Next Article in Journal
The Influence of Financial Development on Renewable Energy Consumption: A Nonlinear Analysis from a Global Perspective
Previous Article in Journal
Valorization of Waste Oxytree Biomass for Impregnated Solid Fuel Production—Process Assessment and Fuel Property Evaluation
Previous Article in Special Issue
Integration of Grid-Scaled Power-to-Heat Technology in Korea’s Power System: Operational Advantages and Future Insights for Renewable Energy Enhancement
 
 
Font Type:
Arial Georgia Verdana
Font Size:
Aa Aa Aa
Line Spacing:
Column Width:
Background:
Article

Low-Carbon Economic Optimization and Collaborative Management of Virtual Power Plants Based on a Stackelberg Game

1
Dongfang Electric (Chengdu) Innovation Research, Co., Ltd., Chengdu 610218, China
2
School of Robotics, Wuhan University, Wuhan 430072, China
*
Author to whom correspondence should be addressed.
Energies 2026, 19(8), 1821; https://doi.org/10.3390/en19081821
Submission received: 2 March 2026 / Revised: 31 March 2026 / Accepted: 5 April 2026 / Published: 8 April 2026

Abstract

To address the challenges of low-carbon economic optimization and collaborative management for multiple Virtual Power Plants (VPPs), this paper proposes a low-carbon economic optimization and collaborative management method based on a Stackelberg game framework. Firstly, a Stackelberg game model is constructed with the Distribution System Operator (DSO) as the leader and multiple VPPs as followers. The leader (DSO) guides the followers’ behavior through dynamic pricing strategies to maximize its own utility. Meanwhile, the followers (VPPs) develop energy management strategies to minimize their individual costs, taking into account factors such as energy transaction costs, fuel costs, carbon trading costs, operation and maintenance (O&M) costs, compensation costs, and renewable energy generation revenues. Furthermore, the strategy spaces of all participants are defined, and an optimization model is established subjected to constraints including energy balance, energy storage operation, power conversion, and flexible load response. The CPLEX solver and Nonlinear-based Chaotic Harris Hawks Optimization (NCHHO) algorithm are employed to solve the proposed game model. Simulation results demonstrate that the proposed method effectively facilitates collaboration between the DSO and multiple VPPs. While ensuring the safe operation of the system, it balances the profit between the DSO and VPPs, and incentivizes renewable energy consumption and indirect carbon reduction, thereby validating the effectiveness and superiority of the method and providing reliable technical support for the low-carbon collaborative operation of multiple VPPs.

1. Introduction

Driven by the global goals of carbon neutrality and carbon peaking, the energy system is undergoing a profound low-carbon transition. The large-scale grid integration of renewable energy and the clustered operation of distributed energy resources have emerged as pivotal trends in future energy development [1,2]. As a critical enabler for integrating distributed generators, energy storage systems, flexible loads, and other resources, Virtual Power Plants (VPPs) transform distributed energy from “disordered grid connection” to “ordered collaboration” by aggregating the regulation potential of scattered energy resources. This provides an effective pathway for enhancing the flexibility of power systems and promoting the accommodation of renewable energy [3,4]. With the continuous expansion in the number and scale of VPPs, the collaborative operation of multi-VPP clusters has increasingly become a critical research topic in power system dispatch and management [5,6].
As the core link connecting the power supply side and the demand side, the operational efficiency of a distribution system directly impacts the accommodation level of distributed energy and the overall system benefits. Distribution System Operators (DSOs), acting as the managers and dispatchers of distribution systems, are responsible for coordinating the operational behaviors of multiple VPPs, balancing supply and demand, reducing carbon emissions, and controlling operational costs [7]. However, each VPP operates as an independent market entity with the core objective of maximizing its own benefits. Its energy management strategies (such as generation schedule formulation, load regulation, and energy storage charging/discharging control) are not only constrained by internal resource endowments but also closely coupled with the decisions of other VPPs and the dispatching strategies of the DSO [8]. This complex interaction, characterized by multiple stakeholders, conflicting objectives and diverse constraints, renders traditional centralized dispatching methods inadequate for balancing the interests of all parties, resulting in limited feasibility and economic efficiency of dispatching schemes [9]. Furthermore, with the gradual maturation of carbon trading markets, carbon emission costs have evolved into a significant component of the energy system operational costs. Consequently, integrating carbon constraints into the collaborative dispatching process of multiple VPPs further accentuates the complexity of the optimization problem, which is driven by both economic and low-carbon objectives [10,11].
Currently, extensive research has been conducted on the optimal dispatching and collaborative management of VPPs. Regarding the optimal dispatching of a single VPP, existing studies primarily focus on the optimal allocation of internal resources. By establishing optimization models that incorporate factors such as the uncertainty of renewable energy output and energy storage operation constraints, these studies aim to minimize costs or maximize benefits [12,13]. Reference [14] constructs an intraday optimal dispatching model for VPPs considering wind power output fluctuations, which is solved using the particle swarm optimization algorithm, effectively improving the operational economy of VPPs. Reference [15] incorporates carbon trading costs into the VPP utility function and proposes a dispatching strategy that balances economic and low-carbon objectives. However, such studies typically overlook the interactive relationships between multiple VPPs and thus cannot adapt to the operational requirements of multi-VPP clusters. In the field of multi-VPP collaborative management, the energy resources among VPPs exhibit spatiotemporal complementarity [16]. Therefore, conducting collaborative optimization that accounts for multi-VPP clusters in a unified regional distribution network can achieve interest balance and optimization among VPPs, leading to better economic benefits. Reference [17] proposes a low-carbon optimal dispatching method for distribution systems with multiple VPPs, reducing system carbon emissions by coordinating the output plans of each VPP. Furthermore, distributed coordination methods achieve the alignment of local optimality and global optimization through information interaction and autonomous decision-making among multiple subjects. Reference [18] adopts the Alternating Direction Method of Multipliers (ADMM) to realize distributed optimization of multiple VPPs, balancing dispatching efficiency and privacy protection. Nevertheless, existing distributed methods mostly focus on economic objective optimization, with insufficient consideration of low-carbon constraints. Moreover, they fail to effectively characterize the interest game relationships among participants, resulting in inadequate fairness and feasibility of collaborative dispatching schemes.
As an effective tool for analyzing interest interactions among multiple entities, game theory provides a novel solution for the multi-VPP collaborative management [19]. In particular, the Stackelberg game, a non-cooperative game model, effectively coordinates interest conflicts between entities by characterizing the hierarchical “leader–follower” decision-making relationship [20]. In the power system field, the Stackelberg game has been widely applied to multi-entity collaboration problems, such as those involving power grids and distributed generators, as well as microgrids and load aggregators [6,7,12]. Reference [21] designs a transaction mechanism between electricity retailers and VPPs based on the Stackelberg game, enhancing the economic benefits of both parties. However, existing studies utilizing the Stackelberg game mostly target single VPPs or two-party interaction scenarios, lacking a systematic analysis of multi-VPP cluster collaboration. Furthermore, they do not fully integrate carbon trading mechanisms and complex constraints (such as energy storage operation and flexible load response), making it difficult to meet the practical requirements for the low-carbon economic collaborative operation of multiple VPPs [22,23].
Additionally, research on multi-VPP collaborative management has yielded substantial results, with scholars worldwide focusing on guiding distributed resources to participate in market games through carbon trading mechanisms [24,25,26]. However, the existing research lacks an in-depth investigation into the integration of stepwise carbon trading mechanisms and flexible load constraints within a multi-VPP Stackelberg game framework [27]. Specifically, the dynamic game relationship between carbon trading costs and adaptive load response strategies has been overlooked, resulting in sub-optimal economic and environmental synergies in low-carbon economic dispatch strategies. Therefore, this work proposes a Stackelberg game-based method for the low-carbon economic optimization and collaborative management of multiple VPPs.
The main research contents are as follows:
(1)
A Stackelberg game model for multi-VPP energy management is constructed, clarifying the DSO as the leader and multiple VPPs as the followers, to characterize the interest interaction relationship between the two parties.
(2)
A dynamic pricing game model for the leader (DSO) and an energy management game model for the followers (VPPs) are established, respectively. The VPP utility function comprehensively considers multi-dimensional factors such as energy transaction costs, fuel costs, and carbon trading costs. Furthermore, a strategy space subject to constraints regarding energy balance, energy storage operation, power conversion, and flexible load response is constructed.
(3)
A solution approach integrating the Nonlinear-based Chaotic Harris Hawks Optimization (NCHHO) algorithm and CPLEX solver is introduced to efficiently obtain the equilibrium solution of the Stackelberg game, thereby achieving a win–win outcome for both the DSO and multiple VPPs.
The main innovations of this paper are reflected in three aspects: First, a multi-VPP Stackelberg game framework balancing the profit between the DSO and VPPs is constructed. By incorporating carbon trading costs into the VPP utility function, the collaborative optimization of low-carbon economic objectives is realized. Second, multi-constraint conditions such as energy storage operation and flexible load response are systematically considered, improving the description of the VPP strategy space and enhancing the engineering feasibility of dispatching schemes. Third, the NCHHO algorithm is successfully applied to the problem of optimization for multi-VPP collaborative dispatching.
The remainder of this paper is organized as follows: Section 2 provides a Stackelberg game model for energy management of multiple VPPs. The dynamic pricing of the leader and energy management of the follower VPPs are presented in Section 3 and Section 4, respectively. The Stackelberg game-based optimal scheduling model for multiple VPPs is described in Section 5. In Section 6, a case study is conducted, and the results are discussed. Finally, conclusions are drawn in Section 7.

2. Stackelberg Game Model for Energy Management of Multiple VPPs

In the scenario of clustered multiple-VPP operation, each VPP acts as an independent energy aggregation unit. The output of its internal Distributed Energy Resources (DERs) and load demand exhibit real-time dynamic fluctuations, frequently leading to an imbalance between internal power generation and consumption within a given time interval. To address this challenge, this work employs a multi-VPP method for energy management.
To facilitate orderly energy interaction between multiple VPPs and the distribution system, a transaction mechanism involving the Distribution System Operator (DSO) and multiple VPPs is designed, as illustrated in Figure 1. As the core dispatching and transaction entity, the DSO is responsible for formulating unified transaction prices for electricity purchase and sale. VPPs with power surplus can sell excess electricity to the DSO at the electricity selling price, thereby monetizing surplus energy. Conversely, power-deficit VPPs can purchase the required electricity from the DSO at the purchase price, ensuring a reliable power supply for their internal loads. Meanwhile, based on the aggregated power purchase and sale data reported by each VPP, the DSO conducts two-way transactions with the power market by leveraging the grid price (the price for purchasing electricity from the microgrid) and the grid feed-in price (the price for selling electricity to the microgrid) in the power market. The DSO generates revenue through the transaction price difference, forming a three-level closed-loop energy transaction system of “VPP-DSO-Power Market”.
Considering the distinct investment and operational entities of the DSO and VPPs, their divergent interest demands, and the DSO’s role as the distribution system manager, a leader–follower hierarchical Stackelberg game framework is constructed in this work, as shown in Figure 2. The roles are defined as follows:
Leader (DSO): As the dominant player in the game, the DSO first aggregates the initial electricity purchase and sale demand reported by each VPP. Subsequently, considering power market grid prices, system operational constraints, and the price response characteristics of VPPs, it formulates differentiated electricity purchase and sale prices for each VPP with the objective of maximizing its own net profit.
Followers (Multiple VPPs): Each VPP acts as an independent follower in the game. Upon receiving the transaction prices set by the DSO, each VPP optimizes the output schedules of its internal DERs and load response strategies based on its own resource endowments (such as DER output potential, energy storage status, and adjustable capacity of flexible loads). With the objective of minimizing its own operation cost, each VPP determines the final volume of electricity to be purchased from or sold to the DSO.
In this game process, the decision-making of the leader and followers exhibits a clear sequential hierarchy: the DSO determines the transaction prices first, followed by the response of the multiple VPPs who formulate their energy management strategies, thus constituting a typical Stackelberg game. Furthermore, as parallel followers, the VPPs make decisions simultaneously to pursue individual optimality without information exchange regarding their specific electricity volumes and DER output strategies, thereby forming a non-cooperative game relationship. These components together constitute a hybrid “leader–follower–non-cooperative” game system.
The Stackelberg game model for the DSO and multiple VPPs constructed in this work consists of three core components: players, strategy spaces, and utility functions, which are defined in detail as follows:
(1)
Players: The core participants in the game are the leader (DSO) and the followers (multiple VPPs). The DSO, as a single leader, undertakes the functions of system dispatching and transaction pricing. The multiple VPPs, acting as multiple independent followers, each possess internal DERs (including distributed generators, energy storage systems, flexible loads, etc.) and possess the capability for independent decision-making regarding energy management.
(2)
Strategies: A strategy refers to the decision variables adopted by each player to achieve their respective goals. For the leader (DSO), the core strategies are the electricity purchase price and sale price offered to the multiple VPPs. These prices must be set within a reasonable range constrained by the power market price interval and system supply–demand balance requirements. For the followers (VPPs), their core strategies encompass two aspects: first, the transaction volume with the DSO (i.e., the electricity sales volume for power-surplus VPPs and the electricity purchase volume for power-deficit VPPs); and second, the operational schedules of internal DERs (such as the output of distributed generators, the charging/discharging power of energy storage systems, and the load transfer of flexible loads). All strategy variables must satisfy the respective equipment constraints and operational rules of the VPPs.
(3)
Utility Functions: A utility function represents the objective-oriented metric for each player. The DSO’s utility objective is to maximize its own net profit, which is achieved by formulating optimal transaction prices to balance the transaction revenue from multiple VPPs against the transaction cost within the power market. The multiple VPPs’ utility objective is to minimize their own comprehensive operation cost, which covers multi-dimensional expenditures such as energy purchase cost, fuel consumption cost, carbon trading cost, equipment operation and maintenance cost, and compensation cost. The utility functions of both parties will be described in detail in Section 3 and Section 4, respectively.

3. Stackelberg Game Model for Dynamic Pricing of the Leader (DSO)

3.1. Strategy

The strategy adopted by the DSO consists of the electricity purchase prices λ t D A , b and sale prices λ t D A , s formulated for each VPP at time t, denoted as λ D A , b = λ 1 D A , b , λ 2 D A , b , , λ T D A , b and λ D A , s = λ 1 D A , s , λ 2 D A , s , , λ T D A , s , respectively, where T represents the number of time intervals in a day.

3.2. Utility Function

The DSO’s utility function aims to maximize its net profit, which accounts for the costs and revenues from electricity transactions with both the power market and VPPs. The objective function is expressed as follows:
max   F D S O = t = 1 T λ t W , s P t D S O , s λ t W , b P t D S O , b + λ t D A , b j = 1 N P j , t V P P , b λ t D A , b j = 1 N P j , t V P P , s
where λ t W , s and λ t W , b are the grid sale price (price for selling to the power market) and grid purchase price (price for purchasing from the power market) at time t, respectively; P j , t V P P , b and P j , t V P P , s represent the electricity sold to and purchased from the DSO by VPP j at time t, respectively; P t D S O , s and P t D S O , b denote the electricity sold to and purchased from the power market by the DSO at time t, respectively; and N is the total number of VPPs.
To ensure the supply–demand balance among all VPPs, P t D S O , s and P t D S O , b are defined as follows:
P t D S O = j = 1 N P j , t V P P , b P j , t V P P , s P t D S O , b = max 0 , P t D S O P t D S O , s = min 0 , P t D S O
where P t D S O is the total electricity transacted between the DSO and the power market after aggregating all the VPPs’ purchases and sales of electricity. A positive value of P t D S O indicates that the DSO purchases electricity from the power market, while a negative value indicates that the DSO sells electricity to the power market.

3.3. Strategy Space

To incentivize VPPs to participate in transactions with the DSO, the electricity purchase and sale prices formulated by the DSO must satisfy the following constraint:
λ t W , s λ t D A , s λ t D A , b λ t W , b
In Equation (3), the DSO’s electricity purchase price λ t D A , b must not exceed the grid purchase price λ t W , b , and its electricity sale price λ t D A , s must not be lower than the grid sale price λ t W , s . This constraint ensures that VPPs will choose to transact with the DSO to maximize their own interests. Consequently, the DSO’s strategy space is thus defined by Equation (3), denoted as Ω D S O .

4. Stackelberg Game Model for Energy Management of the Follower VPPs

4.1. Strategy

The game strategy of a VPP consists of its operational schedule for each time interval, including the electricity sold to the DSO ( P j , t V P P , s ), the electricity purchased from the DSO ( P j , t V P P , b ), the output power of micro gas turbines ( P i , t M T ), the charging/discharging power of energy storage (ES) systems ( P i , t E S ), the power of flexible loads ( P i , t F l e x ), and the output power of renewable energy sources (photovoltaic systems ( P i , t P V ) and wind turbines ( P i , t W T )). These variables are denoted as p j = P j , t V P P , s , P j , t V P P , b , P i , t M T , P i , t E S , P i , t F l e x , P i , t P V , P i , t W T i N j , t = 1 : T where Nj represents the set of distributed energy resources (DERs) contained in VPP j.

4.2. Utility Function

The VPP’s utility function in the game aims to minimize its operational cost, which comprises the electricity transaction cost ( C j N E T ), MT’s fuel cost ( C j M T ), carbon trading cost ( C j C O 2 ), operation and maintenance (O&M) cost ( C j O P ), revenue from renewable energy generation ( C j G r e e n ), and compensation cost for flexible load demand response ( C i , t F l e x ). For an arbitrary VPP j, its utility function is expressed as:
min   C j V P P = C j N E T + C j M T + C j C O 2 + C j O P + C j F l e x C j G r e e n

4.2.1. Electricity Transaction Cost

To maintain power balance, VPPs engage in transactions with the upper-level grid by purchasing electricity to meet load demand when its internal generation is insufficient, and selling surplus electricity to the grid when generation exceeds demand. Thus, the electricity transaction cost within the grid is expressed by:
C j N E T = t = 1 T λ t D A , b P j , t V P P , b λ t D A , s P j , t V P P , s + λ E S S N E T P j , t E S 2
where λ E S S N E T denotes the scheduling coefficient of energy storage.

4.2.2. Fuel Cost

The micro gas turbine (MT), fueled by natural gas, exhibits variable-load efficiency characteristics. The relationship between its output power and fuel cost is formulated as a quadratic function [28]:
C i , t M T = a i P j , t M T 2 + b i P j , t M T + c i
where a i , b i and c i are the cost coefficients of the MT.

4.2.3. Carbon Trading Cost

Carbon emissions are generally generated throughout the production, transportation, and consumption processes of various energy sources, including CO2 emissions from the MTs fueled by natural gas, as well as CO2 emissions associated with the operation of photovoltaics (PV), wind power, and energy storage systems. Accordingly, the equivalent carbon emissions can be formulated as follows:
E C O 2 = t = 1 T η M T P j , t M T + η P V P j , t P V + η W T P j , t W T + η E S P j , t E S + η V P P P j , t V P P
where P j , t M T , P j , t P V , P j , t W T , and P j , t E S represent the output power of the MT, PV system, WT, and the charging/discharging power of energy storage in VPP j at time t, respectively; P j , t V P P is the absolute transaction power of VPP j with the DSO at time t; η M T , η P V , η W T , η E S , and η V P P denote the CO2 emission factors of the MT, PV, WT, ES and the absolute transaction power, respectively.
To reduce carbon emissions, carbon quotas are typically incorporated into the carbon trading mechanism as free carbon emission allowances allocated to market participants; any excess emissions must be purchased through the market [29,30].
Generally, there are two common methods for allocating carbon quotas: free allocation and paid allocation. Free allocation refers to granting a specific emission quota to the system in advance at no cost, in order to enhance its willingness to participate; whereas paid allocation requires the system to pay corresponding fees for its own carbon emissions. In this work, to encourage the VPP participation in the carbon market, free allocation is adopted, and carbon emission quotas are formulated as follows:
E A l l o c = t = 1 T γ M T P t M T + γ P V P t P V + γ W T P t W T + γ V P P P t V P P
where γ M T , γ P V , γ W T and γ V P P are the conversion coefficients of the carbon allowance allocation corresponding to the aforementioned energy generation and consumption processes, respectively.
The carbon trading mechanism requires energy suppliers to control their carbon emissions within their carbon allowances. Any emissions exceeding the allocated allowances must be offset by purchasing carbon credits from the market to avoid penalties. This work adopts a stepwise carbon trading mechanism, which sets price intervals based on the volume of carbon emissions: the unit price increases as the purchase volume rises. The stepwise carbon price is defined as:
λ k C O 2 = λ b a s e C O 2 1 4 k 1 + 1
where k is the number of price steps; λ k C O 2 is the carbon trading price for the k-th step; λ b a s e C O 2 is the basic unit price of carbon trading. Accordingly, the carbon trading cost is calculated as:
C j C O 2 = k = 1 K λ k C O 2 min max E j C O 2 E j A l l o c L × k 1 , 0 , L
where L denotes the step length; E j A l l o c is the carbon allowance allocated to VPP j, and E j C O 2 is the total carbon emissions of VPP j.

4.2.4. Operation and Maintenance (O&M) Cost

In the integrated energy system, PV systems, WTs, and energy storage systems all incur corresponding O&M costs, which can be expressed as:
C j O P = t = 1 T λ P V P j , t P V + λ W T P j , t W T + λ E S P j , t E S
where λ P V , λ W T and λ E S denotes the O&M cost coefficients for the PV system, WT and energy storage, respectively.

4.2.5. Compensation Cost

Since users have different willingness to shift or curtail their electrical loads, compensation is provided to incentivize user participation in flexible load curtailment. The compensation cost is given by:
C j F l e x = t = 1 T λ c o s t F l e x P j , t F l e x
where P j , t F l e x represents the power of curtailable electrical loads in VPP j at time t; and λ c o s t F l e x is the compensation cost coefficient of curtailed electrical loads.

4.2.6. Revenue from Renewable Energy Generation

To encourage renewable energy generation, certified “carbon assets” or Green Electricity Certificates (GECs) can be generated after verification by authorized institutions. These assets can be sold in the carbon emission trading market or the green electricity market to enterprises with carbon emission quota constraints, thereby generating revenue:
C j G r e e n = λ g r e e n t = 1 T P j , t P V + P j , t W T
where λ g r e e n is the quantification coefficient for converting renewable energy generation into Green Electricity Certificates.

4.3. Strategy Space

In responding to the prices released by the DSO, the VPP must satisfy the power balance constraint and the operational constraints of each DER, while pursuing its own profit. The VPP’s strategy space is denoted as Ω j V P P , j = 1, 2…, N.

4.3.1. Energy Balance Constraint

To achieve the collaborative optimization between the DSO and the VPP and maximize self-interests while meeting user demand, the energy balance constraint must be strictly satisfied as follows:
P j , t V P P , b P j , t V P P , s + P j , t M T + P j , t E S + P j , t F l e x + P j , t W T + P j , t P V = P j , t L D
where P j , t L D is the predicted load value of VPP j at time t.

4.3.2. Energy Storage Constraints

The energy storage constraints cover the charging and discharging operational constraints of the electrical energy storage battery, which are given as follows:
P j , min E S P j , t E S P j , max E S
S j , min E S = S j , t 1 E S Δ t E j , max P j , t E S
S j , min E S S j , t E S S j , max E S
S 0 E S = S T E S
where S j , t E S is the state of charge (SOC) of energy storage in VPP j at time t; S j , min E S and S j , max E S are the lower and upper limits of the SOC, respectively; P j , min E S and P j , max E S are the charging and discharging power of energy storage, respectively; E j , max is the maximum energy capacity of the energy storage system (energy losses are neglected in these constraints); and Δ t is the time interval from time t to time t + 1.

4.3.3. Power Upper/Lower Limit and Ramp Rate Constraints

To achieve economic dispatch and efficient operation for a system with diversified flexible resources, the following constraints must be satisfied.
0 P j , t V P P , s θ j , t P j , max V P P
0 P j , t V P P , b 1 θ j , t P j , max V P P
0 P j , t M T P j , max M T
P j , d n M T P j , t M T P j , t 1 M T P j , u p M T
0 P j , t W T P t , max W T
0 P j , t P V P t , max P V
where θ j , t is a binary variable: θ j , t = 1 indicates that VPP j sells electricity to the DSO at time t, while θ j , t = 0 indicates that VPP j purchases electricity from the DSO at time t; P j , max V P P is the maximum transaction volume between VPP j and the DSO; P j , max M T is the maximum output power of the MT; P j , d n M T and P j , u p M T are the downward and upward ramp rates of the MT, respectively; P t , max W T and P t , max P V are the maximum output power of the WT and PV at time t, respectively, taken as the predicted wind and PV power value for VPP j.

5. Stackelberg Game-Based Optimal Scheduling Model for Multiple Virtual Power Plants

5.1. Stackelberg Game Model

According to the aforementioned analysis, the Stackelberg game model for the DSO and multiple VPPs is formulated as follows:
max λ D A , s , λ D A , b , p F D S O λ D A , s , λ D A , b , p s . t . λ D A , s , λ D A , b Ω D S O p j = arg min p ^ j C j V P P λ D A , s , λ D A , b , p ^ j         j p ^ j Ω j V P P ,
where the specific forms of the objective function and constraints are consistent with the definitions provided in the aforementioned Sections.
In Equation (25), the DSO and VPPs formulate their strategies with the objectives of maximizing revenue and minimizing operational costs, respectively. The DSO’s revenue is related to the electricity purchase/sale prices it sets and the transaction volumes of the VPPs: a larger price difference between the purchase and sale prices, or a larger volume of electricity shared among VPPs, will lead to higher revenue for the DSO. However, the VPPs’ price-responsive behaviors also affect the DSO’s revenue: a higher purchase price will reduce the VPPs’ electricity purchase volume, while a lower sale price will decrease the VPPs’ electricity sale volume, resulting in a reduction in the total electricity exchanged among VPPs. Evidently, an interest game exists between the DSO and the VPPs. To maximize its own revenue, the DSO must account for the VPPs’ price-responsive behaviors and determine the optimal electricity pricing strategy by finding the Nash equilibrium solution.

5.2. Solution for Game Model

The solution process consists of two stages. In the first stage, the NCHHO algorithm [31] is used to solve the DSO’s objective function in Equation (1). In the second stage, the CPLEX solver in the YALMIP toolbox is utilized to calculate the total cost of the lower-level aggregated VPPs in Equation (4) under its multi-objective and multi-constraint conditions. The specific steps are described as follows:
(1)
Data Input. Input the purchasing and selling prices of the distribution network, wind and solar power forecast data, and predicted load data. Set the constraints for the control variables.
(2)
Population Initialization. Initialize the population by setting initial random variables, specifically the SO’s internal purchasing and selling prices, the quantities of electricity traded, and the SO’s internal energy storage capacity. Define the upper and lower bounds of the search space and the maximum number of iterations, iter = 30, and set the population size to 30.
(3)
Position Initialization. Randomly initialize the positions of all individuals within the defined search space.
(4)
Fitness Calculation. Calculate the SO’s profit and the VPP’s cost according to Equation (1) and Equation (4), respectively. The fitness value for each individual is based on this optimization.
(5)
Evaluation and Update. For each individual, calculate its new fitness value and update the best individual (the best solution found so far) if a better one is found.
(6)
Termination Check. Determine whether the search result meets the stopping criteria (e.g., reaching the maximum number of iterations). If met, output the optimal solution; otherwise, repeat steps (4) and (5) until the convergence condition is satisfied.

6. Case Study and Results

6.1. Case Configuration

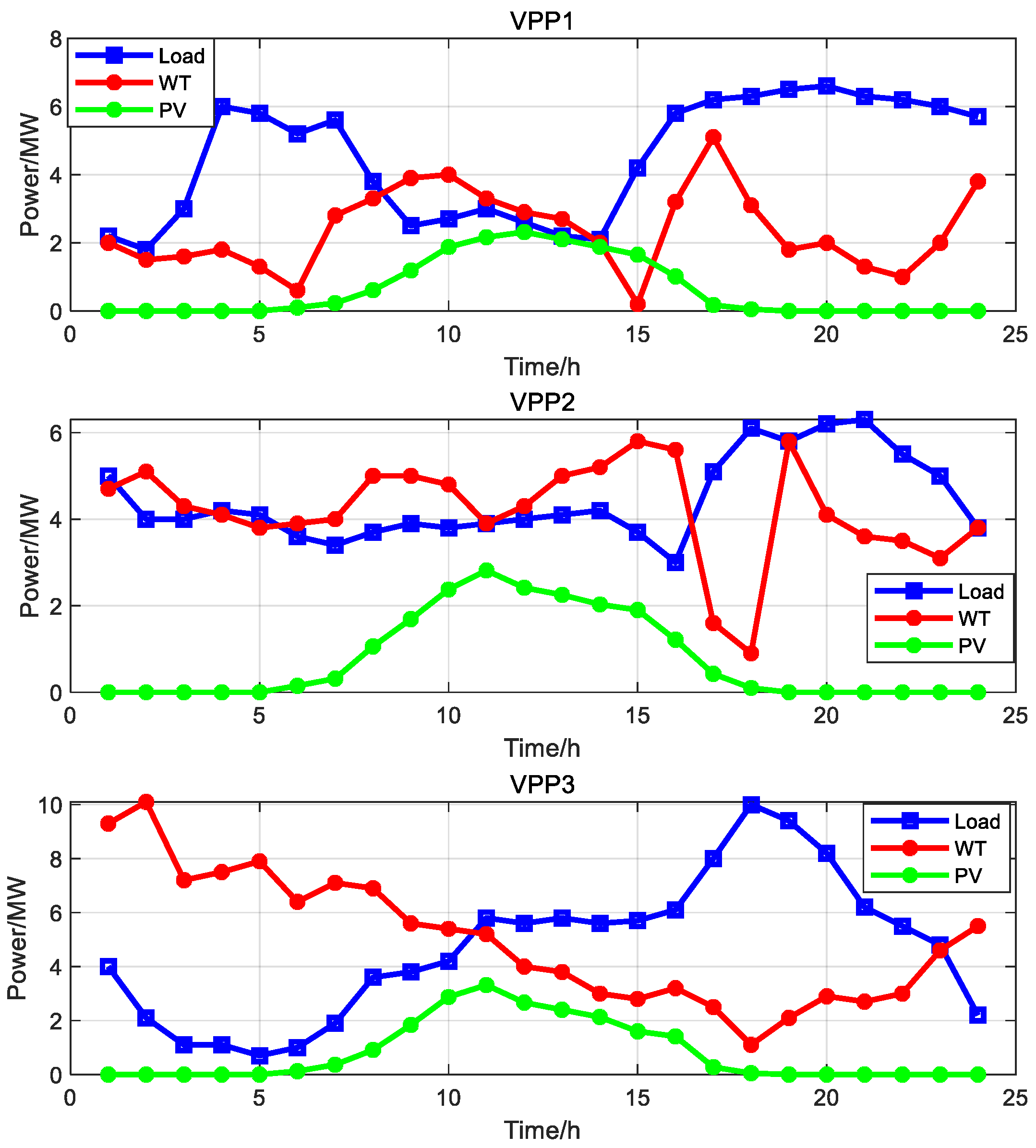
The proposed algorithm was validated through modeling and analysis in MATLAB 2021b, aided by the YALMIP toolbox and the CPLEX solver. The case study involves a VPP cluster system designed in this work, which consists of three VPPs. Each VPP contains MT, energy storage systems (batteries), wind power and photovoltaics, with the set of distributed energy resources defined as Nj = 1. All data used in this work are derived from the simulation of a typical real-world scenario. Figure 3 illustrates the forecasted wind power, solar power and load demand for VPPs on a representative day. The technical parameters of each component are tabulated in Table 1, Table 2, Table 3, Table 4 and Table 5.

6.2. Results for the Bi-Level Game Optimization Strategy

Figure 4 shows the optimized electricity prices. It can be observed that the electricity purchase and sale prices formulated by the DSO satisfy the constraints defined in Equation (3). This ensures that VPPs choosing to transact with the DSO are instrumental in maximizing their own interests.
Figure 5 presents the results of electricity purchasing and selling volumes for both the DSO and the VPP cluster. It can be observed that, under price-based regulation, the transaction behaviors of the VPPs are driven by the objective of maximizing their own interests. Taking VPP1 as an example, electricity is purchased from the DSO during periods 1–7 when purchase prices are lower, while electricity is sold to the DSO during periods 7–14 when sale prices are higher. This phenomenon occurs because such a strategy not only minimizes the operational costs for the VPPs but also enhances the benefits for the DSO in its transactions with the upper-level power market.
Figure 6, Figure 7 and Figure 8 provide a detailed view of the internal power generation, energy storage dynamics, and electricity trading within the VPPs. It can be seen that, through the coordinated supplied by the MT, PV, WT, and energy storage, optimized scheduling both within the VPPs and across the distribution network effectively meets load demand and enhances power supply reliability. Taking VPP1 as an example, during time periods 1–2, the electricity purchase price is lower than the O&M costs of the WT; consequently, the system opts to purchase electricity directly from the DSO and utilizes the surplus to charge the energy storage. During time periods 3–7, the WT and the MT are dispatched to meet the user load demand. During time periods 8–13, driven by rising purchase and sale prices, PV and WT power are efficiently utilized, with the surplus electricity sold to the DSO to maximize profits. During time periods 14–24, characterized by high load demand, VPP1 balances the load using the output of PV, WT, storage, and the MT. Given the intermittent nature of WT and PV, their output is prioritized to meet load demand. Meanwhile, the MT, owing to its flexible scheduling characteristics, effectively compensates for the uncertainty of renewable energy output and enables on-demand power generation, as exemplified during time periods 3–7 and 17–23. Additionally, this work not only improves the interactivity of power exchange but also facilitates rapid matching of buyers and sellers during supply shortages or surpluses. This demonstrates the effectiveness of our approach.
Table 6 presents the operational cost of VPPs. It can be observed that operation and maintenance (O&M) costs account for a significant proportion of the total expenses. Fundamentally, this is attributed to the substantial output of renewable energy sources, such as wind power, which not only contributes to carbon emission reduction but also yields substantial carbon emission compensation through Green Electricity Certificates indirectly. This indicates that the proposed method, while satisfying its own economic interests, realizes low-carbon economic optimization through an energy management strategy subject to constraints including energy balance, energy storage operation, power generation and transaction, and flexible load response.

6.3. Comparison

6.3.1. Comparison with Fixed Electricity Prices

To further validate the effectiveness of the proposed model, two strategies are established for comparison analysis:
Strategy 1: This strategy serves as the baseline scenario. It does not utilize the dynamic pricing mechanism from the DSO. Instead, a fixed electricity price is uniformly applied for both purchasing and selling, corresponding to the standard grid tariff detailed in Table 7.
Strategy 2: This strategy implements the model proposed in this work, which is characterized by the adoption of dynamic prices formulated by the DSO.
Table 8 presents the economic benefits for the DSO and the VPPs under the two strategies. It can be observed that under Strategy 2, the DSO aims to maximize revenue by optimizing internal transaction electricity prices. Furthermore, since the purchase price set by the DSO does not exceed the grid electricity price, and the sale price is not lower than the feed-in tariff, the operation cost for the VPPs is reduced compared to Strategy 1.
Table 9 presents a detailed quantitative comparison of carbon emissions and revenues for each VPP under Strategy 1 and Strategy 2. It can be observed that the physical carbon emissions, which are mainly from the MTs fueled by natural gas, do not account for a large proportion. Despite variations in physical emissions, the revenues in Strategy 2 reflect the economic incentives provided by the Green Certificate mechanism. This indicates that the proposed model effectively incentivizes renewable energy consumption and indirect carbon reduction.

6.3.2. Comparison with HHO Optimization Method

To demonstrate the advantages of the method proposed in this work, its execution, adaptability, and global search capability were evaluated under the same game model. Representative results from running the NCHHO and the classic HHO algorithm [32] with the same population size and initial populations are illustrated in Figure 9. Specifically, both algorithms were executed for 10 independent runs to ensure statistical significance. Table 10 lists the statistical metrics, including the mean, standard deviation, and best fitness. These results indicate that NCHHO consistently outperforms the standard HHO in terms of solution quality, thereby confirming the effectiveness of the NCHHO method incorporated into the proposed model.

6.4. Sensitivity Analysis

6.4.1. Basis Unit Carbon Price

To verify the impact of carbon trading parameters on dispatch outcomes, a sensitivity analysis was performed by gradually increasing the basis unit price of carbon trading. Table 11 lists the revenues of the VPPs and DSO under different price levels. The results indicate that the relationship between the basis unit price of carbon trading and stakeholder profits is non-monotonic; neither excessively low nor high prices ensure optimal returns. Consequently, the optimal comprehensive profit is achieved within the price range of [0.00010, 0.00020]. Therefore, in this work, λ b a s e C O 2 is set to 0.00015.

6.4.2. Free Allocation Coefficients

In order to evaluate the impact of the parameters of the stepwise carbon trading mechanism on the overall objective function, an optimal search for the parameters of free allocation coefficients is performed, using the NCHHO with a population size of 30. The upper and lower limits of the parameters are listed in the ‘Search Range’ column of Table 12. It should be noted that this experiment optimizes only the parameters associated with the carbon trading cost, while the optimal prices are inherited from the previous experiment (Strategy 2). Additionally, the baseline carbon price is set λ b a s e C O 2 = 0.00015.
The optimal parameter values obtained by the NCHHO algorithm are presented in the ‘Optimal Value’ column in Table 12. Table 13 presents the revenues of the VPPs and DSO under the optimized carbon emission conversion parameters. It can be observed that, compared to the non-optimized scenario, the optimized parameters lead to a slight increase in the operational costs of each VPP, while the DSO’s revenue shows an increase. Furthermore, Table 14 lists the corresponding carbon emission conversion values for each part within the VPPs in detail. According to the conversion coefficients, the calculated carbon emissions for each VPP are shown in the “CO2 emission” column. Evidently, after optimization, the adjusted conversion coefficients contribute to a reduction in carbon trading costs. This indicates that the optimization of carbon conversion coefficients effectively modulates VPP operational strategies. Although operational costs increase slightly, the reduction in carbon emissions and associated trading costs validates the effectiveness of the proposed strategy in balancing economic efficiency with environmental benefits.

6.5. Further Discussions

6.5.1. VPP with Non-Responsive Behavior

In real-world operations, a VPP might engage in non-responsive behavior to influence the DSO’s pricing strategy. To investigate this scenario, a comparative case where VPP1 operates independently of DSO price adjustments is designed, named Strategy 3, setting its prices based on the feed-in tariff, while the other two VPPs follow the DSO’s pricing scheme. In this case, the initial populations are inherited from the final populations obtained in the last iteration of Strategy 2. Table 15 illustrates the resulting economic benefits. The results show that the DSO achieves higher profits, and the operational costs of other VPP1 and VPP3 increase. This outcome indicates that VPP with non-responsive behavior can disrupt the balance of the Stackelberg game and lead to suboptimal outcomes for the system, thereby validating the effectiveness of the non-cooperative pricing mechanism in the proposed model.

6.5.2. VPP with No GECs

To verify the validity of the green certificate revenue, denoted as C j G r e e n , which is subtracted from total operational costs, Strategy 4 was designed by removing the green certificate revenue. The respective objective function is as follows:
min   C j V P P = C j N E T + C j M T + C j C O 2 + C j O P + C j F l e x
Table 16 presents the benefits of VPPs and DSO. It can be observed that the DSO’s profit is significantly lower than that in Strategy 2 (which includes the component of Green Certificates), while the costs for each VPP have correspondingly increased, as detailed in Table 17. This demonstrates that the proposed method (incorporating Green Certificates) effectively improves the economic efficiency of the system.

7. Conclusions

Addressing the critical issues of low-carbon economic optimization and collaborative management for multiple Virtual Power Plants (VPPs), this work proposes an optimal dispatch method based on a Stackelberg game. A bi-level game architecture is constructed with the DSO as the leader and multiple VPPs as followers, encompassing the complete research process of model formulation, constraint design, and algorithmic solution. The results indicate that the constructed Stackelberg game model effectively characterizes the interest interaction between the DSO and multiple VPPs. The leader (DSO) maximizes its own utility through a dynamic pricing strategy while providing scientific guidance for the collaborative operation of multiple VPPs. Subject to constraints such as energy balance, energy storage operation, power conversion, and flexible load response, the follower VPPs formulate energy management strategies to achieve individual benefit optimization, comprehensively considering multi-dimensional costs including energy transaction, fuel, carbon trading, operation and maintenance, and compensation, as well as new energy generation revenues. By efficiently solving the game model using the NCHHO algorithm and CPLEX solver, an equilibrium solution satisfying the interests of both parties is successfully obtained. Ultimately, while ensuring the safe and stable operation of the distribution system, the proposed method balances the profit between the DSO and VPPs and incentivizes renewable energy consumption and indirect carbon reduction. It achieves the dual goals of a low-carbon economy and collaborative management, providing a theoretical basis and technical reference for the large-scale low-carbon collaborative operation of multi-VPP clusters. Future work could further extend to the optimization of game models in scenarios involving high-penetration renewable energy and multi-energy coupling, integrate battery life-cycle degradation into the VPP utility function, and consider the impact of uncertainty factors on dispatch strategies to enhance the robustness and engineering applicability of the method. Moreover, we intend to further investigate low-carbon dispatch issues to achieve more substantial emission reductions.
Additionally, the limitations of the non-cooperative assumption should be acknowledged. In practice, VPPs might form coalitions to exert market power. Such cooperative behaviors could lead to higher clearing prices and altered dispatch strategies, potentially reducing the DSO’s revenue and system efficiency. Investigating the impact of such coalitions requires a cooperative game-theoretic framework, which is also a direction for future research.

Author Contributions

Conceptualization, B.Y.; methodology, D.Z.; software, D.Z.; validation, B.Y.; formal analysis, D.Z.; investigation, B.Y.; resources, B.Y.; data curation, B.Y.; writing—original draft preparation, D.Z.; writing—review and editing, D.Z.; visualization, B.Y. and D.Z.; supervision, B.Y.; project administration, B.Y.; funding acquisition, B.Y. All authors have read and agreed to the published version of the manuscript.

Funding

This research received no external funding.

Data Availability Statement

The original contributions presented in the study are included in the article; further inquiries can be directed to the corresponding author.

Conflicts of Interest

Author Bing Yang was employed by Dongfang Electric (Chengdu) Innovation Research, Co., Ltd. The remaining author declares that the research was conducted in the absence of any commercial or financial relationships that could be construed as a potential conflict of interest.

References

  1. Shu, Z.; Zhu, K.; Wang, C.; Shao, H.; Jia, K. Virtual power plants participating in day-ahead electricity market bidding strategy considering carbon trading. Electr. Power Eng. Technol. 2024, 43, 58–69. [Google Scholar]
  2. Wu, Y.; Wu, J.; De, G. Research on trading optimization model of virtual power plant in medium- and long-term market. Energies 2022, 15, 759. [Google Scholar] [CrossRef]
  3. Wang, J.; Fan, R.; Xiao, Y.; Han, X.; Li, Y. Low carbon optimal dispatch of coordinated source-grid-load-storage in new power system based on low-carbon demand response. J. Taiyuan Univ. Technol. 2024, 55, 46–56. [Google Scholar]
  4. Hu, S.; Chen, Y.; Feng, J. A flexible interactive coordination control method of commercial virtual power plant based on WCVAR. Int. J. Electr. Power Energy Syst. 2024, 160, 110128. [Google Scholar] [CrossRef]
  5. Li, P.; Liu, H.; Li, Y. Multi-park integrated energy microgrids hybrid game optimization strategy considering two-stage carbon trading. Trans. China Electrotech. Soc. 2025, 40, 4788–4803. [Google Scholar]
  6. Li, Q.; Dong, F.; Zhou, G. Co-optimization of virtual power plants and distribution grids: Emphasizing flexible resource aggregation and battery capacity degradation. Appl. Energy 2025, 377, 124519. [Google Scholar] [CrossRef]
  7. Zare, A.; Shafie-khah, M.; Siano, P.; Lazaroiu, G.C. A systematic review of virtual power plant configurations and their interaction with electricity, carbon, and flexibility markets. Renew. Sustain. Energy Rev. 2026, 226, 116448. [Google Scholar] [CrossRef]
  8. Marzbani, F.; Osman, A.; Hassan, M. Advances in virtual power plant operations: A review of optimization models. IEEE Access 2025, 13, 131525–131548. [Google Scholar] [CrossRef]
  9. Yu, S.; Fang, F.; Liu, Y.; Liu, J. Uncertainties of virtual power plant: Problems and countermeasures. Appl. Energy 2019, 239, 454–470. [Google Scholar] [CrossRef]
  10. Wang, P.; Ge, Y.; Yu, N.; Lin, Q.; Chen, R.; Wang, J. Low-carbon optimal dispatch of virtual power plant based on time-of-use ladder carbon emission rights exchange mechanism. Syst. Sci. Control Eng. 2023, 11, 2180688. [Google Scholar]
  11. Tian, X.; Zhang, X.; Qi, X.; Liu, F.; Peng, F.; Ju, L. A two-stage scheduling optimization model and benefit allocation strategy for virtual power plants considering demand-side tiered carbon trading. Distrib. Util. 2025, 42, 88–98. [Google Scholar]
  12. Lu, M.; Lou, S.; Liu, J.; Wu, Y.; Wang, Z. Coordinated optimization of multi-type reserve in virtual power plant accommodated high shares of wind power. Proc. CSEE 2018, 38, 2874–2883. [Google Scholar]
  13. Zhao, L.; Chang, W.; Yang, M.; Yang, Q.; Qin, G. Two-stage energy economic optimal dispatch of virtual power plant in deregulated electricity market. Electr. Power 2022, 55, 13–22. [Google Scholar]
  14. Wang, C.; Tang, Z.; Wei, M.; Liu, X.; Cui, H. Coordinated and optimized scheduling of virtual power plants with wind power-waste incineration cogeneration considering uncertainty of source and load sides. J. Electr. Power Sci. Technol. 2024, 39, 232–241. [Google Scholar]
  15. Wang, J.; He, S. Distributionally robust low-carbon scheduling model for virtual power plants considering emerging distributed resources and electricity carbon trading. Electr. Power Constr. 2025, 46, 13–26. [Google Scholar]
  16. Li, X.; Zhao, D. Distributed coordinated optimal scheduling of multiple virtual power plants based on decentralized control structure. Trans. China Electrotech. Soc. 2023, 38, 1852–1863. [Google Scholar]
  17. Li, H.; Li, Y.; Li, W. Distributed cooperative control for virtual power plants considering interaction of source, network and load. Electr. Drive 2019, 49, 72–77. [Google Scholar]
  18. Chen, H.; Wang, Z.; Zhang, R.; Jiang, T.; Li, X.; Li, G. Decentralized optimal dispatching modeling for wind power integrated power system with virtual power plant. Proc. CSEE 2019, 39, 2615–2625. [Google Scholar]
  19. Yang, J. Transaction decision optimization of new electricity market based on virtual power plant participation and Stackelberg game. PLoS ONE 2023, 18, e0284030. [Google Scholar] [CrossRef]
  20. Zhang, H.; Zhang, S.; Cheng, H.; Zhang, X.; Gu, Q. A state-of-the art review on stackelberg game and its applications in power market. Trans. China Electrotech. Soc. 2022, 37, 3250–3262. [Google Scholar]
  21. Zhou, L.; Song, X.; Yu, T. Energy trading optimization method for multi-microgrid systems based on stackelberg game. Acta Energiae Solaris Sin. 2025, 46, 642–649. [Google Scholar]
  22. Wang, G.; Lin, Z.; Chen, Y. Carbon-billed future for virtual power plants: A comprehensive review. Renew. Sustain. Energy Rev. 2025, 217, 115719. [Google Scholar] [CrossRef]
  23. Wang, X.; Chen, C.; Shi, Y.; Chen, Q. Multi-objective two-stage optimization scheduling algorithm for virtual power plants considering low carbon. Int. J. Low-Carbon Technol. 2024, 19, 773–779. [Google Scholar] [CrossRef]
  24. Liu, W.; Li, Z.; Xing, X.; Chen, X.; Wang, Y.; Wang, X. Non-cooperative game optimization for virtual power plants considering carbon trading market. Energy 2025, 317, 134571. [Google Scholar] [CrossRef]
  25. Liu, X.; Ni, Y.; Sun, Y.; Wang, J.; Wang, R.; Sun, Q. Multi-VPPs power-carbon joint trading optimization considering low-carbon operation mode. J. Energy Storage 2023, 83, 110786. [Google Scholar] [CrossRef]
  26. Guo, K.; Zhao, J.; Li, H.; Xu, C.; Zhang, Y.; Lin, X. Low carbon economic dispatch of virtual power plants considering carbon trading and demand response. Distrib. Energy 2025, 10, 69–81. [Google Scholar]
  27. Xu, D.; Li, M. A Stackelberg game model for the energy-carbon co-optimization of multiple virtual power plants. Inventions 2025, 10, 16. [Google Scholar] [CrossRef]
  28. Hao, R.; Ai, Q.; Jiang, Z. Bi-level game strategy for multi-agent with incomplete information in regional integrated energy system. Autom. Electr. Power Syst. 2018, 42, 194–201. [Google Scholar]
  29. Zhou, J.; Liang, C.; Shi, L.; Li, Y.; Liu, J.; Wu, F. Optimal scheduling of integrated energy system considering the ladder-type carbon trading mechanism. Electr. Power 2025, 58, 77–87. [Google Scholar]
  30. Chen, J.; Hu, Z.; Chen, J.; Chen, Y.; Gao, M.; Lin, M. Optimal dispatch of integrated energy system considering loader-type carbon trading and flexible double response of supply and demand. High Volt. Eng. 2021, 47, 3094–3106. [Google Scholar]
  31. Dehkordi, A.A.; Sadiq, A.S.; Mirjalili, S.; Ghafoor, K.Z. Nonlinear-based chaotic harris hawks optimizer: Algorithm and internet of vehicles application. Appl. Soft Comput. 2021, 109, 107574. [Google Scholar] [CrossRef]
  32. Heidari, A.A.; Mirjalili, S.; Faris, H.; Aljarah, I.; Mafarja, M.; Chen, H. Harris hawks optimization: Algorithm and applications. Future Gener. Comput. Syst. 2019, 97, 849–872. [Google Scholar] [CrossRef]
Figure 1. Transaction relationship diagram.
Figure 1. Transaction relationship diagram.
Energies 19 01821 g001
Figure 2. Stackelberg game block diagram.
Figure 2. Stackelberg game block diagram.
Energies 19 01821 g002
Figure 3. Forecasted wind power, solar power and load demand for VPPs on a representative day.
Figure 3. Forecasted wind power, solar power and load demand for VPPs on a representative day.
Energies 19 01821 g003
Figure 4. Electricity purchasing and selling prices.
Figure 4. Electricity purchasing and selling prices.
Energies 19 01821 g004
Figure 5. Electricity purchasing and selling results.
Figure 5. Electricity purchasing and selling results.
Energies 19 01821 g005
Figure 6. The internal power generation, energy storage dynamics, and electricity trading within VPP1.
Figure 6. The internal power generation, energy storage dynamics, and electricity trading within VPP1.
Energies 19 01821 g006
Figure 7. The internal power generation, energy storage dynamics, and electricity trading within VPP2.
Figure 7. The internal power generation, energy storage dynamics, and electricity trading within VPP2.
Energies 19 01821 g007
Figure 8. The internal power generation, energy storage dynamics, and electricity trading within VPP3.
Figure 8. The internal power generation, energy storage dynamics, and electricity trading within VPP3.
Energies 19 01821 g008
Figure 9. Best fitness curves of HHO and NCHHO algorithms.
Figure 9. Best fitness curves of HHO and NCHHO algorithms.
Energies 19 01821 g009
Table 1. Unit power and equipment parameters.
Table 1. Unit power and equipment parameters.
TypePower/MWCoefficient
CNY/(kW·h)
CO2 Emission Cost Coefficient/kg/(kW·h)Conversion Coefficient of Carbon Emission Allowances/kg/(kW·h)
MinimumMaximum
WT0 P t , max W T : Forecasted output λ W T : 0.45 η W T : 76.6 γ W T : 43
PV0 P t , max P V : Forecasted output λ P V : 0.48 η P V : 132.5 γ P V : 78
VPP-- P j , max V P P : 10-- η N E T : 1303 γ N E T : 798
MT------ η M T : 129.37 γ M T : 97.14
ESS---- λ E S S : 0.5 η E S S : 91.30--
Table 2. The parameter of utility function.
Table 2. The parameter of utility function.
Parameteraebece P j , max M T /MW P j , d n M T /MW P j , u p M T /MW
VPP10.080.91.26−3.53.5
VPP20.10.615−33
VPP30.150.50.84−22
Table 3. The parameters of the energy storage systems.
Table 3. The parameters of the energy storage systems.
Parameter P j , min E S P j , max E S S j , min E S S j , max E S S 0 E S E j , max λ E S S N E T
VPP1−0.6 MW0.6 MW0.20.90.420.05 CNY/kWh
VPP2−0.6 MW0.6 MW0.20.90.420.05 CNY/kWh
VPP3−1.2 MW1.2 MW0.20.90.430.05 CNY/kWh
Table 4. Parameter of carbon trading mechanism.
Table 4. Parameter of carbon trading mechanism.
ParameterL/g λ b a s e C O 2 /(CNY/g)K λ g r e e n /(CNY/g)
Value4,000,0000.0001550.21
Table 5. Parameters of curtailable loads.
Table 5. Parameters of curtailable loads.
TypeMaximum Curtailable Load λ c o s t F l e x /CNY/(kW·h)
curtailable electric load10% of the forecasted load1.4
Table 6. The operational cost of VPPs.
Table 6. The operational cost of VPPs.
C j N E T /CNY C j M T /CNY C j F l e x /CNY C j O P /CNY C j C O 2 /CNY C j G r e e n /CNY C j V P P /CNY
VPP115,743.750,820.7030,687.0190.013,399.584,041.9
VPP21215.132,034.4882.041,138.9169.018,812.256,627.2
VPP39248.933,097.22902.649,978.2242.522,102.773,366.7
Table 7. Day-ahead electricity prices for the distribution network.
Table 7. Day-ahead electricity prices for the distribution network.
Time-of-UseTimeSelling PricePurchasing Price
Peak11:00–13:00
19:00–22:00
0.501.20
Flat7:00–11:00
14:00–18:00
23:00–24:00
0.350.75
Valley0:00–7:000.300.40
Table 8. Benefits of VPP and DSO under two strategies.
Table 8. Benefits of VPP and DSO under two strategies.
Strategy 1Strategy 2
VPP187,683.684,041.9
VPP260,020.256,627.2
VPP376,580.273,366.7
DSO−49,314.8−5770.0
Table 9. Results of carbon emission.
Table 9. Results of carbon emission.
Strategy 1Strategy 2
Carbon Emissions/kgCarbon Emissions/kg
VPPMTWTPVESVPPMTWTPVES
VPP153.91218.88649.95611.2083.05753.55520.69651.74612.0613.224
VPP221.71112.21793.1572.4201.17646.4509.39482.0107.5711.200
VPP366.72117.57293.10515.5936.08667.50215.42092.62612.6254.473
Table 10. Statistics of results HHO and NCHHO algorithms.
Table 10. Statistics of results HHO and NCHHO algorithms.
Mean FitnessStandard DeviationBest Fitness
HHO−2981.12281.632.9
NCHHO−7656.34346.4−2587.7
Table 11. Results of the basis unit carbon price on dispatch outcomes.
Table 11. Results of the basis unit carbon price on dispatch outcomes.
λ b a s e C O 2 (CNY/g)VPP1VPP2VPP3DSO
0.0000582,711.654,712.273,082.9−6706.5
0.0001085,110.455,861.673,204.4−5506.4
0.0001584,041.956,627.273,366.7−5770.0
0.0002082,932.054,472.473,407.5−6294.7
0.0002581,402.953,467.571,574.3−11,076.9
0.0003084,274.852,136.474,016.8−7171.1
Table 12. Parameter setting for the carbon trading mechanism.
Table 12. Parameter setting for the carbon trading mechanism.
Parameters/kg/(kW·h)Combination of Coefficient Values/kg/(kW·h)Search RangeOptimal Value
η W T : 76.6 γ W T : 4333.6[10, 70]14.5664
η P V : 132.5 γ P V : 7854.5[10, 100]71.3418
η N E T : 1303 γ N E T : 798505[100, 1000]286.2096
η M T : 129.37 γ M T : 97.1432.23[10, 70]53.3096
η E S S : 91.30--91.30[30, 200]30.0
Table 13. Benefits of VPP and DSO.
Table 13. Benefits of VPP and DSO.
Strategy 2Optimal Results
VPP184,041.985,243.2
VPP256,627.256,642.5
VPP373,366.773,614.8
DSO−5770.0−3589.1
Table 14. The carbon emission conversion values of VPPs.
Table 14. The carbon emission conversion values of VPPs.
P j , t V P P /(kW·h) P j , t M T /(kW·h) P j , t W T /(kW·h) P j , t P V /(kW·h) P j , t E S /(kW·h)CO2 Emission
/kg
C j C O 2 /CNY
Strategy 2VPP153.555220.695451.746012.06113.224029,742.2190.0
VPP246.44939.393982.01047.57131.200043,841.5169.0
VPP367.501515.420492.625412.62514.473350,699.6242.5
OptimizedVPP148.951221.766952.252111.84124.705317,993.4105.7
VPP254.980716.289579.020510.07362.800025,200.4116.0
VPP374.179414.671891.433616.57534.245429,307.4154.1
Table 15. The benefits of VPPs and DSO.
Table 15. The benefits of VPPs and DSO.
VPP1VPP2VPP3DSO
Strategy 387,683.654,866.674,159.3−3090.4
Table 16. The benefits of VPPs and DSO.
Table 16. The benefits of VPPs and DSO.
VPP1VPP2VPP3DSO
Strategy 496,727.476,043.091,390.4−48,764.0
Table 17. The operational cost of VPPs.
Table 17. The operational cost of VPPs.
C j N E T /CNY C j M T /CNY C j F l e x /CNY C j O P /CNY C j C O 2 /CNY C j G r e e n /CNY C j V P P /CNY
VPP118,556.849,642.7028,337.9190.0096,727.4
VPP21978.932,206.7882.040,795.0180.4076,043.0
VPP310,913.234,256.82749.443,228.5242.5091,390.4
Disclaimer/Publisher’s Note: The statements, opinions and data contained in all publications are solely those of the individual author(s) and contributor(s) and not of MDPI and/or the editor(s). MDPI and/or the editor(s) disclaim responsibility for any injury to people or property resulting from any ideas, methods, instructions or products referred to in the content.

Share and Cite

MDPI and ACS Style

Yang, B.; Zhou, D. Low-Carbon Economic Optimization and Collaborative Management of Virtual Power Plants Based on a Stackelberg Game. Energies 2026, 19, 1821. https://doi.org/10.3390/en19081821

AMA Style

Yang B, Zhou D. Low-Carbon Economic Optimization and Collaborative Management of Virtual Power Plants Based on a Stackelberg Game. Energies. 2026; 19(8):1821. https://doi.org/10.3390/en19081821

Chicago/Turabian Style

Yang, Bing, and Dongguo Zhou. 2026. "Low-Carbon Economic Optimization and Collaborative Management of Virtual Power Plants Based on a Stackelberg Game" Energies 19, no. 8: 1821. https://doi.org/10.3390/en19081821

APA Style

Yang, B., & Zhou, D. (2026). Low-Carbon Economic Optimization and Collaborative Management of Virtual Power Plants Based on a Stackelberg Game. Energies, 19(8), 1821. https://doi.org/10.3390/en19081821

Note that from the first issue of 2016, this journal uses article numbers instead of page numbers. See further details here.

Article Metrics

Back to TopTop