Next Article in Journal
Poland’s Renewable Energy Transition (2010–2023): A Fuzzy Time Series and Multi-Criteria Assessment of Transition Quality in Electricity Production
Next Article in Special Issue
Physics–Data-Integrated Hybrid Simulation for Transient Stability in New Power Systems: Status, Challenges, and Prospects
Previous Article in Journal
Grid-Forming Inverters in Photovoltaic Power Systems: A Comprehensive Review of Modeling, Control, and Stability Perspectives
Previous Article in Special Issue
Scheme Design and Performance Optimization for a 660 MW Ultra-Supercritical Coal Fired Unit Coupled with a Molten Salt Energy Storage System
 
 
Font Type:
Arial Georgia Verdana
Font Size:
Aa Aa Aa
Line Spacing:
Column Width:
Background:
Article

Molten-Salt-Based Thermal Storage for Thermal Power Plant Peaking

1
Guoneng Nanjing Electric Power Test & Research Limited, Nanjing 210023, China
2
Institute of Thermal Science and Technology, Shandong University, Jinan 250061, China
*
Author to whom correspondence should be addressed.
Energies 2026, 19(5), 1246; https://doi.org/10.3390/en19051246
Submission received: 9 November 2025 / Revised: 14 January 2026 / Accepted: 11 February 2026 / Published: 2 March 2026

Abstract

This study investigates the integration of a molten salt thermal energy storage (TES) system into a 330 MW coal-fired power unit to enhance its operational flexibility and exergy-based performance. Using EBSILON Professional (version 13) software, several heat storage and heat release schemes were modeled and analyzed to assess their effects on turbine performance, coal consumption rate, heat rate, and exergy losses under various load conditions. The results reveal that coupling TES with conventional thermal units can effectively decouple heat and power generation, enabling deep peak-shaving operation while maintaining system efficiency. The six heat storage schemes and seven heat release schemes considered in this study were selected based on the physical characteristics of the 330 MW reheat-steam cycle and the practical constraints of integrating a molten salt TES system into an existing coal-fired unit. Specifically, the schemes were designed to represent all feasible pathways for redirecting thermal energy within the boiler–turbine system, including steam extraction from different turbine stages, reheater-side interventions, and electric-heating-assisted charging options. These schemes also reflect the operational boundaries of the unit, such as allowable extraction fractions, steam temperature limits, and turbine safety margins. The findings demonstrate that molten salt TES can serve as a feasible and efficient pathway for retrofitting existing coal-fired power units to improve load-following capability, reduce fuel consumption, and support grid flexibility under renewable-dominated energy scenarios.

1. Introduction

China has announced the strategic goals of achieving “carbon peaking before 2030 and carbon neutrality before 2060,” collectively known as the “dual-carbon” targets [1]. These goals form the foundation of the national energy transition strategy, aiming to build a “clean, low-carbon, safe, and efficient” energy system. Central to this transition is the gradual shift of the power mix from fossil fuels toward renewable energy sources such as wind and solar, fundamentally reshaping the role of conventional coal-fired power plants [2]. However, the large-scale integration of intermittent renewable energy introduces significant challenges for the flexible, efficient, and stable operation of thermal power units. In particular, how to improve thermal storage/heat-release performance, enhance load-following capability, and reduce thermal losses has become a key scientific problem that requires systematic investigation. Furthermore, improving the flexibility and efficiency of thermal units under variable load conditions can lead to a substantial reduction in CO2 emissions, as it allows coal-fired plants to better accommodate renewable generation while minimizing unnecessary fuel consumption [3]. Therefore, understanding the interplay between flexible operation and carbon mitigation is essential for evaluating the environmental and economic benefits of the power system transition.
Over the past decade, China’s power generation mix has changed significantly. The share of thermal power capacity has fallen below 60%, while renewable energy—particularly wind and solar—has grown rapidly, reaching installed capacities of roughly 440 GW and 610 GW by the end of 2023 [4]. Renewables are expected to dominate future capacity expansion, aligning with the International Energy Agency’s projection that by 2050, 95% of new global power capacity will come from renewable sources. As a result, renewable energy will become the backbone of China’s power system [5].
However, the inherent intermittency and variability of wind and solar generation pose serious challenges to grid stability. Their outputs are highly weather-dependent and often mismatch electricity demand [6]. Photovoltaic generation peaks during the day, while wind power tends to be strongest at night, intensifying grid fluctuations and widening the peak–valley difference [7]. As renewable penetration increases, the uncertainty and volatility of grid operation grow, often leading to renewable energy curtailment and economic losses [8]. Therefore, maintaining grid stability under high renewable penetration requires flexible power sources capable of fast load regulation.
Against this background, coal-fired power units are transitioning from baseload generators to flexible regulating resources [9]. Traditionally, these units operated stably at full load to ensure reliability [10]. Now, they must frequently conduct deep peak shaving, ramping, and frequency regulation to accommodate renewable fluctuations. This transition from “steady output” to “flexible operation” introduces both technical and economic challenges [11]. Boilers have minimum stable combustion limits; selective catalytic reduction (SCR) systems require sufficient flue gas temperatures; and turbines need adequate cooling flow [12]. In northern regions, combined heat and power (CHP) plants are further constrained by “heat-determined electricity” operation [13]. Economically, low-load operation increases coal consumption and reduces efficiency, while frequent startups and shutdowns accelerate equipment fatigue [14]. These issues highlight the urgent need for technologies that enhance operational flexibility without compromising efficiency and reliability.
Molten salt thermal energy storage (TES) has emerged as a promising solution. Supercritical CO2, with its favorable heat and mass transfer characteristics, represents a promising regenerative coolant for high-Mach scramjet engines. However, it is considered less preferable compared to molten salt in terms of thermal energy storage priority. As a high-temperature sensible heat storage technology, molten salt TES originated in solar thermal power generation in the mid-20th century [15]. Compared with electrochemical and compressed-air storage, it offers high specific heat capacity, long cycle life, high operating temperature, and strong economic potential for large-scale applications [16]. Integrating molten salt TES into coal-fired units enables flexible “thermo-electric decoupling,” allowing the boiler to operate efficiently at stable load while storing excess heat during off-peak periods and releasing it during peak demand [17]. This process decouples heat and power generation, providing temporal energy shifting and improving the plant’s flexibility, efficiency, and environmental performance [18].
Internationally, molten salt TES was first applied in solar thermal power plants in the United States and Spain [19]. The U.S. Department of Energy’s Solar Two project marked a milestone in commercialization, achieving large-scale application of binary nitrate salts (60% NaNO3 + 40% KNO3) and enabling over seven hours of continuous discharge [20]. Subsequently, tower and trough plants such as Gemasolar achieved 24-h continuous operation [21]. European research has focused on improving salt stability, corrosion resistance, and thermal conductivity, as well as developing low-melting composite salts and advanced heat exchanger designs [22]. In recent years, the scope of molten salt TES has expanded beyond solar power to include coupling with fossil, nuclear, and industrial waste-heat systems [23]. Studies by Sandia National Laboratories and NREL demonstrated that TES can mitigate renewable intermittency and enhance flexibility in conventional energy units, making it a key enabler for future low-carbon power systems.
In China, molten salt TES research began later but has advanced rapidly. Since the “13th Five-Year Plan,” it has been identified as a national priority, leading to several demonstration projects [24]. The 100 MW tower-type solar plant in Dunhuang, Gansu Province—with a 10-h molten salt storage system—marks China’s first large-scale commercial demonstration [25]. Domestic universities and research institutes, including Tsinghua University, North China Electric Power University, and Shanghai Jiao Tong University, have established molten salt TES platforms to study thermophysical properties, heat transfer performance, and system design, providing valuable data for engineering application [26].
Under the dual-carbon strategy, integrating molten salt TES into coal-fired units offers a technically and economically viable pathway for flexibility enhancement [27]. Early studies explored the thermodynamic feasibility of TES–coal coupling. In the 1990s, German researchers proposed using molten salt TES as a “bypass loop” for boilers, storing heat during low-load operation and releasing it during peak periods to reduce thermal stress [28]. Research by NREL confirmed that TES integration can reduce ramping pressure and enhance renewable accommodation [29]. More recent studies using simulation tools such as Ebsilon, Aspen Plus, and TRNSYS show that TES can lower the minimum stable load of coal units by 10–20% and increase ramp rates by over 30%, significantly improving deep peak-shaving capability while reducing thermal stress [30]. While molten-salt TES has been widely studied in solar-thermal and industrial applications, recent research has increasingly focused on integrating TES with coal-fired power plants to improve operational flexibility under high renewable penetration. Several studies published between 2021 and 2024 have explored different coupling pathways, such as steam extraction–based charging [31], feedwater preheating [32], flue-gas-side heat recovery, and hybrid electric-heating configurations. These works demonstrate that TES can effectively reduce the minimum stable load, enhance ramping capability, and mitigate thermal stress during deep cycling, but also emphasize that TES integration may introduce penalties related to turbine mass-flow redistribution or additional auxiliary power consumption. Despite these advances, existing literature still lacks a systematic comparison of multiple TES–coal coupling schemes within the same plant configuration, and the thermodynamic trade-offs among different charging and discharging pathways remain insufficiently quantified. This gap highlights the need for a comprehensive and comparative assessment of feasible TES integration modes for a representative coal-fired reheat unit, which forms the main motivation for the present study.
Economically, molten salt TES can transform flexibility retrofitting from a cost burden into a profitable opportunity. By storing energy during low-price periods and generating power at peak prices, TES enables energy arbitrage [33]. Improved ramping and frequency regulation performance also allows participation in ancillary service markets, while reduced cycling extends equipment life and lowers maintenance costs [34]. International assessments suggest payback periods of 7–12 years, depending on electricity price differentials and policy support. Pilot retrofits in Germany have validated its technical feasibility, though large-scale commercialization is still in progress [35].
Experimental research plays a vital role in advancing molten salt TES from concept to engineering application. Challenges such as high-temperature corrosion, crystallization, and complex flow and heat transfer behavior make laboratory validation essential [36]. Sandia National Laboratories and NREL have built world-leading test facilities for molten salt flow and heat transfer studies, exploring issues such as corrosion mechanisms and heat exchanger optimization [37]. European research emphasizes material improvement, such as nanoparticle-enhanced salts and low-melting composite formulations. In China, institutions such as the Northwest Electric Power Design Institute and Shanghai University of Electric Power have established experimental platforms to investigate salt properties, heat exchange performance, and insulation design [38]. These studies reveal heat transfer degradation and thermal losses under high-temperature conditions, emphasizing the need for continued optimization.
Nevertheless, several challenges persist: (1) corrosion and material degradation under prolonged high-temperature operation [39]; (2) crystallization and operational risks at low temperatures [40]; (3) limited scale of current experimental setups, which cannot fully replicate plant conditions [40]; and (4) high costs that restrict long-term testing [41]. Overcoming these issues requires deeper integration between modeling and experimental validation, as well as systematic techno-economic assessments to guide large-scale deployment.
In summary, molten salt TES has evolved from solar thermal applications into a key technology for enhancing the flexibility of conventional power systems. By integrating TES with coal-fired units, it is possible to reduce the minimum stable load, increase ramping capability, and improve economic and environmental performance. In this study, we focus on a 330 MW subcritical coal-fired unit, whose current operational flexibility is constrained by (i) a minimum stable load of approximately 45–50% BMCR, (ii) a typical upward/downward ramping rate of 2–3% BMCR/min, and (iii) strict operating boundaries for the steam temperature, turbine inlet temperature, and boiler heattransfer limits. These boundaries define the acceptable operating range within which load adjustments can be performed without compromising boiler stability, steam quality, or turbine safety. To address these limitations, we investigate the retrofitting and thermodynamic modeling of the unit equipped with a moltensalt TES system. Using EBSILON software, several heat storage and release strategies were proposed and evaluated for their peak-shaving performance. Based on steady-state analysis of the reheat system’s mass and energy balance, an energy consumption model was developed using indicators such as coal consumption, heat consumption, and combustion losses. The results provide theoretical and practical guidance for enhancing the flexibility of coal-fired power plants and supporting the construction of a low-carbon power system in China.

2. Molten Salt Thermal Energy Storage System for Thermal Power Units

2.1. Selection of Molten Salt

Molten salts have been widely employed as heat transfer and thermal storage media in solar thermal and high-temperature energy systems owing to their excellent thermophysical properties, including high specific heat capacity, good thermal stability, and low vapor pressure. In this study, three representative molten salts—Solar Salt, Hitec Salt, and Hitec XL Salt—were selected for comparative analysis, as summarized in Table 1. Solar Salt, composed of 60 wt.% NaNO3 and 40 wt.% KNO3, is the most commonly used mixture in concentrated solar power (CSP) plants because of its low cost and stable performance up to 600 °C. Although previous studies have explored various forms of TES–coal hybridization, the present work offers several novel contributions. First, the study establishes a unified and systematic framework that compares multiple feasible TES charging and discharging configurations within the same 330 MW reheat unit, rather than analyzing isolated schemes as in earlier works. Second, the modeling approach incorporates a detailed representation of mass-flow redistribution, reheater-side interactions, and part-load thermodynamic behavior, which have not been jointly evaluated in existing TES–coal integration studies. Third, the scheme configurations examined in this work include hybrid options such as electric-heating-assisted storage and combined extraction–TES operation, which have seldom been assessed in comparative form. Together, these innovations provide a more comprehensive understanding of practical TES integration strategies and their associated thermodynamic trade-offs. However, its relatively high melting point (220 °C) limits operational flexibility in systems subject to frequent temperature cycling. Hitec Salt (7 wt.% NaNO3—53 wt.% KNO3—40 wt.% NaNO2) offers a significantly lower melting point of 142 °C and higher heat capacity (1560 J kg−1 K−1 at 300 °C), making it suitable for medium-temperature applications; nevertheless, the presence of nitrite ions reduces its thermal stability to around 535 °C and increases susceptibility to oxidation and corrosion [42]. Hitec XL Salt (7 wt.% NaNO3—45 wt.% KNO3—48 wt.% Ca(NO3)2) exhibits the lowest melting point (120 °C) and relatively high density (1992 kg m−3 at 300 °C), but its high viscosity (6.37 cp at 300 °C) may hinder heat transfer and pumping performance [43].
Considering the thermophysical and chemical properties of these candidate salts together with the operating conditions of the thermal power unit, Solar Salt was ultimately selected as the heat storage medium for the subsequent system study. Its eutectic composition (60 wt.% NaNO3 and 40 wt.% KNO3) provides a favorable balance between thermal stability and economic feasibility. Although Solar Salt has a higher melting point than the Hitec-type salts, it remains stable up to approximately 565 °C, matching well with the main and reheat-steam temperatures of 537 °C in the analyzed power unit. In addition, its high specific heat capacity, moderate viscosity, and chemical inertness ensure efficient and safe heat transfer during long-term operation. Compared with the higher cost and oxidation tendency of Hitec-type salts, Solar Salt offers superior commercial maturity, reliability, and compatibility with existing system materials. Therefore, it represents the most suitable and economical option for integration into the thermal-storage-assisted power-generation system investigated in this study.

2.2. System Scheme Modeling and Model Verification

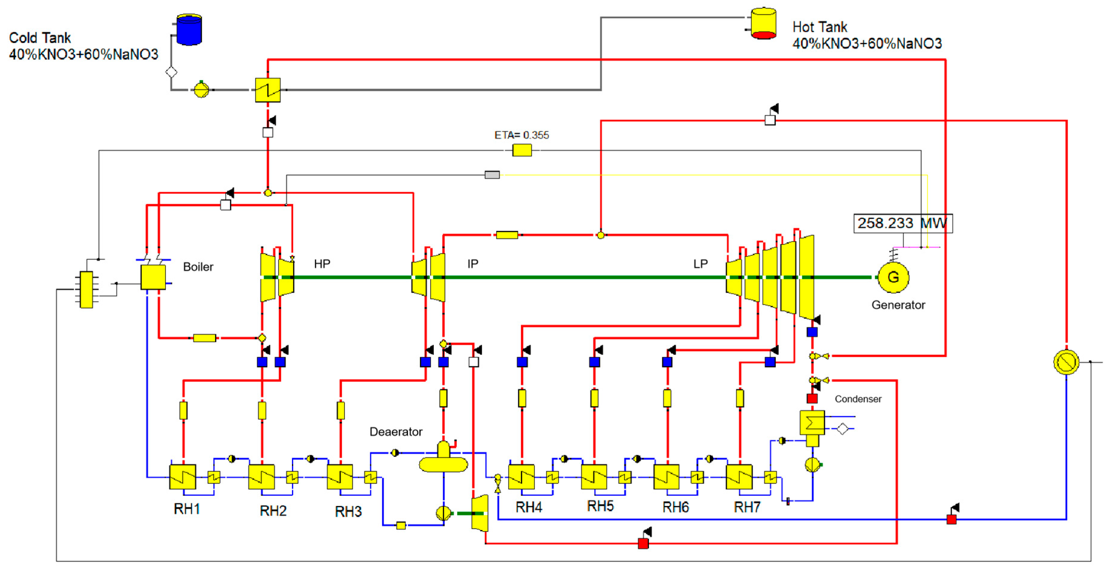
A thermodynamic model of the thermal power unit was established using EBSILON Professional (version 13) software. The key input parameters—including the mass flow rate, temperature, and pressure of the main steam, as well as the reheat-steam temperature and condenser backpressure—were specified according to the actual design conditions under different operational loads. Table 2 compares the simulated results with the original design data for three representative operating conditions (100% THA, 50% THA, and 40% THA).
To enhance the transparency of the model validation process, additional information on the boundary conditions and modeling assumptions has been included. The verification was conducted under steady-state conditions corresponding to the rated operating point of the 330 MW unit, with boiler outlet temperatures, reheater inlet/outlet temperatures, feedwater conditions, and turbine inlet pressures taken directly from plant operating data. The mass-flow distribution and heating-surface temperatures were matched to the reference operating log before comparison. Several simplifications were adopted to enable tractable thermodynamic modeling. Heat losses from piping and auxiliary components were neglected because their contribution is below 0.5% of the total heat input under rated conditions. The heat transfer efficiency of the regenerative heaters was treated as constant, consistent with common practice in steady-state cycle simulations, and remained within the typical operating range of the plant. These assumptions were carefully evaluated and found to have minimal impact on the predicted main-steam parameters. With these boundary conditions and simplifications, the model reproduces the measured values of main-steam flow rate, turbine inlet temperature, reheat temperature, and condenser pressure with a relative deviation within 2%, demonstrating that the baseline model is sufficiently accurate for analyzing the TES integration scenarios considered in this work.
To strengthen the model validation beyond design-point comparison, additional analyses have been included. First, several off-design operating points from plant historical data—covering partial-load conditions and moderate variations in steam temperatures and extraction flows—were used to assess the model’s predictive capability. The simulated values of main-steam temperature, reheat temperature, and turbine expansion ratios remained consistent with measured data, with deviations comparable to or slightly above the design-point accuracy.
Second, a sensitivity analysis was conducted to evaluate the influence of key uncertain parameters on model predictions, including heat transfer coefficients in the regenerative heaters, extraction steam ratios, and the molten salt temperature difference during charging and discharging. The results indicate that the overall trends remain robust within the tested parameter ranges, and none of the perturbed variables alter the qualitative behavior of the TES integration schemes.

2.3. Description of Thermal Power Molten Salt Thermal Storage

This study conducted thermodynamic simulations on six integrated thermal power generation–molten salt heat storage systems and seven integrated thermal power generation–molten salt heat release systems. The aim was to calculate turbine parameters under various thermodynamic operating conditions and evaluate the thermal efficiency of these integrated systems. The critical parameters of the thermal units at 100% THA at rated operating conditions are listed in Table 3.
Several modeling assumptions were adopted to maintain computational tractability while capturing the dominant thermodynamic behavior of the TES–coal hybrid system. The heat transfer coefficients in the regenerative heaters were treated as approximately constant because the operating Reynolds numbers and flow regimes remain within a narrow range during both charging and discharging processes. Pressure drops along the steam lines and salt loops were neglected in the base model because their magnitudes were small relative to turbine pressure ratios; however, their potential influence has been qualitatively discussed. Leakage rates and turbine extraction limits were fixed based on design specifications and operational guidelines of the 330 MW unit, for which plant documentation indicates limited variability under standard operating conditions.
To account for uncertainties associated with these simplifications, a supplementary discussion has been added. Variations in heat transfer coefficients, pressure losses, extraction ratios, and allowable turbine extraction flows were evaluated in a sensitivity-oriented manner, showing that although numerical values may shift, the comparative trends among TES schemes remain unchanged. These considerations reinforce that the assumptions do not materially affect the main conclusions of the study.
The simulation assumptions used to simplify the system model during the simulation are as follows:
(1)
Turbine shaft seals and valve stem leakage are not considered;
(2)
No consideration of heat and leakage losses from equipment and piping;
(3)
The generator efficiency is 0.99 and the mechanical efficiency is 0.995;
(4)
The pressure drop of feedwater heaters at all levels is 0.4%;
(5)
In addition to the evaporator, the heat transfer efficiency of the preheater and superheater added in the molten salt subsystem of each scheme is uniformly set at 0.85.
In this study, the fundamental design parameters of the heat exchanger—including the heat transfer area, heat transfer coefficient, and flow channel configuration—significantly influence both the accuracy of the simulation results and the overall system performance. The heat transfer coefficient is a key parameter governing the rate of thermal energy exchange; a higher coefficient enhances the heat transfer rate and thereby improves the system’s thermal efficiency. The geometric configuration of the heat exchanger affects the internal flow characteristics and heat transfer behavior, which in turn influence the residence time and temperature distribution of the molten salt. Moreover, the heat transfer area directly determines the exchanger’s thermal capacity: an undersized area may lead to insufficient heat exchange and degraded performance, whereas an oversized area can cause unnecessary capital expenditure and increased operating costs. Consequently, the optimal design of the integrated heat exchanger requires a balanced and comprehensive consideration of these parameters to ensure both technical reliability and economic feasibility. The design parameters adopted in this study are summarized in Table 4, supporting the validity and rationality of the simulation outcomes. In the original modeling framework, several simplifying assumptions were adopted to enable tractable steady-state simulation of the TES-integrated unit. In the revised manuscript, the rationale and limitations of these assumptions are clarified. First, pipe heat losses and valve leakage were neglected because the TES loop is relatively compact and all pipes are thermally insulated; however, we acknowledge that these losses may become non-negligible during long-duration storage or partial-load operation. Second, the generator efficiency (0.99) and mechanical efficiency (0.995) were treated as constants in the baseline model to ensure consistency across operating conditions. In reality, both efficiency values degrade under throttled or partial-load operation, and this degradation has now been included in the sensitivity analysis presented in Section 2. Third, the heat exchanger effectiveness was initially fixed at 0.85 as a representative value for shell-and-tube molten salt exchangers.
During the energy storage stage, thermal energy is transferred to the molten salt through three heating schemes: extraction of the main steam, extraction of the reheat steam, and combined extraction of both. To ensure turbine stability during low-load operation and meet deep peak-shaving requirements, the main-steam extraction rate is limited to no more than 20%, thereby preventing excessive reheater temperatures. Similarly, to accommodate variations in turbine axial thrust and stress on the last-stage blades, the reheat-steam extraction rate is restricted to within 30%.
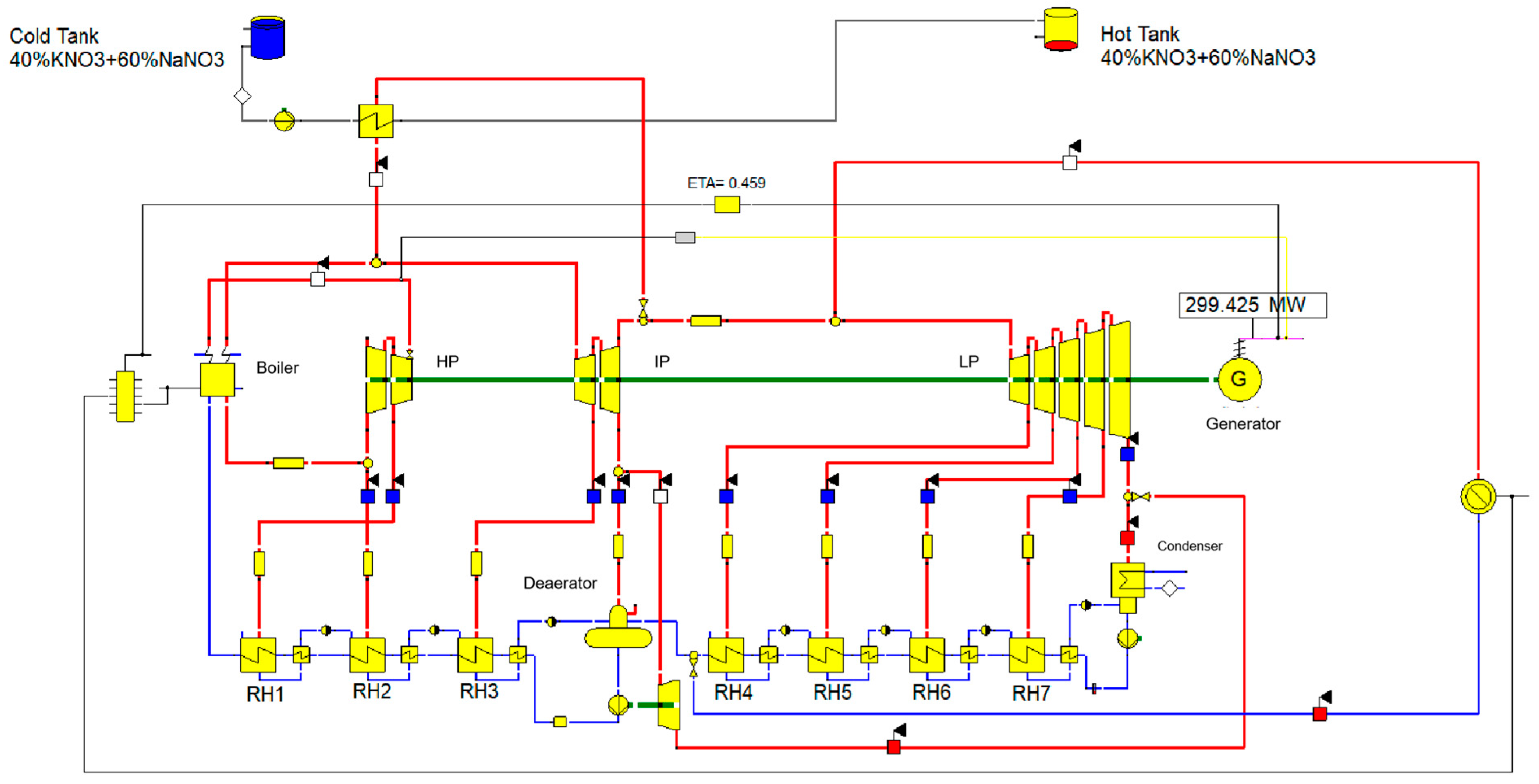
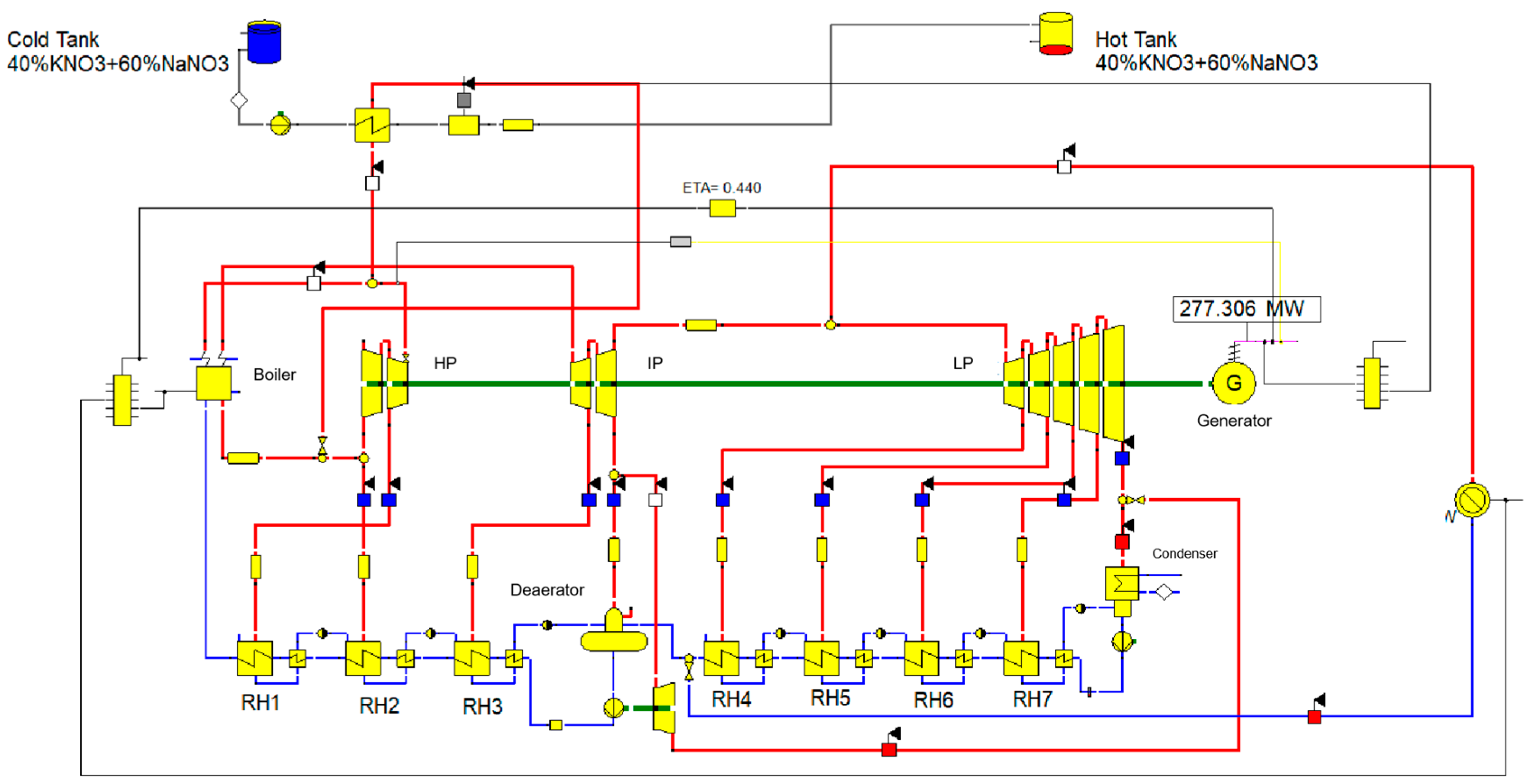
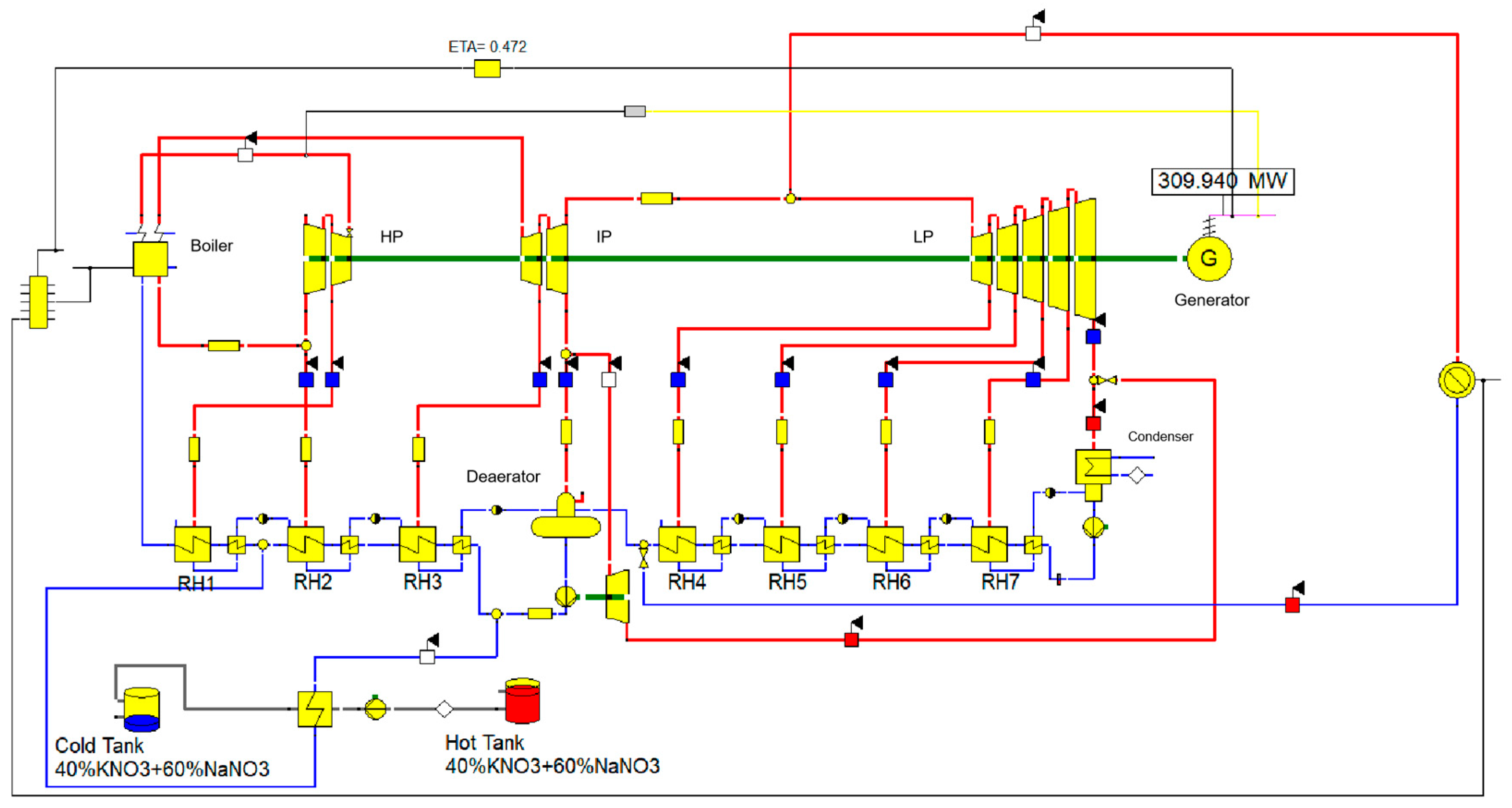
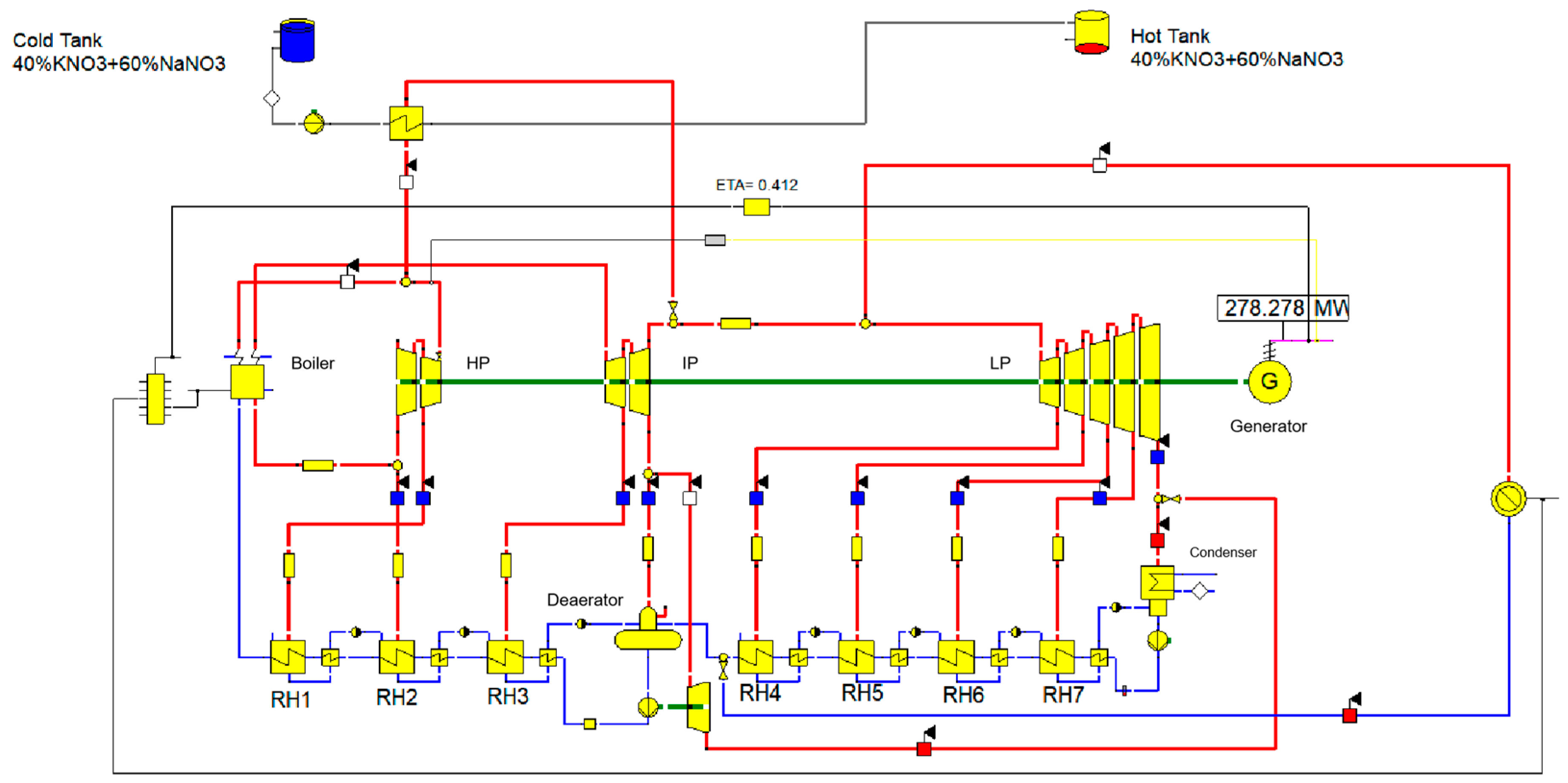
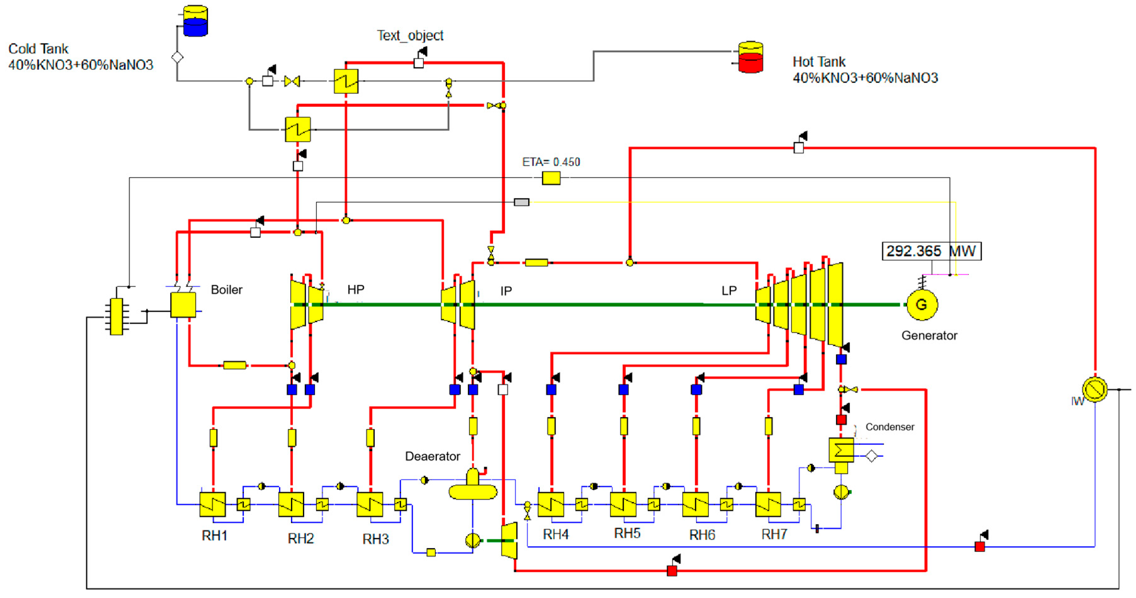
As illustrated in Figure 1, in Scheme 1, a portion of the main steam is extracted to heat the molten salt through a heat exchanger. The cold molten salt is pumped from the cold tank, absorbs heat from the extracted steam, and is then stored in the hot tank. After heat transfer, the cooled steam is directed to the low-pressure cylinder, where it mixes with the exhaust steam from the intermediate-pressure cylinder to perform further expansion work. To enhance the credibility of the heat exchanger configuration listed in Table 4, additional justification for the selected tube geometry and operating parameters has been included. The adopted L/D ratio, flow velocity, and tube arrangement follow typical design recommendations for molten salt heat exchangers reported in the literature. Previous studies have shown that maintaining moderate L/D ratios and flow velocities within the range of 1.5–3.5 m/s helps ensure adequate convective heat transfer performance while avoiding excessive pressure drop. Furthermore, the selected tube diameter and layout are consistent with standard practices for high-temperature shell-and-tube configurations used in molten salt thermal systems, where compactness, structural stability, and thermal stress considerations are critical.
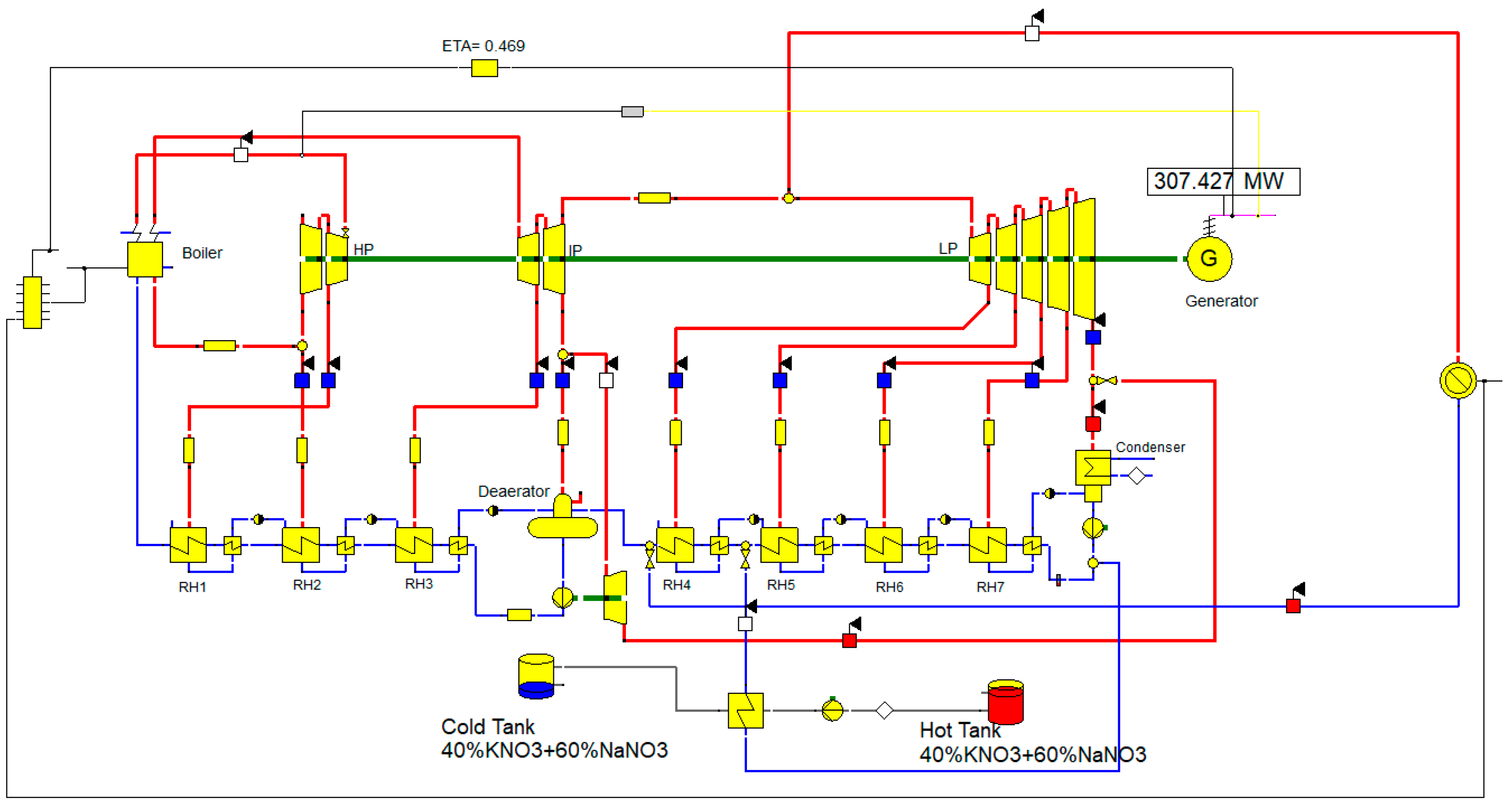
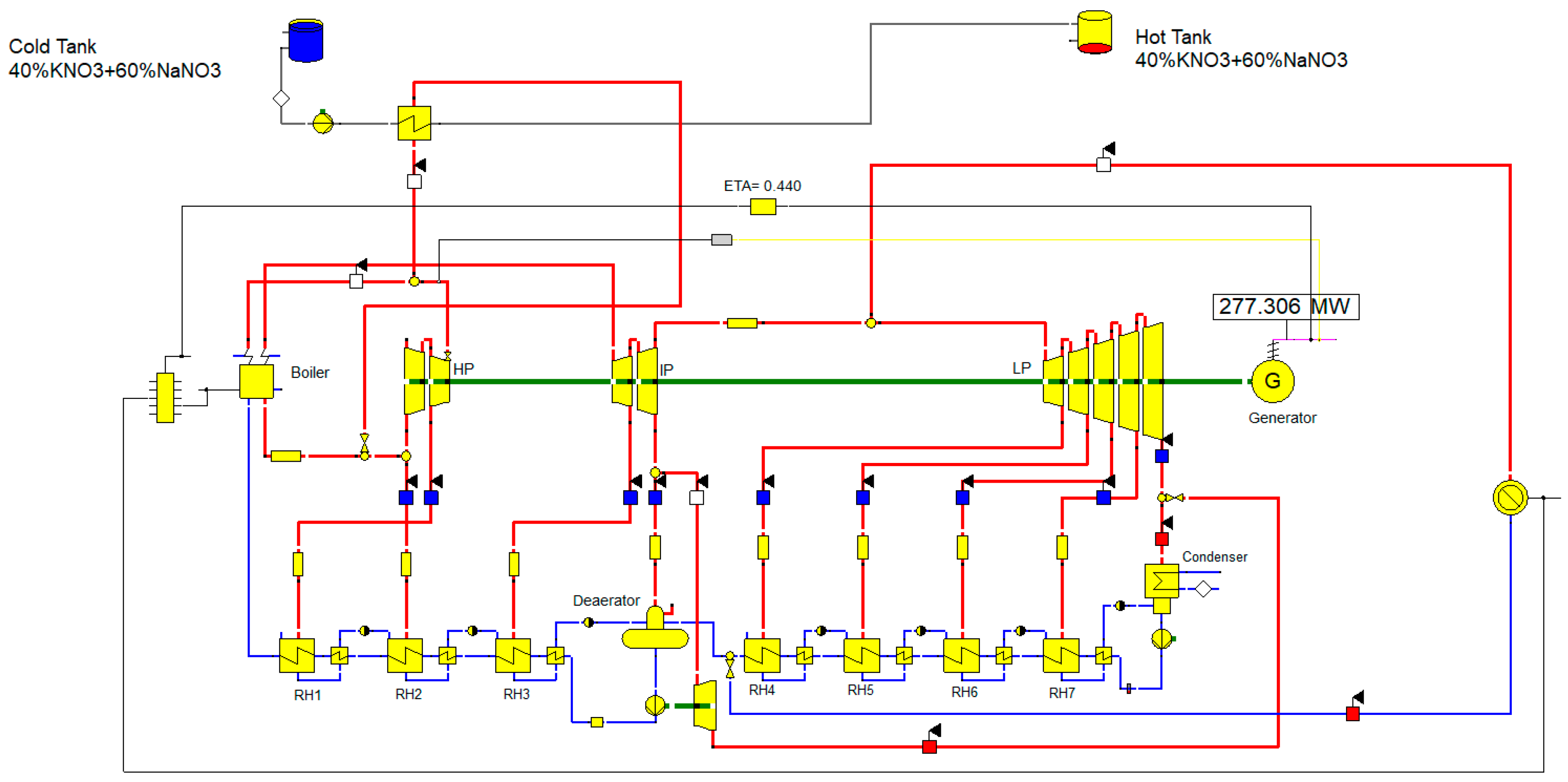
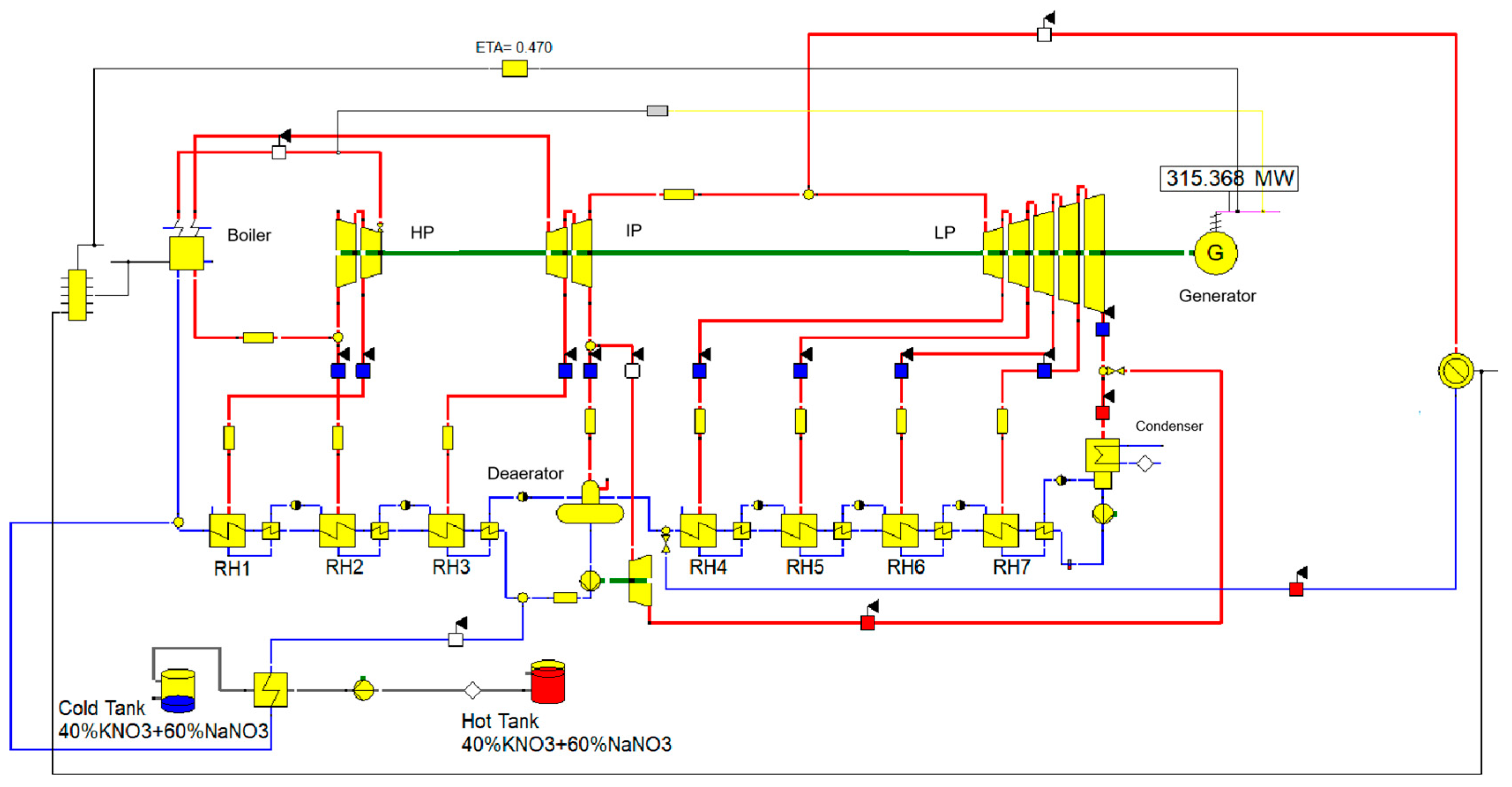
As illustrated in Figure 2, in Thermal Storage Scheme 2, a portion of the main steam is extracted to heat the molten salt through a heat exchanger. The cold molten salt is pumped from the cold tank, absorbs heat from the extracted steam, and is then stored in the hot tank. After the heat exchange process, the cooled steam is directed to the cold end of the reheater, where it mixes with the reheated steam before entering the intermediate-pressure cylinder for further expansion. This configuration effectively recovers part of the steam’s thermal energy while minimizing disturbances to the turbine flow distribution.
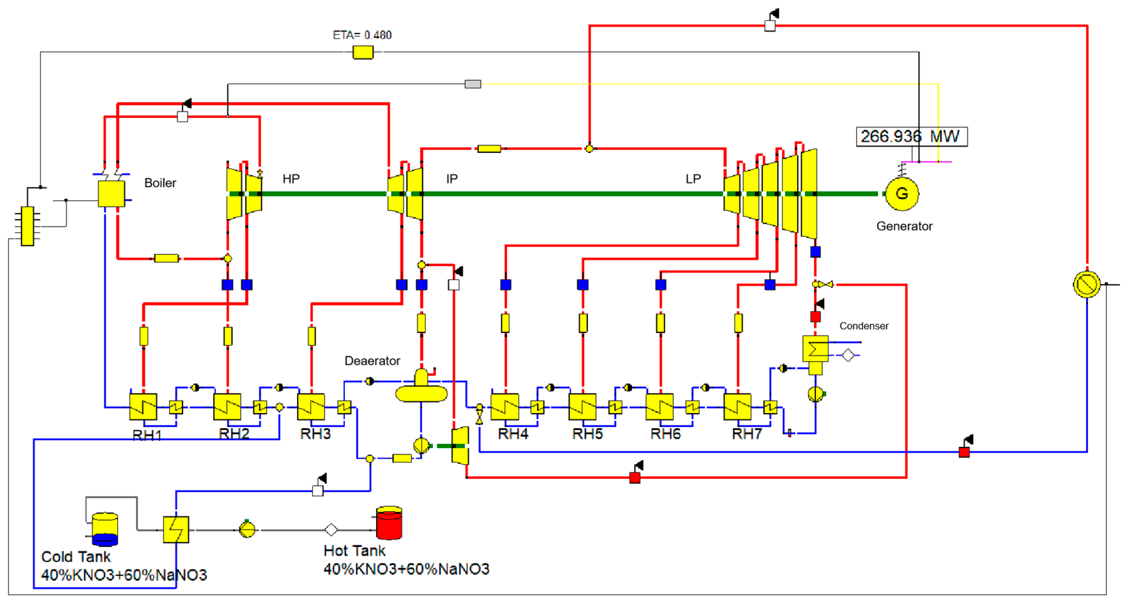
As illustrated in Figure 3, in Thermal Storage Scheme 3, a portion of the reheated steam is extracted from the reheater outlet to heat the molten salt through a molten salt heat exchanger. The cold molten salt is pumped from the cold tank, absorbs heat from the extracted reheated steam, and is then stored in the hot tank for subsequent thermal discharge. After transferring heat to the molten salt, the cooled reheated steam is directed back to the low-pressure cylinder to perform expansion work together with the exhaust steam from the intermediate-pressure cylinder. This configuration enables efficient utilization of reheated-steam energy, enhances overall turbine output, and maintains good thermal–flow balance within the system.
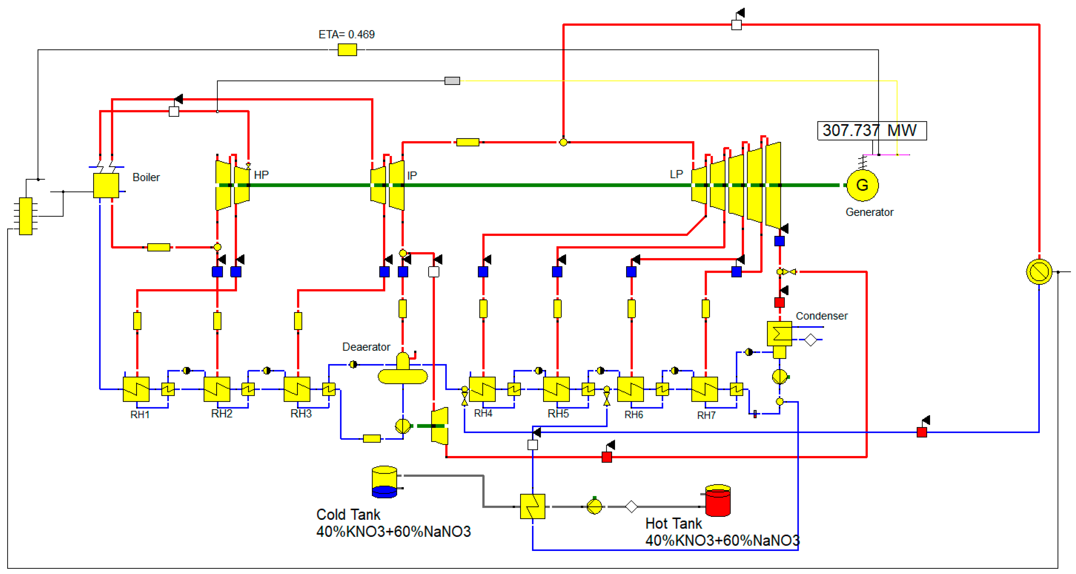
As illustrated in Figure 4, in Thermal Storage Scheme 4, a portion of the reheated steam is extracted from the reheater outlet to heat the molten salt through a molten salt heat exchanger. The cold molten salt is pumped from the cold tank, absorbs heat from the extracted reheated steam, and is then stored in the hot tank for thermal storage. After the heat exchange, the cooled reheated steam is directed to the condenser, where it is condensed and returned to the feedwater system. This configuration simplifies the steam flow arrangement and minimizes the impact on turbine operation while effectively storing part of the high-grade thermal energy.
Although nominal tube dimensions are presented in Table 4, the revised manuscript now incorporates the full sizing methodology to establish the relationship among extraction mass flow rate, temperature driving force, and the required heat transfer area. The heat transfer design is based on the ε–NTU approach with cross-verification using the LMTD–UA formulation.
For a given extraction flow rate m ˙ steam   and molten salt flow rate m ˙ salt   , the heat transfer requirement is first expressed as follows:
Q = m ˙ steam   c p ,   steam   T in   T out  
The associated LMTD is computed as follows:
Δ T l m = T steam , in   T salt , out   T steam , out   T salt , in   ln T steam , in   T salt , out   T steam , ount   T salt , in  
and the required heat transfer area is determined by the following formula:
A = Q U Δ T l m
where U is the overall heat transfer coefficient, evaluated using inside/outside convection correlations and tube wall conduction.
To ensure robustness, the ε–NTU method is additionally applied:
ε = Q C m i n T hot ,   in   T cold , in   , N T U = U A C min  
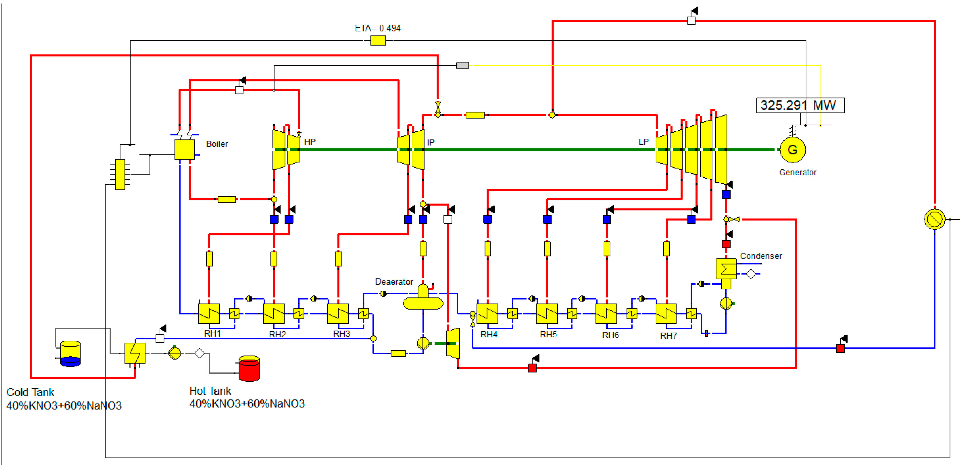
As illustrated in Figure 5, in Thermal Storage Scheme 5, portions of both the main steam and reheated steam are extracted to heat the molten salt through a molten salt heat exchanger. The cold molten salt is pumped from the cold tank, absorbs heat from the extracted steam flows, and is then stored in the hot tank for thermal storage. After the heat exchange, the cooled main and reheated steam are directed back to the low-pressure cylinder to continue expansion and generate additional power. This configuration enables direct conversion of the stored thermal energy into mechanical work, improving overall thermal efficiency and enhancing turbine output during the discharge phase.
As illustrated in Figure 6, in Thermal Storage Scheme 6, a portion of the main steam is extracted to heat the molten salt through a heat exchanger. The cold molten salt is pumped from the cold tank and absorbs heat from the extracted steam, after which the heated molten salt is directed into the hot tank for thermal storage. The cooled steam is then returned to the cold end of the reheater for further use. In addition, the stored molten salt can be directly heated by electric heaters to supplement thermal energy, ensuring sufficient heat supply for subsequent operations. This configuration combines steam-based heat recovery with flexible electrical heating, enhancing both thermal storage capacity and operational reliability.
To ensure clarity and reproducibility of the exergy evaluation, additional methodological details have been incorporated into the Section 2. In this study, exergy analysis is conducted by defining control volumes around major components of the power cycle, including the high-, intermediate-, and low-pressure turbines, the regenerative heaters, the reheater, and the condenser. The boundary conditions adopt the thermodynamic state variables obtained from the steady-state simulation results of each operating condition. The reference environment temperature and pressure are taken as the ambient conditions specified in the design documentation of the 330 MW unit.
Exergy loss (exergy destruction) for each component is evaluated based on the difference between the exergy of the inlet and outlet streams, combined with the exergy associated with heat transfer to the surroundings where applicable. This approach allows the identification of components that experience the largest irreversibilities when TES is integrated and highlights the mechanisms driving changes in system performance. The expanded description provides a clearer methodological foundation for interpreting the exergy trends presented in Section 3.

2.4. Description of Thermal Power Molten Salt Exothermic Process

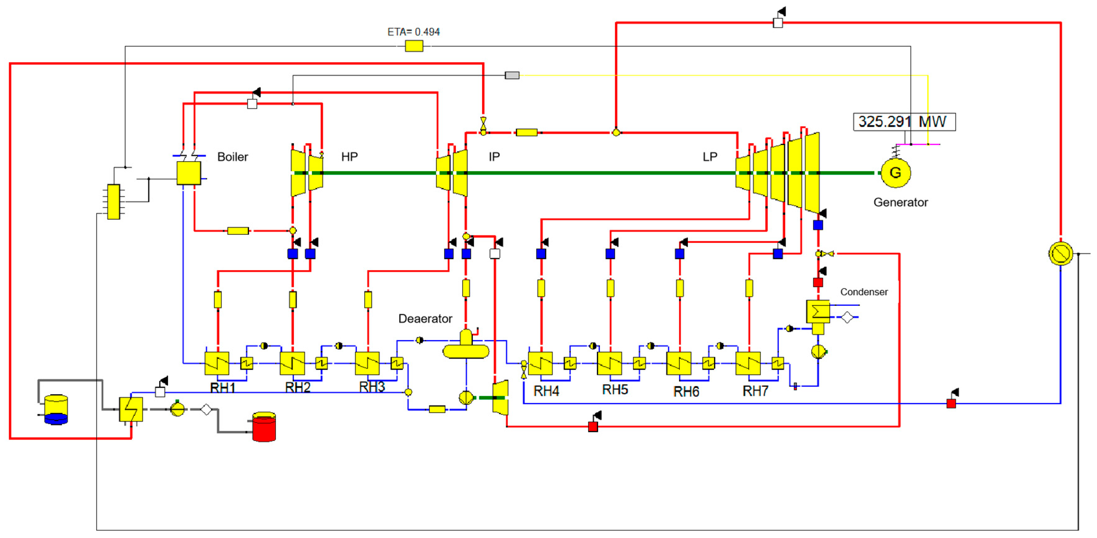
As illustrated in Figure 7, in Thermal Discharge Scheme 1, during the discharge phase, a portion of the water is extracted from upstream of High-Pressure Heater 3 (RH3) to absorb thermal energy released by the hot molten salt in the heat exchanger. The heated water is then directed to the low-pressure cylinder (LP cylinder) to perform additional expansion work together with the exhaust steam from the intermediate-pressure cylinder. This configuration efficiently recovers the stored thermal energy and enhances turbine output.
As illustrated in Figure 8, in Thermal Discharge Scheme 2, during the discharge phase, a portion of the water is extracted from upstream of High-Pressure Heater 3 (RH3) to absorb thermal energy released by the hot molten salt in the heat exchanger. The heated water is then directed into the boiler to replace part of the fuel heat input. This configuration enables effective utilization of the molten salt’s thermal energy to reduce boiler fuel consumption and improve the overall thermal efficiency of the system.
As illustrated in Figure 9, in Thermal Discharge Scheme 3, during the discharge phase, a portion of the water is extracted from upstream of High-Pressure Heater 3 (RH3) to absorb thermal energy released by the hot molten salt in the heat exchanger. The heated water is then directed to High-Pressure Heater 1 (RH1) to supply additional heat, thereby partially replacing the original extraction steam. This configuration allows efficient utilization of the molten salt’s thermal energy, reduces the required steam extractions, and improves the overall thermal efficiency of the system.
As illustrated in Figure 10, in Thermal Discharge Scheme 4, during the discharge phase, a portion of the water is extracted from upstream of High-Pressure Heater 3 (RH3) to absorb thermal energy released by the hot molten salt in the heat exchanger. The heated water is then directed to High-Pressure Heater 2 (RH2) to supply additional heat, partially replacing the original extraction steam. This configuration enables efficient utilization of the molten salt’s thermal energy, reduces the required steam extractions, and enhances the overall thermal efficiency of the system.
As illustrated in Figure 11, in Thermal Discharge Scheme 5, during the discharge phase, a portion of the water is extracted from upstream of High-Pressure Heater 3 (RH3) to absorb thermal energy released by the hot molten salt in the heat exchanger. The heated water is then directed to the intermediate-pressure cylinder (IP cylinder) to perform additional expansion work. This configuration enables direct conversion of the molten salt’s thermal energy into mechanical work, improving turbine output and overall thermal efficiency.
As illustrated in Figure 12, in Thermal Discharge Scheme 6, during the discharge phase, a portion of the water is extracted from upstream of Low-Pressure Heater 7 (RH7) to absorb thermal energy released by the hot molten salt in the heat exchanger. The heated water is then directed to Low-Pressure Heater 4 (RH4) to supply additional heat, partially replacing the original extraction steam. This configuration enables efficient utilization of the molten salt’s thermal energy, reduces steam extraction requirements, and improves the overall thermal efficiency of the system.
As illustrated in Figure 13, in Thermal Discharge Scheme 7, during the discharge phase, a portion of the water is extracted from upstream of Low-Pressure Heater 7 (RH7) to absorb thermal energy released by the hot molten salt in the heat exchanger. The heated water is then directed to Low-Pressure Heater 5 (RH5) to supply additional heat, partially replacing the original extraction steam. This configuration allows efficient recovery of the molten salt’s thermal energy, reduces steam extraction requirements, and enhances the overall thermal efficiency of the system.

2.5. Evaluation Indicators

The thermal performance of the integrated thermal power–thermal storage system is evaluated in this study using the following key indices. System efficiency includes the efficiencies of the heat storage process, the heat release process, and the overall operation of the coupled system. Thermoelectric conversion efficiency measures the extent to which stored thermal energy is converted into electrical energy during the heat release stage. Peak-shaving capacity is defined as the difference between the maximum adjustable output and the minimum technical output of the coupled system, while peak-shaving depth represents the ratio of the reduction in power output after peak shaving to the full-load power of the power plant. To ensure that the evaluation of TES integration is not merely comparative but follows a systematic and repeatable methodology, an optimization framework is established in this study. The framework consists of three components: peak-shaving maximization, coal consumption minimization, and exergy-loss minimization.
(1) Peak-adjustment capacity and depth when coupling system heat storage are important indicators of the flexibility of generating units and load-adjustment ability in the power system, especially in response to load fluctuations or new energy sources.
Δ P 1 = P e P 1 ; ψ 1 = Δ P 1 P e × 100 %
P1 is the output power of the coupled system when storing heat; Pe is the output power of the unit at rated conditions; Δ P1 and ψ 1 are the peaking capacity and peaking depth of the coupled system during heat storage, respectively.
(2) Peaking capacity and depth of coupled systems when exothermic:
Δ P 2 = P 2 P 0 ; ψ 2 = Δ P 2 P e × 100 %
P2 is the output power when the coupled system is exothermic; Pe is the output power of the unit at rated conditions; Δ P2 and ψ 2 are the peaking capacity and the peaking depth of the coupled system during heat release, respectively.
(3) Individual components are denoted by the following formula:
E es   E eg   + E ed   = W out   W in  
Ees, Eeg and Eed are effective energy supply, gain and loss, respectively. Win and Wout are power input and power output, respectively.
(4) Heat consumption rate of thermal power units: The efficiency of the generating unit in converting fuel energy into electrical energy is an important indicator for evaluating the energy utilization efficiency of power generation equipment.
E 1 = ( h 2 h 1 ) + ( h 4 h 3 ) w
h 1 , h 2 , h 3 and h 4 are feedwater enthalpy, main-steam enthalpy, desuperheating water enthalpy and reheat-steam enthalpy, respectively. w is the electrical energy generated by the unit.
(5) Steam consumption rate of thermal power units reflects the amount of steam consumed per unit of electrical energy output and is commonly used to assess the efficiency of steam energy utilization of a generating unit.
E 2 = m w
m is the flow of steam consumed by the turbine in the process of generating electricity.
(6) The coal consumption rate of the unit is expressed as follows:
C = m coal   W net  
where m coal   = coal mass flow rate and W net   = net electric power output.
The optimization objective is
Min   ( C store   , C release )
(7) Exergy-loss minimization
The exergy loss in component i is given by the following formula:
E ˙ loss , i = m ˙ ( e in e out ) W i
where m ˙ = mass flow rate through the component, e = specific exergy, and Wi = work output or input.

2.6. Capacity Analysis of Molten Salt Thermal Storage Systems

For a 330 MW thermal unit coupled to a molten salt thermal storage system set for 1 h of peaking operation, the required stored electrical energy is
E e = P · t = 330 × 1 = 330   ( M W h )
Consider that the turbine thermoelectric conversion efficiency is about η = 40% and the heat energy required is
Q = E e η = 330 0.4 = 825   M W h = 2.97 × 10 9   KJ
A typical solar molten salt (60% NaNO3 + 40% KNO3) is used as the heat storage medium, with a specific heat capacity c = 1.5 kJ/(kg·K) and operating temperature difference ΔT = 290 K. Then, the mass of molten salt required is
m = Q c · T = 2.97 × 10 9 1.5 × 290 = 6830   t
If the density of molten salt ρ = 1899 kg/m3, then the required volume of heat storage tank is
V = m ρ = 6.83 × 10 6 1899 = 3596   m 3
In summary, under the design condition of 1 h peak duration, the coupled molten salt thermal storage system needs to be equipped with about 6830 tons of molten salt and 3596 m3 of thermal storage volume to realize the thermo-electrolytic coupling operation of the 330 MW thermal power unit.

3. Results and Discussion

3.1. Thermal Storage Process Analysis

In the combined cycle system of a molten-salt-coupled thermal power unit, there exists a strong correlation between the heat storage capacity, peaking capacity, and peaking depth under different combined cycle modes. These performance indicators are not only affected by the design of the molten salt system, but also directly constrained by the safety requirements of turbine operation—particularly the minimum pumping mass flow, which must generally be maintained at no less than 10% of the rated load flow to ensure safe turbine operation. In this study, the maximum extraction rate of main steam is set to 10%, while that of reheated steam is set to 25%.

3.2. Exothermic Process Analysis

Four operating conditions are selected: (a) 100% load, (b) 75% load, (c) 50% load, and (d) 40% load.
From a turbine-operational perspective, the dominant effect of TES charging is the redistribution of steam mass flow among turbine stages. Extraction of main steam directly reduces the inlet mass flow of the high-pressure (HP) turbine, leading to off-design expansion and a disproportionate reduction in HP-stage work output. In contrast, reheated-steam extraction primarily affects the intermediate- and low-pressure stages, where larger allowable extraction fractions produce deeper peak-shaving capability but also increase condensation-related irreversibilities. Schemes that reinject the heat-exchanged working fluid into downstream turbine stages partially recover residual expansion potential, whereas schemes discharging the fluid to the condenser result in irreversible loss of available work.
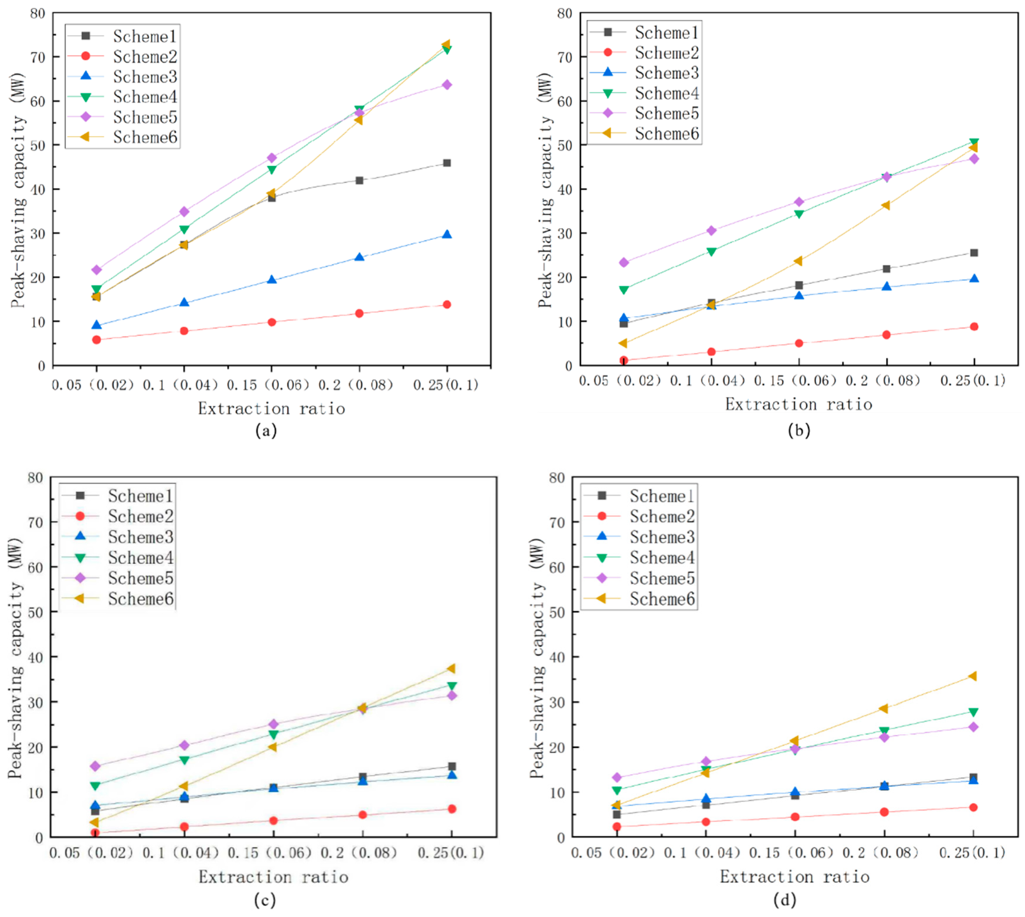
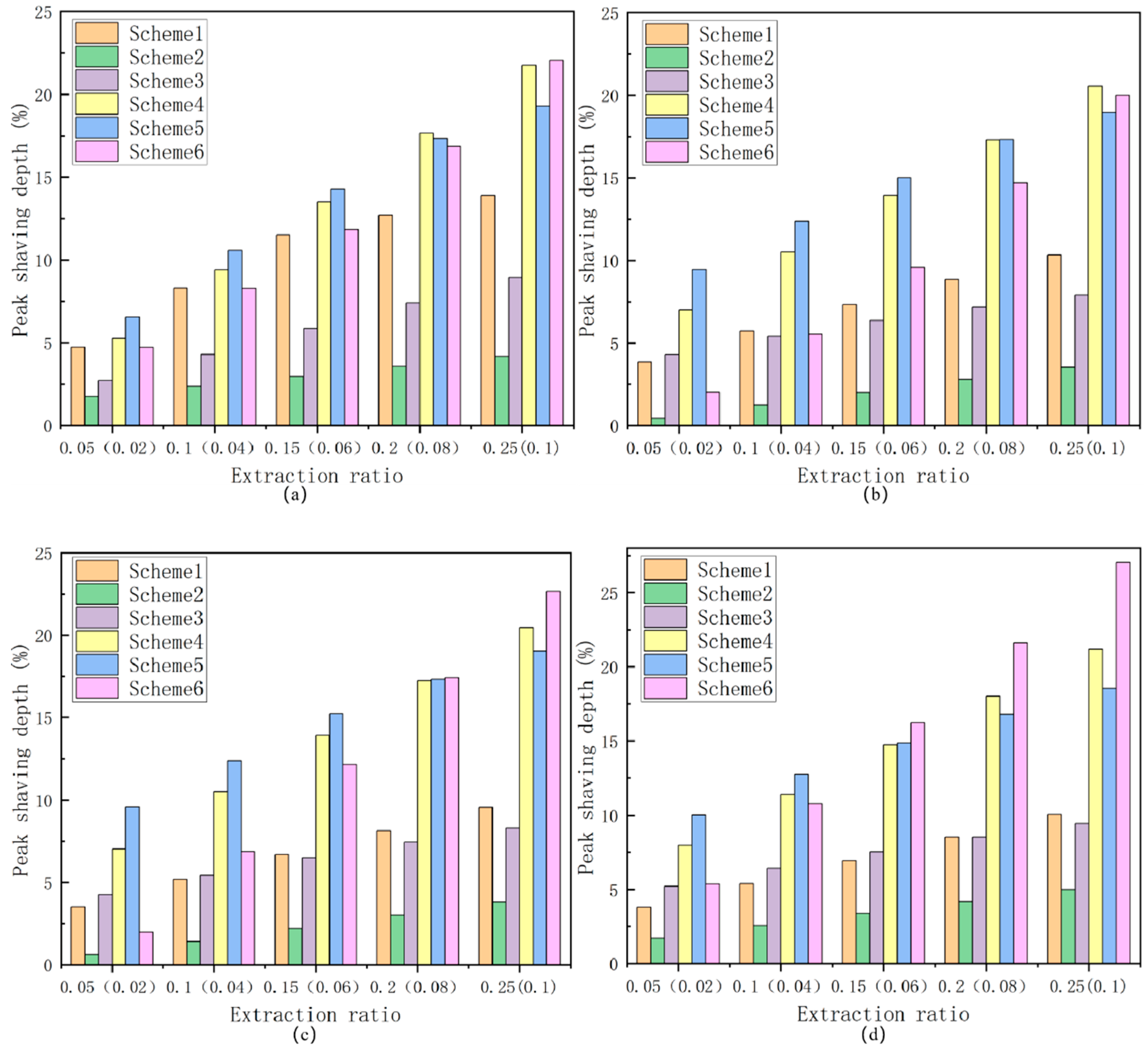
Figure 14 illustrates the variation of the peaking capacity with the steam extraction ratio for the six thermal storage schemes. By coupling with a molten salt thermal energy storage (TES) system, conventional coal-fired power units can achieve flexible load regulation. The core principle lies in extracting steam at different operating loads to store thermal energy, thereby modifying the net power output of the unit and enabling deep peak shaving. Figure 14a–d illustrate the variation of the unit’s peak-shaving capacity with steam extraction rates under four load conditions (100%, 75%, 50% and 40%).
Across Figure 14a–d, the peak-shaving capacity consistently decreases with unit load: at 100% load it exceeds 70 MW, whereas at 40% load it falls to only 2.271 MW. This behavior results from the reduced boiler steam generation and the corresponding lower enthalpy of extraction steam at lower loads, which limits the thermal power available to the TES system.
The extraction location and steam quality play decisive roles in determining storage performance. Schemes 1 and 2 use high-grade main steam but permit only limited extraction flow, leading to relatively weak storage capabilities at high loads. Among these, Scheme 5 achieves the best performance, reaching 63.653 MW at full load. In contrast, Schemes 3 and 4 rely on reheated steam with lower thermal quality but allow larger extraction flow rates, thereby delivering higher peak-shaving capacities across all load conditions; Scheme 3 performs best within this category.
Scheme 6 provides the highest capacity under all operating conditions by combining main-steam extraction with electric heating, effectively decoupling TES charging from boiler steam production. Its advantage is especially pronounced at 40% load, where its peak-shaving capability is nearly double that of most purely steam-extraction schemes.
Figure 15 further shows an approximately linear increase in peak-shaving depth with the extraction ratio. Higher extraction fractions reduce turbine mass flow more significantly, leading to greater reductions in net power output and thus deeper peak-shaving capability.
Across the different extraction schemes, the key performance differences arise from the allowable extraction fraction and the thermal grade of the steam. Although main steam has the highest enthalpy, its extraction ratio is limited to 10%, restricting its ability to substantially reduce turbine output. Reheated steam, by contrast, permits a larger extraction flow and thus achieves greater peak-shaving depth across all load conditions.
Among the main-steam schemes, Scheme 1 performs better because the cooled working fluid is returned to the LP turbine for re-expansion, reducing HP-side mass flow and lowering the unit’s minimum technical output more effectively. Scheme 2 sends the cooled fluid back to the reheater inlet, causing coupled disturbances in the IP and LP stages and yielding slightly weaker performance, with a minimum peak-shaving depth of 1.72% at low load. Under full-load conditions, Scheme 1 reaches a maximum peak-shaving depth of 13.9%.
For reheated-steam extraction, Scheme 3 also returns the cooled steam to the LP turbine, enabling partial energy recovery and good thermodynamic performance, though its peak-shaving depth is limited (8.95% at 100% load). Scheme 4 instead discharges the cooled working fluid to the condenser, discarding most of the residual exergy. While less efficient thermodynamically, this configuration reduces turbine output more aggressively and achieves the highest peak-shaving depth among the reheated-steam schemes (up to 21.74% at full load).
Scheme 5 combines main-steam and reheated-steam extraction, leveraging both high thermal grade and relatively large extraction flow. This results in the strongest performance among all pure steam-extraction schemes, with a peak-shaving depth of 19.28% at high load. Scheme 6 further enhances performance by integrating steam extraction with electric heating. The dual mechanism—reducing HP turbine inlet flow while simultaneously consuming electrical output through electric heating—produces the highest overall peak-shaving depth, reaching 27.03% at 40% load.
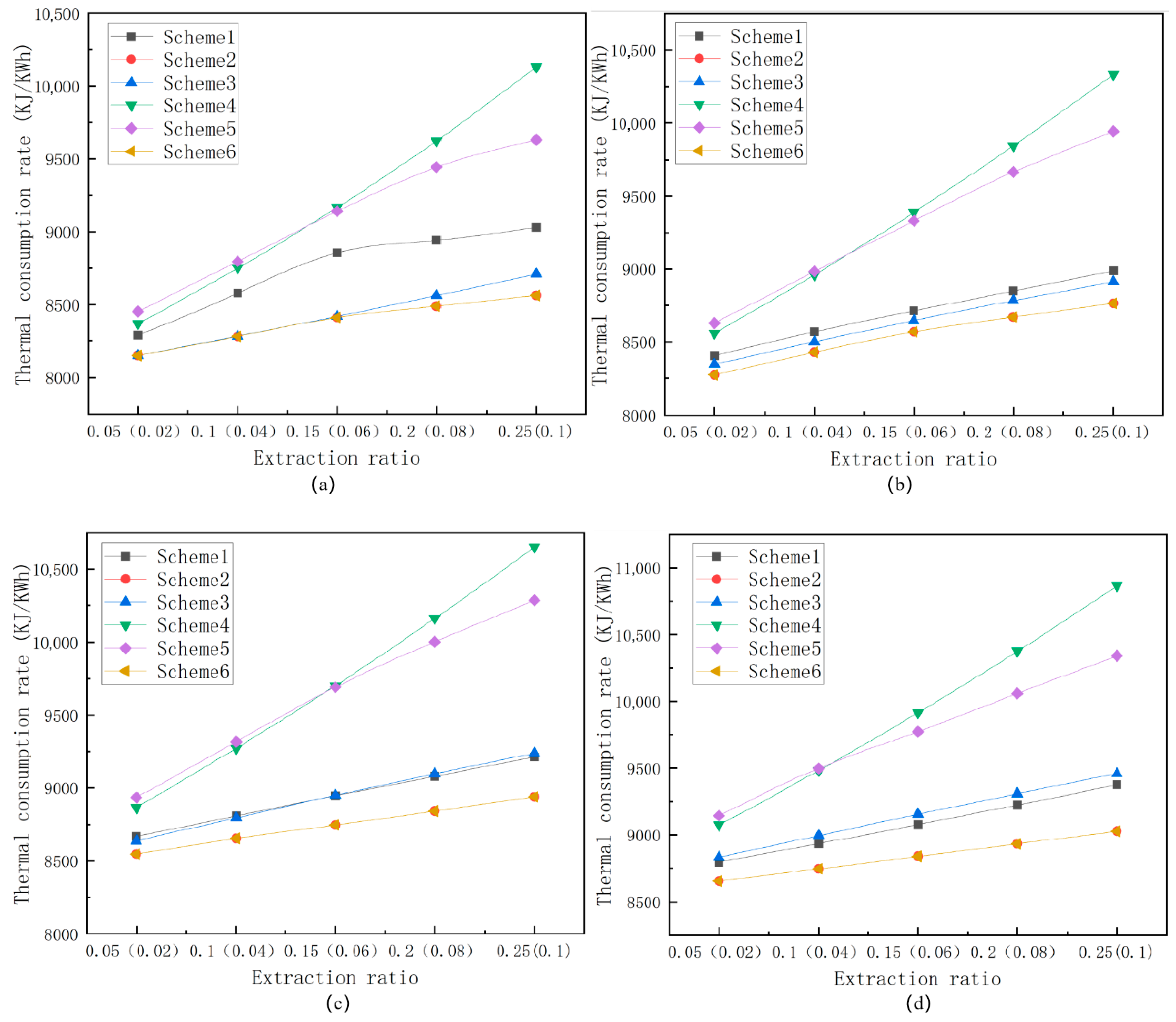
Figure 16 shows that coal consumption rate increases with steam extraction ratio in all schemes because extraction reduces turbine working-fluid mass flow, lowering power generation efficiency. As unit load decreases, the baseline coal consumption also rises due to reduced boiler thermal efficiency and diminished cycle exergy utilization.
From a comparative perspective, Scheme 1, which extracts high-grade main steam, has a pronounced effect on the high-pressure (HP) turbine output, leading to relatively high efficiency losses. However, the heat-exchanged working fluid in this scheme is redirected to the low-pressure (LP) turbine for further expansion, partially recovering the residual heat and mitigating the deterioration of the coal consumption rate. Among all the schemes, Scheme 1 achieves a balance between strong peak-shaving capability and reasonable economic performance, with the highest coal consumption rate of 319.83 g/kWh at 40% load.
Both Scheme 2 and Scheme 6 introduce the heat-exchanged working fluid into the cold end of the reheater, thereby enhancing the fluid’s thermal quality and reducing internal exergy losses within the system. These schemes effectively utilize the high enthalpy of main steam while maintaining superior thermodynamic performance of the cycle, resulting in minimal impact on the coal consumption rate. Under 100% load conditions, both schemes achieve the lowest coal consumption rate, at only 278.08 g/kWh.
Scheme 3 extracts medium-grade reheated steam with a relatively large extraction fraction, which causes a noticeable reduction in the unit’s output power. Nevertheless, since the heat-exchanged working fluid is redirected to the LP turbine for re-expansion, part of the residual energy is effectively recovered, giving this scheme better coal consumption performance than Scheme 4. Under 100% load, the minimum coal consumption rate for Scheme 3 reaches 278.09 g/kWh.
In contrast, Scheme 4 exhibits the highest coal consumption rate among all configurations. In this scheme, low-grade reheated steam is extracted and the heat-exchanged working fluid is discharged directly into the condenser, resulting in a significant and irreversible exergy loss with almost no energy recovery. Consequently, while the fuel input remains nearly unchanged, the net power output of the unit decreases sharply, leading to the most severe deterioration in coal consumption performance, with a rate as high as 370.73 g/kWh at 40% load.
Scheme 5, which extracts both main and reheated steam simultaneously, achieves a large peak-shaving depth. However, the combined extraction substantially affects the turbine power output, causing a noticeable decline in power generation efficiency. Although part of the working fluid is re-expanded to recover a portion of the lost energy, its coal consumption rate remains higher than that of most single-extraction schemes, reaching 352.84 g/kWh at 40% load.
Figure 17 illustrates the variation of the heat consumption rate with the steam extraction ratio for the six thermal storage schemes. The heat rate is a key indicator for evaluating the thermodynamic performance of coal-fired power units, reflecting the amount of thermal energy consumed to generate a unit of electricity. During the thermal energy storage (TES) process, part of the steam is extracted for heat exchange, thereby reducing the turbine’s work output and decreasing power generation, which results in an increase in the overall heat rate. Under low-load conditions (Figure 17c,d), the absolute value of the heat rate is significantly higher than that under high-load conditions (Figure 17a,b), primarily due to the inherent decline in thermal efficiency of coal-fired units during low-load operation.
From a comparative perspective, Schemes 1 and 5, which extract main steam for thermal storage, cause relatively large exergy destruction because the main steam originally possesses high work potential; its extraction effectively reduces the available energy in the high-pressure (HP) turbine. However, since the heat-exchanged working fluid is redirected to the low-pressure (LP) turbine for further expansion, part of the residual exergy is recovered and utilized, leading to better overall performance than Scheme 4, though still inferior to the more optimized Scheme 2. Specifically, at 40% load, the minimum heat rates for Schemes 1 and 5 are 9373.38 kJ/kWh and 10,340.59 kJ/kWh, respectively.
Scheme 4 exhibits the greatest exergy loss and the poorest thermodynamic performance. In this configuration, the heat-exchanged working fluid still contains considerable residual thermal energy but is discharged directly into the condenser, resulting in significant energy waste. This represents a typical case of inefficient utilization of high-grade energy, causing a substantial loss of potential work and a pronounced deterioration of the heat rate. At 40% load, the heat rate reaches the highest value of 10,864.85 kJ/kWh.
In contrast, Schemes 2 and 6 demonstrate the lowest exergy destruction and the best exergy performance. Both share the same extraction and discharge points, thus exhibiting nearly identical heat rate levels. These schemes extract high-grade main steam for thermal storage and subsequently reintroduce the heat-exchanged working fluid into the reheater for reheating, effectively enhancing the thermodynamic quality of the working fluid. This approach minimizes irreversible losses within the system, thereby achieving the smallest deterioration in heat rate. Under 100% load, their minimum heat rates reach 8149.83 kJ/kWh.
Scheme 3 extracts medium-grade reheated steam, resulting in lower exergy destruction compared to the high-grade steam extraction schemes. The heat-exchanged working fluid is reintroduced into the turbine for further expansion, allowing additional recovery of residual energy. From energy and exergy performance characteristics, Scheme 3 performs better than Scheme 4, achieving a minimum heat rate of 8149.86 kJ/kWh at 100% load—comparable to that of Scheme 2.
Figure 18 illustrates the variation of the steam consumption rate with the steam extraction ratio for the six thermal storage schemes. When a coal-fired power unit is coupled with a molten salt thermal energy storage (TES) system for charging, a portion of the steam is extracted for heat exchange, thereby reducing the steam flow entering the turbine. This reduction directly decreases the turbine’s work output and significantly lowers the net electric power generation. Even when the total main-steam flow decreases only slightly, the specific steam consumption (SSC) increases markedly, indicating a reduction in the turbine’s work efficiency per unit of steam.
Among the various TES integration schemes, the extraction position and the reinjection pathway have a pronounced influence on the SSC. Scheme 1 extracts high-grade main steam, which directly reduces the working-fluid flow entering the high-pressure (HP) turbine. Since main steam possesses the highest exergy, its extraction considerably weakens the turbine’s power generation capability, leading to a noticeable deterioration in SSC performance. Consequently, Scheme 1 exhibits a generally high SSC curve in Figure 18a–d, reaching 3.53 kg/kWh under the 100% load condition.
Schemes 2 and 6 also extract main steam; although this causes the largest loss in potential work, both schemes reintroduce the heat-exchanged working fluid into the reheater for re-superheating, thereby improving the thermodynamic quality of the returning steam and minimizing internal irreversibilities. Owing to this optimized process design, these two schemes achieve the highest work efficiency per unit of steam and the smallest increase in SSC. At 40% load, their minimum SSC values reach 2.96 kg/kWh, representing the best overall performance among all configurations.
Scheme 3 exhibits intermediate performance. It extracts reheated steam, which has a smaller impact on the HP turbine and thus lower extraction losses. Additionally, the heat-exchanged working fluid is returned to the low-pressure (LP) turbine for further expansion, partially recovering the remaining exergy. As a result, Scheme 3 demonstrates less SSC deterioration than Scheme 4, with the lowest value reaching 3.098 kg/kWh at 40% load.
Scheme 4 performs the worst among all cases. Although it extracts medium-grade steam, the allowable extraction ratio is relatively large, and the heat-exchanged working fluid is discharged directly into the condenser, leading to severe energy losses. This inefficient utilization of high-grade energy significantly damages the turbine’s internal work potential, resulting in the highest SSC of 3.88 kg/kWh, the most deteriorated condition among all schemes.
In Scheme 5, the extracted high-grade steam still retains certain pressure and temperature after releasing heat during the storage process. By redirecting it into the LP turbine for further expansion, part of the residual work potential can be recovered. However, due to the use of a high-grade, large-fraction steam extraction strategy, the absolute SSC remains relatively high, reaching 3.76 kg/kWh under the 100% load condition.
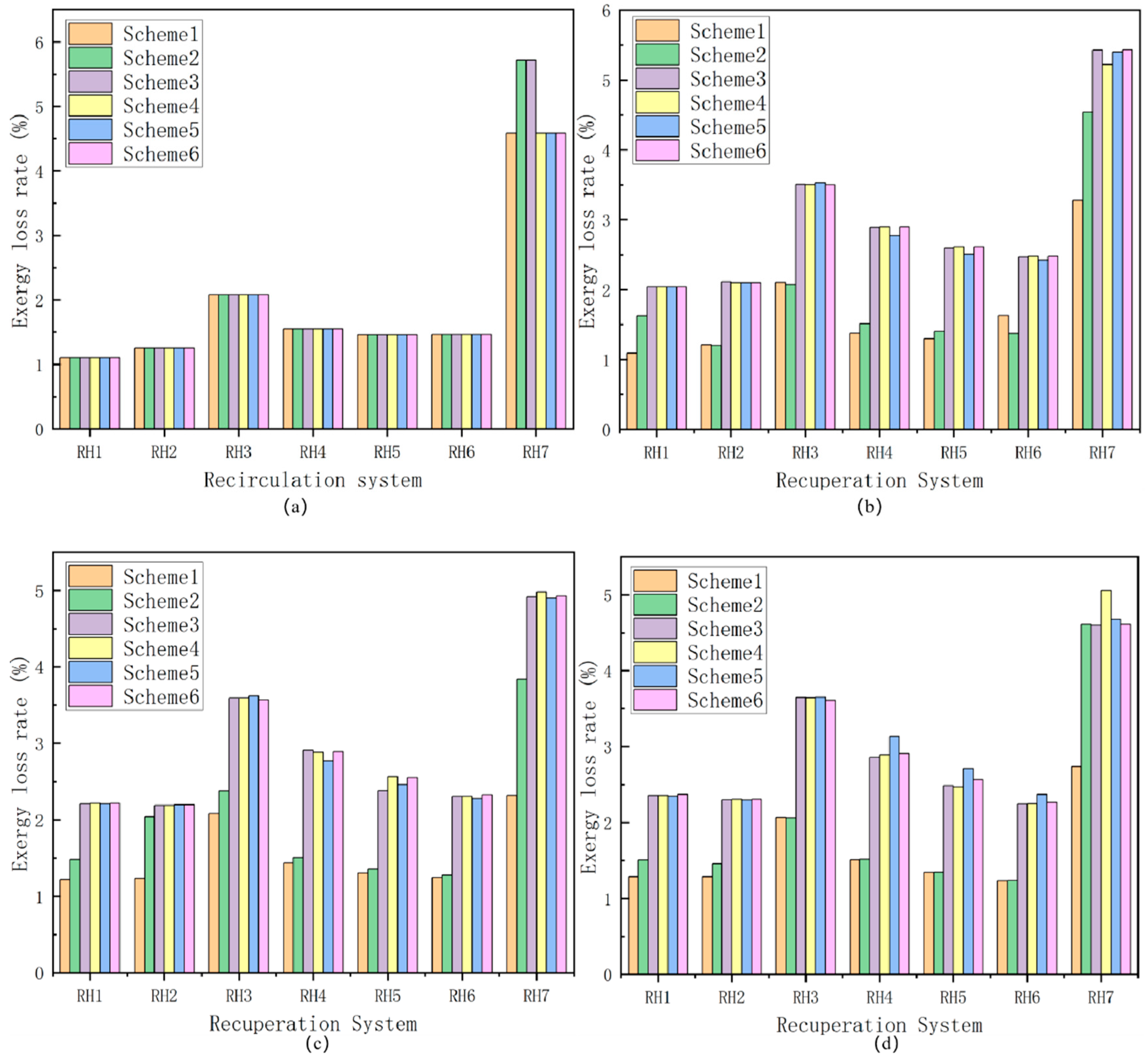
Figure 19 illustrates the exergy loss rate of the regenerative system for the six thermal storage schemes. Figure 19a–d illustrate the distribution of exergy loss rates in the feedwater heaters under six thermal energy storage (TES) integration schemes at different load conditions, where RH1–RH3 represent high-pressure heaters and RH4–RH7 represent low-pressure heaters. As shown, the distribution of exergy losses across the heaters exhibits a distinct stage-dependent pattern under varying load conditions.
The exergy analysis is conducted through well-defined control volumes, including each steam turbine section (HP, IP and LP), the low-pressure and high-pressure feedwater heaters, the reheater, the condenser, and the TES heat exchangers. For each control volume, the exergy balance accounts for the incoming and outgoing mass flows, the associated thermodynamic properties (enthalpy and entropy), and the heat and work interactions occurring within the component.
The observed differences in exergy loss among schemes are governed by three primary thermodynamic drivers: (i) thermal-grade mismatch between extracted steam and the receiving heat sink, (ii) enlargement of terminal temperature differences in regenerative heaters, and (iii) turbine operation under off-design mass-flow conditions. High-grade steam extraction amplifies irreversibility when the recovered heat is not reintegrated into the expansion process, while low-grade steam substitution mainly affects the cold-end components, such as low-pressure heaters and the condenser. Consequently, schemes that maintain thermal-grade matching and enable partial re-expansion of the working fluid exhibit lower overall exergy destruction.
At high-load conditions, the exergy loss rates in the high-pressure heaters are generally low. This is primarily because the large main-steam flow and small terminal temperature differences suppress irreversible losses within the high-pressure heaters, maintaining high overall thermal efficiency and minimizing the disturbance of TES steam extraction on the high-pressure section. However, the exergy loss in RH3 is significantly higher than in RH1–RH2, particularly under the 40% load condition, where Scheme 3 reaches an RH3 exergy loss of 3.646%. This increase is attributed to the proximity of RH3 to the steam extraction or reheated-steam return points in several schemes, which induces abrupt changes in steam flow rate and temperature, enlarging the temperature difference between the feedwater and steam and intensifying local irreversibilities.
In contrast, the exergy loss rates in the low-pressure heaters (RH4–RH7) are markedly higher than those in the high-pressure section, with RH7 exhibiting the most significant losses. Under the 100% load condition, Scheme 2 shows an RH7 exergy loss of 5.72%, indicating that in the low-condensation-pressure region, the larger temperature differences during heat transfer lead to pronounced thermodynamic irreversibilities.
As the unit load decreases (Figure 19c,d), the overall exergy loss rates of all heaters increase, with a more pronounced rise in the low-pressure heaters. In particular, the differences among schemes at RH7 become more evident, suggesting that at low loads, the thermodynamic degradation of the low-pressure heat exchange process is more sensitive to load variations.
On the high-pressure side (RH1–RH3), Schemes 1 and 2 exhibit the lowest exergy losses and similar trends, indicating strong control over irreversibility during high-grade steam heat exchange. Although both schemes extract main steam, they respectively utilize energy recovery through low-pressure turbine return (Scheme 1) or reheater reinjection (Scheme 2), thereby optimizing exergy management in the high-pressure section. In contrast, Schemes 3–6 generally show higher exergy losses in the high-pressure heaters, reflecting insufficient control of terminal temperature differences and poor thermal-grade matching between steam and feedwater.
On the low-pressure side (RH4–RH7), all schemes experience significant increases in exergy loss rates, with RH7 showing the most pronounced peaks. The low-grade nature of the low-pressure steam makes it highly sensitive to load disturbances, and the increased temperature difference at the cold end further enhances system irreversibility. Under low-load conditions, Scheme 4 exhibits the highest low-pressure heater losses, especially at RH7, where the loss peaks at 5.06% under the 40% load condition. This is primarily because the heat-exchanged working fluid is discharged directly into the condenser, leading to substantial high-grade energy waste. Schemes 5 and 6 also present elevated low-pressure exergy losses—the former due to the complexity of dual-side steam extraction and flow redistribution, and the latter due to temperature mismatches introduced by the coupled steam–electric heating process. In comparison, Schemes 1 and 2 maintain relatively lower exergy losses at both high- and low-pressure sections, demonstrating superior thermal coordination and exergy utilization between high- and low-grade steam streams.
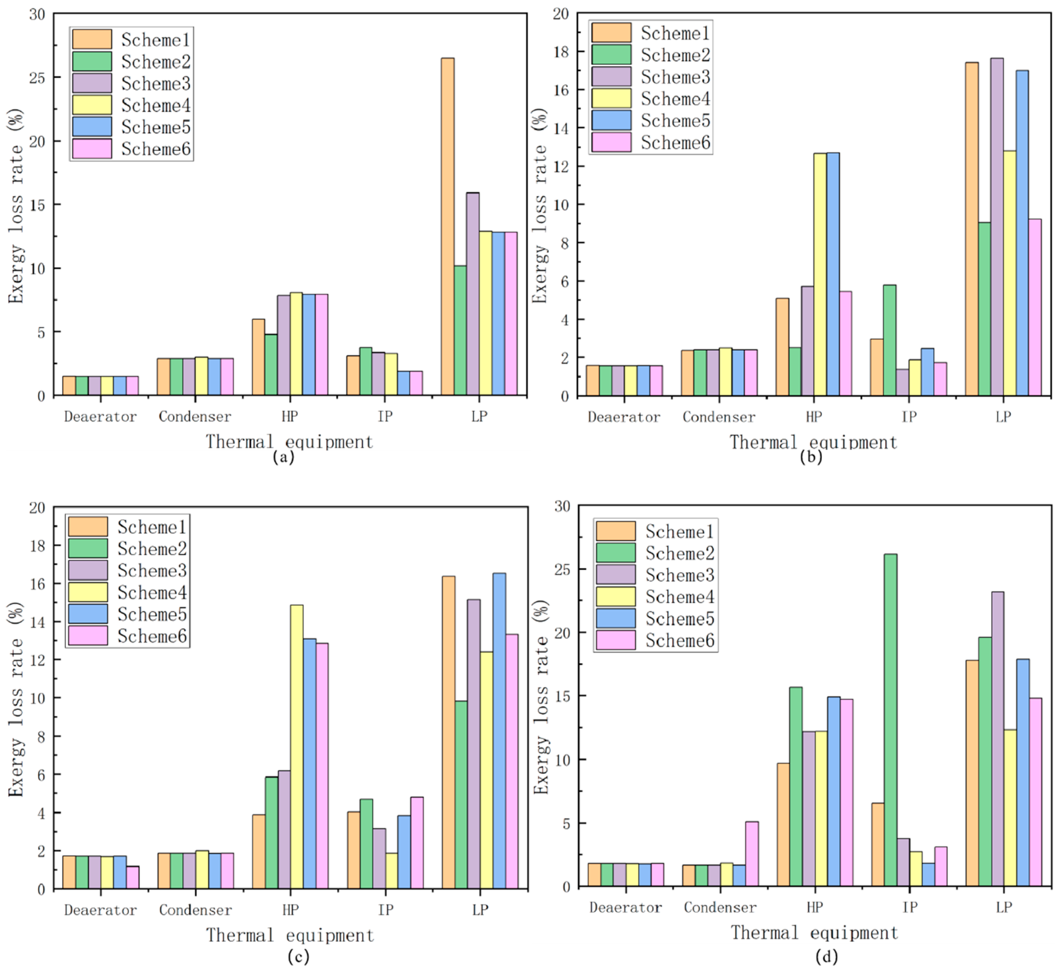
Figure 20 illustrates the exergy loss rate of the thermal equipment for the six thermal storage schemes. The distribution of exergy losses across the turbine cylinders serves as a key indicator for distinguishing the thermodynamic performance of different thermal energy storage (TES) integration schemes. Under TES operating conditions, steam extraction significantly alters the mass-flow distribution and energy quality within each turbine cylinder, becoming the primary factor responsible for the pronounced variation in turbine exergy losses. Differences among the schemes in terms of extraction steam grade and the destination of the heat-exchanged steam directly determine the exergy loss characteristics of each turbine section. Although Scheme 6 (steam extraction combined with electric heating) demonstrates the best overall performance in terms of peak-shaving depth and flexibility enhancement (Figure 14 and Figure 15), its operation introduces two additional considerations. First, as shown in Figure 20, the larger extraction flow reduces the steam mass flow through the low-pressure turbine, which increases the irreversibilities associated with condensation and leads to higher condenser exergy losses. This effect does not change the general advantage of Scheme 6 but highlights a trade-off between flexibility improvement and cold-end thermodynamic penalties. Second, the effectiveness of electric heating in this configuration is inherently linked to the electricity price during TES charging periods. Since the present study focuses on thermodynamic evaluation, the electricity price dependency has not been included in the baseline comparison. To address this limitation, a qualitative discussion and an indicative sensitivity argument have been added, noting that Scheme 6 remains advantageous when low-price off-peak electricity is available, whereas its economic attractiveness decreases under higher electricity-purchase tariffs.
The high-pressure (HP) cylinder exhibits notably higher exergy losses in Schemes 2 and 4–6. In these schemes, the involvement of high-grade main-steam extraction or complex composite coupling processes leads to a significant reduction in the HP cylinder working-fluid mass flow, causing off-design operation and a substantial increase in the exergy loss rate. In contrast, Scheme 1 features less steam extraction and well-controlled flow redistribution, resulting in lower HP cylinder exergy losses—as low as 3.884% at the 50% load condition.
The intermediate-pressure (IP) cylinder shows considerable exergy losses primarily in Schemes 1 and 2, with Scheme 2 reaching as high as 26.15% at the 40% load, and Scheme 1 exhibiting 6.56% at full load. Both schemes extract main steam for TES charging, altering the enthalpy at the HP outlet and the reheated-steam mass flow, thereby deviating the IP cylinder inlet parameters from their design point. This deviation reduces the cylinder’s work capability and increases irreversible losses. In contrast, Schemes 3–6, which either employ steam extraction at lower-pressure points or utilize reheated-steam recirculation, maintain a better thermodynamic balance and exhibit smaller IP cylinder losses—e.g., Scheme 3 reaches as low as 1.371% at 75% load, and Scheme 6 records 1.73% under the same condition.
The low-pressure (LP) cylinder experiences the most prominent exergy losses in Schemes 1, 3 and 5, with Scheme 1 reaching a remarkably high 26.49% at full load. These schemes generally route the heat-exchanged working fluid back into the LP cylinder for further expansion, causing deviations in the terminal-stage flow and thermodynamic parameters from design values and inducing considerable flow and thermal irreversibilities. Conversely, Schemes 2, 4 and 6 maintain lower or more stable LP cylinder exergy losses due to reduced load or limited recirculation flow.
Overall, the deaerator exhibits minimal exergy losses across all schemes, suggesting that different extraction strategies have little impact on its irreversibility. Notably, under the 50% load condition, Scheme 6 shows a distinctly lower deaerator exergy loss, likely because the temperature difference of the working fluid entering the deaerator decreases under this condition, thus reducing entropy generation. Another possible reason is that the deaerator operating pressure or feedwater preheating level shifts favorably, weakening the thermal driving force between the hot and cold ends.
The condenser also presents generally small exergy losses, though clear differences are observed among the schemes. Scheme 4 shows higher condenser losses, primarily because the heat-exchanged working fluid is discharged directly into the condenser, effectively releasing high-grade heat energy to the cold source and resulting in substantial irreversible entropy generation. Additionally, Scheme 6 shows an elevated condenser exergy loss of 5.1% under the 40% load condition. This can be attributed to the increased exhaust steam temperature at low load, which enlarges the temperature difference with the environment and intensifies irreversibility. Moreover, the hybrid steam–electric heating configuration of Scheme 6 may cause operational mismatches between the turbine and the cooling source under medium-to-low-load conditions, leading to higher condenser loading and greater exergy losses.
A clear trade-off emerges among the investigated TES integration schemes. Schemes with aggressive peak-shaving capability (e.g., reheated-steam extraction and hybrid steam–electric configurations) achieve deeper load reduction but incur higher exergy losses and efficiency penalties. Conversely, schemes emphasizing energy recovery and reheater reinjection demonstrate superior thermodynamic performance at the expense of reduced peak-shaving depth. Hybrid schemes provide the highest operational flexibility but introduce additional penalties related to condenser loading and electricity consumption during charging. These trade-offs indicate that no single scheme is universally optimal; instead, the preferred configuration depends on whether flexibility enhancement or efficiency preservation is prioritized.
To move beyond scheme-by-scheme descriptive reporting, a synthetic thermodynamic interpretation is presented here to clarify the fundamental drivers governing the performance differences among the investigated TES integration configurations. The dominant thermodynamic impact of TES charging originates from the redistribution of steam mass flow among turbine stages. Main-steam extraction directly reduces the inlet mass flow of the high-pressure (HP) turbine, causing a disproportional decrease in HP-stage expansion work and shifting the turbine operation away from its design point. This results in a strong reduction in net power output but also introduces significant efficiency penalties due to off-design expansion. In contrast, reheated-steam extraction primarily affects the intermediate- and low-pressure turbine stages. Because reheated steam possesses lower thermodynamic grade than main steam but allows larger allowable extraction fractions, reheated-steam-based schemes generally provide deeper peak-shaving capability with comparatively lower penalties on HP-stage efficiency. However, the reduced mass flow through the LP turbine enhances condensation-related irreversibilities, leading to increased cold-end exergy destruction. Hybrid configurations that combine steam extraction with reheater reinjection or electric heating partially decouple TES charging from boiler steam generation. These schemes can simultaneously reduce turbine inlet mass flow and consume electric output, resulting in the deepest achievable peak-shaving depth, but they also amplify condenser loading and cold-end irreversibilities.
The observed exergy loss patterns can be explained by three dominant mechanisms: thermal-grade mismatch between the extracted steam and the receiving heat sink, which enlarges terminal temperature differences and increases entropy generation in heat exchangers and regenerative heaters; off-design turbine expansion, where steam extraction alters stage-wise pressure ratios and velocity triangles, increasing irreversible losses in turbine cylinders; and cold-end degradation, where reduced LP-stage mass flow and elevated exhaust temperature intensify condenser irreversibility. Schemes that enable partial reintegration of the heat-exchanged working fluid into downstream turbine stages mitigate these mechanisms by recovering residual expansion potential and reducing thermal-grade mismatch, thereby exhibiting lower overall exergy destruction.
A clear trade-off emerges between achievable peak-shaving depth and thermodynamic efficiency. Schemes prioritizing deep peak-shaving—such as reheated-steam extraction and hybrid steam–electric charging—achieve the largest output reduction and flexibility enhancement, but incur higher exergy destruction and deterioration in coal and heat consumption rates. Conversely, schemes emphasizing reheater reinjection and downstream re-expansion preserve higher thermodynamic efficiency but provide more limited peak-shaving depth. This trade-off indicates that no single TES integration scheme is universally optimal; instead, the preferred configuration depends on whether flexibility enhancement or efficiency preservation is prioritized under specific grid and market conditions.

3.3. Thermal Discharging Process Analysis

During the thermal discharge process of a molten-salt-coupled power plant, the hot molten salt releases its stored thermal energy to water through a heat exchanger. During this process, the temperature of the molten salt decreases as its heat is transferred to the working fluid, causing the water to heat up and enabling it to be used for additional turbine expansion work or feedwater preheating. This approach allows for efficient recovery of high-grade thermal energy, reduces fuel consumption, and improves the overall thermal efficiency of the system. The rate of heat release and its utilization depend on the selected discharge path, the extraction points of the working fluid, and the operating load of the system. In this study, coal consumption rate and other performance indicators are used to evaluate the molten salt heat release, and three operating conditions—75%, 50% and 40% load—are selected for analysis.
Figure 21 illustrates the variation of peaking capacity with the pumped water volume for the seven thermal discharge schemes. During the discharging stage, the system primarily utilizes the thermal energy released from the molten salt storage to replace the extraction steam traditionally used for feedwater heating. Consequently, the extracted steam that would otherwise be diverted for regenerative heating continues to expand through the turbine’s final stages, thereby increasing the net power output of the unit. The additional power generation resulting from this process is defined as the discharging peak-shaving capacity, which is mainly determined by two factors: (1) the enthalpy grade of the replaced extraction steam and (2) the efficiency of heat utilization. In particular, replacing high-grade steam (i.e., extracted from the high-pressure side) enables the release of greater potential work.
Overall, as the steam extraction ratio increases, the peak-shaving capacity of all schemes shows an upward trend. This is because a larger discharging heat quantity corresponds to more substituted extraction steam and thus stronger work potential from the released high-grade steam. However, significant differences exist among the schemes. The high-capacity group (Schemes 1–5), which generally extracts feedwater upstream of the high-pressure heaters, replaces high- or intermediate-pressure extraction steam of high exergy grade. As a result, these schemes release steam with strong expansion potential and achieve the highest peak-shaving capacities. Conversely, the low-capacity group (Schemes 6 and 7), which extracts feedwater upstream of the low-pressure heaters, mainly replaces low-grade extraction steam on the low-pressure side, resulting in limited energy release and the lowest peak-shaving capacities.
The variation in peak-shaving capacity is essentially determined by the final utilization of the replaced steam. Among all configurations, Scheme 5 exhibits the greatest potential for additional power generation. In this scheme, the high-grade steam, after heat exchange, is directed into the intermediate-pressure (IP) cylinder for expansion work, thereby both replacing high-grade extraction steam and directly converting the released thermal energy into additional mechanical work. These dual benefits make Scheme 5 the most effective, achieving a peak-shaving capacity of 24.06 MW at 40% load. Scheme 1, on the other hand, returns the heat-exchanged steam to the low-pressure (LP) cylinder for further expansion. Although the steam quality is lower, the energy recovery remains significant, yielding the highest 25.368 MW peak-shaving capacity at 75% load. Scheme 2, which directs the heat-exchanged water to the boiler, primarily enhances fuel-saving performance rather than power output, with a maximum peak-shaving capacity of 8.289 MW at 75% load. Schemes 3 and 4 demonstrate notably higher peak-shaving capacities than Scheme 2, indicating a more effective utilization of turbine load margins. Specifically, Scheme 3 reaches 14.947 MW, while Scheme 4 achieves 22.235 MW at 75% load. In contrast, Schemes 6 and 7, which only replace low-pressure extraction steam, release limited energy and exhibit the weakest peak-shaving performance, reaching merely 0.542 MW and 0.411 MW, respectively, at 40% load.
Furthermore, the variation in peak-shaving capacity under different load conditions (as shown in Figure 21a–c) is also significant. At low-load conditions (40%), turbine efficiency is reduced; thus, even though a considerable amount of steam is released, the exhaust pressure constraint limits the overall peak-shaving potential. In contrast, under medium- and high-load conditions, the turbine operates with higher efficiency and greater expansion margin, allowing the discharged steam to produce a markedly higher peak-shaving capacity.
In summary, Scheme 5 demonstrates the strongest discharging and peak-shaving capability, benefiting from the combined effects of high-grade steam replacement and additional expansion work, making it the most promising optimization scheme. In contrast, Schemes 6 and 7, which only replace low-grade extraction steam, possess limited peak-shaving capacity and exhibit the lowest additional generation potential among all configurations.
Figure 22 illustrates the variation of peaking depth with the pumped water volume for the seven thermal discharge schemes. The discharging peak-shaving depth represents the proportion of additional power generation achieved by a thermal power unit through a molten salt thermal storage system relative to its rated output. A higher value indicates a greater peak-shaving potential. The fundamental principle lies in utilizing the heat released from molten salt during discharging to replace the extraction steam used for feedwater heating. Consequently, the previously occupied high-grade extraction steam is freed to continue expanding in the turbine’s final stages, thereby enhancing the net power output of the unit. The magnitude of the peak-shaving depth primarily depends on two factors: the enthalpy grade of the replaced extraction steam and the efficiency of converting the molten salt’s released heat into electricity.
From a thermodynamic perspective, the ranking of peak-shaving depth among different schemes remains generally stable under varying equivalent extraction ratios and is closely correlated with the working potential of the released steam. Scheme 5 demonstrates the highest discharging peak-shaving depth and the greatest additional generation potential, reaching 13.46% at 75% load. In this scheme, the high-grade steam, after heat exchange, is directed into the intermediate-pressure (IP) cylinder for further expansion, simultaneously replacing the high-pressure extraction steam and directly converting the molten salt’s thermal energy into additional expansion work. This dual mechanism produces a “double benefit” effect, leading to the highest peak-shaving depth.
Scheme 1 ranks second, where the heat-exchanged steam is introduced into the low-pressure (LP) cylinder for expansion. Although its steam grade is slightly lower than that of Scheme 5, it still effectively recovers the energy released from high-grade extraction steam, providing strong additional generation capability. Its maximum peak-shaving depth reaches 10.27% at 75% load. Schemes 3 and 4 exhibit moderate peak-shaving depths. Both extract feedwater upstream of the high-pressure heaters to replace high-grade extraction steam. Although their thermal utilization efficiencies are slightly lower than those of Schemes 5 and 1, their flow configurations allow more direct utilization of the turbine’s load margin, resulting in superior peak-shaving performance compared to Scheme 2. Specifically, Scheme 3 achieves a maximum of 6.06%, and Scheme 4 reaches 9% at 75% load.
Scheme 2, designed primarily for thermal economy improvement, directs the heat-exchanged feedwater into the boiler to reduce fuel consumption rather than increase instantaneous power output. Consequently, its peak-shaving depth remains relatively low, with a maximum of 3.35% at 75% load. Schemes 6 and 7, which replace low-pressure, low-grade extraction steam, release the least steam energy and thus exhibit the smallest discharging peak-shaving depths and the most limited power enhancement potential.
As illustrated in Figure 22a–c, the peak-shaving depth of all schemes increases with the equivalent extraction ratio (i.e., released heat), but both the absolute values and the growth rates are strongly influenced by the unit’s baseline load. Under medium-to-high-load conditions, turbine efficiency is higher, and greater expansion potential allows the discharged steam to be more effectively converted into electrical power, leading to larger peak-shaving depths. Conversely, under low-load conditions, turbine efficiency decreases, and exhaust limitations constrain the effective utilization of released steam, thereby reducing the achievable peak-shaving depth.
In summary, Scheme 5, benefiting from the dual advantages of high-grade steam replacement and additional expansion work, consistently achieves the highest discharging peak-shaving depth across all operating conditions. It demonstrates the strongest potential for additional power generation and represents the optimal configuration for enhancing the flexibility of thermal power units coupled with molten salt thermal storage systems.
Figure 23 illustrates the variation of coal consumption rate with the pumped water volume for the seven thermal discharge schemes. The coal consumption rate is a key indicator reflecting the efficiency of converting fuel energy into electricity in coal-fired power units. During the discharging phase, variations in the coal consumption rate are primarily determined by the combined effects of the molten salt thermal storage system on the net power output and the boiler fuel consumption after replacing turbine extraction steam. Overall, as the released heat increases, the coal consumption rate decreases across all schemes. This is because a larger discharging amount corresponds to a greater substitution of extraction steam by molten salt heat, allowing more steam to expand in the turbine’s final stages and perform additional work. As a result, the net power output of the unit increases while the fuel consumption per unit of electricity decreases, leading to a reduction in coal consumption rate.
From the perspective of thermal economy, the coal consumption rate is closely related to exergy losses and steam consumption rate, representing the combined effects of molten salt heat utilization efficiency and the thermodynamic grade of the replaced extraction steam. Scheme 2 exhibits the lowest coal consumption rate and the best thermal economy, reaching as low as 251.34 g ce/kWh at 40% load. In this configuration, the feedwater heated by the molten salt is directly supplied to the boiler, thereby maximizing the substitution of fuel energy and minimizing heat transfer losses due to the shortest thermal path. Consequently, the overall efficiency is the highest.
Following Scheme 2, Schemes 3 and 5 achieve slightly higher coal consumption rates but maintain a favorable balance between peak-shaving capability and thermal efficiency. Scheme 5 directs the heated steam into the intermediate-pressure cylinder for expansion, while Scheme 3 adopts a recirculation heating process to effectively recover high-grade steam energy. Their minimum coal consumption rates are 253.54 g ce/kWh (Scheme 3 at 40% load) and 239.92 g ce/kWh (Scheme 5 at 75% load), respectively. Schemes 1 and 4 show intermediate performance, balancing between power enhancement and thermal efficiency improvement, though their overall thermal economy is slightly inferior. Scheme 1 reaches a minimum of 253.67 g ce/kWh at 75% load, while Scheme 4 achieves 256.9 g ce/kWh at 40% load.
In contrast, Schemes 6 and 7 exhibit the highest coal consumption rates. Both replace low-pressure, low-grade extraction steam, which possesses limited enthalpy and working potential. As a result, the released steam provides only minor improvements in overall efficiency, leading to the smallest reductions in coal consumption rate.
The results under different load conditions (Figure 23a–c) further confirm these trends. In general, under high-load conditions, the unit operates with higher thermal efficiency and lower baseline coal consumption rate, whereas under low-load conditions, the turbine deviates from its design point, reducing thermal efficiency and significantly increasing baseline coal consumption. Notably, Scheme 2 consistently maintains the lowest coal consumption rate under high, medium, and low loads, demonstrating excellent robustness and adaptability of its “heat-for-fuel substitution” design, which achieves optimal fuel savings across all operating conditions.
In summary, Scheme 2, which directs the molten-salt-heated feedwater directly into the boiler, realizes the lowest coal consumption rate through the most direct and efficient fuel substitution pathway, making it the thermodynamically optimal configuration during the discharging phase. In contrast, Schemes 6 and 7, limited by their replacement of low-grade extraction steam, yield minimal efficiency improvements and thus the highest coal consumption rates, representing the weakest thermal economy among all schemes.
Figure 24 illustrates the variation of heat consumption rate with the pumped water volume for the seven thermal discharge schemes. The heat rate reflects the amount of thermal energy consumed per unit of electricity generated and is an important indicator for evaluating the thermal economy of a power plant. A lower heat rate indicates a higher efficiency of converting thermal energy into electrical energy. During the heat release phase, variations in the heat rate are primarily determined by the integrated effects of replacing extraction steam with a molten salt thermal storage system on turbine output and boiler heat supply balance. Overall, as the released heat increases, the heat rates of all schemes show a decreasing trend. This is because the heat provided by the molten salt substitutes for the steam originally used for feedwater heating, allowing the extracted steam to continue expanding in the low-pressure stages of the turbine, thereby increasing net power output and reducing the thermal input required per unit of electricity, which leads to a lower heat rate.
Regarding thermal economic performance, the differences in heat rates among the schemes are generally consistent with the variations in coal consumption. Their relative advantages mainly depend on the efficiency of heat utilization and the grade of the replaced steam. Scheme 5 exhibits a relatively low heat rate, indicating superior thermal economy. In this scheme, the heated steam is directed to the medium-pressure cylinder after heat exchange, which not only substitutes high-grade extraction steam but also converts the molten salt heat directly into mechanical work, achieving dual benefits of “efficient heat utilization + increased power output.” This high-grade, direct heat utilization pathway enables Scheme 5 to exhibit the best efficiency characteristics during the heat release phase, with the heat rate reaching as low as 7031.23 kJ/kWh under 75% load. Scheme 2, by directly sending the feedwater heated by molten salt into the boiler, maximizes the substitution of boiler fuel consumption and achieves high heat utilization efficiency, reaching a minimum heat rate of 7366.02 kJ/kWh under 40% load.
The heat rates of Schemes 3 and 4 are at moderate levels. Scheme 3 recovers high-grade steam through a recirculating heat exchange process, resulting in relatively high heat utilization efficiency. Scheme 4, on the other hand, sends the heated steam to the high-pressure heater, yielding slightly lower overall efficiency than Scheme 3. Scheme 3 reaches a minimum heat rate of 7430.62 kJ/kWh at 40% load, while Scheme 4 reaches 7529.06 kJ/kWh under the same load condition. In comparison, Scheme 1 exhibits a relatively higher heat rate. Although the returned steam is sent to the low-pressure cylinder after heat exchange, partially enhancing the power output, the lower grade of the replaced steam limits the efficiency of heat utilization, resulting in slightly inferior thermal economy compared with Schemes 3 and 4. The minimum heat rate of Scheme 1 is 7434.26 kJ/kWh at 75% load, indicating lower overall thermal economy than Schemes 2, 3 and 5.
Schemes 6 and 7 exhibit the highest heat rates. Since these schemes replace low-grade extraction steam from the low-pressure side, the potential for work extraction and heat grade are both low, providing limited improvement to overall plant efficiency, and therefore the reduction in heat rate is minimal. The heat rate of Scheme 6 is as high as 8512.37 kJ/kWh at 40% load, and that of Scheme 7 is 8408.72 kJ/kWh under the same condition.
Performance under different load conditions (as shown in Figure 24a–c) further validates the above trends. Generally, at high-load conditions, the plant operates near the design point with higher thermal efficiency, resulting in the lowest baseline heat rate. Under low-load conditions, due to the deviation of the turbine from the design point, thermal efficiency decreases, and the baseline heat rate is highest. Notably, regardless of high-, medium-, or low-load conditions, Schemes 2 and 5 consistently maintain relatively low heat rates, demonstrating that they can fully exploit the high-efficiency utilization of molten salt heat under varying operating conditions, offering significant thermal economic advantages and adaptability.
In conclusion, Schemes 2 and 5 achieve lower heat rates and higher thermal efficiency during the heat release phase by directly converting molten salt heat into work, representing the most thermally economical options among all schemes. Conversely, Schemes 6 and 7, which only replace low-grade extraction steam, offer limited efficiency improvements and exhibit the highest heat rates, indicating the least favorable thermal economy.
Figure 25 illustrates the variation of steam consumption rate with the pumped water volume for the seven thermal discharge schemes. The steam consumption rate reflects the amount of steam required per unit of electricity generated and is a key indicator for evaluating the work efficiency of the turbine and the thermal economy of the power plant. A lower steam consumption rate indicates that the plant can generate more electricity under the same steam conditions, i.e., higher efficiency in converting thermal energy into electrical energy. During the heat release phase, variations in the steam consumption rate are primarily determined by the extent to which the molten salt thermal storage system, replacing extraction steam, enhances the turbine’s work output. Overall, as the released heat increases, the steam consumption rates of all schemes exhibit a decreasing trend. This is because the heat provided by molten salt substitutes for the feedwater heating function of the extracted steam, allowing the steam that would otherwise have been extracted to continue expanding in the later stages of the turbine, thereby increasing net power output. With the total steam flow remaining nearly constant, the increase in net power results in a significant reduction in steam consumption per unit of electricity, leading to a lower steam consumption rate.
Regarding thermal economic performance, the differences in steam consumption rates among the schemes primarily depend on the degree to which the replacement of extraction steam with molten salt heat enhances the turbine’s work capacity. Scheme 5 exhibits the lowest steam consumption rate, indicating the most favorable thermal economy. In this scheme, high-grade steam is extracted and directed to the medium-pressure cylinder after heat exchange, directly converting molten salt heat into mechanical work. This approach achieves an optimal balance of “increased power output and efficiency enhancement,” with the minimum steam consumption rate reaching only 2.58 kg/kWh under 40% load. Following Scheme 5, Scheme 1 directs the heat-exchanged working fluid into the low-pressure cylinder. Although the grade of substituted steam is slightly lower than that in Scheme 5, it still effectively increases turbine output, significantly reducing the steam consumption rate, which reaches a minimum of 2.69 kg/kWh at 40% load.
Schemes 3 and 4 exhibit intermediate steam consumption rates. Scheme 3 recycles high-grade steam via a recirculating heat exchange process, while Scheme 4 utilizes partial reheating to reuse thermal energy. Although their power augmentation is lower than that of Schemes 1 and 5, they outperform Scheme 2, which is efficiency-oriented, and Schemes 6 and 7, which replace low-grade steam. Specifically, Scheme 3 reaches a minimum steam consumption rate of 2.84 kg/kWh at 40% load, whereas Scheme 4 can reach 2.77 kg/kWh under the same load condition. In comparison, Scheme 2 exhibits the highest steam consumption rate. Its design primarily focuses on using molten salt heat to replace boiler fuel, enhancing overall system thermal efficiency rather than directly boosting turbine output, resulting in limited net power increase and a maximum steam consumption rate of 3.01 kg/kWh. Schemes 6 and 7 replace low-grade extraction steam from the low-pressure side. The limited work potential of this steam yields minimal turbine output improvement, leading to the smallest reduction in steam consumption rate. Under 75% load, the maximum steam consumption rate of Scheme 6 reaches 2.98 kg/kWh, while that of Scheme 7 is 2.99 kg/kWh.
The results under different load conditions (as shown in Figure 25a–c) further confirm these trends. Overall, the steam consumption rate tends to increase with plant load. At high-load conditions, although the plant operates closer to the design point with higher turbine efficiency, the steam flow increases with load, resulting in slightly higher steam consumption per unit of electricity compared to medium- and low-load conditions. Under low-load conditions, the total steam flow is relatively low, yielding overall lower steam consumption rates. Despite variations in absolute values across different loads, the relative trends remain consistent: Scheme 5 consistently exhibits the lowest steam consumption rate under all load conditions, demonstrating its thermodynamic advantage and operational robustness in efficient heat utilization and enhanced power output.
In conclusion, Scheme 5 (heat-exchanged working fluid directed to the medium-pressure cylinder) converts molten salt heat into mechanical work in the most direct and efficient manner, achieving the lowest steam consumption rate and the best thermal economy during the heat release phase. In contrast, Schemes 6 and 7, which only replace low-grade extraction steam, provide limited improvement to turbine efficiency, resulting in the highest steam consumption rates and the least favorable thermal economy.
Figure 26 illustrates the exergy loss rate of the regenerative system for the seven thermal discharge schemes. Figure 26a–c illustrate the distribution of exergy loss rates at each feedwater heater under different load conditions. RH1–RH3 correspond to the high-pressure heaters, while RH4–RH7 correspond to the low-pressure heaters. Overall, the exergy losses in the high-pressure heaters (RH1–RH3) are generally lower across all schemes, whereas the losses in the low-pressure heaters (RH4–RH7) are relatively higher. This indicates that the low-pressure extraction steam accounts for a larger proportion of the system’s energy distribution, with lower energy quality and more pronounced thermodynamic irreversibility.
Comparative analysis among the schemes shows that Scheme 3 exhibits the best overall performance. In this scheme, the distribution of exergy losses across the heaters is the most balanced, with low loss rates maintained in both high- and low-pressure stages. Notably, in the medium- and low-pressure heaters (RH3–RH7), the scheme demonstrates effective energy utilization and minimal thermal losses. This suggests that Scheme 3 achieves a favorable hierarchical energy utilization and heat load distribution within the feedwater heating system, avoiding localized temperature differences that lead to irreversible losses, thereby maximizing the overall thermal economy of the system.
Scheme 5 also exhibits relatively low overall exergy losses, particularly in the low-pressure stage, reflecting high energy utilization efficiency. This indicates that although Scheme 5 employs the medium-pressure cylinder for additional power output, the process causes minimal and uniform perturbation to the feedwater heating system, without creating concentrated thermal loads in the high-pressure stage.
Scheme 1 shows low exergy losses in the high-pressure heaters (RH1–RH5), demonstrating effective utilization of high-grade extraction steam. However, significant local losses appear in the low-pressure stage, especially near RH6, reaching up to 2.59%. This is mainly because the heat-exchanged steam returned to the low-pressure cylinder perturbs the flow and temperature distribution in the feedwater heating system, leading to mismatches in energy grade and flow in the low-pressure section, thereby increasing irreversible losses.
Scheme 4, similarly to Scheme 3, recovers energy via recirculating or partial reheating processes; however, due to longer heat utilization paths and reduced steam grade, its reduction in losses is slightly inferior to Scheme 3. Notably, under 75% load, Scheme 4 exhibits the highest peak-shaving depth among all charging strategies because it allows a large amount of reheat steam to be diverted toward the TES during charging. However, this benefit comes at the cost of substantially increased coal consumption, as shown in Figure 16, Figure 17 and Figure 18. The reason is that the extensive steam extraction markedly reduces the mass flow through the low-pressure turbine, resulting in higher condenser dissipation and overall thermodynamic inefficiency.
Scheme 2 presents relatively uniform exergy loss distribution, with generally medium-to-low loss rates across heaters and minimal disturbance to the feedwater heating system. However, its limited power augmentation results in a smaller overall improvement in thermal efficiency compared with Schemes 3 and 5. Schemes 6 and 7 exhibit high exergy losses in the low-pressure stage, with loss rates increasing notably under high-load conditions. This reflects that the low-grade extraction steam replaced in these schemes has limited energy quality, providing minimal improvement to unit efficiency and the worst overall energy utilization among the schemes.
In summary, the trends under different load conditions are consistent: Scheme 3 achieves the most reasonable energy distribution and the lowest losses at all stages, demonstrating optimal system thermal economy. Scheme 5 ranks second, offering strong load-following capability and relatively low exergy losses.
Figure 27 illustrates the exergy loss rate of the thermal equipment for the seven thermal discharge schemes. Analysis of exergy losses in major thermodynamic components indicates that the condenser and deaerator exhibit the lowest thermal losses across all schemes, with little variation, remaining at approximately 1–3%. This suggests that the heat release processes have a limited impact on these auxiliary components. The only exception is Scheme 4, whose condenser loss slightly increases to 3% under 75% load. In contrast, the turbine cylinders are the primary regions of energy conversion and loss, with significant differences observed among schemes in the high-pressure (HP), intermediate-pressure (IP), and low-pressure (LP) cylinders, reflecting the effectiveness of the feedwater heating and steam flow matching strategies.
In the high-pressure cylinder, losses vary most significantly with load and are closely linked to the process design. At 75% load, Schemes 1 and 6 exhibit the highest HP cylinder losses, reaching 15.67% and 15.68%, respectively, mainly due to high-load power augmentation causing fluctuations in steam flow and grade around the extraction points, which reduce thermodynamic efficiency. Scheme 3, employing a localized reheating strategy, minimizes disturbance in the HP stage and achieves the best efficiency, with losses of only 12.21%. At 50% load, Scheme 4 shows the highest HP cylinder loss of 15.77%, due to altered thermal distribution in the feedwater circuit that significantly degrades HP efficiency; Scheme 2 follows with 14.63%, whereas Schemes 3, 6 and 7 maintain lower, more stable HP losses. At 40% load, HP cylinder loss in Scheme 3 increases to 15.45%, indicating sensitivity of localized reheating to load variations; conversely, Scheme 4 performs best at low load, with HP loss only 7.77%, suggesting minimal disturbance to the HP stage under low-flow conditions. Overall, the variation in HP cylinder losses highlights the significant differences among schemes in steam flow allocation and load response.
Differences in IP and LP cylinder losses are also pronounced. Generally, IP cylinder losses are lower than those in the LP cylinder and are strongly influenced by reheated-steam disturbance and injection patterns, while LP cylinders, as the final work-producing stages, are most sensitive to load changes. Schemes 3 and 6 perform optimally, representing low-disturbance, high-stability configurations. Scheme 3 achieves one of the lowest IP cylinder losses, only 0.32% at 40% load, indicating minimal impact of localized reheating on the reheat section. Its LP cylinder losses are also the lowest under high load, reaching only 9.2% at 50% load, reflecting reasonable expansion enthalpy distribution, high efficiency, and good load adaptability. Scheme 6 similarly maintains low IP losses, with 2.18% at 50% load, though its LP losses are moderately high, reaching 14.59% at 75% load. Scheme 7 performs similarly to Scheme 6, with slightly higher IP losses (4.13% at 75% load) but slightly better LP performance at high load, with losses as low as 12.46%.
By contrast, Scheme 5, despite offering the highest power augmentation potential, exhibits significantly increased IP losses, reaching 5.87% at 40% load, and substantial LP losses at high load, up to 15.02%, resulting in markedly reduced last-stage efficiency and higher operational risk. Scheme 1 shows relatively large IP cylinder losses, 6.32% at 50% load, and significantly increased LP losses at high load due to direct steam return causing enthalpy drop impacts, though it performs relatively well at low load, with LP losses decreasing to 8.78%. Scheme 2 induces minimal disturbance overall, with moderate-to-low IP losses, but LP losses are among the highest at high load, reaching 14.5% at 40% load. Scheme 4 causes the largest IP disturbance with higher losses, but LP cylinder performance is excellent under low load, achieving the lowest value among all schemes at 40% load (8.34%).
To synthesize the discharge-stage results, it is observed that schemes replacing high-grade extraction steam on the high-pressure side release the greatest expansion potential and thus achieve the largest peak-shaving capacity during discharging. However, these schemes also introduce larger irreversibilities due to increased terminal temperature differences and condenser loading. In contrast, low-pressure-side substitution schemes yield smaller peak-shaving benefits but preserve superior thermodynamic efficiency. This further confirms that TES discharge performance is governed by the same fundamental trade-off between flexibility gain and exergy loss identified in the charging-stage analysis.
In summary, Scheme 3 demonstrates the best overall performance, combining HP-stage stability with high LP efficiency. Schemes 6 and 7 are suitable for low-disturbance, stable operation. Scheme 4 shows certain advantages under low-load conditions. Schemes 1 and 5, while capable of significant power augmentation, require careful consideration of efficiency losses and operational stability at high load.

4. Conclusions

Although the primary focus of this study is thermodynamic performance, a preliminary economic perspective has been added to provide context for the practical applicability of the TES–coal hybrid system. The capital expenditure (CAPEX) of a molten salt TES retrofit mainly consists of the salt tanks, heat exchangers, piping, auxiliary equipment, and control modifications, while operating expenditure (OPEX) includes pumping power, heat losses, and maintenance associated with molten salt handling. From a cost–benefit standpoint, schemes with higher peak-shaving depth offer greater economic value by enabling deeper participation in load-following and ancillary-service markets, thereby increasing revenue during high-price periods. However, schemes that incur high coal consumption penalties or large exergy losses may offset part of the economic gains. Therefore, even a simplified CAPEX/OPEX consideration reinforces that the most favorable configurations are those that balance deep peak-shaving capability with minimized efficiency deterioration—particularly the hybrid extraction–electric heating scheme, which shows strong performance under variable market conditions.
A detailed thermodynamic analysis of a molten-salt-coupled thermal power unit was performed to evaluate the effects of different heat storage and release configurations on the system’s flexibility and efficiency. The main conclusions are as follows:
(1)
System validation: The EBSILON-based simulation model closely matches the design parameters, with relative deviations below 2%, confirming its accuracy for thermodynamic performance evaluation.
(2)
Thermal storage performance: Heat storage capacity, peaking capacity, and peaking depth are strongly correlated with steam extraction position and flow rate. Scheme 3 (reheated-steam extraction with low-pressure return) achieves optimal thermal balance and energy utilization.
(3)
Thermal discharge performance: During heat release, replacing high-grade extraction steam with molten salt heat significantly enhances turbine output and fuel economy. Scheme 5 (high-pressure water heating with IP cylinder reinjection) achieves the highest peaking capacity and lowest steam consumption rate.
(4)
Thermodynamic optimization: Schemes 2 and 5 exhibit the lowest coal and heat consumption rates, demonstrating superior energy conversion efficiency and economic potential.
(5)
Exergy analysis: Scheme 3 achieves the most balanced exergy distribution in the regenerative system, while Scheme 5 minimizes overall system losses. In contrast, schemes replacing low-grade extraction steam show limited improvement and higher irreversibility.
From a practical engineering perspective, the investigated TES integration schemes exhibit distinct characteristics. Main-steam-extraction-based schemes provide moderate peak-shaving capability with relatively small efficiency penalties, making them suitable for applications prioritizing stable operation and efficiency preservation. Reheated-steam extraction schemes enable deeper peak shaving but incur higher exergy losses and condenser loading, and are therefore more appropriate for systems where operational flexibility is the primary objective. Hybrid steam–electric schemes offer the widest operational adjustment range; however, their practical deployment depends on the availability of low-cost off-peak electricity and acceptable auxiliary power consumption.
Overall, the study confirms that integrating molten salt TES into coal-fired power units offers a technically feasible and economically viable approach to enhancing operational flexibility, reducing fuel consumption, and supporting renewable energy integration in modern power grids.

Author Contributions

Conceptualization, X.H.; methodology, R.T.; software, R.T.; validation, T.Z.; formal analysis, F.R.; investigation, X.R.; resources, R.T.; data curation, G.J.; writing—original draft preparation, Z.Y.; writ-ing—review and editing, F.M.; visualization, X.R.; supervision, X.R.; project administration, X.R.; funding acquisition, X.R. All authors have read and agreed to the published version of the manuscript.

Funding

This research was funded by the Anhui Province Quality Infrastructure Standardization Special Project (grant number 2023MKS19) and the Science and Technology Project of China Huaneng Group (HNKJ22-H24).

Data Availability Statement

The original contributions presented in the study are included in the article, further inquiries can be directed to the corresponding author.

Acknowledgments

This work was supported by the Anhui Province Quality Infrastructure Standardization Special Project (grant number 2023MKS19) and the Science and Technology Project of China Huaneng Group (HNKJ22-H24).

Conflicts of Interest

Authors Z.Y., R.T., G.J., X.H. and T.Z. were employed by the company Guoneng Nanjing Electric Power Test & Research Limited. The remaining authors declare that the research was conducted in the absence of any commercial or financial relationships that could be construed as a potential conflict of interest.

References

  1. Mallapaty, S. How China could be carbon neutral by mid-century. Nature 2020, 586, 482–483. [Google Scholar] [CrossRef]
  2. Zhou, X.M.; Zhang, Z.; Jiang, Y.N. Design and thermodynamic analysis of 1050 MW coal-fired power unit coupled with molten salt thermal energy storage system. Energy 2025, 320, 135292. [Google Scholar] [CrossRef]
  3. Liu, J.; Guo, W.J.; Yin, M.X.; Xi, W.X.; Sunden, B. Flow and heat transfer characteristic of regenerative cooling channels using supercritical CO2 with circular tetrahedral lattice structures. Case Stud. Therm. Eng. 2025, 71, 106204. [Google Scholar] [CrossRef]
  4. Wang, C.Y.; Song, J.W.; Zhu, L.K.; Zheng, W.; Liu, Z.Z.; Lin, C.K. Peak shaving and heat supply flexibility of thermal power plants. Appl. Therm. Eng. 2021, 193, 117030. [Google Scholar] [CrossRef]
  5. Kalapala, L.; Devanuri, J.K. Influence of operational and design parameters on the performance of a PCM based heat exchanger for thermal energy storage—A review. J. Energy Storage 2018, 20, 497–519. [Google Scholar] [CrossRef]
  6. Ben Khedher, N.; Togun, H.; Aljibori, H.S.S.; Mohammed, H.I.; Khosravi, K.; Abed, A.M.; Boujelbene, M.; Mahdi, J.M. Accelerated melting dynamics in latent-heat storage systems via longitudinal and circular fins: A comprehensive 3D analysis. Int. Commun. HEAT MASS Transf. 2024, 156, 107602. [Google Scholar] [CrossRef]
  7. Ding, N.; Duan, J.H.; Xue, S.; Zeng, M.; Shen, J.F. Overall review of peaking power in China: Status quo, barriers and solutions. Renew. Sustain. Energy Rev. 2015, 42, 503–516. [Google Scholar] [CrossRef]
  8. Howlader, A.M.; Urasaki, N.; Yona, A.; Senjyu, T.; Saber, A.Y. A review of output power smoothing methods for wind energy conversion systems. Renew. Sustain. Energy Rev. 2013, 26, 135–146. [Google Scholar] [CrossRef]
  9. Wang, C.Y.; Chen, F.F.; Wang, L.Y.; Cao, H.M.; Gao, L.; Tian, S.; Wang, W.; Sun, Q. The flexibility of a molten salt thermal energy storage (TES)-integrated coal-fired power plant. Appl. Energy 2025, 402, 126876. [Google Scholar] [CrossRef]
  10. Zhang, Q.J.; Dong, J.N.; Chen, H.; Feng, F.Y.; Xu, G.; Wang, X.Y.; Liu, T. Dynamic characteristics and economic analysis of a coal-fired power plant integrated with molten salt thermal energy storage for improving peaking capacity. Energy 2024, 290, 130132. [Google Scholar] [CrossRef]
  11. Wang, X.; Xia, J.; Zou, J.; Huang, W.; Matetic, M.; Bakaric, M.B.; Zhang, X. Pathways toward precise monitoring and low-carbon sustainability in fruit cold chain logistics: A solution enabled by flexible temperature sensing. Mater. Today Sustain. 2023, 24, 100592. [Google Scholar] [CrossRef]
  12. Lv, S.N.; Lu, Y.W.; Wei, H.J. Research on operational flexibility of 600 MW subcritical coal-fired power unit by coupling three-tank molten salt thermal energy storage system. Energy 2025, 322, 135580. [Google Scholar] [CrossRef]
  13. Hansen, K.; Mathiesen, B.V.; Skov, I.R. Full energy system transition towards 100% renewable energy in Germany in 2050. Renew. Sustain. Energy Rev. 2019, 102, 1–13. [Google Scholar] [CrossRef]
  14. Brunner, C.; Deac, G.; Braun, S.; Zöphel, C. The future need for flexibility and the impact of fluctuating renewable power generation. Renew. Energy 2020, 149, 1314–1324. [Google Scholar] [CrossRef]
  15. Hassan, Q.; Viktor, P.; Al-Musawi, T.J.; Ali, B.M.; Algburi, S.; Alzoubi, H.M.; Al-Jiboory, A.K.; Sameen, A.Z.; Salman, H.M.; Jaszczur, M. The renewable energy role in the global energy Transformations. Renew. Energy Focus 2024, 48, 100545. [Google Scholar] [CrossRef]
  16. Kabeyi, M.; Olanrewaju, O.A. Sustainable Energy Transition for Renewable and Low Carbon Grid Electricity Generation and Supply. Front. Energy Res. 2022, 9, 743114. [Google Scholar] [CrossRef]
  17. Meng, Y.Q.; Cao, Y.W.; Li, J.Q.; Liu, C.; Li, J.L.; Wang, Q.R.; Cai, G.W.; Zhao, Q.S.; Liu, Y.P.; Meng, X.; et al. The real cost of deep peak shaving for renewable energy accommodation in coal-fired power plants: Calculation framework and case study in China. J. Clean. Prod. 2022, 367, 132913. [Google Scholar] [CrossRef]
  18. Hirth, L.; Ueckerdt, F.; Edenhofer, O. Integration costs revisited—An economic framework for wind and solar variability. Renew. Energy 2015, 74, 925–939. [Google Scholar] [CrossRef]
  19. Luo, D.Q.; Liu, J.; Wu, H.J.; Zhang, G.P.; Pan, Z.J.; Huang, J.L. Advancing smart net-zero energy buildings with renewable energy and electrical energy storage. J. Energy Storage 2025, 114, 115850. [Google Scholar] [CrossRef]
  20. Andreades, C.; Scarlat, R.O.; Dempsey, L.; Peterson, P. Reheat-Air Brayton Combined Cycle Power Conversion Design and Performance Under Nominal Ambient Conditions. J. Eng. GAS Turbines Power-Trans. ASME 2014, 136, 062001. [Google Scholar] [CrossRef]
  21. Relloso, S.; Gutiérrez, Y. SENER Molten Salt Tower Technology. Ouarzazate NOOR III Case. AIP Conf. Proc. 2017, 1850, 030041. [Google Scholar] [CrossRef]
  22. Zheng, J.J.; Suh, S. Strategies to reduce the global carbon footprint of plastics. Nat. Clim. Change 2019, 9, 374–378. [Google Scholar] [CrossRef]
  23. Yu, S.C.; Chen, L.; Zhao, Y.; Li, H.X.; Zhang, X.R. A brief review study of various thermodynamic cycles for high temperature power generation systems. Energy Convers. Manag. 2015, 94, 68–83. [Google Scholar] [CrossRef]
  24. Bhatnagar, P.; Siddiqui, S.; Sreedhar, I.; Parameshwaran, R. Molten salts: Potential candidates for thermal energy storage applications. Int. J. Energy Res. 2022, 46, 17755–17785. [Google Scholar] [CrossRef]
  25. Chen, C.X.; Liu, X.; Xue, X.; Lan, Z.H.; Zhou, H. Performance and operational safety assessment of large molten salt storage tanks under different settlement conditions. Sol. Energy 2025, 302, 114027. [Google Scholar] [CrossRef]
  26. Ma, S.; Yang, Q.R.; Li, Y.P.; Yan, C.X.; Wang, X.S. A review on preparation, thermal transport properties, phase-change characteristics, and thermal stability of molten salts. J. Clean. Prod. 2024, 444, 141272. [Google Scholar] [CrossRef]
  27. Wang, G.; Liu, Z.J.; Han, W.; Jiang, T.L.; Chen, Z.S. Influence investigation of hot molten salt temperature on operation and mechanical behaviours of latent heat storage tank. Case Stud. Therm. Eng. 2021, 28, 101522. [Google Scholar] [CrossRef]
  28. Wang, H.; Xu, J.L.; Zhao, Y.W.; Yu, Y.P.; Wang, Y.; Liu, A.K. Numerical simulation of the thermal performance of the molten-salt steam generator for a coal-fired power plant. Appl. Therm. Eng. 2025, 267, 125847. [Google Scholar] [CrossRef]
  29. Jing, H.; Wang, D.L.; Chen, W.X.; Zhao, Y.L.; Wang, C.Y.; Zhang, K.Z.; Yan, J.J. Design and performance comparison of stepwise and staged molten salt thermal storage systems integrated within a coal-fired power plant. J. Energy Storage 2025, 131, 117574. [Google Scholar] [CrossRef]
  30. Zheng, C.Y.; Cheng, K.Y.; Han, D.J. High-Temperature Molten Salt Heat Exchanger Technology: Research Advances, Challenges, and Future Perspectives. Energies 2025, 18, 3195. [Google Scholar] [CrossRef]
  31. Li, H.A.; Liu, X.; Wei, D.L.; Wu, F.Y.K.; Wei, L.J.; Wu, Y.J.; Zhou, H. Performance and economic analysis of a combined heat and power plant based on thermal energy storage. J. Energy Storage 2025, 123, 116658. [Google Scholar] [CrossRef]
  32. Lee, S.; Kim, D.; Ha, H.; Kim, M.S. Pressure energy recovery of LNG integrated with multi-stage feedwater fuel preheaters in a combined cycle power plant. Energy 2023, 285, 128694. [Google Scholar] [CrossRef]
  33. Mahdi, J.M.; Abed, A.M.; Al-Saaidi, H.A.; Ben Khedher, N.; Ibrahim, R.K.; Ben Amara, M. Augmenting the thermal response of helical coil latent-heat storage systems with a central return tube configuration. Case Stud. Therm. Eng. 2023, 51, 103607. [Google Scholar] [CrossRef]
  34. Wang, B.G.; Ma, H.; Ren, S.J.; Si, F.Q. Effects of integration mode of the molten salt heat storage system and its hot storage temperature on the flexibility of a subcritical coal-fired power plant. J. Energy Storage 2023, 58, 106410. [Google Scholar] [CrossRef]
  35. Ma, T.S.; Li, Z.K.; Lv, K.; Chang, D.F.; Hu, W.S.; Zou, Y. Design and performance analysis of deep peak shaving scheme for thermal power units based on high-temperature molten salt heat storage system. Energy 2024, 288, 129557. [Google Scholar] [CrossRef]
  36. Chen, X.H.; Oko, E.; Wu, X. Integration and capacity optimization of molten-salt heat storage in coal-fired power plant with carbon capture system. J. Energy Storage 2024, 99, 113363. [Google Scholar] [CrossRef]
  37. Riley, D.; Hansen, C.; Stein, J.; Lave, M.; Kallickal, J.; Marion, B.; Toor, F. A Performance Model for Bifacial PV Modules. In Proceedings of the 2017 IEEE 44th Photovoltaic Specialist Conference (PVSC), Washington, DC, USA, 25–30 June 2017; pp. 3348–3353. [Google Scholar]
  38. Gillingham, K.T.; Knittel, C.R.; Li, J.; Ovaere, M.; Reguant, M. The Short-run and Long-run Effects of Covid-19 on Energy and the Environment Comment. Joule 2020, 4, 1337–1341. [Google Scholar] [CrossRef] [PubMed]
  39. Siddiqui, O.; Dincer, I. Development of a sustainable energy system utilizing a new molten-salt based hybrid thermal energy storage and electrochemical energy conversion technique. Sustain. Energy Technol. Assess. 2020, 42, 100866. [Google Scholar] [CrossRef]
  40. Roper, R.; Harkema, M.; Sabharwall, P.; Riddle, C.; Chisholm, B.; Day, B.; Marotta, P. Molten salt for advanced energy applications: A review. Ann. Nucl. Energy 2022, 169, 108924. [Google Scholar] [CrossRef]
  41. Nithiyanantham, U.; Zaki, A.; Grosu, Y.; González-Fernández, L.; Anagnostopoulos, A.; Navarro, M.E.; Ding, Y.; Igartua, J.M.; Faik, A. Effect of silica nanoparticle size on the stability and thermophysical properties of molten salts based nanofluids for thermal energy storage applications at concentrated solar power plants. J. Energy Storage 2022, 51, 104276. [Google Scholar] [CrossRef]
  42. Walczak, M.; Pineda, F.; Fernández, Á.G.; Mata-Torres, C.; Escobar, R. Materials corrosion for thermal energy storage systems in concentrated solar power plants. Renew. Sustain. Energy Rev. 2018, 86, 22–44. [Google Scholar] [CrossRef]
  43. Pineda, F.; Walczak, M.; Vilchez, F.; Guerra, C.; Escobar, R.; Sancy, M. Evolution of corrosion products on ASTM A36 and AISI 304L steels formed in exposure to molten NaNO3–KNO3 eutectic salt: Electrochemical study. Corros. Sci. 2022, 196, 110047. [Google Scholar] [CrossRef]
Figure 1. Thermal Storage Scheme 1.
Figure 1. Thermal Storage Scheme 1.
Energies 19 01246 g001
Figure 2. Thermal Storage Scheme 2.
Figure 2. Thermal Storage Scheme 2.
Energies 19 01246 g002
Figure 3. Thermal Storage Scheme 3.
Figure 3. Thermal Storage Scheme 3.
Energies 19 01246 g003
Figure 4. Thermal Storage Scheme 4.
Figure 4. Thermal Storage Scheme 4.
Energies 19 01246 g004
Figure 5. Thermal Storage Scheme 5.
Figure 5. Thermal Storage Scheme 5.
Energies 19 01246 g005
Figure 6. Thermal Storage Scheme 6.
Figure 6. Thermal Storage Scheme 6.
Energies 19 01246 g006
Figure 7. Thermal Discharge Scheme 1.
Figure 7. Thermal Discharge Scheme 1.
Energies 19 01246 g007
Figure 8. Thermal Discharge Scheme 2.
Figure 8. Thermal Discharge Scheme 2.
Energies 19 01246 g008
Figure 9. Thermal Discharge Scheme 3.
Figure 9. Thermal Discharge Scheme 3.
Energies 19 01246 g009
Figure 10. Thermal Discharge Scheme 4.
Figure 10. Thermal Discharge Scheme 4.
Energies 19 01246 g010
Figure 11. Thermal Discharge Scheme 5.
Figure 11. Thermal Discharge Scheme 5.
Energies 19 01246 g011
Figure 12. Thermal Discharge Scheme 6.
Figure 12. Thermal Discharge Scheme 6.
Energies 19 01246 g012
Figure 13. Thermal Discharge Scheme 7.
Figure 13. Thermal Discharge Scheme 7.
Energies 19 01246 g013
Figure 14. Relationship between steam extraction ratio and peaking capacity. (a, b, c, d correspond to 100%, 75%, 50%, and 40% load conditions respectively).
Figure 14. Relationship between steam extraction ratio and peaking capacity. (a, b, c, d correspond to 100%, 75%, 50%, and 40% load conditions respectively).
Energies 19 01246 g014
Figure 15. Relationship between steam extraction ratio and peaking depth under different thermal storage schemes. (a, b, c, d correspond to 100%, 75%, 50%, and 40% load conditions respectively).
Figure 15. Relationship between steam extraction ratio and peaking depth under different thermal storage schemes. (a, b, c, d correspond to 100%, 75%, 50%, and 40% load conditions respectively).
Energies 19 01246 g015
Figure 16. Relationship between steam extraction ratio and coal consumption rate under different thermal storage schemes. (a, b, c, d correspond to 100%, 75%, 50%, and 40% load conditions respectively).
Figure 16. Relationship between steam extraction ratio and coal consumption rate under different thermal storage schemes. (a, b, c, d correspond to 100%, 75%, 50%, and 40% load conditions respectively).
Energies 19 01246 g016aEnergies 19 01246 g016b
Figure 17. Relationship between steam extraction ratio and heat consumption rate under different thermal storage schemes. (a, b, c, d correspond to 100%, 75%, 50%, and 40% load conditions respectively).
Figure 17. Relationship between steam extraction ratio and heat consumption rate under different thermal storage schemes. (a, b, c, d correspond to 100%, 75%, 50%, and 40% load conditions respectively).
Energies 19 01246 g017
Figure 18. Relationship between steam extraction ratio and steam consumption rate under different thermal storage schemes. (a, b, c, d correspond to 100%, 75%, 50%, and 40% load conditions respectively).
Figure 18. Relationship between steam extraction ratio and steam consumption rate under different thermal storage schemes. (a, b, c, d correspond to 100%, 75%, 50%, and 40% load conditions respectively).
Energies 19 01246 g018aEnergies 19 01246 g018b
Figure 19. Exergy loss rate of the regenerative system.(a, b, c, d correspond to 100%, 75%, 50%, and 40% load conditions respectively).
Figure 19. Exergy loss rate of the regenerative system.(a, b, c, d correspond to 100%, 75%, 50%, and 40% load conditions respectively).
Energies 19 01246 g019
Figure 20. Exergy loss rate of each cylinder of the turbine. (a, b, c, d correspond to 100%, 75%, 50%, and 40% load conditions respectively).
Figure 20. Exergy loss rate of each cylinder of the turbine. (a, b, c, d correspond to 100%, 75%, 50%, and 40% load conditions respectively).
Energies 19 01246 g020
Figure 21. Relationship between pumped water volume and peaking capacity under seven thermal discharge schemes. (a, b, c corresponds to 75%, 50%, and 40% load conditions respectively).
Figure 21. Relationship between pumped water volume and peaking capacity under seven thermal discharge schemes. (a, b, c corresponds to 75%, 50%, and 40% load conditions respectively).
Energies 19 01246 g021
Figure 22. Relationship between pumped water volume and peaking depth under seven thermal discharge schemes. (a, b, c corresponds to 75%, 50%, and 40% load conditions respectively).
Figure 22. Relationship between pumped water volume and peaking depth under seven thermal discharge schemes. (a, b, c corresponds to 75%, 50%, and 40% load conditions respectively).
Energies 19 01246 g022
Figure 23. Relationship between pumped water volume and coal consumption rate under seven thermal discharge schemes. (a, b, c corresponds to 75%, 50%, and 40% load conditions respectively).
Figure 23. Relationship between pumped water volume and coal consumption rate under seven thermal discharge schemes. (a, b, c corresponds to 75%, 50%, and 40% load conditions respectively).
Energies 19 01246 g023
Figure 24. Relationship between pumped water volume and heat consumption rate under seven thermal discharge schemes. (a, b, c corresponds to 75%, 50%, and 40% load conditions respectively).
Figure 24. Relationship between pumped water volume and heat consumption rate under seven thermal discharge schemes. (a, b, c corresponds to 75%, 50%, and 40% load conditions respectively).
Energies 19 01246 g024
Figure 25. Relationship between pumped water volume and steam consumption rate under seven thermal discharge schemes. (a, b, c corresponds to 75%, 50%, and 40% load conditions respectively).
Figure 25. Relationship between pumped water volume and steam consumption rate under seven thermal discharge schemes. (a, b, c corresponds to 75%, 50%, and 40% load conditions respectively).
Energies 19 01246 g025
Figure 26. Exergy loss rate of each heater for different schemes under various load conditions. (a, b, c corresponds to 75%, 50%, and 40% load conditions respectively).
Figure 26. Exergy loss rate of each heater for different schemes under various load conditions. (a, b, c corresponds to 75%, 50%, and 40% load conditions respectively).
Energies 19 01246 g026
Figure 27. Distribution of power loss rates at each heater for different schemes under various load conditions. (a, b, c corresponds to 75%, 50%, and 40% load conditions respectively).
Figure 27. Distribution of power loss rates at each heater for different schemes under various load conditions. (a, b, c corresponds to 75%, 50%, and 40% load conditions respectively).
Energies 19 01246 g027
Table 1. Common physical properties of the three molten salts.
Table 1. Common physical properties of the three molten salts.
Chemical CompositionSolar SaltHetic SaltHetic XL Salt
NaNO3/%6077
KNO3/%405345
NaNO2/%0400
Ca(NO3)2/%0048
Melting point/°C220142120
Upper temperature limit/°C600535500
Intensity/(kg·m−3) (300 °C)189916401992
Stickiness/cp (300 °C)3.263.166.37
Thermal capacity/(J·kg−1·K−1) (300 °C)149515601447
Table 2. Simulation and design data for key parameters under three typical operating conditions. (100% THA, 50% THA and 40% THA).
Table 2. Simulation and design data for key parameters under three typical operating conditions. (100% THA, 50% THA and 40% THA).
Designed ValueSimulated ValueRelative Error
100%50%40%100%50%40%100%50%40%
Main-Steam Pressure (MPa)16.679.267.4116.679.2877.47400.030.86
Main-Steam Mass Flow Rate (t/h)1002.4486396.51002.4490.392391.83100.91.17
Reheated-Steam Pressure (MPa)3.21.6061.3123.2491.6371.3281.51.91.2
Reheated-Steam Mass Flow Rate (t/h)835.783421.835346.806851.287429.757350.2651.81.870.9
Generation Capacity (MW)330165.018132326.157165.0181321.200
Table 3. Critical parameters for thermal power units at 100% THA.
Table 3. Critical parameters for thermal power units at 100% THA.
ParameterUnitValue
RatingMW330
Main-Steam Mass Flow Ratet/h1024
Main-Steam PressureMPa16.67
Main-Steam Temperature°C537
High-Pressure Cylinder Discharge PressureMPa3.556
Reheated-Steam Mass Flow Ratet/h835.783
Reheated-Steam PressureMPa3.2
Reheated-Steam Temperature°C537
Back PressureMPa0.00539
Feedwater Temperature°C272.7
Heat Consumption RateKj/Kwh7976
Gas Consumption RateKg/Kwh3.03
Table 4. Heat exchanger basic parameters.
Table 4. Heat exchanger basic parameters.
ParameterValue
Heat exchanger monotube length/m6
Single-tube outer diameter/mm25
Single-tube wall thickness/mm2.5
Inner diameter of the shell/m0.5
Single-tube thermal conductivity/W·(m·K)−117
Specific heat of a single tube/kJ·(kg·K)−1502
Single-tube density/kg·m−37500
L/D ratio12
Velocity/(m·s−1)2
Disclaimer/Publisher’s Note: The statements, opinions and data contained in all publications are solely those of the individual author(s) and contributor(s) and not of MDPI and/or the editor(s). MDPI and/or the editor(s) disclaim responsibility for any injury to people or property resulting from any ideas, methods, instructions or products referred to in the content.

Share and Cite

MDPI and ACS Style

Yan, Z.; Tan, R.; Meng, F.; Jiang, G.; Ren, F.; He, X.; Zhang, T.; Ren, X. Molten-Salt-Based Thermal Storage for Thermal Power Plant Peaking. Energies 2026, 19, 1246. https://doi.org/10.3390/en19051246

AMA Style

Yan Z, Tan R, Meng F, Jiang G, Ren F, He X, Zhang T, Ren X. Molten-Salt-Based Thermal Storage for Thermal Power Plant Peaking. Energies. 2026; 19(5):1246. https://doi.org/10.3390/en19051246

Chicago/Turabian Style

Yan, Zhiyuan, Rui Tan, Fanxing Meng, Guo’an Jiang, Fengying Ren, Xinrong He, Tao Zhang, and Xiaohan Ren. 2026. "Molten-Salt-Based Thermal Storage for Thermal Power Plant Peaking" Energies 19, no. 5: 1246. https://doi.org/10.3390/en19051246

APA Style

Yan, Z., Tan, R., Meng, F., Jiang, G., Ren, F., He, X., Zhang, T., & Ren, X. (2026). Molten-Salt-Based Thermal Storage for Thermal Power Plant Peaking. Energies, 19(5), 1246. https://doi.org/10.3390/en19051246

Note that from the first issue of 2016, this journal uses article numbers instead of page numbers. See further details here.

Article Metrics

Back to TopTop