SECTOR-Project has received funding from the European Union’s Seventh Programme for research, technological development and demonstration under grant agreement n° 282826GA). Furthermore, the authors would like to thank the laboratory staff at the Deutsches Biomasseforschungszentrum who did a great load of the practical work for this study.

Author Contributions

Diana Leistner (D.L.), Nadja Weller (N.W.) and Leilani Darvell (L.I.D.) conceived and designed the experiments while Jan Hari Arti Khalsa (J.H.A.K.) and D.L. did most of the data analyses. J.H.A.K. did most of the writing with input from D.L., N.W. and L.I.D. Ben Dooley (B.D.) and L.I.D. were responsible for the HGI measurements while all other parameters were measured under supervision of D.L. The torrefied biomass pellets were a courtesy of the SECTOR-Project with numerous researchers being involved in the production. These researchers are not included in the list of authors yet their contribution is greatly appreciated.

Conflicts of Interest

The authors declare no conflict of interest.

Abbreviations

BMball mill
CMcutting mill
DUdurability
GMgrinding method
HGIhardgrove index
HHVhigher heating value
HMhammer mill
IMimpact mill
PSDparticle size distribution
SGEspecific grinding energy
TFtemptemperature during torrefaction
TFtimeduration of torrefaction
TFdgrdegree of torrefaction
TStechnical specification (ISO terminology)

References

  1. Directive 2009/28/EC of the European Parliament and of the Council on the Promotion of the Use of Energy from Renewable Sources and Amending and Subsequently Repealing Directives 2001/77/EC and 2003/30/EC. Available online: http://www.ecolex.org/details/legislation/directive-200928ec-of-the-european-parliament-and-of-the-council-on-the-promotion-of-the-use-of-energy-from-renewable-sources-and-amending-and-subsequently-repealing-directives-200177ec-and-200330ec-lex-faoc088009/ (accessed on 17 August 2016).
  2. Communication from the Commission to the European Parliament, the Council, the European Economic and Social Committee and the Committee of the Regions Energy Roadmap 2050 /* Com/2011/0885 Final *. Available online: http://eur-lex.europa.eu/legal-content/EN/ALL/?uri=celex%3A52011DC0885 (accessed on 17 August 2016).
  3. Mansour, F.A.; Zuwala, J. An evaluation of biomass co-firing in Europe. Biomass Bioenergy 2010, 34, 620–629. [Google Scholar] [CrossRef]
  4. Sami, M.; Annamalai, K.; Wooldridge, M. Co-firing of coal and biomass fuel blends. Prog. Energy Combust. Sci. 2001, 27, 171–214. [Google Scholar] [CrossRef]
  5. Loo, S.V.; Koppejan, J. The Handbook of Biomass Combustion and Co-Firing; Earthscan: London, UK, 2008. [Google Scholar]
  6. Savolainen, K. Co-firing of biomass in coal-fired utility boilers. Appl. Energy 2003, 74, 369–381. [Google Scholar] [CrossRef]
  7. Tumuluru, J.S.; Sokhansanj, S.; Hess, J.R.; Wright, C.T.; Boardman, R.D. REVIEW: A review on biomass torrefaction process and product properties for energy applications. Ind. Biotechnol. 2011, 7, 384–401. [Google Scholar] [CrossRef]
  8. Chew, J.J.; Doshi, V. Recent advances in biomass pretreatment—Torrefaction fundamentals and technology. Renew. Sustain. Energy Rev. 2011, 15, 4212–4222. [Google Scholar] [CrossRef]
  9. Thrän, D.; Witt, J.; Schaubach, K.; Kiel, J.; Carbo, M.; Maier, J.; Ndibe, C.; Koppejan, J.; Alakangas, E.; Majer, S.; et al. Moving torrefaction towards market introduction—Technical improvements and economic-environmental assessment along the overall torrefaction supply chain through the SECTOR project. Biomass Bioenergy 2016, 89, 184–200. [Google Scholar]
  10. Koppejan, J.; Sokhansanj, S.; Melin, S.; Madrali, S. IEA Bioenergy Task 32 Report-Status Overview of Torrefaction Technologies; Procede Biomass: Enschede, The Netherlands, 2012. [Google Scholar]
  11. Svanberg, M.; Olofsson, I.; Flodén, J.; Nordin, A. Analysing biomass torrefaction supply chain costs. Bioresour. Technol. 2013, 142, 287–296. [Google Scholar] [CrossRef] [PubMed]
  12. Pirraglia, A.; Gonzalez, R.; Saloni, D.; Denig, J. Technical and economic assessment for the production of torrefied ligno-cellulosic biomass pellets in the US. Energy Convers. Manag. 2013, 66, 153–164. [Google Scholar] [CrossRef]
  13. Kleinschmidt, C.P. Overview of International Developments in Torrefaction. Available online: http://w.bioenergytrade.org/downloads/grazkleinschmidtpaper2011.pdf (accessed on 17 August 2016).
  14. Li, J.; Brzdekiewicz, A.; Yang, W.; Blasiak, W. Co-firing based on biomass torrefaction in a pulverized coal boiler with aim of 100% fuel switching. Appl. Energy 2012, 99, 344–354. [Google Scholar] [CrossRef]
  15. Biedermann, F.; Brunner, T.; Mandl, C.; Obernberger, I.; Kanzian, W.; Feldmeier, S.; Schwabl, M.; Hartmann, H.; Turowski, P.; Rist, E.; et al. Production of Solid Sustainable Energy Carriers from Biomass by Means of Torrefaction. Available online: https://sector-project.eu/fileadmin/downloads/deliverables/D7.3_7.4-combustion_behaviour__combustion_screening_and_fuel_assessment_Bios__final.pdf (accessed on 1 August 2016).
  16. Bridgeman, T.G.; Jones, J.M.; Williams, A.; Waldron, D.J. An investigation of the grindability of two torrefied energy crops. Fuel 2010, 89, 3911–3918. [Google Scholar] [CrossRef]
  17. Sligar, J. ACARP the Hardgrove Grindability Index; ACARP Report I. No. 5; ACARP: Brisbane, QLD, Australia, 1998. [Google Scholar]
  18. ISO 5074. Hard coal-Determination of Hardgrove Grindability Index; International Organization for Standardization: Geneva, Switzerland, 1994.
  19. Repellin, V.; Govin, A.; Rolland, M.; Guyonnet, R. Energy requirement for fine grinding of torrefied wood. Biomass Bioenergy 2010, 34, 923–930. [Google Scholar] [CrossRef]
  20. Essendelft, D.T.; Zhou, X.; Kang, B.S.J. Grindability determination of torrefied biomass materials using the Hybrid Work Index. Fuel 2013, 105, 103–111. [Google Scholar] [CrossRef]
  21. Impact Grindability Index PMI; VGB PowerTech: Essen, Germany, 2009.
  22. ISO/PRF TS 17225-8. Solid Biofuels-Fuel Specifications and Classes-Part 8: Graded Thermally Treated and Densified Biomass Fuels; International Organization for Standardization: Geneva, Switzerland, 2016.
  23. Kaliyan, N.; Morey, R. Factors affecting strength and durability of densified biomass products. Biomass Bioenergy 2009, 33, 337–359. [Google Scholar] [CrossRef]
  24. Joshi, N.R. Relative grindability of bituminous coals on volume basis. Fuel 1979, 58, 477–478. [Google Scholar] [CrossRef]
  25. Agus, F.; Waters, P.L. Determination of the grindability of coals, shales and other minerals by a modified Hardgrove-machine method. Fuel 1971, 50, 405–431. [Google Scholar] [CrossRef]
  26. Gucho, E.M.; Shahzad, K.; Bramer, E.A.; Akhtar, N.A.; Brem, G. Experimental study on dry torrefaction of beech wood and miscanthus. Energies 2015, 8, 3903–3923. [Google Scholar] [CrossRef]
  27. Phanphanich, M.; Mani, S. Impact of torrefaction on the grindability and fuel characteristics of forest biomass. Bioresour. Technol. 2011, 102, 1246–1253. [Google Scholar] [CrossRef] [PubMed]
  28. Wang, L.; Skreiberg, Ø.; Gronli, M.; Specht, G.P.; Antal, M.J. Is elevated pressure required to achieve a high fixed-carbon yield of charcoal from biomass? Part 2: The importance of particle size. Energy Fuels 2013, 27, 2146–2156. [Google Scholar] [CrossRef]
  29. Larsson, S.H.; Rudolfsson, M.; Nordwaeger, M.; Olofsson, I.; Samuelsson, R. Effects of moisture content, torrefaction temperature, and die temperature in pilot scale pelletizing of torrefied Norway spruce. Appl. Energy 2013, 102, 827–832. [Google Scholar] [CrossRef]
  30. Järvinen, T.; Agar, D. Experimentally determined storage and handling properties of fuel pellets made from torrefied whole-tree pine chips, logging residues and beech stem wood. Fuel 2014, 129, 330–339. [Google Scholar] [CrossRef]
  31. ISO 17225-2. Solid Biofuels-Fuel Specifications and Classes-Part 2: Graded Wood Pellets; International Organization for Standardization: Geneva, Switzerland, 2014.
  32. ISO 17225-6. Solid Biofuels-Fuel Specifications and Classes-Part 6: Graded Non-Woody Pellets; International Organization for Standardization: Geneva, Switzerland, 2014.
  33. Li, H.; Liu, X.; Legros, R.; Bi, X.T.; Lim, C.J.; Sokhansanj, S. Pelletization of torrefied sawdust and properties of torrefied pellets. Appl. Energy 2012, 93, 680–685. [Google Scholar] [CrossRef]
  34. Shang, L.; Ahrenfeldt, J.; Holm, J.K.; Sanadi, A.R.; Barsberg, S.; Thomsen, T.; Stelte, W.; Henriksen, U.B. Changes of chemical and mechanical behavior of torrefied wheat straw. Biomass Bioenergy 2012, 40, 63–70. [Google Scholar] [CrossRef]
  35. Shang, L.; Nielsen, N.K.; Dahl, J.; Stelte, W.; Ahrenfeldt, J.; Holm, J.K.; Thomsen, T.; Henriksen, U.B. Quality effects caused by torrefaction of pellets made from Scots pine. Fuel Process. Technol. 2012, 101, 23–28. [Google Scholar] [CrossRef]
Figure 1. Boxplot for each mill type showing: (a) The pellet specific grinding time (tG); (b) The pellets specific throughput. Boxplot shows min and max values (error bars) as well as the 1st and 3rd quartile and the median.
Figure 1. Boxplot for each mill type showing: (a) The pellet specific grinding time (tG); (b) The pellets specific throughput. Boxplot shows min and max values (error bars) as well as the 1st and 3rd quartile and the median.
Figure 2. Specific grinding energy obtained by applying the evolved grindability method to the respective torrefied biomass pellets using three different mill types: impact mill (IM), cutting mill (CM) and hammer mill (HM).
Figure 2. Specific grinding energy obtained by applying the evolved grindability method to the respective torrefied biomass pellets using three different mill types: impact mill (IM), cutting mill (CM) and hammer mill (HM).
Figure 3. Cumulative particle size distribution obtained when using: (a) Impact mill; (b) Cutting mill; and (c) Hammer mill on each of the torrefied biomass pellets.
Figure 3. Cumulative particle size distribution obtained when using: (a) Impact mill; (b) Cutting mill; and (c) Hammer mill on each of the torrefied biomass pellets.
Figure 4. Width of each particle size distribution obtained from the seven torrefied biomass pellets when milled with the respective mill type: impact mill (IM), cutting mill (CM) and hammer mill (HM). The mean value across all distribution width values of each mill type is indicated.
Figure 4. Width of each particle size distribution obtained from the seven torrefied biomass pellets when milled with the respective mill type: impact mill (IM), cutting mill (CM) and hammer mill (HM). The mean value across all distribution width values of each mill type is indicated.
Table 1. Technical specification of the mills (as given by the manufacturer) and realized feeding rates of the metering unit given the specific fuel type.
Table 1. Technical specification of the mills (as given by the manufacturer) and realized feeding rates of the metering unit given the specific fuel type.
Technical SpecsImpact Mill (IM)Cutting Mill (CM)Hammer Mill (HM)
Throughputkg/h2006050–100
Rotor speedrpm1200030003600
Engine powerkW7.51.55.5
Feeder Setting
meanHz16.716.716.2
minHz10.010.013.4
maxHz21.221.218.1
Table 2. Torrefaction conditions, fuel characteristics after torrefaction and pellet characteristics of the seven torrefied raw-materials.
Table 2. Torrefaction conditions, fuel characteristics after torrefaction and pellet characteristics of the seven torrefied raw-materials.
ParameterUnitMethod (ISO)Biomass type
Forest ResiduesWillowPinePoplarSpruceBeechStraw
Torrefaction conditions-------
TFtemp°C-308308300280260270270
TFtimemin-993030- *3030
TFdgr% DM-9688667
Fuel characteristics-------
HHVMJ/kg DM1812523.321.221.921.421.520.220.4
Ash% DM181223.12.20.61.50.31.44.5
Volatiles% DM1812367.974.177.176.778.679.372.6
C% DM1694853.651.752.651.150.749.449.0
H% DM169486.56.66.46.45.96.36.8
N% DM169480.60.30.10.10.10.20.6
S% DM169940.0360.0210.0090.0110.0040.0110.075
Cl% DM169940.0050.0010.0010.0050.0020.0030.050
Pellet characteristics-------
Water% FM18134-15.110.56.76.92.27.310.4
Bulk densitykg/m317828679592631610694634727
Mech. durability%17831-189.387.790.394.597.695.797.9
Ømm-8866866
Average lengthmm-10.28.013.017.010.021.022.5
* not recorded.
Table 3. Mean values of the modified Hardgrove index and hardness of the torrefied biomass pellets as well as further statistical information on how the mean values were obtained.
Table 3. Mean values of the modified Hardgrove index and hardness of the torrefied biomass pellets as well as further statistical information on how the mean values were obtained.
ParameterBiomass Type
Forest ResiduesWillowPinePoplarSpruceBeechStraw
mHGI-------
Mean55343628252155
1st run56343627252256
2nd run54343628262054
Hardness (N)-------
AdjustedMean (n = 18)96103125206496275273
sd37223159795248
min526594101329197211
max189140212299642351371
Original Mean (n = 20)98105128205486272273
Table 4. Correlation coefficient (R2) and equation for predicting specific grinding energy (SGE) with either modified Hardgrove Index (mHGI), hardness or durability (DU) depending on the mill type.
Table 4. Correlation coefficient (R2) and equation for predicting specific grinding energy (SGE) with either modified Hardgrove Index (mHGI), hardness or durability (DU) depending on the mill type.
Mill typeSGE (Wh/kg)
x = mHGIR2x = Hardness (N)R2x = DU (%)R2
Cutting mill−0.16x + 10.130.580.01x + 2.460.500.51x − 42.580.79
Impact mill−0.19x + 14.240.700.01x + 5.580.400.59x − 46.800.86
Hammer mill−0.15x + 9.840.770.01x + 2.990.540.43x − 34.860.86

Share and Cite

MDPI and ACS Style

Khalsa, J.H.A.; Leistner, D.; Weller, N.; Darvell, L.I.; Dooley, B. Torrefied Biomass Pellets—Comparing Grindability in Different Laboratory Mills. Energies 2016, 9, 794. https://doi.org/10.3390/en9100794

AMA Style

Khalsa JHA, Leistner D, Weller N, Darvell LI, Dooley B. Torrefied Biomass Pellets—Comparing Grindability in Different Laboratory Mills. Energies. 2016; 9(10):794. https://doi.org/10.3390/en9100794

Chicago/Turabian Style

Khalsa, Jan Hari Arti, Diana Leistner, Nadja Weller, Leilani I. Darvell, and Ben Dooley. 2016. "Torrefied Biomass Pellets—Comparing Grindability in Different Laboratory Mills" Energies 9, no. 10: 794. https://doi.org/10.3390/en9100794

APA Style

Khalsa, J. H. A., Leistner, D., Weller, N., Darvell, L. I., & Dooley, B. (2016). Torrefied Biomass Pellets—Comparing Grindability in Different Laboratory Mills. Energies, 9(10), 794. https://doi.org/10.3390/en9100794

Note that from the first issue of 2016, this journal uses article numbers instead of page numbers. See further details here.

Article Metrics

Back to TopTop