Characteristics of the Operational Noise from Full Scale Wave Energy Converters in the Lysekil Project: Estimation of Potential Environmental Impacts
Abstract
:1. Introduction
2. Wave Energy Converter Description

3. Hearing in Fish
3.1. The Inner Ear
3.2. The Lateral Line
3.3. Specialists and Generalists
3.4. Hearing Performance
4. Hearing in Marine Mammals
4.1. The Ear
4.1.1. The External Ear
4.1.2. The Middle Ear
4.1.3. The Inner Ear
4.2. Hearing Performance

4.3. Produced Sound
4.3.1. Marine Mammals
4.3.2. Fish
5. Materials and Method
5.1. Field Sampling


5.2. Acoustical Analysis
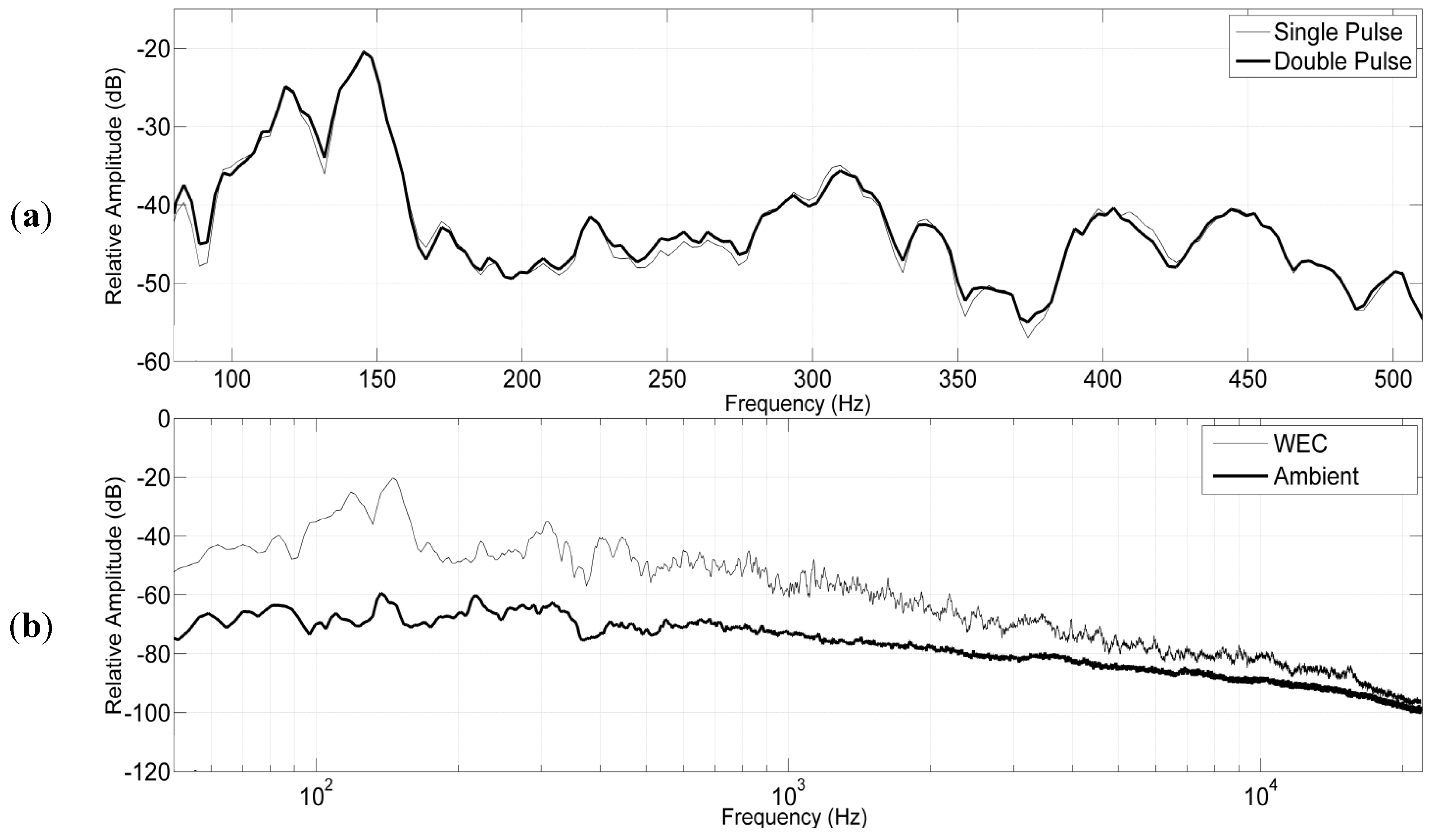
6. Results





| Spectrum type | N | Duration (s) | 145 Hz (dB 1 μParms) Max/Mean | Total (dB 1 μParms) Max/Mean | Estimated SL (dB 1 μParms) Max/Mean |
|---|---|---|---|---|---|
| Single Pulse | 50 | 0.2–0.3 | 126/121 | 133/129 | 153/149 |
| Double Pulse | 30 | 0.5–0.6 | 126/121 | 131/129 | 151/149 |
| Ambient Noise | 50 | 0.3 | 91/78 | 107/101 | -/- |
7. Conclusions
Acknowledgments
References
- Caracas, M.C. The OPD Pelamis WEC: Current status and onward programme (2002). Int. J. Ambient Energy 2003, 24, 21–28. [Google Scholar] [CrossRef]
- Polinder, H.; Damen, M.E.C.; Gardner, F. Linear PM generator system for wave energy conversion in the AWS. IEEE Trans. Energy Convers. 2004, 20, 583–589. [Google Scholar] [CrossRef]
- Kofoed, J.P.; Frigaars, P.; Friis-Madsen, E.; Sørensen, H.C. Prototype testing of the wave energy converter Wave Drageon. Renew. Energy 2006, 31, 181–189. [Google Scholar] [CrossRef]
- Waters, R.; Stålberg, M.; Danielsson, O.; Svensson, O.; Gustafsson, S.; Strömstedt, E.; Eriksson, M.; Sundberg, J.; Leijon, M. Experimental results from sea trials of an offshore wave energy system. Appl. Phys. Lett. 2007, 90, 034105:1–034105:3. [Google Scholar] [CrossRef]
- Langhamer, O.; Wilhelmsson, D.; Engström, J. Artificial reef effect and fouling on offshore wave power. Eustarine Coast. Shelf Sci. 2009, 82, 426–432. [Google Scholar] [CrossRef]
- Langhamer, O.; Wilhelmsson, D. Colonisation of fish and crabs of wave energy foundations and the effects of manufactured holes—A field experiment. Mar. Environ. Res. 2009, 68, 151–157. [Google Scholar] [CrossRef] [PubMed]
- Johnson, T.D.; Barnett, A.M.; DeMartini, E.E.; Craft, L.L.; Ambrose, R.F.; Purcell, L.J. Fish production and habitat utilization on a southern California artificial reef. Bull. Mar. Sci. 1994, 55, 709–723. [Google Scholar]
- Lozano-Alvarez, E.; Briones-Fourzán, P.; Negrete-Soto, F. An evaluation of concrete block structures as shelter for juvenile Caribbean spiny lobsters, Panulirus argus. Bull. Mar. Sci. 1994, 55, 351–362. [Google Scholar]
- Gosling, L.M.; Sutherland, W.J. Behaviour and Conservation; Cambridge University Press: New York, NY, USA, 2004; p. 252. [Google Scholar]
- Hildebrand, J.A. Anthropogenic and natural sources of ambient noise in the ocean. Mar. Ecol. Progr. Ser. 2009, 395, 5–20. [Google Scholar] [CrossRef]
- Southall, B.L.; Bowles, A.; Ellison, W.T.; Finneran, J.J.; Gentry, R.L.; Greene, C.R.; Kastak, D.; Ketten, D.R.; Miller, J.H.; Nachtigall, P.E.; et al. Marine mammal noise exposure criteria: Initial scientific recommendations. Aquat. Mamm. 2007, 33, 411–521. [Google Scholar] [CrossRef]
- Hastings, M.C. Coming to terms with the effects of ocean noise on marine animals. Acoust. Today 2008, 4, 22–34. [Google Scholar] [CrossRef]
- Popper, A.N.; Hastings, M.C. The effects of anthropogenic sources of sound on fishes. J. Fish Biol. 2009, 75, 455–489. [Google Scholar] [CrossRef] [PubMed]
- Nedwell, J.R.; Edwards, B.; Turnpenny, A.W.H. Fish and Marine Mammals Audiogram: A Summary of Available Information. Available online: http://www.subacoustech.com/wp-content/uploads/534R0214.pdf (accessed on 16 May 2013).
- Abbott, R.; Bing-Sawyer, E. Assessment of Pile Driving Impacts on the Sacramento Blackfish (Orthodon microlepidotus). In Draft Report Prepared for Caltrans District 4; CalTrans: San Francisco, CA, USA, 2002. [Google Scholar]
- Wahlberg, M.; Westerberg, H. Hearing in fish and their reactions to sounds from offshore wind farms. Mar. Ecol. Progr. Ser. 2005, 288, 295–309. [Google Scholar] [CrossRef]
- Nedwell, J.R.; Turnpenny, A.W.H.; Lovell, J.M.; Edwards, B. An investigation into the effects of underwater piling noise on salmonids. J. Acoust. Soc. Am. 2006, 120, 2550–2554. [Google Scholar] [CrossRef] [PubMed]
- Ruggerone, G.T.; Goodman, S.; Miner, R. Behavioural Response and Survival of Juvenile Coho Salmon Exposed to Pile Driving Sounds; Report for the Port of Seattle; NRC: Seattle, WA, USA, 2008. [Google Scholar]
- Leijon, M.; Boström, C.; Danielsson, O.; Gustafsson, S.; Haikonen, K.; Langhamer, O.; Strömstedt, E.; Stålberg, M.; Sundberg, J.; Svensson, O.; et al. Wave energy from the north sea: Experiences from the Lysekil research site. Surv. Geophys. 2004, 29, 221–240. [Google Scholar] [CrossRef]
- Thorburn, K.; Bernhoff, H.; Leijon, M. Wave energy transmission system concepts for linear generator arrays. Ocean Eng. 2004, 31, 1339–1349. [Google Scholar] [CrossRef]
- Rahm, M.; Boström, C.; Svensson, O.; Grabbe, M.; Bülow, F.; Leijon, M. Offshore underwater substation for wave energy converter arrays. Renew. Power Gener. 2010, 4, 602–612. [Google Scholar] [CrossRef]
- Helfman, G.S.; Collette, B.B.; Facey, D.E. The Diversity of Fishes; Wiley-Blackwell: Hoboken, NJ, USA, 1997. [Google Scholar]
- Popper, A.N.; Fay, R.R. The Auditory Periphery in Fishes. In Comparative Hearing: Fish and Amphibians; Springer Handbook of Auditory Research; Springer: New York, NY, USA, 1999; Volume 11, pp. 43–100. [Google Scholar]
- Popper, A.N.; Coombs, S. Auditory mechanisms in teleost fishes. Am. Sci. 1980, 68, 429–440. [Google Scholar]
- Pumphrey, R.J. Hearing. In Symposia of the Society for Experimental Biology; Academic Press: New York, NY, USA, 1950; Volume 4, pp. 3–18. [Google Scholar]
- Hawkins, A.D. Underwater Sound and Fish Behaviour. In Behaviour of Teleost Fishes; Pitcher, T.J., Ed.; Croom Helm Ltd.: Beckenham, UK, 1986; pp. 114–151. [Google Scholar]
- Bleckmann, H. Role of the Lateral Line in Fish Behaviour. In The Behaviour of Teleost Fishes; Pitcher, T.J., Ed.; Springer: Berlin, Germany, 1986; pp. 114–151. [Google Scholar]
- Sand, O.; Enger, P.S. Evidence for an auditory function of the swimbladder in the cod. J. Exp. Biol. 1973, 59, 405–414. [Google Scholar] [PubMed]
- Popper, A.N.; Platt, C. Inner Ear and Lateral Line. In Physiology of Fishes; Evans, D.H., Ed.; CRC Press: Boca Raton, FL, USA, 1993. [Google Scholar]
- Popper, A.N.; Fay, R.R. Sound detection and processing by fish: Critical review and major research questions. Brain Behav. Evol. 1993, 41, 14–38. [Google Scholar] [CrossRef] [PubMed]
- Ladich, F.; Popper, A.N. Parallel Evolution in Fish Hearing Organs. In Evolution of the Vertebrate Auditory System; Manley, G., Popper, A.N., Fay, R.R., Eds.; Springer-Verlag: New York, NY, USA, 2004; pp. 95–127. [Google Scholar]
- Astrup, J.; Møhl, B. Detection of intense ultrasound by the cod (Gadus morhua). J. Exp. Biol. 1993, 182, 71–80. [Google Scholar]
- Mann, D.A.; Lu, Z.; Hastings, M.C.; Popper, A.N. Detection of ultrasonic tones and simulated dolphin echolocation clicks by a teleost fish, the American shad (Alosa sapidissima). J. Acoust. Soc. Am. 1998, 104, 562–568. [Google Scholar] [CrossRef] [PubMed]
- Mann, D.A.; Higgs, D.; Tavolga, W.N.; Souza, M.; Popper, A.N. Ultrasound detection by clupeiform fish. J. Acoust. Soc. Am. 2001, 109, 3048–3054. [Google Scholar] [CrossRef] [PubMed]
- “FishBase” World Wide Web Electronic Publication. Available online: http://www.fishbase.org (accessed on 31 January 2013).
- Chapman, C.J. Field studies of hearing in teleost fish. Helgol. Meersunters 1973, 24, 371–390. [Google Scholar] [CrossRef]
- Chapman, C.J.; Hawkins, A.D. A field study of hearing in the Cod, Gadus Morhua L. J. Comp. Physiol. 1973, 85, 47–167. [Google Scholar] [CrossRef]
- Hawkins, A.D.; Myrberg, A.A. Hearing and Sound Communication under Water. In Bioacoustics: A Comparative Approach; Lewis, B., Ed.; Academic Press: New York, NY, USA, 1983; pp. 347–405. [Google Scholar]
- Enger, P. Hearing in herring. Comp. Biochem. Physiol. 1967, 22, 527–538. [Google Scholar] [CrossRef] [PubMed]
- Fay, R.R. Hearing in Vertebrates: A Psychophysics Databook; Hill-Fay Associates: Winnetka, IL, USA, 1988. [Google Scholar]
- Nachtigall, P.E.; Supin, A.Y.; Amundin, M.; Röken, B.; Møller, T.; Mooney, T.A.; Taylor, K.A.; Yuen, M. Polar bear Ursus maritimus hearing measured with auditory evoked potentials. J. Exp. Biol. 2007, 210, 1116–1122. [Google Scholar] [CrossRef] [PubMed]
- Wartzok, D.; Ketten, D.R. Marine Mammal Sensory Systems. In Biology of Marine Mammals; Reynolds, J., Rommel, S., Eds.; Smithsonian Institution Press: Washington, DC, USA, 1999; pp. 117–175. [Google Scholar]
- Webster, D.R.; Popper, A.N. The Biology of Hearing; Springer-Verlag: New York, NY, USA, 1992. [Google Scholar]
- Brill, R.L.; Sevenish, M.L.; Sullivan, T.J.; Sustman, J.D.; Witt, R.E. Behavioral evidence for hearing through the lower jaw by an echolocating dolphin (Tursiops truncatus). Mar. Mamm. Sci. 1988, 4, 223–230. [Google Scholar] [CrossRef]
- Mooney, T.A.; Nachtigall, P.E.; Castellote, M.; Taylor, K.A.; Pacini, A.F.; Esteban, J.A. Hearing pathways and directional sensitivity of the beluga whale, Delpinapterus leucas. J. Exp. Mar. Biol. Ecol. 2008, 362, 108–116. [Google Scholar] [CrossRef]
- Møhl, B. Hearing in Seals. In The Behavior and Physiology of Pinnipeds; Harrision, R., Hubbard, R., Peterson, C., Rice, C., Schusterman, R., Eds.; Appleton-Century: New York, NY, USA, 1968. [Google Scholar]
- Keyon, K.W. Sea Otter Enhydra lutris. In The Walrus, Sea Lion, Fur Seals and Sea Otter; Handbook of Marine Mammals; Ridgway, S.H., Harrison, R.J., Eds.; Academic Press: London, UK, 1981; Volume 1, pp. 209–223. [Google Scholar]
- Fleischer, G. Evolutionary principles of the mammalian middle ear. Adv. Anat. Embryol. Cell Biol. 1978, 55, 1–70. [Google Scholar]
- Dallos, P.; Popper, A.N.; Fay, R.R. The Cochlea; Springer: New York, NY, USA, 1996. [Google Scholar]
- Lim, D.J. Functional structure of the organ of Corti: A review. Hear. Res. 1986, 22, 117–146. [Google Scholar] [CrossRef] [PubMed]
- Pickles, J.O. An Introduction to the Physiology of Hearing; Academic Press: London, UK, 2003. [Google Scholar]
- Ketten, D.R. Correlations of Morphology with Frequency for Odontocetes cochlea: Systematics and Topology. Ph.D. Thesis, The John Hopkins University, Baltimore, MD, USA, 1984. [Google Scholar]
- Klischin, V.O.; Diaz, R.P.; Popov, V.V.; Supin, A.Y. Some characteristics of the hearing of the Brazilian Manatee, Trichechus inunguis. Acoust. Mamm. 1990, 16, 140–1440. [Google Scholar]
- Szymanski, M.D.; Bain, D.E.; Kiehl, K.; Pennington, S.; Wong, S.; Henry, K.R. Killer whale (Orcinus orca) hearing: Auditory brainstorm response and behavioural audiograms. J. Acoust. Soc. Am. 1999, 106, 1134–1141. [Google Scholar] [CrossRef] [PubMed]
- Kastak, D.; Schusterman, R.J. Low-frequency amphibious hearing in Pinnipeds: Methods measurements, noise and ecology. J. Acoust. Soc. Am. 1998, 103, 2216–2228. [Google Scholar] [CrossRef] [PubMed]
- Møhl, B. Auditory sensitivity of the Common seal in air and water. J. Audit. Res. 1968, 8, 27–38. [Google Scholar]
- Kastelein, R.A.; Bunskoek, P.; Hagedoorn, M.; Au, W.L.W.; de Haan, D. Audiogram of harbor porpoise (Phocoena phocoena) measured with narrow-band frequency modulated signals. J. Acoust. Soc. Am. 2002, 112, 334–344. [Google Scholar] [CrossRef] [PubMed]
- Johnson, C.S. Sound Detection Thresholds in Marine Mammals. In Marine Bio-Acoustics; Tavolga, W.N., Ed.; Pergamon: Oxford, UK, 1967; Volume 2. [Google Scholar]
- Lurton, X. An Introduction to Underwater Acoustics—Principles and Applications, 2nd ed.; Springer-Verlag: Heidelberg, Germany, 2010. [Google Scholar]
- Anderson, P.K.; Barclay, R.M.K. Acoustic signals of solitary dugongs: Physical characteristics and behavioral correlates. J. Mamm. 1995, 76, 1226–1237. [Google Scholar] [CrossRef]
- Demski, L.S.; Gerald, J.W.; Popper, A.N. Central and peripheral mechanisms of teleost sound production. Am. Zool. 1973, 13, 1141–1167. [Google Scholar]
- Vester, H.I.; Folkow, L.P.; Blix, A.S. Click sounds produced by cod (Gadus Morhua). J. Acoust. Soc. Am. 2004, 115, 914–919. [Google Scholar] [CrossRef] [PubMed]
- Finstad, J.L.; Nordeide, J.T. Acoustic repertoire of spawning cod, Gadus morhua. Environ. Biol. Fish. 2004, 70, 427–433. [Google Scholar] [CrossRef]
- Wahlberg, M.; Westerberg, H. Sounds produced by herring (Clupea harengus) bubble release. Aquat. Liv. Resour. 2003, 16, 271–275. [Google Scholar] [CrossRef]
- Wilson, B.; Batty, R.S.; Dill, L.M. Pacific and Atlantic herring produce burst pulse sounds. Proc. R. Soc. B 2004, 271, 95–97. [Google Scholar] [CrossRef]
- Waters, R.; Engström, J.; Isberg, J.; Leijon, M. Wave climate off the Swedish west coast. Renew. Energy 2009, 34, 1600–1606. [Google Scholar] [CrossRef]
- Cato, I.; Kjellin, B. Marine Geological Studies at the Wave Power Park Outside Islandberg, Bohuslän; SGU Rapport 2008:10; Sveriges Geologiska Undersökning: Uppsala, Sweden, 2008. [Google Scholar]
- Rossing, T.D. Springer Handbook of Acoustics; Springer: Berlin, Germany, 2007. [Google Scholar]
- Nedwell, J.R.; Turnpenny, A.W.H.; Langworthy, J.; Edwards, B. Measurements of underwater noise during piling at the Red Funnel Terminal, Southampton, and observations of its effect on caged fish. Available online: http://www.subacoustech.com/wp-content/uploads/558R0207.pdf (accessed on 16 May 2013).
- Madsen, P.T.; Wahlberg, M.; Tougaard, J.; Lucke, K.; Tyack, P.L. Wind turbine underwater noise and marine mammals: Implications of current knowledge and data needs. Mar. Ecol. Progr. Ser. 2006, 309, 279–295. [Google Scholar] [CrossRef]
- Bailey, H.; Senior, B.; Simmons, D.; Rusin, J.; Pickens, G.; Thompson, P.M. Assessing underwater noise levels during pile-driving at an offshore windfarm and its potential effects on marine mammals. Mar. Pollut. Bull. 2010, 60, 888–897. [Google Scholar] [CrossRef] [PubMed]
© 2013 by the authors; licensee MDPI, Basel, Switzerland. This article is an open access article distributed under the terms and conditions of the Creative Commons Attribution license (http://creativecommons.org/licenses/by/3.0/).
Share and Cite
Haikonen, K.; Sundberg, J.; Leijon, M. Characteristics of the Operational Noise from Full Scale Wave Energy Converters in the Lysekil Project: Estimation of Potential Environmental Impacts. Energies 2013, 6, 2562-2582. https://doi.org/10.3390/en6052562
Haikonen K, Sundberg J, Leijon M. Characteristics of the Operational Noise from Full Scale Wave Energy Converters in the Lysekil Project: Estimation of Potential Environmental Impacts. Energies. 2013; 6(5):2562-2582. https://doi.org/10.3390/en6052562
Chicago/Turabian StyleHaikonen, Kalle, Jan Sundberg, and Mats Leijon. 2013. "Characteristics of the Operational Noise from Full Scale Wave Energy Converters in the Lysekil Project: Estimation of Potential Environmental Impacts" Energies 6, no. 5: 2562-2582. https://doi.org/10.3390/en6052562
APA StyleHaikonen, K., Sundberg, J., & Leijon, M. (2013). Characteristics of the Operational Noise from Full Scale Wave Energy Converters in the Lysekil Project: Estimation of Potential Environmental Impacts. Energies, 6(5), 2562-2582. https://doi.org/10.3390/en6052562
