Abstract
We report on studies of an inorganic electrolyte: LiAlCl4 in liquid sulfur dioxide. Concentrated solutions show a very high conductivity when compared with typical electrolytes for lithium ion batteries that are based on organic solvents. Our investigations include conductivity measurements and measurements of transference numbers via nuclear magnetic resonance (NMR) and by a classical direct method, Hittorf’s method. For the use of Hittorf’s method, it is necessary to measure the concentration of the electrolyte in a selected cell compartment before and after electrochemical polarization very precisely. This task was finally performed by potentiometric titration after hydrolysis of the salt. The Haven ratio was determined to estimate the association behavior of this very concentrated electrolyte solution. The measured unusually high transference number of the lithium cation of the studied most concentrated solution, a molten solvate LiAlCl4 × 1.6SO2, makes this electrolyte a promising alternative for lithium ion cells with high power ability.
1. Introduction
An electrolyte suitable for lithium ion batteries (LIBs) must fulfill several requirements to be useful for a secondary battery with high energy and power density as well as fast charging, safe operation and long lifetime [1,2,3]. Thermal, electrochemical and chemical stability and compatibility of all electrolyte components are basic requirements [4,5,6]. Furthermore, sufficient solubility of the salt and a high conductivity of the resulting electrolyte solution are required [4,5]. Other major requests include fast formation of a protecting solid electrolyte interphase (SEI) at the anode [7,8,9] and protection of the aluminum current collector from anodic dissolution [10,11]. Additionally, low costs of the electrolyte and non-toxicity matters for high volume production and consumer application. Currently, the most popular electrolyte for secondary lithium-ion batteries is based on LiPF6 dissolved in a blend of linear and cyclic organic carbonate solvents like dimethyl carbonate (DMC) and ethylene carbonate (EC), respectively [12,13,14]. The salt LiPF6 is a compromise but up to now it fulfills the often contradictory requirements mentioned above in the best way. Due to this situation, the search for better electrolytes for LIBs continues. Currently both, new salts with the commonly used organic solvents, e.g., lithium difluoro(oxalate)-borate in organic carbonates [15,16] as well as solutions of salts based on an inorganic solvent, e.g., LiAlCl4 [4] or LiBr in SO2 [17] are investigated.
The inorganic electrolyte LiAlCl4 in liquid SO2 shows at room temperature an extraordinarily high conductivity of about 70 mS cm−1 [18], by far outperforming a LiPF6/carbonate electrolyte (LiPF6 in EC/DMC 1/1: 10 mS cm−1) [19]. Another advantage is the non-flammability of this electrolyte when compared to LiPF6 in organic solvents. A cell consisting of a LiCoO2-cathode, a lithium anode (plated on nickel substrate) and the inorganic electrolyte LiAlCl4/SO2 is chemically inert towards all cell components and has a cell voltage of 4 V [18,19]. Moreover, several intrinsic properties such as ion association, solvation and ionic transport are of great interest and explain some unusual properties [20,21]. The association constant of LiAlCl4 in liquid sulfur dioxide are very small ranging from 42 dm3 mol−1 at 238.15 K to 354 dm3 mol−1 at 288.15 K despite rather low dielectric permittivity of the solvent [22,23,24]. These values reflecting ion-ion interaction have been determined by conductivity measurements and by evaluation of these data with the low-concentration chemical model established by Barthel et al. [23]. Compared to other salts (e.g., the association constant of LiBr in SO2 is 96,100 dm3 mol−1 at 298 K [24]), this small association constant entails also a high conductivity of concentrated solutions and a small loss of charge carrying lithium ions by ion pair formation. This property and the very high concentration of 6.2 mol L−1of the salt in our transference number determination contribute to this unique fulfillment of some of the requirements as summarized above. The concentration of 6.2 mol L−1 is corresponding to that of a molten solvate of composition LiAlCl4 × 1.6SO2.
The lithium ion transference number is another very important (but rarely determined) parameter for the characterization of lithium ion battery electrolytes. It represents the fraction of current carried by lithium ions and it should be as high as possible. Zugmann et al. [4,25] have published a survey of various methods for determination of transference numbers based on various electrochemical methods, including the potentiostatic polarization method established by Bruce and Vincent [26], the galvanostatic polarization method according to Ma et al. [27], and the electromotive force method proposed by MacInnes and Beattie [28].
The potentiostatic polarization method is often used for solid polymer electrolytes or diluted electrolyte solutions [29]. Several conditions have to be met for this method, including ideal behavior of a binary electrolyte, reversible electrode reactions, and no convection. Compared with other methods, this method is less time-consuming and simple, but not useful for every electrolyte.
The galvanostatic polarization method is a very complex procedure to determine transference numbers. Parameters resulting from three independent measurements have to be combined for evaluating a single transference number, including cell potential after galvanostatic polarization, salt diffusion coefficient, and concentration dependence of the potential difference. This method is very time consuming, but it is suitable for non-ideal, concentrated solutions.
One of the first methods for determining transference numbers is the method established by Hittorf in 1853 [30]. With this method the quantity of migrated ions can be determined directly. The cell setup consists of a glass tube divided into at least three compartments and two electrodes for polarization with constant current. The transference number is obtained by determining the concentration difference evolved in the anodic and cathodic compartment. It has been determined in aqueous solutions by spectroscopic methods [31], conductometry [32,33,34], titration [35,36,37,38] and weighting [39,40].
Hittorf’s method was applied by us to determine the transference number of this concentrated solution (LiAlCl4 × 1.6SO2) as other methods cannot be applied for this electrolyte. The highly conductive electrolyte allows a realistic cell design, reversible lithium electrodes can be used and the determination of compartment’s concentrations are very precise. Moisture sensitivity was utilized to fully hydrolyze the salt yielding four chloride ions from one tetrachloroaluminate ion. Subsequent concentration determination by potentiometric titration of the dissolved chloride ions with AgNO3 is the method of choice used here. This method enhances the accuracy of the concentration determination by an amplification factor of at least four when compared to other methods, e.g., inductively coupled plasma-optical emission spectrometry (ICP-OES).
The transference number can also be determined by measuring the diffusion coefficient with nuclear magnetic resonance (NMR) spectroscopy if some precautions are taken into account [25,41,42]. This method is no electrochemical method and cannot distinguish free ions from ion pairs. In concentrated solutions this transference number can differ dramatically from transference numbers obtained by electrochemical methods and may even show erroneous concentration dependence [25].
As the association of this electrolyte (LiAlCl4 in liquid SO2) is rather small, the electrolyte was investigated with NMR-based diffusion measurements to determine the transference number and the Haven ratio ΛEC/ΛNMR, as well. This approach allows for an estimation of the association of ions based on the divergence of electrochemical and NMR-based ionic conductivities. The NMR-based diffusion measurement technique can also be applied for measuring transference numbers of and in ionic liquids [43,44].
2. Results and Discussion
The cationic transference number t+ is the ratio of charge carried by Li+-ions and the total ionic charge passing the cell during the measurement time. The evolved concentration difference in the anodic and cathodic compartment is caused by electrode processes (plating and stripping of Li [45]) and by ion transport to sustain electroneutrality in the solution. If the chemical reaction is well known and no side reactions occur, the cationic transference number can be determined via the working equation according to Steel et al. [32]:
where F is the Faraday constant; z is the formal charge; Δc is the difference between concentration of anodic compartment and electrolyte’s initial concentration; V is the volume of the electrolyte in the anodic compartment; and Q is the charge passed via the cell during the measurement, respectively.
The concentration of the electrolyte was determined by potentiometric titration with AgNO3 after full hydrolysis of the electrolyte (see Figure 1). Equations (2) and (3) result in Equation (4) which contains all measurable quantities, where is the density of the electrolyte; is the mass of hydrolyzed electrolyte in anodic/middle compartment; is the amount of chloride determined by potentiometric titration; mwater is the mass of water used for hydrolysis; and mtit is the mass of titrand used for potentiometric titration:
Figure 1.
Typical titration graph, potential E vs. volume of the consumed silver salt solution.
Figure 1.
Typical titration graph, potential E vs. volume of the consumed silver salt solution.

This procedure results in an accuracy of concentration of about 0.01 mol L−1 a fact that is essential for reasonable transference number values.
Another very important parameter to obtain small error values is the very precise determination of density. The accuracy and repeatability of the density measurement was better than 0.0002 g cm−1. In Figure 2, density data of several runs are correlated to the concentration of the electrolyte determined by potentiometric titration. This correlation allows linear fitting in the concentration range from 6.20 to 6.45 mol L−1 (σ = 0.0096).
Figure 2.
Concentration vs. density of LiAlCl4 × nSO2 in the concentration range 6.20–6.45 mol L−1.
Figure 2.
Concentration vs. density of LiAlCl4 × nSO2 in the concentration range 6.20–6.45 mol L−1.

The results of Hittorf measurements are given in Table 1. During measurement the applied current was I = 25 mA and the temperature was T = 298.10 ± 0.05 K and 298.30 ± 0.05 K, respectively. V is the volume of the compartment/sample; Q is the total charge passing the cell during the experiment; and t+ is the transference number referring to the initial concentration of the electrolyte. Despite several precautions, some convection and salt exchange from the anodic to the middle compartment could not be avoided completely. To correct this, the increase of concentration in the middle compartment was assigned to the quantity of the anodic compartment. This correction results in the transference number .
Table 1.
Results of Hittorf measurements.
| Sample | V/mL | /g cm−3 | /mol L−1 | Q/A s | t+ | |
|---|---|---|---|---|---|---|
| Electrolyte | 3.3350 | 1.71965 | 6.194 | 1665 | 0.69 ± 0.03 | 0.59 ± 0.07 |
| Anodic compartment | 21.9024 | 1.72320 | 6.441 | |||
| Middle compartment | 24.2503 | 1.72039 | 6.261 | |||
| Electrolyte | 4.5914 | 1.71930 | 6.201 | 1877 | 0.74 ± 0.03 | 0.59 ± 0.07 |
| Anodic compartment | 21.3192 | 1.72338 | 6.440 | |||
| Middle compartment | 23.3370 | 1.72164 | 6.330 |
The uncertainty of the concentration [Equation (4)] was calculated by the appropriate error propagation law as follows:
The estimated maximum errors are: : 0.001 mmol (resulting from reading accuracy of the buret); : 0.0002 g cm−1; : 0.01 g and = 0.001 g.
Taking into account all uncertainties, the cationic transference number t+ of LiAlCl4 × 1.6SO2 is 0.59 ± 0.07. If the correction is not taken into account, the cationic transference number t+ of LiAlCl4 × 1.6SO2 would be 0.72 (average of two measurements resulting in 0.74 and 0.69).
Thus, we can emphasize here: the electrolyte LiAlCl4 × 1.6SO2 offers in addition to the above mentioned properties an unusually high cationic transference number of about 0.6, which is nearly the double of that what has been observed in organic solvents.
In addition, the transference number was determined by diffusion-ordered spectroscopy (DOSY)-NMR experiments [46]. In infinitely diluted solutions, where no ion-ion-interaction occurs, the conductivity is correlated with the self diffusion coefficients via the Nernst-Einstein equation [Equation (6)] [47]. In concentrated solutions ion pair formation takes place and Equations (6) and (7) have to be employed with care, because the diffusion coefficients determined by NMR experiments do not distinguish between free ions, ion pairs and/or clusters. The theory claims free ions without any ion pair formation. Nevertheless, the degree of ion pair formation was estimated by the so-called Haven ratio H [Equation (8)], which is the ratio of electrochemical conductivity and the conductivity [Equation (6)] calculated from diffusion coefficients obtained in concentrated solutions [47,48]:
where D+/- is the diffusion coefficient of the anion/cation; kB is the Boltzmann constant; z is the formal charge; e is the elementary charge; F is the Faraday constant; and T is the absolute temperature. The results of the conductivity measurements and DOSY-NMR experiments given in Table 2 include diffusion coefficients of lithium cations and aluminte anions, transference numbers of lithium cations , and the Haven ratio.
Table 2.
Results of the conductivity measurements and DOSY-NMR experiments.
| c/mol L−1 | T/K | /104 S m2 mol−1 | DLi/10−10 m2 s−1 | DAl/10−10 m2 s−1 | H | |
|---|---|---|---|---|---|---|
| 4.7 | 300 | 20.85 | 4.86 | 3.11 | 0.61 | 0.70 |
| 6.2 | 340 | 22.10 | 6.82 | 4.20 | 0.62 | 0.61 |
The temperature dependent specific conductivities of the 6.2 and 4.7 mol L−1 are displayed in Figure 3.
Figure 3.
Temperature dependent specific conductivity of 4.7 mol L−1 and 6.2 mol L−1 LiAlCl4 in SO2.
Figure 3.
Temperature dependent specific conductivity of 4.7 mol L−1 and 6.2 mol L−1 LiAlCl4 in SO2.

In 6.2 mol L−1 solution, no 27Al diffusion experiments could be performed for the anion at 300 K due to the fast quadrupolar relaxation of the 27Al nucleus with T1 and T2 relaxation times of 6 ms. However, by increasing the temperature to 340 K and resulting deceleration of the quadrupolar relaxation, 27Al diffusion experiment could be accomplished using the stimulated echo (STE) pulse program (less time-demanding DOSY experiments without eddy current delay).
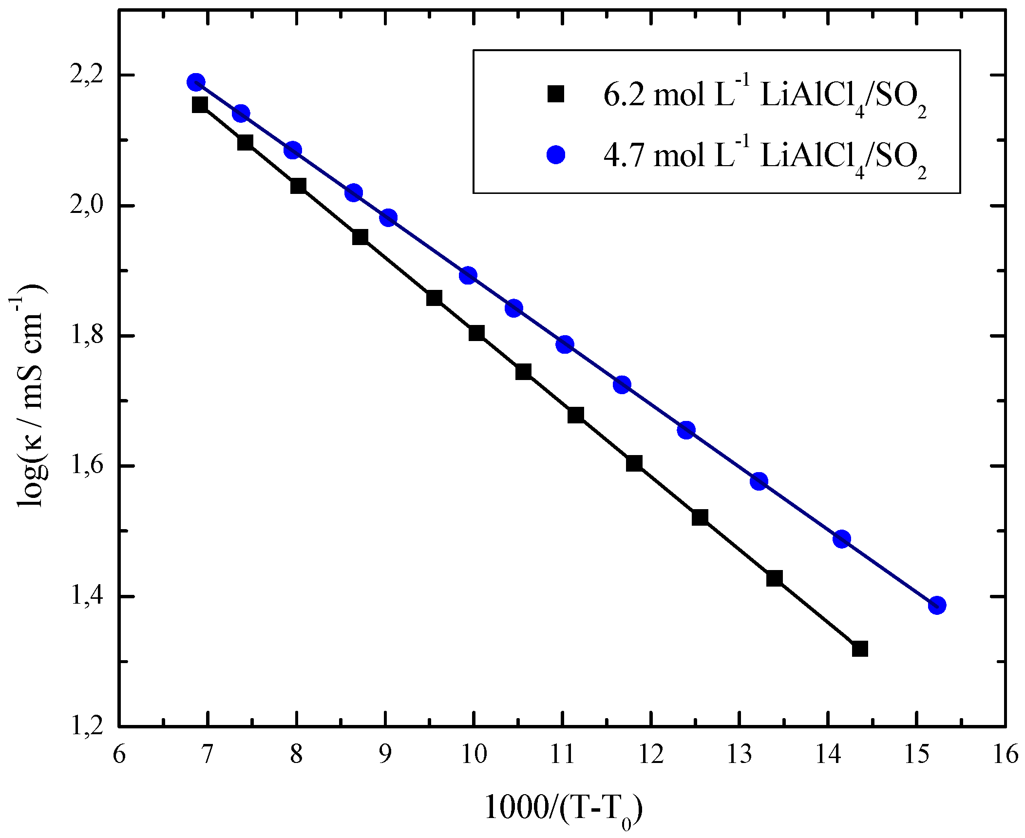
Moreover, temperature dependent conductivities shown in Figure 3 follow a non-Arrhenius behavior (see Figure 4) and can be fitted by means of the empirical Vogel-Fulcher-Tammann (VFT) equation [Equation (9)] [49,50,51,52]. This is consistent with VFT-fits of concentrated electrolyte solutions of LiPF6 in blends of organic solvents [e.g., EC and 2-methoxyethyl methyl carbonate (MOEMC)] [53]:
Figure 4.
VFT-plot of the temperature dependent specific conductivities of 4.7 mol L−1 and 6.2 mol L−1 LiAlCl4 in SO2 and linear fitting.
Figure 4.
VFT-plot of the temperature dependent specific conductivities of 4.7 mol L−1 and 6.2 mol L−1 LiAlCl4 in SO2 and linear fitting.

In Equation (9), is the specific conductivity at infinite temperature; B is a fitting parameter; and T0 is the ideal glass transition temperature. The fitting parameter and their standard deviations are given in Table 3.
Table 3.
VFT-fitting parameter of temperature dependent conductivities (also see Figure 3); σ is the standard error of the fitting parameters.
| c/mol L−1 | κ0 ± σ(κ0)]/mS cm−1 | [B ± σ(B)]/K | [T0 ± σ(T0)]/K |
|---|---|---|---|
| 4.7 | 711.3 ± 10.2 | 222.1 ± 3.1 | 187.5 ± 0.7 |
| 6.2 | 849.9 ± 1.8 | 258.2 ± 0.5 | 198.5 ± 0.1 |
It is well known that ion-ion association is also temperature dependent and temperature dependence of conductivity results in change of concentration of free ions with temperature [4]. The very low association of the LiAlCl4/SO2 electrolyte, mentioned above, allows the assumption that the Walden rule can be applied. Commonly the Walden rule correlates the limiting molar conductivity with viscosity η and results in a constant term. But it was reported that concentrated electrolyte solutions (even ionic liquids) fulfill this correlation as well [52]. In rare cases where ion association is nearly negligible the same values are obtained for T0 from both temperatures depended viscosity and conductivity measurements showing that the Walden rule dominates the behavior [54].
B = D × T0, where D is a parameter that describes the “strength” of a liquid according to Angell’s fragility concept [55]. The fragility m gives information about the temperature dependency of the liquid’s viscosity and is defined as the limiting slope in the plot of log(η) vs. Tg/T at the glass transition temperature Tg:
A higher fragility means a stronger change in viscosity near to the glass transition temperature.
Vilgis [56] developed a useful interpretation of the strength parameter D based on the average coordination number z0 of molecules in the liquid state and its variability Δz:
Strong liquids with small m and large D show a small average coordination number of neighbored molecules in the liquid state. Network forming glasses such as SiO2 or B2O3 are typical strong liquids with strong direct intermolecular interactions, having average values of z0 around 3 to 5 [55]. They show a high resistance against structural change upon heating. Vice versa, weak liquids connected to a high fragility have weaker, non-directional intermolecular interactions with a much higher variability Δz in their average number of neighbors. They show high fluctuations in their non-organized dense packing and are much more susceptible for structural changes upon heating, i.e., they show high fragility. If we accept applying Equation (9) for conductivities instead of viscosities for these solutions, we obtain an unusually low fragility parameter D of about 1.3 at 6.2 M and about 1.2 at 4.7 M, far below values reported up to date. This finding stresses again the weak and easily re-orientating structures of the solutions considered here, a molten solvate with a deficit of solvent molecules even to fully solvate the cation alone.
3. Experimental Section
First of all, it must be stressed that the studied electrolyte is extremely sensitive to moisture. Therefore, precautions were taken for every step of our experiments. This drawback comes along with a major advantage. It is immediately seen whether small traces of moisture have been present in the dried equipment. If so, a faint cloud appeared in the solution and the experiment was stopped. For additional information, see reference [22]. Furthermore, precautions have to be taken concerning the vapor pressure of the solutions: whereas the vapor pressure of liquid SO2 is 0.276 MPa at 288.04 K and increases to 0.4608 MPa at 303.15 K [57], very concentrated solutions of LiAlCl4 in sulfur dioxide show a significantly lower vapor pressure at room temperature (approximately 2 kPa) increasing to 0.1 MPa at 343.95 K [19].
The materials, LiAlCl4 × nSO2 (n ~ 1.5) and the lithium bars were provided by Fortu Research GmbH (Karlsruhe, Germany) and used as received. For potentiometric titration, a standard solution of 0.1 N AgNO3 (Carl Roth GmbH + Co. KG, Karlsruhe, Germany), Ag electrode (Ingold®, Giessen, Germany), calomel reference-electrode (Metrohm®, Filderstadt, Germany) and a salt bridge consisting of 4 M ammonium nitrate solution (salt from Merck®, Darmstadt, Germany) are used. The water used for calibration of the densimeter and for hydrolysing the electrolyte was deionized by a Millipore®-equipment (Darmstadt, Germany). All weighting steps were done on a three-digit (Mettler® AT201, Columbus, OH, USA) or five-digit balance (Mettler® Toledo PB303-L, Columbus, OH, USA) considering the maximum balance weight.
The density of the electrolyte was determined by a flexural vibration DMA 60/602 from Anton Paar GmbH (Graz, Austria). The calibration was done according to manufacturer instruction with nitrogen and pure water (Millipore®, Darmstadt, Germany).
The hydrolysis of about 5 g electrolyte with 50 g water was conducted in a round bottom flask (100 mL) by means of a dropping funnel. The setup was sealed by joint grease and clamps to avoid a loss of material. The hydrolysis was executed slowly and with great caution while stirring continuously. An alternating procedure of cooling with liquid nitrogen and warming by hands was applied to prevent a thermal runaway. The very exothermic hydrolysis reaction can be described as follows:
3.1. Potentiometric Titration
About 1.500 to 3.000 g of the hydrolyzed electrolyte was transferred into a flask filled with about 50 mL of 0.1 M HNO3. Afterwards the indirect determination of the electrolyte’s concentration via potentiometric precipitation titration of chloride with AgNO3 standard solution was performed. A 5 mL micro-buret (Brand®, Munich, Germany) with an accuracy of ±0.01 mL was used for titration and the potential was monitored by a multimeter (type: 196 System DMM; Keithley Instruments Inc., Cleveland, OH, USA). The data processing was done with the software Maple 10 from Waterloo Maple Inc. (Waterloo, Canada); the data points were fitted with a spline function and the derivation of it was evaluated graphically.
3.2. Transference Number Measurements via Hittorf’s Method
The transference number measurements were performed via Hittorf’s method in the measurement cell shown in Figure 4. This cell was made in-house and takes account of good Hittorf cell design described in reference [30]. The cell consists of a folded tube made of Pyrex® glass (Schwerte, Germany) forming three compartments (anodic compartment, middle compartment and cathodic compartment). The compartments can be separated by extracting the electrolyte with a flexible Teflon tube and a syringe during nitrogen flow [Figure 4(5)]. Two glass frits are implemented to stop convection [Figure 4(3)]. The electrodes consist of stainless steel tips screwed through the Teflon bushing into a stainless steel cylinder [Figure 4(a–f)]. These tips were covered with lithium acting as electrodes.
Figure 4.
Hittorf cell: 1: NS 14 ground glass joint; 2: three-way valve for inert gas flooding; 3: glass frit G 1; 4: anode; 5: cathode; 6: thermostat housing; a: glass tube; b: bushing (Teflon); c: screw cap; d: banana jack; e: O-ring sealing (Teflon); f: stainless steel electrode tip.
Figure 4.
Hittorf cell: 1: NS 14 ground glass joint; 2: three-way valve for inert gas flooding; 3: glass frit G 1; 4: anode; 5: cathode; 6: thermostat housing; a: glass tube; b: bushing (Teflon); c: screw cap; d: banana jack; e: O-ring sealing (Teflon); f: stainless steel electrode tip.

Moreover, the anode is at the bottom and the cathode at the top of the cell. This construction reduces the starting of convection because the density of the electrolyte increases nearby the anode caused by electrochemical oxidation of lithium and decreases at the cathode by reducing lithium ions. If the anode was at the top of the cell, the higher density of the electrolyte would induce severe convection. Finally, the temperature of the cell is controlled by a Julabo thermostat with an accuracy of 0.05 K.
The filling procedure was conducted in a glove box [Mecaplex, Grenchen, Switzerland; H2O < 0.5 ppm, O2 < 5 ppm, Argon 6.0 from Linde® (Munich, Germany)] with care to prevent bubbles. A lump of about 200 mg lithium metal was mounted on the special stainless steel anode and the cathode was covered by a piece of lithium stamped out from a stripe of lithium. Afterwards the ground joints were sealed with grease and the electrode-tips were fixed. Subsequently, the cell was tightened and assembled vertically outside the glove box to conduct the measurement. A current of 25 mA (32 mA cm−2) was switched on for about 20 h to obtain the concentration difference which was used to determine the transference number of lithium ions. After polarization, the anodic and middle compartments were withdrawn by a flexible Teflon tube coupled to the tip of a syringe under nitrogen flow. The electrolyte of each single compartment was stored in a round bottom flask. Afterwards the electrolyte was hydrolyzed by a defined quantity of water. This procedure was carried out in a sealed apparatus, mentioned above. The concentrations in the cell’s compartments (anodic and middle) and the initial concentration of the electrolyte were determined by potentiometric titration with AgNO3 standard solution after hydrolysis as also mentioned above. Unfortunately the concentration in the cathodic compartment could not be determined because of bulky lithium growth.
3.3. Conductivity Measurement
The conductivity measurement was conducted using capillary conductivity cells [58,59], an in-house built symmetrical Wheatstone-bridge, with Wagner earth, resistance decade, and sine generator as described by Wachter et al. [60]. Cell calibration was done with a 0.1 mol L−1 solution of KCl in twice distilled water [61] obtaining cell constants of 38.41 cm−1 and 27.75 cm−1. The cell filling procedure was executed in the glove box under argon atmosphere and closed gas-tight. Afterwards the conductivity cells were transferred to a thermostat assembly consisting of a cryostat (HM 90 EW, Holzwarth, Hof, Germany), power supply (EA-PS 3065-10 B, Elektro-Automatik GmbH & Co. KG, Viersen, Germany), proportional-integral-derivative (PID) controller, sinus generator, and resistance decade [62,63]. The electrolyte resistances were measured at frequencies of 1.7, 3.2, 5.1, 6.5, 7.7 and 10.1 kHz, respectively, and extrapolated to infinite frequency. With this setup a temperature stability of 2 mK [monitored by a ASL F-250 MkII thermometer (Automatic Systems Laboratories, Hampshire, UK)] and an accuracy of the calculated specific conductivity better than 0.1% was achieved.
The 4.7 mol L−1 LiAlCl4/SO2 solution was made by condensing dried sulfur dioxide in a flask loaded with the original electrolyte solution. Liquid sulfur dioxide (Linde 3.8) was stored in a gas-tight cold trap together with active basic aluminum oxide (Merck®, activity stage I) > 12 h and subsequently condensed into the flask via stainless steel flexible tube. All involved equipment was dried at 60 °C in vacuum for more than 12 h; moreover, the ground joint fittings were sealed and dried by heat gun before connection to avoid recontamination with traces of water.
3.4. DOSY-NMR Measurements
The NMR measurements were performed inside a 5 mm pressure stable NMR tubes (Wilmad 528-QPV-8, Griesheim, Germany) in 0.5 mL liquid SO2 without field/frequency locking at 300–340 K. Tiny amounts (0.35‑0.45 percent by weight) of tetramethylsilane (TMS) were added to each sample as internal reference for the 1H chemical shift and the diffusion coefficient of TMS was used to measure the viscosity of each sample. Referencing of the 7Li and 27Al chemical shift was done prior with reference samples of LiCl in D2O and Al(iPr)3 in CDCl3, respectively. The spectra were recorded on a Bruker Avance III 400 MHz spectrometer (Bruker Biospin, Fallanden, Switzerland) equipped with a BBFOPLUS room temperature probe with z-gradient (maximum gradient strength of 53.5 G cm–1) and BVT 3200 temperature control unit.
The diffusion measurements were performed with standard Bruker STE for 27Al and longitudinal eddy current delay with bipolar gradient pulses (BPLED) for 1H and 7Li sequences in a pseudo 2D mode. For each experiment, two dummy scans and minimum sixteen scans were used with a relaxation delay of 1–2 s. The length of the gradient pulse δ was optimized for every nucleus in each sample and a diffusion time Δt of 35 ms for 27Al and 50 ms for 1H and 7Li was used for all experiments. Sinusoidal shapes were used for the gradients and a linear gradient ramp with minimum twelve increments between 5% and 95% of the maximum gradient strength was applied for the diffusion relevant gradients. For the homospoil gradients, 9.165 and 7.046 G cm−1 were applied for HS1 and HS2. The spectra were processed with the Bruker program Topspin® and the diffusion coefficients were calculated with the Bruker software T1/T2 package.
4. Conclusions
The cationic transference number of LiAlCl4 × 1.6SO2 was determined by a classical Hittorf measurement and also calculated from diffusion coefficients that were determined via DOSY-NMR. Moreover, the Haven ratio was calculated to estimate the association behavior of this very concentrated electrolyte solution. Additionally, the temperature dependent specific conductivity of 4.7 mol L−1 and 6.2 mol L−1 LiAlCl4 dissolved in SO2 was measured in the temperature range from 260 K to 340 K. A linear correlation of density and concentration was obtained in the concentration range from 6.20 to 6.45 mol L−1. The very high transference number of this electrolyte and the very low tendency to association decreases the concentration polarization in LIBs. The solutions also show unusually low fragility parameters of about 1.3 at 6.2 M and about 1.2 at 4.7 M, far below values reported up to date. This finding stresses again the weak and easily re-orientating structures of the solutions considered here, a molten solvate with a deficit of solvent molecules even to fully solvate the cation alone. The electrolyte LiAlCl4 × 1.6SO2 offers in addition to several known properties an unusually high cationic transference number of about 0.6, which is nearly the double of that what has been observed in solutions with organic solvents. Therefore, this electrolyte is a promising alternative for high power secondary lithium ion batteries.
Acknowledgments
The authors are very grateful for financial support of this work by the Fortu Research GmbH (Karlsruhe, Germany). Parts of this paper have been presented at the 61st Annual International Society of Electrochemistry (ISE) Meeting, Nice, France, 26 September–1 October, 2010.
Conflicts of Interest
The authors declare no conflict of interest.
References
- Besenhard, J.O.; Winter, M. Insertion reactions in advanced electrochemical energy storage. Pure Appl. Chem. 1998, 70, 603–608. [Google Scholar] [CrossRef]
- Wagner, R.; Preschitschek, N.; Passerini, S.; Leker, J.; Winter, M. Current research trends and prospects among the various materials and designs used in lithium-based batteries. J. Appl. Electrochem. 2013, 43, 481–496. [Google Scholar] [CrossRef]
- Winter, M.; Besenhard, J.O. Wiederaufladbare batterien [in German]. Chem. Unserer Zeit 1999, 33, 252–266. [Google Scholar] [CrossRef]
- Gores, H.J.; Barthel, J.; Zugmann, S.; Moosbauer, D.; Hartl, R.; Amereller, M.; Maurer, A. Liquid Nonaqueous Electrolytes. In Handbook of Battery Materials, 2nd ed.; Daniel, C., Besenhard, J.O., Eds.; Wiley-VCH: Weinheim, Germany, 2011; Chapter 17; pp. 525–626. [Google Scholar]
- Xu, K. Nonaqueous liquid electrolytes for lithium-based rechargeable batteries. Chem. Rev. 2004, 104, 4303–4418. [Google Scholar] [CrossRef] [PubMed]
- Winter, M.; Imhof, R.; Joho, F.; Novak, P. FTIR and DEMS investigations on the electroreduction of chloroethylene carbonate-based electrolyte solutions for lithium-ion cells. J. Power Sources 1999, 81–82, 818–823. [Google Scholar]
- Olivier, J.P.; Winter, M. Determination of the absolute and relative extents of basal plane surface area and “non-basal plane surface” area of graphites and their impact on anode performance in lithium ion batteries. J. Power Sources 2001, 97–98, 151–155. [Google Scholar]
- Korepp, C.; Santner, H.; Fujii, T.; Ue, M.; Besenhard, J.O.; Moeller, K.C.; Winter, M. 2-Cyanofuran—A novel vinylene electrolyte additive for PC-based electrolytes in lithium-ion batteries. J. Power Sources 2006, 158, 578–582. [Google Scholar] [CrossRef]
- Buqa, H.; Blyth, R.I.R.; Golob, P.; Evers, B.; Schneider, I.; Santis Alvarez, M.V.; Hofer, F.; Netzer, F.P.; Ramsey, M.G.; Winter, M.; Besenhard, J.O. Negative electrodes in rechargeable lithium ion batteries—Influence of graphite surface modification on the formation of the solid electrolyte interphase. Ionics 2000, 6, 172–179. [Google Scholar] [CrossRef]
- Kraemer, E.; Passerini, S.; Winter, M. Dependency of aluminum collector corrosion in lithium ion batteries on the electrolyte solvent. ECS Electrochem. Lett. 2012, 1, C9–C11. [Google Scholar] [CrossRef]
- Kraemer, E.; Schedlbauer, T.; Hoffmann, B.; Terborg, L.; Nowak, S.; Gores, H.J.; Passerini, S.; Winter, M. Mechanism of anodic dissolution of the aluminum current collector in 1 M LiTFSI EC:DEC 3:7 in rechargeable lithium batteries. J. Electrochem. Soc. 2013, 160, A356–A360. [Google Scholar] [CrossRef]
- Linden, D.E.J.; Reddy, T.B. Handbook of Batteries, 3rd ed.; McGraw-Hill: New York, NY, USA, 2002. [Google Scholar]
- Tasaki, K.; Goldberg, A.; Winter, M. On the difference in cycling behaviors of lithium-ion battery cell between the ethylene carbonate- and propylene carbonate-based electrolytes. Electrochim. Acta 2011, 56, 10424–10435. [Google Scholar] [CrossRef]
- Wrodnigg, G.H.; Besenhard, J.O.; Winter, M. Cyclic and acyclic sulfites: New solvents and electrolyte additives for lithium ion batteries with graphitic anodes? J. Power Sources 2001, 97–98, 592–594. [Google Scholar]
- Schedlbauer, T.; Krueger, S.; Schmitz, R.; Schmitz, R.W.; Schreiner, C.; Gores, H.; Passerini, S.; Winter, M. Lithium difluoro(oxalato)borate: A promising salt for lithium metal based secondary batteries? Electrochim. Acta 2013, 92, 102–107. [Google Scholar] [CrossRef]
- Zhang, S.S. An unique lithium salt for the improved electrolyte of Li-ion battery. Electrochem. Commun. 2006, 8, 1423–1428. [Google Scholar] [CrossRef]
- Besenhard, J.O.; Winter, M.; Yang, J.; Biberacher, W. Filming mechanism of lithium-carbon anodes in organic and inorganic electrolytes. J. Power Sources 1995, 54, 228–231. [Google Scholar] [CrossRef]
- Zinck, L.; Borck, M.; Ripp, C.; Hambitzer, G. Purification process for an inorganic rechargeable lithium battery and new safety concepts. J. Appl. Electrochem. 2006, 36, 1291–1295. [Google Scholar] [CrossRef]
- Stassen, I.; Hambitzer, G. Metallic lithium batteries for high power applications. J. Power Sources 2002, 105, 145–150. [Google Scholar] [CrossRef]
- Gores, H.J.; Schweiger, H.; Multerer, M. Optimizing the Conductivity of Electrolytes for Lithium Ion-Cells. In Advanced Materials and Methods for Lithium-Ion Batteries; Zhang, S.S., Ed.; Transworld Research Network: Kerala, India, 2007; Chapter 11; pp. 257–278. [Google Scholar]
- Petrowsky, M.; Frech, R. Concentration dependence of ionic transport in dilute organic electrolyte solutions. J. Phys. Chem. B 2008, 112, 8285–8290. [Google Scholar] [CrossRef] [PubMed]
- Hartl, R.; Neueder, R.; Gores, H.J. Temperature dependence of association constants of LiAlCl4 in liquid sulfur dioxide. Acta Chim. Slov. 2009, 56, 109–114. [Google Scholar]
- Barthel, J.; Krienke, H.; Kunz, W. Physical Chemistry of Electrolyte Solutions; Steinkopff Verlag: Darmstadt, Germany, 1998; Volume 5. [Google Scholar]
- Takezawa, S.; Kondo, Y.; Tokura, N. Conductance of electrolytes in liquid sulfur dioxide at 25.deg. J. Phys. Chem. 1972, 77, 2133–2137. [Google Scholar] [CrossRef]
- Zugmann, S.; Fleischmann, M.; Amereller, M.; Gschwind, R.M.; Wiemhöfer, H.D.; Gores, H.J. Measurement of transference numbers for lithium ion electrolytes via four different methods, a comparative study. Electrochim. Acta 2011, 56, 3926–3933. [Google Scholar] [CrossRef]
- Bruce, P.G.; Vincent, C.A. Steady state current flow in solid binary electrolyte cells. J. Electroanal. Chem. Interfacial Electrochem. 1987, 225, 1–17. [Google Scholar] [CrossRef]
- Ma, Y.P.; Doyle, M.; Fuller, T.F.; Doeff, M.M.; de Jonghe, L.C.; Newman, J. The measurement of a complete set of transport properties for a concentrated solid polymer electrolyte solution. J. Electrochem. Soc. 1995, 142, 1859–1868. [Google Scholar] [CrossRef]
- MacInnes, D.A.; Beattie, J. The free energy of dilution and the transference numbers of lithium chloride solutions. J. Am. Chem. Soc. 1920, 42, 1117–1128. [Google Scholar] [CrossRef]
- Mauro, V.; D’Aprano, A.; Croce, F.; Salomon, M. Direct determination of transference numbers of LiClO4 solutions in propylene carbonate and acetonitrile. J. Power Sources 2005, 141, 167–170. [Google Scholar] [CrossRef]
- Spiro, M. Transference Numbers. In Physical Methods of Chemistry: Electrochemical Methods; Weissberger, A., Rossiter, B.W., Eds.; Wiley-Interscience: New York, NY, USA, 1971; Volume 1, Chapter 4; pp. 205–295. [Google Scholar]
- Mizuhata, M.; Ito, F.; Deki, S. Transport properties of non-aqueous lithium electrolyte coexisting with porous solid materials: Montmorillonite-based electrolyte composite system. J. Power Sources 2005, 146, 365–370. [Google Scholar] [CrossRef]
- Steel, B.J.; Stokes, R.H. A Hittorf transference number apparatus employing conductimetric analysis of the solutions. J. Phys. Chem. 1958, 62, 450–452. [Google Scholar] [CrossRef]
- Strachan, E.K.; Chu, V.G. The transference number, conductance, and ionization of hydriodic acid at 25°. J. Am. Chem. Soc. 1914, 36, 810–819. [Google Scholar] [CrossRef]
- Ronge, G.; Wagner, C. Transference numbers of solid potassium chloride with strontium chloride, potassium oxide, and sodium sulfide as additives. J. Chem. Phys. 1950, 18, 74–76. [Google Scholar] [CrossRef]
- MacInnes, D.A.; Dole, M. Differential potentiometric titration. III. An improved apparatus and its application to precision measurements. J. Am. Chem. Soc. 1929, 51, 1119–1127. [Google Scholar] [CrossRef]
- MacInnes, D.A.; Dole, M. The transference numbers of potassium chloride. New determinations by the Hittorf method and a comparison with results obtained by the moving-boundary method. J. Am. Chem. Soc. 1931, 53, 1357–1364. [Google Scholar] [CrossRef]
- Gill, D.S.; Singh, R.; Ali, V.; Singh, J.; Rehani, S.K. Transport and compressibility studies of some copper(I) perchlorates in binary mixtures of benzonitrile and acetonitrile. J. Chem. Soc. Faraday Trans. 1994, 90, 583–586. [Google Scholar] [CrossRef]
- Paul, R.C.; Singla, J.P.; Narula, S.P. Transference numbers and ionic solvation of lithium chloride in dimethylformamide. J. Phys. Chem. 1969, 73, 741–743. [Google Scholar] [CrossRef]
- Gillespie, R.J.; Wasif, S. 44. Solutions in sulphuric acid. Part X. Transport-number measurements. J. Chem. Soc. 1953, 209–215. [Google Scholar] [CrossRef]
- Joshi, Y.M.; Kwak, J.C.T. Transference numbers, polyion mobilities, and charge fractions in aqueous solutions of lithium, sodium, and potassium dextransulfate. Biophys. Chem. 1980, 12, 323–328. [Google Scholar] [CrossRef] [PubMed]
- Saito, Y.; Yamamoto, H.; Nakamura, O.; Kageyama, H.; Ishikawa, H.; Miyoshi, T.; Matsuoka, M. Determination of ionic self-diffusion coefficients of lithium electrolytes using the pulsed field gradient NMR. J. Power Sources 1999, 81–82, 772–776. [Google Scholar]
- Saito, Y.; Umecky, T.; Niwa, J.; Sakai, T.; Maeda, S. Existing condition and migration property of ions in lithium electrolytes with ionic liquid solvent. J. Phys. Chem. B 2007, 111, 11794–11802. [Google Scholar] [CrossRef] [PubMed]
- Bayley, P.M.; Novak, J.; Khoo, T.; Britton, M.M.; Howlett, P.C.; Macfarlane, D.R.; Forsyth, M. The influence of water and metal ions on the transport properties of Trihexyl(tetradecyl)phosphonium chloride. Austr. J. Chem. 2012, 65, 1542–1547. [Google Scholar] [CrossRef]
- Castiglione, F.; Ragg, E.; Mele, A.; Appetecchi, G.B.; Montanino, M.; Passerini, S. Molecular environment and enhanced diffusivity of Li+ ions in lithium-salt-doped ionic liquid electrolytes. J. Phys. Chem. Lett. 2011, 2, 153–157. [Google Scholar] [CrossRef]
- Besenhard, J.; Wagner, M.; Winter, M.; Jannakoudakis, A.; Jannakoudakis, P.; Theodoridou, E. Inorganic film-forming electrolyte additives improving the cycling behaviour of metallic lithium electrodes and the self-discharge of carbon-lithium electrodes. J. Power Sources 1993, 44, 413–420. [Google Scholar] [CrossRef]
- Fleischmann, M. NMR Investigations on Catalysts and Conformations in Organo- and Photocatalytic Reactions, and Characterization of Electrolytes and Supramolecular Switchable Container Molecules. Ph.D. Thesis, University of Regensburg, Regensburg, Germany, 2011. [Google Scholar]
- Takeuchi, M.; Kameda, Y.; Umebayashi, Y.; Ogawa, S.; Sonoda, T.; Ishiguro, S.I.; Fujita, M.; Sano, M. Ion-ion interactions of LiPF6 and LiBF4 in propylene carbonate solutions. J. Mol. Liq. 2009, 148, 99–108. [Google Scholar] [CrossRef]
- Froemling, T.; Kunze, M.; Schoenhoff, M.; Sundermeyer, J.; Roling, B. Enhanced lithium transference numbers in ionic liquid electrolytes. J. Phys. Chem. B 2008, 112, 12985–12990. [Google Scholar] [CrossRef] [PubMed]
- Vogel, H. Das temperaturabhaengigkeitsgesetz der viskositaet von fluessigkeiten [in German]. Phys. Zeit. 1921, 22, 645–646. [Google Scholar]
- Fulcher, G.S. Analysis of recent measurements of the viscosity of glasses. J. Am. Ceram. Soc. 1952, 8, 339–355. [Google Scholar] [CrossRef]
- Tammann, G.; Hesse, W. Die abhaengigkeit der viscositaet von der temperatur bei unterkuehlten fluessigkeiten [in German]. Z. Anorg. Allg. Chem. 1926, 156, 245–257. [Google Scholar] [CrossRef]
- Schreiner, C.; Zugmann, S.; Hartl, R.; Gores, H.J. Temperature dependence of viscosity and specific conductivity of fluoroborate-based ionic liquids in light of the fractional Walden rule and Angell’s fragility concept. J. Chem. Eng. Data 2010, 55, 4372–4377. [Google Scholar] [CrossRef]
- Gu, G.Y.; Bouvier, S.; Wu, C.; Laura, R.; Rzeznik, M.; Abraham, K.M. 2-Methoxyethyl (methyl) carbonate-based electrolytes for Li-ion batteries. Electrochim. Acta 2000, 45, 3127–3139. [Google Scholar] [CrossRef]
- Barthel, J.; Gores, H.J.; Schmeer, G. The temperature dependence of the properties of electrolyte solutions. III. Conductance of various salts at high concentrations in propylene carbonate at temperatures from −45 °C to +25 °C. Ber. Bunsenges. Phys. Chem. 1979, 83, 911–920. [Google Scholar] [CrossRef]
- Bohmer, R.; Ngai, K.L.; Angell, C.A.; Plazek, D.J. Nonexponential relaxations in strong and fragile glass formers. J. Chem. Phys. 1993, 99, 4201–4209. [Google Scholar] [CrossRef]
- Vilgis, T.A. Strong and fragile glasses: A powerful classification and its consequences. Phys. Rev. B 1993, 47, 2882–2885. [Google Scholar] [CrossRef]
- Valtz, A.; Coquelet, C.; Richon, D. Vapor-liquid equilibrium data for the sulfur oxide (SO2) + difluoromethane (R32) system at temperatures from 288.07 to 403.16 K and at pressures in up to 7.31 MPa. Int. J. Thermophys. 2004, 25, 1695–1711. [Google Scholar] [CrossRef]
- Barthel, J.; Gores, H.J. Solution Chemistry: A Cutting Edge in Modern Electrochemical Technology. In Chemistry of Nonaqueous Solutions; Mamantov, G., Popov, A.I., Eds.; VCH: New York, NY, USA, 1994; Chapter 1; pp. 1–148. [Google Scholar]
- Carl, E. Neue Elektrolyte in Organischen Carbonatloesungen zur Anwendung in Sekundaeren Lithium-Ionen-Batterien [in German]. Ph.D. Thesis, University of Regensburg, Regensburg, Germany, 1998. [Google Scholar]
- Barthel, J.; Wachter, R.; Gores, H.J. Temperature Dependence of Conductance of Electrolytes in Nonaqueous Solutions. In Modern Aspects of Electrochemistry; Conway, B.E., Bockris, J.O.M., Eds.; Plenum: New York, NY, USA, 1979; Volume 13, Chapter 1; pp. 1–79. [Google Scholar]
- Barthel, J.; Feuerlein, F.; Neueder, R.; Wachter, R. Calibration of conductance cells at various temperatures. J. Solut. Chem. 1980, 9, 209–219. [Google Scholar] [CrossRef]
- Wachter, R.; Barthel, J. Temperature-dependence of the properties of electrolyte-solutions. 2. Determination of the conductance over a wide temperature-range. Ber. Bunsenges. Phys. Chem. 1979, 83, 634–642. [Google Scholar] [CrossRef]
- Barthel, J. Electrolytes in non-aqueous solvents. Pure Appl. Chem. 1979, 51, 2093–2124. [Google Scholar] [CrossRef]
© 2013 by the authors; licensee MDPI, Basel, Switzerland. This article is an open access article distributed under the terms and conditions of the Creative Commons Attribution license (http://creativecommons.org/licenses/by/3.0/).