Abstract
This paper presents a numerical study on the structural vibrations of a TLP-supported NREL 5MW wind turbine equipped with a tuned vibration absorber (TVA) in the nacelle. The analysis was focused on tower bending deflections and was conducted using a reference OpenFAST V3.5.3 dedicated wind turbine modelling software and a finite element simulation framework based on Comsol Multiphysics V6.3 which was newly developed for this study. The obtained four-degree-of-freedom (4-DOF) tower bending model was transferred using modal decomposition to the MATLAB/Simulink R2020b environment, where a 2-DOF TLP surge/sway model and a bidirectional (2-DOF) TVA model were embedded. The wind field was approximated by a Weibull distribution of velocities (8.86 m/s mean, 4.63 m/s standard deviation). It was combined with the wave actions simulated using a Bretschneider spectrum with a significant height of 2.5 m and a peak period of 8.1 s. The TVA model used was either the standard NREL reference 20-ton passive TVA, a 10-ton passive, or a 10-ton controlled TVA (the latter two tuned to the tower’s first bending mode). The controlled TVA utilised a magnetorheological (MR) damper, either operating independently (forming a semi-active MR-TVA) or simultaneously with a force actuator, forming, in this case, a hybrid H-MR-TVA. Both aligned and 45°/90° misaligned wind–wave excitations were examined to investigate the performance of a 10-ton real-time controlled (H-)MR-TVA operating with less working space. In aligned conditions, the semi-active and hybrid MR-TVA solutions demonstrated superior tower vibration mitigation, reducing maximum tower deflections by 11.2% compared to the reference TVA and by 14.9% with regard to the structure without TVA. The reduction in root-mean-square deflection reached up to 4.2%/2.9%, respectively, for the critical along-the-waves direction, while the TVA stroke reduction reached 18.6%. For misaligned excitations, the tower deflection was reduced by 4.3%/4.8% concerning the reference 20-ton TVA, while the stroke was reduced by 22.2%/34.4% (for 45°/90° misalignment, respectively). It is concluded that the implementation of the 10-ton real-time controlled (H-)MR-TVA is a promising alternative to the reference 20-ton passive TVA regarding tower deflection minimisation and TVA stroke reduction for the critical along-the-waves direction. The current research results may be used to design a full-scale semi-active or hybrid TVA system serving a TLP-supported floating offshore wind turbine structure.
1. Introduction
Floating offshore wind turbines (FOWTs) have emerged as a key technology in the global shift towards renewable energy, enabling the exploitation of wind resources in deep-water areas where fixed-bottom structures are economically or structurally unviable [1,2]. Offshore sites offer notable benefits, including stronger and more consistent wind conditions than those found onshore or in shallow waters, resulting in increased energy output across the turbine’s service life [3,4]. However, deploying turbines in such environments necessitates advanced support systems capable of enduring severe marine conditions, including turbulent winds, large waves, and strong ocean currents [2,5].
Among the floating support structures, tension leg platforms (TLPs) are particularly notable for offering superior stability in deep waters while maintaining a minimal seabed footprint [6]. A TLP consists of a buoyant hull anchored to the seabed via vertically pre-tensioned mooring lines, effectively suppressing vertical (heave) and rotational (pitch and roll) motions. This stability is essential for ensuring the operational reliability of large-scale offshore wind turbines, such as the NREL 5 MW reference turbine [5]. By reducing platform motion, TLPs mitigate fatigue loads on structural components, thereby extending service life and lowering maintenance costs, which represent a significant portion of offshore wind operational expenditure. TLPs are well suited for water depths exceeding 50 m, enabling wind farm deployment in previously inaccessible offshore zones [6,7]. However, TLP-supported FOWTs face significant challenges related to structural vibrations induced by environmental and operational excitations [8,9]. These include wind turbulence, wave-induced motions, and ocean currents, which generate complex external loads [6,10]. In addition, internal dynamics such as rotor imbalance, drivetrain oscillations, and blade-passing effects further contribute to excitations [8]. These interactions give rise to coupled responses between the platform and tower, amplifying vibratory behaviour and fatigue loads on key components [9,10,11]. Without effective vibration mitigation, such responses may reduce power output, compromise structural integrity, and lead to costly repairs [10,12].
To address these issues, researchers have developed various strategies, with tuned vibration absorbers/tuned mass dampers (TVAs/TMDs) recognised as effective solutions [9,13]. TVAs dissipate vibratory energy by introducing a secondary mass–spring–damper mechanism. Passive TVAs, tuned to specific frequencies, are widely used due to their simplicity and cost-efficiency [13]. However, their performance declines in offshore settings where excitation frequencies vary due to stochastic wind and wave loads [9]. Semi-active and hybrid TVAs address this limitation by incorporating, e.g., magnetorheological (MR) dampers and active actuators, enabling the real-time control of damping, stiffness, and friction [9,11,14,15,16,17,18,19,20]. Semi-active MR-TVAs improve upon passive systems by dynamically adjusting to load variations [9], demonstrating reductions in nacelle displacements, accelerations, and tower base loads under irregular waves and gusty winds, thereby improving TLP-supported turbine stability [9,21,22]. Hybrid MR-TVAs (H-MR-TVAs) extend these benefits with active actuators capable of generating forces to counter low-frequency vibrations more effectively than semi-active designs [9,11,22,23].
Research into FOWT vibration mitigation targets both structural fatigue and strength. The offshore adaptation of the NREL 5MW turbine, the focus of this study, originates from work by Jonkman et al. [5,10,24,25,26]. Their analysis of various support types—land-based, monopile, barge, spar buoy, and MIT/NREL TLP—found the TLP to offer the highest stability, particularly in roll, pitch, and heave [26,27]. Stewart and Lackner optimised passive TMDs via simplified models and FAST SC simulations. Sensitivity analysis revealed that 20-ton and 40-ton nacelle-mounted TMDs reduced tower side–side fatigue damage by 16.4% and 21.1%, respectively, on a TLP-supported structure; greater reductions could be expected with controlled absorbers [28]. Park and Lackner evaluated passive and semi-active pendulum-type TMDs at the tower top of monopile and TLP-based GE Haliade 150–6MW turbines. Using on–off ground-hook control, they found load-dependent performance differences. Fully coupled FASTv8 simulations showed that semi-active TMDs outperformed passive ones, securing also smaller stroke demands. While tower base loads increased by 3% in shallow water, they decreased by up to 9% in deep water. Control algorithm simplicity and reliability were key limitations [29,30]. Hu and He examined a barge-type FOWT with a stroke-limited H-TVA in the nacelle, using a three-degree-of-freedom (3-DOF) barge–tower/nacelle–TVA model. An LQR controller was optimised for load and vibration reduction and validated in high-fidelity simulations. However, actuator dynamics were excluded from the LQR model, which, along with stroke-limiting bumpers, altered TVA effectiveness [31]. Martynowicz and Santos applied a similar 3-DOF model to a barge-supported FOWT with an MR-damper-based TVA. Their control strategy reduced pitch motion, improving energy extraction while minimising MR damper force and stroke. Nonlinear actuator effects were included, ensuring optimal or suboptimal performance, though the study was limited to steady-state monoharmonic excitation [19]. Galan-Lavado and Santos investigated TMD placement on a barge-type NREL 5MW turbine using a 3-DOF model (as in [19,31]). Barge-mounted TMDs significantly reduced pitch oscillations (dominant for barges) and marginally reduced tower vibrations. Nacelle-mounted TMDs were more effective for tower vibration reduction. A key benefit of platform-mounted TMDs is their capacity to accommodate larger masses, enhancing damping effectiveness [32]. Vardaroglu et al. performed OpenFAST simulations of a TLP-based NREL 5MW FOWT and compared them with experimental results. Time and frequency domain analysis showed a 17% shorter natural surge period in the physical model, indicating the potential for simulation refinement [33]. They also examined combined wind and wave loading, with separate wind-only and wave-only cases. Surge motion was amplified by wind excitation at the platform’s natural surge frequency; pitch motion was driven by wave loads at the pitch resonant frequency. Rotor aerodynamic damping mitigated pitch motion [34]. Akbari Zadeh et al. studied hydrodynamic loading effects on the aerodynamic efficiency of the NREL 5MW turbine supported by a DeepCWind semisubmersible. Using ANSYS AQWA and OpenFAST, they simulated 6-DOF motions under aligned wind and wave loads at two water depths. The results showed hydrodynamic forces significantly impacted aerodynamic performance: the reduced platform motion enhancing rotor thrust and torque. Surge was strongly influenced by wind-aligned loading, while yaw motion critically affected energy extraction optimisation [35].
The influence of wind–wave misalignment on ultimate dynamic loads in FOWTs has been studied for over a decade. Stewart and Lackner were among the first to validate the effectiveness of a passive TMD for a monopile-supported wind turbine through combined numerical and experimental investigations [36]. Subsequently, they analysed the impact of a 30° wind–wave misalignment on the structural response [28]. More recently, Li et al. assessed the misalignment effect on the dynamic characteristics of the NREL 5MW turbine supported on a submersible platform, concluding that yaw error induced by misalignment reduced generation efficiency and stability [37]. In a contemporary study, Fitzgerald et al. investigated 90° wind–wave misalignment for a spar-type FOWT, demonstrating its significant effect on the along-wave vibratory response magnitude. A TMD combined with an inerter outperformed a conventional passive TMD in mitigating tower vibrations [38]. El Hamoud et al. examined a barge-type FOWT subjected to misaligned wind and wave loads, comparing omnidirectional and dual-axis passive TMDs. The results indicated that the omnidirectional TMD more effectively attenuated vibrations and fatigue under such loading conditions [39].
Experimental validation has been pivotal in modelling FOWT platform hydrodynamics and tower structural dynamics. Roddier et al. and Katsaounis et al. conducted wave tank tests using scaled three-legged TLP-supported NREL 5MW wind turbine models, offering valuable insights into system dynamics under realistic environmental conditions, including a comprehensive series of experiments on a scaled platform [13,40]. The Froude scaling law was employed to maintain dynamic similarity in wave modelling and seakeeping behaviour. Tests encompassed various incident wave periods and amplitudes representative of Aegean Sea states [40]. Madsen et al. tested a 1:60 scale DTU 10MW TLP-supported wind turbine under combined wind and wave excitations. Two feedback controllers were evaluated: a pole-placement controller designed for onshore conditions and one adapted for floating wind turbines. The onshore controller induced larger surge motions and mooring line tensions due to the increased blade pitch angles. Offshore emergency shutdowns initiated just prior to the wave impact amplified the surge displacement due to reduced aerodynamic damping. The study highlighted the importance of physical experiments for validating numerical models and refining control strategies [21].
Theoretical developments in TVA control algorithms, supported by experimental investigations, have facilitated the optimisation of vibration mitigation systems for FOWTs. Most approaches rely on basic on–off control [41], soft-computing techniques [42], or more advanced two-stage strategies [15,43]; however, the latter often fail to deliver the precise control forces required in the second stage due to actuator constraints, such as force and stroke limits or the inability to generate active forces. In practice, stroke limitations in vibration mitigation systems (including TVAs/TMDs) are typically handled via end-stop bumpers [31], which prevent mechanical impact but reduce mitigation efficiency due to TVA detuning at higher displacements. Furthermore, many first-stage algorithms depend on real-time vibration frequency identification, which remains problematic in the presence of transient or multimodal vibrations, resulting in a fallback to passive control.
To address these limitations, Martynowicz developed a novel method incorporating actuator constraints directly into the control formulation, enabling the precise mapping of the control function within the limits of both the actuators and the TVA using nonlinear optimal control methods [17,18]. Based on the Pontryagin Maximum Principle, these methods have also been applied to enhance the performance of semi-active and hybrid TVAs while minimising energy consumption [11,22]. Recent studies by Martynowicz et al. demonstrated that nonlinear optimal-based TVAs could significantly reduce tower deflections, thereby enhancing fatigue resistance and extending component service life. The use of quality indices combining multiple performance metrics enabled the development of more robust vibration control systems [23,44]. These systems also featured reduced operational stroke compared to previous solutions [31,45,46], which required over 8 m of travel from the neutral position in all directions. A comprehensive foundation for nonlinear optimal-based structural vibration control in FOWTs is presented in [23], using a unidirectional TLP-supported NREL 5MW tower–nacelle first bending mode model with (H-)MR-TVA. Tower base displacements were assumed based on upscaled TLP laboratory model data [40]; TLP dynamics and tower–platform interactions were not considered.
FAST/OpenFAST, an open-source code developed by NREL, is a widely adopted high-fidelity multiphysics framework for simulating the coupled dynamic response of FOWTs and is therefore considered the reference numerical environment for this study. Although it supports high-fidelity computations, the implementation of complex control algorithms is constricted, particularly compared with MATLAB/Simulink, a comprehensive platform for control system modelling and synthesis, including vibration control. Finite-element Comsol Multiphysics software is recognised for its extensive multiphysics capabilities and co-simulation support with MATLAB/Simulink. Thus, the MIT/NREL TLP-supported NREL 5MW wind turbine structural model will be built using the Comsol Multiphysics software, while the vibration control system incorporating TVA/(H-)MR-TVA will be implemented using the MATLAB/Simulink environment. The performance of a 10-ton controlled TVA will be evaluated against 10- and 20-ton passive TVAs under both transient and steady-state vibration conditions.
This study hypothesises that a 10-ton real-time controlled (H-)MR-TVA located in the nacelle can reduce both the maximum and root-mean-square (RMS) tower tip deflections of a TLP-supported NREL 5MW wind turbine, using a smaller working stroke than a benchmark 20-ton passive TVA, under both aligned and misaligned wind–wave excitations—thus reducing additional mass and space requirements at the tower top. The primary emphasis is on tower bending deflections (tower tip relative displacements), as they are directly linked to long-term fatigue life—cyclic loading in these modes may lead to material degradation and failure. Excessive deflections also affect the operational stability of the nacelle–rotor system, diminishing energy extraction efficiency. As reviewed, most state-of-the-art studies rely either on sophisticated FOWT modelling combined with basic control, or on simplified 2-DOF/3-DOF models (single tower bending mode, TVA displacement, platform motion as external input/single DOF) [19,23,31,32,46] with basic or more advanced control algorithms. Therefore, the main objective and the original contribution of this study lies in developing an accurate multimodal structural response environment of a TLP-supported NREL 5MW turbine for vibration mitigation analysis, employing advanced real-time (H-)MR-TVA control, and validating it against both experimental and reference simulation data. An initial aero-hydro-elastic analysis was conducted using the OpenFAST environment to assess platform motion and tower responses under aligned and misaligned loads. A more compact elastic model of the structure was developed for further study using the Comsol Multiphysics and modal decomposition technique. This model was subsequently transferred to the MATLAB/Simulink environment, which provided suitable tools for the detailed analysis of the various versions of TVAs examined in this work. The built model was tuned and fed by the FAST/OpenFAST data. The resulting predictions of tower deflection, along with reductions in maximum and RMS tower tip motion and TVA stroke, confirmed the study’s hypothesis regarding the superior performance of the proposed lightweight (H-)MR-TVA and control scheme.
This paper is structured as follows: Section 2.1 presents and describes the TLP-supported NREL 5MW wind turbine model developed using OpenFAST. In Section 2.2, the nacelle-mounted TVA model is introduced. Section 2.3, Section 2.4 and Section 2.5 detail the development of the Comsol Multiphysics model that was reduced to two fundamental tower/nacelle bending modes for each of the horizontal perpendicular directions (along the waves and transversal), and its implementation within the MATLAB/Simulink environment, which also incorporates TLP hydrodynamics and TVA/(H-)MR-TVA models. Section 2.6 formulates the nonlinear optimal control problem and defines the quality index. The Results Section presents the outcomes of the OpenFAST and Comsol/MATLAB/Simulink analyses in both the time and frequency domains, supplemented by synthetic indices. The paper concludes with a discussion of the findings (Section 4), followed by the final Conclusions Section.
2. Materials and Methods
The following subsections present the OpenFAST model used for the analysis of the reference FOWT platform and the Comsol/MATLAB/Simulink model newly developed in this study for the analysis of the tower vibrations. The TVA, MR-TVA, and H-MR-TVA vibration reduction systems, as well as the nonlinear optimal control algorithm, are also described in the next paragraphs.
2.1. OpenFAST Model of the Reference Wind Turbine
The dynamic behaviour of the MIT/NREL TLP-supported NREL 5MW reference wind turbine (see Figure 1 and Table 1) was rigorously analysed using high-fidelity numerical simulations conducted in the OpenFAST V3.5.3 (Golden, CO) software [26,27,28]. This advanced multiphysics simulation tool enables the detailed examination of the complex interactions between aerodynamic, hydrodynamic, structural, and control system dynamics.
Figure 1.
TLP-supported NREL 5MW reference wind turbine model.
Table 1.
NREL 5MW baseline wind turbine parameters (data from [23]).
Wind and wave forces were coupled in the simulations to reflect realistic offshore conditions. The interaction between these forces allowed for a detailed investigation of coupled excitations, particularly under different wind and wave alignment conditions. Wind and wave forces were coupled in the simulations to reflect a realistic offshore environment, particularly under different wind and wave alignment conditions. The wind fields were generated based on a Weibull distribution with a scale parameter of 10 and a shape parameter of 2.0. This distribution resulted in a mean wind speed of 8.86 m/s and a standard deviation of 4.63 m/s at a hub height of 90 m above mean sea level [47,48,49,50,51]. This resulted in the wind turbine operating for most of the time in the vicinity of the rated wind velocity/rated rotor speed region, corresponding to the greatest rotor thrust values and tower’s structural deflections [5].
The thrust asymmetry, resulting from the interaction of the rotor blades with the tower, introduced the continuous excitation of both the tower’s fore–aft and side–side bending modes. This phenomenon was particularly critical at specific rotor azimuthal positions, where the aerodynamic loading peaked. The aerodynamic forces were modelled using the AeroDyn OpenFAST module, which accounted for both rotor dynamics and the interaction between the airflow and the tower structure. The hydrodynamic forces acting on the TLP-supported wind turbine were modelled using the HydroDyn module, representing the fluid–solid interactions between the floating platform and the marine environment, particularly under irregular wave loading [52]. The wave environment was simulated using the Bretschneider ocean wave spectrum, characterised by a significant wave height (Hs) of 2.5 m and a peak period (Tp) of 8.1 s. These wind and wave profiles were designed to replicate typical offshore conditions. The simulations were specifically designed to capture the effects of varying wind directions relative to the wave propagation direction. Three different scenarios, where wind and wave forces were aligned (α = 0°, see Figure 2) or misaligned (α = 45° or α = 90°), were considered. To maintain aerodynamic efficiency and minimise misalignment losses, the nacelle yaw angle was adjusted during each simulation to align with the incoming wind, which was critical in optimising energy capture and reducing structural stresses [37].
Figure 2.
Reference wind turbine model—top view.
The tower’s geometry was defined using 11 segments, including variations in diameter and thickness, representing the tower profile along its height. To account for energy dissipation, modal damping ratios were set to 1% for the first and second fore–aft modes and also for the first and second side–side modes [5,27]. These modes captured the tower’s response to wind and the platform’s motions due to hydrodynamic loadings.
The mooring system was simulated using the MoorDyn module, which models the dynamic behaviour of tendons under environmental loads. Their axial stiffness guarantees the limitation of platform displacements, while spatial configuration ensures counteracting environmental forces. MoorDyn calculates each line’s tension, elongation, and motion, allowing for an accurate assessment of the forces transmitted to the anchors. The assumed parameters of the mooring lines are given in Table 2. The model also includes a 1% damping ratio contribution from the tendons.
Table 2.
MIT/NREL TLP and mooring system parameters [27].
The control system of the wind turbine (ServoDyn) included pitch control, generator torque control, and yaw alignment. In this study, special attention was given to the dynamic blade pitch control system under varying wind conditions, such as gusts or shifts in wind direction, enabling the real-time optimisation of blade angles to maximise energy capture during low wind speeds and to reduce excessive aerodynamic loads during high wind speeds. The real-time adjustments to blade pitch angles influenced the aerodynamic forces acting on the rotor, which in turn affected the structural loads on the tower and platform.
A simulation runtime of 1200 s provided a sufficient window for the system to exhibit its transient and steady-state dynamics. This duration ensured the extraction of meaningful data on time-domain responses, including tower deflections and platform motions. Moreover, a fixed sampling frequency of 80 Hz was selected for the simulations to provide a balance between computational cost and temporal resolution, ensuring also that the fundamental structural vibration modes of the structure would be accurately captured.
The interaction between aerodynamic and hydrodynamic forces produced significant structural vibrations, characterised by the coupled motions of the floating platform and the tower, driven by the stochastic nature of the wind and wave fields. Two fundamental fore–aft (along-the-waves propagation, x-direction) and two fundamental side–side (perpendicular-to-the waves propagation, y-direction) bending modes were found to dominate the tower dynamics, with the platform’s surge and sway motions contributing to the overall system response. The data generated through these simulations provided a robust foundation for the subsequent analysis of vibration mitigation strategies, particularly the evaluation of the TVAs’ effectiveness under realistic offshore conditions.
The obtained simulation outputs provided a comprehensive time-series dataset for analysing the structural and dynamic responses of the turbine. The primary research focus was on the tower deflections, which were greatly influenced by platform displacements. These aspects were critical for assessing the turbine’s structural integrity and operational reliability under coupled wind and wave loading. A stable rotor speed indicated efficient energy production and operational stability. The fore–aft and side–side relative displacements of the tower tip were the system outputs used in Section 2.3. Fore–aft displacement reflects the bending of the tower influenced by x-direction aerodynamic forces and platform motions in surge. Excessive surge and sway motions can lead to misalignments of the rotor with the wind direction, reducing energy capture efficiency and increasing structural loads.
2.2. Tuned Vibration Absorber (TVA) for NREL 5MW Wind Turbine
Implementing the TVA for the NREL 5MW wind turbine is a strategic enhancement to address the complex vibration phenomena characteristic of TLP-supported turbines. The TVA system is designed to counteract dynamic loads through its integrated spring-damper mechanism, reducing the structural fatigue and enhancing the operational stability of the FOWT. The TVA considered here features a dual-axis configuration with two independent degrees of freedom, which allows for simultaneous control over the critical fore–aft (along the waves) and side–side (transversal) modes of vibration (see Figure 2). This dual-axis capability is essential given the anisotropic nature of the forces acting on the turbine when operating in offshore environments. The TVA is integrated within the nacelle structure, positioned at a height of 90 m above the TLP reference point, to maximise its influence on the primary bending modes of the tower. Moreover, the TVA operational range fits well within the nacelle space to accommodate extreme load scenarios. Additionally, the nacelle’s location provides convenient access, facilitating inspections, adjustments, or component replacements, which reduces downtime and maintenance costs. The symmetrical distribution of the TVA’s mass and its centralised placement within the nacelle structure is a critical feature that minimises asymmetrical load effects, which reduces the risk of secondary torsional vibrations. The TVA components are tuned to match the natural frequencies of the structure’s dominant modes. In extreme load scenarios, auxiliary stop-bumper mechanisms are activated, as the system approaches its displacement limits, to provide additional stiffness and damping and protect the system from overloading. This fail-safe mechanism protects the TVA and the nacelle structure from potential damage during extreme events, such as high wind gusts or severe wave impacts, ensuring the robustness of the TVA’s implementation. However, as was recently proven [23], controlled TVA solutions may operate with reduced stroke length without compromising the structure’s vibration attenuation properties by using additional springs/dampers that lead to the TVA mistuning. The specific parameters of the passive 20-ton TVA system developed by NREL are listed in Table 3 [53].
Table 3.
The 20-ton passive TVA parameters.
Apart from the 20-ton passive TVA discussed above, a previously studied 10-ton passive TVA, semi-active MR-TVA, and hybrid H-MR-TVA [11,23] are considered in the current work for comparison. Their performance is analysed using a special Comsol/MATLAB/Simulink model, described below.
2.3. Comsol/MATLAB/Simulink Model
In this subsection lies the core of the original contribution of the study, which is the development of an accurate multimodal TLP-supported NREL 5MW structural response framework with the purpose of conducting tower structural vibration attenuation analyses, employing the sophisticated real-time (H-)MR-TVA control algorithm. To this end, the Comsol Multiphysics V6.3 tool (Stockholm, Sweden) was used for tower/nacelle–TLP–tendons structural modelling (Figure 3) and the MATLAB/Simulink R2020b environment (Natick, MA)– for TLP hydrodynamic modelling and TVA/MR-TVA/H-MR-TVA modelling and control. During the postprocessing phase of Comsol Multiphysics, it became evident that the full-order model co-simulation mechanism with Simulink was not practically realisable for the regarded task due to its complexity and the rapidity of excitations (high derivatives of external inputs or internal states). As a result, Comsol–Simulink co-simulation, apart from being extremely time-consuming, yielded error messages at time instants corresponding to abrupt input changes at numerous points along the time axis. At the same time, the reduced order model technique offered by the Comsol Multiphysics environment turned out to not be operational for systems with any nonlinearity, including the structural model considered here. Thus, the method proposed below was developed as the original contribution of this study to address these issues.
Figure 3.
Tower–nacelle–TLP mode shapes from Comsol Multiphysics: (a) 1st along the waves at 3.2813 rd/s, (b) 1st transversal at 3.2813 rd/s, (c) 2nd along the waves at 18.775 rd/s, (d) 2nd transversal at 18.775 rd/s.
A finite element model of the tower–nacelle–TLP structure and tendons was developed in the Comsol Multiphysics environment using the 3D Beam and Wire elements, respectively. All of the tower’s cross-section parameters [5,27] were averaged along its longitudinal dimension (z in Figure 3). Simultaneously, the nacelle (including the rotor) was assigned as a lumped mass at its centre of gravity at 90 m height. This method resulted in the accurate values of two initial tower bending modes’ frequencies along the x- and y-direction (along the waves and transversal, respectively; see Figure 2): f1x = f1y = 0.5222 Hz (i.e., 3.2813 rd/s) and f2x = f2y = 2.9881 Hz (18.775 rd/s; see Figure 3 depicting tower–nacelle–TLP mode shapes from Comsol Multiphysics). The TLP cross-section and ballast parameters, along with the tendon model with a cumulative cross-section, mass, stiffness, and pretension, were set according to [27]. An isotropic loss factor = 2% was assigned to all structural materials, corresponding to the resultant modal damping ratio ≅ 1% (as ) and an eigenvalue analysis of the structure was conducted. Two initial bending modes for each of the x- and y-directions were exported using a probe table of eight point probes, incorporating x- and y-displacements and velocities at the tower tip T (87.6 m above the tower base/OpenFAST reference point R; see Figure 4), and at the TVA location (90.0 m above the tower base). Using eigenvalue (λ1x, λ1y, λ2x, λ2y) and eigenvector (V1x, V1y, V2x, V2y) decomposition, an 8th order (4-DOF) state matrix was built for the state–space MATLAB/Simulink tower–nacelle structural model, while the input matrix was tuned using OpenFAST time-series data, enabling horizontal x (i.e., along the waves) and y (transversal) directional forces at the tower tip (i.e., nacelle yaw-bearing x and y forces), and forces from the MATLAB/Simulink TLP hydrodynamics 4th order (2-DOF) model. Tower tip fore–aft (x-) and side–side (y-)displacements and velocities were included in the output matrix, while the hydrodynamics model yielded platform surge and sway outputs. The platform rotations and heave motions were neglected due to their smaller contribution to the TLP-supported FOWT vibrations [27,40]. The MATLAB/Simulink model was tuned to the TLP surge frequency f0x = 0.0171 Hz based on OpenFAST output data and the power spectral density (PSD) characteristics (see Figure 5). The full TLP hydrodynamics model, developed using Comsol Multiphysics laminar and turbulent flow schemes, was too computationally demanding to be practically feasible for the current vibration control study.
Figure 4.
The regarded model diagram along the x-direction (y-direction similarity), including the tower–nacelle model with two tower bending modes for each direction (exported from Comsol Multiphysics) and the fundamental platform surge (sway) mode.
Figure 5.
Power spectral density: (a) platform surge, (b) platform sway.
To guarantee the high fidelity and accuracy of the newly developed simulation framework, the Comsol/MATLAB/Simulink model was fed with time-series data from the reference OpenFAST environment: x- and y-direction hydrodynamic forces Fhx and Fhy acting on the TLP at the mean sea level height (point R; see Figure 4 for x-direction model diagram), as well as x- and y-direction shear forces Fsx and Fsy at the tower tip (yaw-bearing), and aerodynamic damping corrections (in both x- and y-directions) were included that were based on the rotor speed ν and the wind velocity vwx and vwy data from OpenFAST. The interactions between the TLP and the wind turbine tower were modelled through tower stiffness and damping coefficients. For misaligned excitations of 45°/90°, tower tip y-displacement bias correction of 0.10 m/0.12 m (respectively) was necessary to match the OpenFAST data. The complete modelling process is presented in the Figure 6 flowchart (including the implementation of TVA/MR-TVA/H-MR-TVA, described in Section 2.5). In this diagram, the surge and sway displacements are designated by x0 and y0 (respectively), the tower tip absolute displacements along the waves and transversally by x1 and y1, and the TVA absolute displacements by x2 and y2 (respectively; see Figure 4 for x-axis diagram). Thus, the tower deflections, corresponding to the OpenFAST variables, were equal to x1 − x0 and y1 − y0. Similarly, the TVA relative displacements were equal to x2 − x1 (along the waves) and y2 − y1 (transversal).
Figure 6.
Flowchart of the Comsol/MATLAB/Simulink modelling process [27,33].
2.4. Comsol/MATLAB/Simulink Model Validation
The validity of the newly developed TLP-NREL 5MW structural response numerical framework is an essential question for the scientific contribution of this study. The model validation consisted of comparing the modal frequencies and characteristic quantity indicators vs. a benchmark simulation and experimental data. The fundamental modal frequencies of the developed model were consistent with both numerical estimates [27], as well as with scaled model laboratory tests [33] (see Table 4a). For the purpose of the Comsol/MATLAB/Simulink model validation vs. the OpenFAST reference numerical framework, selected quality indexes were determined, including the root-mean-squares of tower deflections: and ; the maximum tower deflections: and ; the root-mean-squares of TLP displacements: and ; and the maximum TLP displacements: and . The obtained results (Table 4b) exhibited high consistency with the respective OpenFAST results. The same applies to the time responses shown in the Results Section: Figure 10 vs. Figure 8, and Figure 11 vs. Figure 9.
Table 4.
(a) Comsol/MATLAB/Simulink model modal frequency validation. (b) Comsol/MATLAB/Simulink vs. OpenFAST model validation.
2.5. Implementation of the TVA/MR-TVA/H-MR-TVA
The implementation of passive TVA, as well as the controlled, semi-active TVA adopting the MR damper (MR-TVA) and hybrid MR-TVA (H-MR-TVA), was based on the simulation model presented in the previous subsections. As mentioned before, apart from OpenFAST’s passive 20-ton TVA, a 10-ton passive TVA and a recently developed 10-ton MR-TVA/H-MR-TVA [11,23] located in the nacelle were considered in the current analyses. The selection of a 10-ton absorber mass was consistent with the conditions described in [23,28]. More specifically, the TVA was tuned to the fundamental frequency (1st fore–aft and side–side bending frequency) of the tower–nacelle model (i.e., 0.5222 Hz). Regarding tower deflection mitigation this tuning method was previously [19,23] and during current research confirmed superior to the TVA versions tuned to other frequencies, including the TLP surge/sway frequency, weighted average of TLP surge/sway and tower-nacelle fundamental frequency, as well as weighted average of the tower-nacelle 1st and 2nd bending modes’ frequencies.
The absorber stiffness k2 and damping c2 (for passive TVA) were tuned using the Den Hartog principle [54]. For both MR-TVA and H-MR-TVA, the MR damper was used instead of a viscous damper, operating independently (MR-TVA system) or simultaneously with the force actuator (H-MR-TVA system).
The MR damper operated simultaneously with the force actuator in the TVA system, forming the hybrid H-MR-TVA (see Figure 4), or independently, forming the semi-active MR-TVA. The nominal MR damper force was considered Fmrnom = 100 kN, while the nominal force of the active actuator was assumed to be Fanom1 = 7.1 kN (H-MR-TVAv1 version) or Fanom2 = 14.2 kN (H-MR-TVAv2 version). The resultant TVA parameters are presented in Table 5.
Table 5.
The 10-ton passive TVA/(H-)MR-TVA parameters.
The dynamics of the MR damper and the force actuator (assumed to be of an electromagnetic type), including their operating characteristic nonlinearities, inertia (time constants), and time delays, were assumed in the Comsol/MATLAB/Simulink simulation model, the former also being embedded in the formulation and solution of the Hamilton-principle-based nonlinear control problem, presented in the next subsection. This original recent development was proven to yield the most favourable results across all of the regarded passive, semi-active, and hybrid TVAs, additionally assuring the lowest attained TVA stroke length [23].
2.6. Nonlinear Optimal Control Problem Formulation
The equation of motion along the x-direction of the tower tip and the hybrid H-MR-TVA system (see Figure 4) is written in the general form as:
with an initial condition of , where
is a state vector and
() is a piecewise continuous control vector.
Following Section 2.3, assuming: , , , , we obtain:
where
is the MR damper force represented by the hyperbolic tangent model [11]; is the control current of the MR damper; is the active actuator force; and is the external shear force at the tower tip (all the H-MR-TVA forces are reduced to the tower tip, T in Figure 4). The MR damper current limitation to the range (), as well as the actuator output force restriction to the range, are both embedded in the control problem formulation:
The quality index to be minimised is:
where
to account for the minimisation of the x-direction quantities, namely: tower tip displacement , velocity and acceleration , TVA stroke and relative velocity , MR damper current and force , and actuator force . In addition to the static nonlinearities of the actuators’ forces (4) and (5), their linear dynamics were also included in the numerical model—the actual output forces were fed into Equations (2) and (7) [11].
If is an optimal controlled process, there exists an adjoint vector function fulfilling the equation:
with a terminal condition of , so that maximises the Hamiltonian:
over a set for almost all ( and are and derivatives with respect to , respectively) [55]. The details of the adjoint Equation (8) and Hamiltonian (9) maximisation; the obtained control functions and ; and the optimal-based solution, which substantially reduced the effort of solving problems (1) and (8), yet required a relatively high sampling rate (8 kHz in the current application), were the subject of recent works [11,22,23]. For the semi-active MR-TVA system implementation, was assumed. The obtained control functions were implemented in the Comsol/MATLAB/Simulink simulation model described in the previous subsections.
3. Results
The results of the analyses with the reference OpenFAST environment, as well as of the simulations using the newly developed Comsol/MATLAB/Simulink model with TVA/MR-TVA/H-MR-TVA, are presented in the following subsections. The current study includes a comparative analysis of various TVA solutions, with no real-time blade pitch or generator torque control mechanisms considered. The presented results include the time and frequency responses of along-the-waves and transversal tower relative displacements, as well as the synthetic indexes of their maximum and RMS values, all of them being specifically designed to validate the research hypothesis concerning minimising tower deflections and the required TVA mass and working space at the top of the floating structure.
3.1. OpenFAST Model Analyses
The simulations with the OpenFAST model capture the dynamic responses of the TLP-supported NREL 5MW wind turbine under varying wind angles relative to the wave direction. The analysis focuses on key structural variables that influence the turbine’s stability, operational efficiency, and fatigue life. Figure 7 illustrates the variations in wind velocity and rotor thrust over time for different wind–wave angles: 0°, 45°, and 90° (Figure 7a, Figure 7b, and Figure 7c, respectively), highlighting the impact of wind direction on aerodynamic loading. Figure 7 shows that rotor thrust has smaller fluctuations for larger wind–wave angles, especially α = 90°, for which platform movement parallel to the wind has a much smaller amplitude.

Figure 7.
Wind velocity and rotor thrust as a function of time for different wind–wave angles: (a) 0°, (b) 45°, (c) 90°.
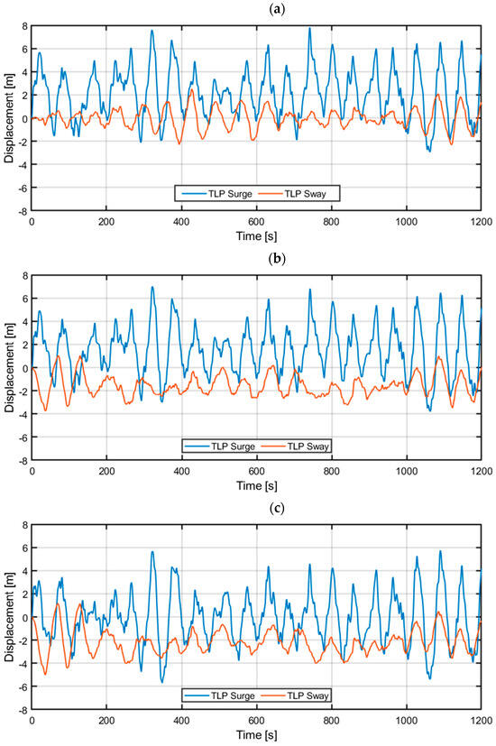
Figure 8a–c delve into the surge and sway displacements of the floating platform, which are critical for FOWT stability under different wind–wave angles (0°, 45°, and 90°, respectively). Considering the platform movements, a translational shift in surge may be observed for lower wind angles (especially α = 0°), as well as for the greatest value of peak–peak surge. On the contrary, a shift in sway may be observed for the higher angles (especially α = 90°) associated with the greatest peak–peak sway value. Apart from this, surge and sway time histories exhibit some level of similarity for different wind–wave angles. The translational responses of the platform are dominated by the fundamental surge and sway natural frequencies, which, for the examined FOWT, are shown as peaks in the PSD characteristics of Figure 5a,b at 0.0171 Hz (surge) and 0.0146 Hz (sway), corresponding to periods of 58.5 and 68.5 s, respectively. These natural frequencies are strongly influenced by the mooring length (i.e., water depth), mooring tension, and platform inertial characteristics. At higher frequencies, the surge response (RAO) drops down to frequencies typically around 0.16 Hz, but there is also a peak (see Figure 5a), which corresponds to the coupling with the pitch motion of the platform. Indicative RAOs of surge motion have been experimentally verified in [40].
Figure 8.
TLP surge and TLP sway as a function of time for different wind–wave angles: (a) 0°, (b) 45°, (c) 90°.
Figure 9a–c explore the fore–aft (along the waves) and side–side (transversal) relative displacements of the tower tip (tower deflections) for different wind–wave angles (0°, 45°, and 90°, respectively), emphasising the coupled effects of wind and wave excitations on tower dynamics. When analysing these trajectories, it is clear that the along-the-waves (x-direction) tower deflections are critical (compared with transversal deflections) and become greater for larger wind–wave angles (especially for the α = 90° wind direction), while the transversal tower deflections become smaller. This is due to the relatively large aerodynamic damping of the NREL 5MW wind turbine, which may reach 7% in the along-the-wind (rotor axle) direction and is more than ten times smaller for perpendicular vibrations [56].
Figure 9.
Tower tip displacement (along the waves/transversal) as a function of time for different wind–wave angles: (a) 0°, (b) 45°, (c) 90°.
The results presented in Figure 7, Figure 8 and Figure 9 provide a comprehensive overview of the NREL 5MW wind turbine tower and the TLP responses, and form the basis for identifying critical areas of the FOWT structure and assessing the necessity of implementing a real-time controlled, TVA-based structural vibration reduction system.
3.2. Comsol/MATLAB/Simulink Model Analyses
Figure 10, Figure 11, Figure 12, Figure 13 and Figure 14 present the results obtained using the Comsol/MATLAB/Simulink model: Figure 10a–c show the TLP surge and TLP sway time profiles for 0°, 45°, and 90° wind–wave angles, respectively. These results, obtained for the system without the TVA, are closely correlated with the respective OpenFAST data in Figure 8a–c (see also Table 4b), confirming the suitability of the newly developed Comsol/MATLAB/Simulink model.
Figure 10.
TLP surge and TLP sway as a function of time for different wind–wave angles without the TVA: (a) 0°, (b) 45°, (c) 90°.
Figure 11.
Tower tip displacement (along the waves/transversal) as a function of time for different wind–wave angles without the TVA: (a) 0°, (b) 45°, (c) 90°.
Figure 12.
Tower tip displacement (along the waves/transversal) as a function of time for different wind–wave angles with the 20-ton passive TVA: (a) 0°, (b) 45°, (c) 90°.
Figure 13.
Tower tip displacement (along the waves/transversal) as a function of time for different wind–wave angles with the 10-ton semi-active MR-TVA: (a) 0°, (b) 45°, (c) 90°.
Figure 14.
Tower tip displacement (along the waves/transversal) as a function of time for different wind–wave angles with the 10-ton hybrid H-MR-TVAv2: (a) 0°, (b) 45°, (c) 90°.
Figure 11 presents the along-the-waves and transversal tower tip relative displacements vs. the time obtained for the regarded system without the TVA. Figure 11a–c correspond to the 0°, 45°, and 90° wind–wave angles. These patterns demonstrate, again, a close correlation with the respective OpenFAST profiles given in Figure 9a–c, proving the validity of the structural response numerical framework in question, which is the original contribution of this study.
Figure 12 presents the tower tip relative displacements obtained for the system equipped with 20-ton passive TVA under aligned (Figure 12a) and misaligned excitations (Figure 12b for 45° wind–wave angle, and Figure 12c for 90° angle). These results indicate the minor benefits of the implementation of the 20-ton passive TVA alone (without its combination with the real-time blade pitch and generator torque control, as in [57]) with regard to the system without the TVA (see Figure 11).
Figure 13a–c show tower deflections vs. time for the system equipped with the 10-ton semi-active MR-TVA for the 0°, 45°, and 90° wind–wave angles, respectively. The critical along-the-waves maximum deflections are noticeably reduced with regard to the respective deflections obtained for the system without the TVA (Figure 11) and with the 20-ton passive TVA (Figure 12).
Figure 14a–c present the tower tip relative displacements for the system with the 10-ton hybrid H-MR-TVAv2 under aligned (Figure 14a) and misaligned excitations (Figure 14b for 45° and Figure 14c for 90° wind–wave angles). The maximum tower deflections are very close to the respective values obtained for the system embedded with the 10-ton semi-active MR-TVA (Figure 13); however, a zoomed-in view indicates some advantages of the H-MR-TVAv2 system. Therefore, both of the controlled 10-ton TVAs (MR-TVA and H-MR-TVA) turn out to be favourable solutions over the 20-ton passive TVA, confirming the research hypothesis.
To further testify to the adequacy of this study’s hypothesis, the synthetic result indicators are determined and gathered in Table 6, Table 7 and Table 8 for 0°, 45°, and 90° wind–wave angles, respectively. These indicators include the root-mean-squares of tower deflections: and ; maximum tower deflections: and ; and maximum TVA strokes: and . The greatest percentage reduction for each indicator is marked with regular boldface in the x-direction and italic boldface in the y-direction.
Table 6.
Synthetic result indicators for 0° wind–wave angle.
Table 7.
Synthetic result indicators for 45° wind–wave angle.
Table 8.
Synthetic result indicators for 90° wind–wave angle.
The above results demonstrate the advantages of the controlled 10-ton (H-)MR-TVA solutions vs. the 20-ton passive TVA, with H-MR-TVAv2 proving to be the most favourable one in the critical along-the-waves direction. For aligned wind–wave excitations (Table 6), the maximum tower x-deflection reduction for H-MR-TVAv2 reaches 11.2% vs. the 20-ton passive TVA, and 14.9% vs. the structure without the TVA. The reduction in RMS tower x-deflection reaches up to 4.2%/2.9%, respectively. TVA stroke reduction reaches up to 18.6% regarding the 20-ton passive TVA. For misaligned excitations (Table 7 and Table 8), considering the critical x-direction, all of the controlled 10-ton TVA solutions provide more limited tower maximum deflections , as well as maximum TVA strokes , while the 20-ton passive TVA is slightly better at lowering the RMS tower deflections than the 10-ton H-MR-TVAv2 (0.1% better for 45°, and 2.3% better for 90° misalignment). The maximum tower deflections using the 10-ton controlled TVA are reduced by up to 4.3%/4.8% with regard to the 20-ton passive TVA for 45°/90° misalignment (respectively). This is accompanied by an up to 22.2%/34.4% stroke reduction regarding the 20-ton passive TVA (45°/90° misalignment, respectively). The implementation of a 10-ton passive TVA does not yield the expected benefits—the uncontrolled solution combined with a low mass ratio is ineffective for the regarded application in the crucial x-direction.
To verify the research hypothesis in the frequency domain, the power spectral densities of the obtained tower tip relative displacements x1–x0 are determined. Figure 15a–c, corresponding to 0°, 45°, and 90° wind–wave angles, show the frequency spectra of tower deflections along the waves, which is the critical tower bending direction. It is evident that the amplitude of tower deflections is greater for misaligned scenarios, especially for a 90° wind–wave angle, for which the tower aerodynamic damping is marginally small (all three Figure 15 graphs have the same ordinate ranges). The characteristics presented in Figure 15 exhibit the influence of the passive 20-ton TVA and controlled 10-ton MR-TVA/H-MR-TVA solutions. MR-TVA and H-MR-TVA are the most effective around their tuning frequency of 0.522 Hz. Considering that the NREL OpenFAST design of the passive TVA is tuned to a frequency of 0.188 Hz, no evident advantage range of this 20-ton TVA is observed in Figure 15. Conversely, it worsens the frequency response at the first tower bending frequency neighbourhood where both MR-TVA and H-MR-TVA excel, thus proving the research hypothesis.
Figure 15.
PSD of tower tip displacement along the waves x1–x0 for different TVA configurations and wind–wave angles: (a) 0°, (b) 45°, (c) 90°.
4. Discussion
The time histories shown in Figure 10, Figure 11, Figure 12, Figure 13 and Figure 14 prove the effectiveness and robustness of 10-ton controlled TVAs (MR-TVA and H-MR-TVA) in tower deflection attenuation. For aligned wind and wave excitations (Table 6), H-MR-TVAv2 is the most favourable solution regarding the critical x-direction vibration, although both H-MR-TVAv1 and MR-TVA provide more beneficial properties than the 20-ton passive TVA (with parameters based on the OpenFAST design) in terms of all factors: maximum and RMS tower deflection, and TVA maximum stroke. For misaligned wind–wave excitations (Table 7 and Table 8), considering the critical x-direction vibration, all the controlled 10-ton TVA solutions provide more limited tower maximum deflections and greatly reduced TVA strokes. The 20-ton passive TVA is slightly more effective in lowering the RMS tower deflection for the 90° misalignment; however, this benefit is approximately half the magnitude of the corresponding increase in maximum tower deflection vs. H-MR-TVA. Controlled (H-)MR-TVA is the most efficient around its tuning frequency, while no evident advantage range of the OpenFAST 20-ton passive TVA is apparent when observing the frequency responses (Figure 15) obtained for the system without the blade pitch and generator torque real-time alterations implemented (as in [57]).
The greatest absolute and RMS tower deflections appear along the waves (in the x-direction), especially for the transversal wind case when aerodynamic damping in the x-direction is negligible. The transversal (in the y-direction) maximum/RMS tower deflections are ca. 1.5 times lower for 45° misalignment and less than 2 times lower for the 0° and critical 90° wind–wave angle cases. Thus, the tower deflection mitigation requirement along the wave propagation x-direction is crucial and should be addressed with the greatest attention. It is important to highlight that for the 10-ton H-MR-TVAv2 solution, the maximum x-deflection of the tower does not exceed ca. 1.66 m (vs. 1.75 m), while the maximum x-stroke remains below 2.43 m (vs. 3.70 m) across all considered wind and wave conditions (values in brackets concern 20-ton passive TVA), validating the hypothesis of the study. On the other hand, the real-time controlled TVA actuators for the transversal y-direction may be switched off (locked) or toggled to the passive mode using the appropriate control logic.
5. Conclusions
This study concerned the tower vibration control of a TLP-supported NREL 5MW wind turbine structure. The current, still limited solutions that are used to address the problem of large FOWT tower deflections are usually weighty 20-ton or 40-ton passive or controlled TVAs/TMDs located in the nacelle, exhibiting high stroke lengths, and being limited to ca. 8 m by the additional bumpers (to fit the TVA/TMD within the nacelle) which compromise vibration attenuation efficiency. Standard advancements in the field primarily rely on developed FOWT modelling frameworks (such as FAST/OpenFAST) alone or combined with basic control strategies, or highly simplified models integrated with basic or more advanced control algorithms. In turn, the advanced control methods typically fail to generate the required forces due to actuators’ force constraints (corrupting the quality of their inherent force tracking) and stroke limits. The latter are typically managed using end-stop bumpers, which reduce vibration attenuation efficiency due to TVA mistuning at larger strokes. Additionally, most of the advanced algorithms, requiring real-time frequency identification or a disturbance assumption, struggle with transient and multimodal vibrations, causing these systems to switch frequently into the passive mode. The current study addressed these limitations, with its original contribution lying in developing a precise multimodal simulation framework for the structural response of the TLP-supported NREL 5MW wind turbine aimed at tower vibration attenuation through the implementation of sophisticated semi-active (MR-TVA) and hybrid (H-MR-TVA) real-time control solutions. The obtained model was validated against previous experimental and numerical results, as well as reference OpenFAST simulations. With all nonlinear constraints embedded in the problem formulation, the proposed method enabled the implementation of real-time optimal-based control functions without offline computations, actuator force tracking, disturbance, or dominant frequency estimation. Therefore, this approach effectively managed complex polyperiodic and transient vibration states induced by variable wind and wave excitations.
The research hypothesis that a 10-ton real-time controlled semi-active/hybrid TVA in the nacelle, operating with lesser working space, could reduce the maximum and RMS deflections of the TLP-supported NREL 5MW wind turbine tower compared to a benchmark passive 20-ton TVA (that is a standard NREL development), was examined under both aligned and misaligned wind–wave excitations. The analyses were conducted using the reference OpenFAST software and the newly developed simulation framework (indicated above) based on the Comsol Multiphysics tower bending model that was transferred, using eigenproblem decomposition, to the MATLAB/Simulink environment, where a TLP surge/sway model and dual-axis controlled TVA model were embedded. Considering the critical x-direction (along the waves) tower deflections, the study’s hypothesis was proven true. Apart from tower deflection minimisation, the additional required mass and space at the top of the floating structure were decreased.
The MR-TVA/H-MR-TVA solutions demonstrated superior tower vibration mitigation under aligned wind–wave conditions: maximum tower deflection was reduced by 11.2% compared to a 20-ton passive TVA and 14.9% relative to a structure without a TVA. The RMS tower deflection decreased by up to 4.2% and 2.9%, respectively, in the along-the-waves critical direction. TVA stroke was reduced by 18.6% compared to the 20-ton passive TVA. For misaligned excitations, the real-time controlled 10-ton TVA solutions were particularly effective in minimising extreme tower deflections and TVA stroke. Maximum tower deflection reductions reached 4.3% and 4.8% compared to the 20-ton passive TVA for 45° and 90° misalignments, respectively. This was accompanied by TVA stroke reductions of up to 22.2% and 34.4% for the 45° and 90° misalignments (respectively). On the contrary, 20-ton passive TVA was slightly more efficient (by 2.3%) in lowering the RMS tower deflections for the 90° misalignment. Moreover, OpenFAST studies, including additional real-time blade pitch and generator torque control, suggested that its lower tuning frequency resulted in slightly greater effectiveness at reducing TLP motions [57], which, however, was not the subject of the current study. It is also worth emphasising that the maximum stroke of H-MR-TVAv2 did not exceed 2.43 m across all the regarded wind and wave excitations, which opens the field for more flexible 10-ton controlled TVA location options, including tower sections that are favourable locations for vibration mitigation solutions. The 10-ton passive TVA was ineffective for the demanding offshore conditions.
The drawback of the proposed real-time controlled vibration attenuation solutions was that they introduced challenges related to increased complexity and maintenance (as well as energy consumption for hybrid TVAs), which were non-negligible for offshore wind applications. The control system required a relatively high sampling rate of 1 kHz or greater. Other research limitations included a simplified platform hydrodynamics model, accounting only for fundamental surge and sway motions (based on the previous research), and the neglect of third and higher tower bending modes, torsional and longitudinal modes, and rotations of the nacelle other than yaw. Rotor and generator/drivetrain dynamics influencing the tower were simplified as yaw-bearing shear forces transferred from OpenFAST, without considering blade pitch and generator torque control influence (in a practical case, real-time control of blade pitch and generator torque add up effectively to the overall tower vibration mitigation). The study included only a single bidirectional, controlled TVA in the nacelle of the TLP-supported wind turbine structure. However, the proposed modelling and control approach is open for different TVA locations as well as multiple TVAs in each of the x- and y-directions—this requires only additional point and point probe definitions along the 3D Beam (modelling the tower and TLP) in Comsol Multiphysics. Other platform concepts, such as barge- or spar-type, would require finite-element model input/output reconstruction, putting more emphasis on platform rotations. This study was limited to the examination of 1200-second-long structural responses at three wind–wave angles and at constant wind and wave distribution parameters. Therefore, the forthcoming study will address more wind and sea state scenarios, including the (H-)MR-TVA performance investigation under different wind speeds, wave periods, and significant heights. Future research will also extend this work by integrating multiple controlled TVAs at optimised vertical locations and different platform designs with the Comsol/MATLAB/Simulink simulation framework.
The findings of this study can inform the design of a full-scale, dual-axis or omnidirectional, controlled TVA-based vibration reduction system for a real-world 5 MW or higher power wind turbine supported by a TLP, using the dynamic similarity scale factors of forces, displacements, and time, as devised in work [58]. The proposed approach can be directly applied to structural vibrations resulting from aligned or misaligned wind–wave stochastic and deterministic disturbances.
Author Contributions
Conceptualization, P.M.; Methodology, P.M.; Software, P.M. and P.Ś.; Validation, P.M. and G.M.K.; Formal analysis, P.M.; Investigation, P.M., P.Ś. and G.M.K.; Resources, P.M.; Data curation, P.M.; Writing—original draft, P.M. and P.Ś.; Writing—review & editing, P.M. and G.M.K.; Visualization, P.M. and P.Ś.; Supervision, P.M.; Project administration, P.M.; Funding acquisition, P.M. All authors have read and agreed to the published version of the manuscript.
Funding
This research project was supported by the programme “Excellence initiative–research university” for AGH University.
Data Availability Statement
The original contributions presented in this study are included in the article. Further inquiries can be directed to the corresponding author(s).
Acknowledgments
Chat GPT4 (free version) and Chat GPT4o (paid version) were used in this paper as an assisting tool only for the creation of the English text and for spelling assistance. All the information was checked according to the references included in the paper.
Conflicts of Interest
The authors declare no conflict of interest.
References
- Global Wind Energy Council (GWEC). Global Offshore Wind Report 2022; GWEC: Brussels, Belgium, 2022. [Google Scholar]
- Henderson, A.R.; Witcher, D. Floating offshore wind energy—A review of the current status and an assessment of the prospects. Wind Eng. 2010, 34, 1–16. [Google Scholar] [CrossRef]
- Manwell, J.F.; McGowan, J.G.; Rogers, A.L. Wind Energy Explained: Theory, Design and Application; John Wiley & Sons: Hoboken, NJ, USA, 2002. [Google Scholar]
- Konispoliatis, D.; Mavrakos, S.A. Hydrodynamic Analysis of an Array of Interacting Free-Floating Oscillating Water Column Devices. Ocean Eng. 2016, 111, 179–197. [Google Scholar] [CrossRef]
- Jonkman, J.; Butterfield, S.; Musial, W.; Scott, G. Definition of a 5-MW Reference Wind Turbine for Offshore System Development; NREL/TP-500-38060; National Renewable Energy Laboratory: Golden, CO, USA, 2009.
- Sclavounos, P.D.; Tracy, C.; Kim, M.H. Floating offshore wind turbines: Responses in a seastate, pareto optimal designs, and economic assessment. In Proceedings of the ASME 2008 27th International Conference on Offshore Mechanics and Arctic Engineering. Volume 6: Nick Newman Symposium on Marine Hydrodynamics; Yoshida and Maeda Special Symposium on Ocean Space Utilization; Special Symposium on Offshore Renewable Energy, Estoril, Portugal, 15–20 June 2008. [Google Scholar]
- Wang, L.; Liang, Z.; Cai, M.; Zhang, Y.; Yan, J. Adaptive Structural Control of Floating Wind Turbine with Application of MR Damper. Energy Procedia 2019, 158, 254–259. [Google Scholar] [CrossRef]
- Wayman, E.N. Coupled Dynamics and Economic Analysis of Floating Wind Turbine Systems; Massachusetts Institute of Technology: Cambridge, MA, USA, 2006. [Google Scholar]
- Butterfield, S.; Musial, W.; Jonkman, J.; Sclavounos, P.; Wayman, E. Engineering challenges for floating offshore wind turbines. In Proceedings of the 2005 Copenhagen Offshore Wind Conference, Copenhagen, Denmark, 26–28 October 2005. [Google Scholar]
- Robertson, A.; Jonkman, J.; Masciola, M.; Song, H.; Goupee, A.; Coulling, A.; Luan, C. Definition of the Semisubmersible Floating System for Phase II of OC4; NREL/TP-5000-60601; National Renewable Energy Laboratory: Golden, CO, USA, 2014.
- Martynowicz, P. Experimental study on the optimal-based vibration control of a wind turbine tower using a small-scale electric drive with MR damper support. Energies 2022, 15, 9530. [Google Scholar] [CrossRef]
- Bryson, A.E.; Ho, Y.C. Applied Optimal Control; Taylor & Francis: Abingdon, UK, 1975. [Google Scholar]
- Roddier, D.; Cermelli, C.; Aubault, A.; Weinstein, A. WindFloat: A floating foundation for offshore wind turbines. J. Renew. Sustain. Energy 2010, 2, 033104. [Google Scholar] [CrossRef]
- Demetriou, D.; Nikitas, N. A Novel Hybrid Semi-Active Mass Damper Configuration for Structural Applications. Appl. Sci. 2016, 6, 397. [Google Scholar] [CrossRef]
- Martynowicz, P. Control of an MR Tuned Vibration Absorber for Wind Turbine Application Utilising the Refined Force Tracking Algorithm. J. Low Freq. Noise Vib. Act. Control 2017, 36, 339–353. [Google Scholar] [CrossRef]
- Goldasz, J.; Sapiński, B.; Jastrzebski, Ł. Assessment of the Magnetic Hysteretic Behaviour of MR Dampers through Sensorless Measurements. Shock. Vib. 2018. [Google Scholar] [CrossRef]
- Martynowicz, P. Nonlinear optimal-based vibration control for systems with MR tuned vibration absorbers. J. Low Freq. Noise Vib. Act. Control 2019, 38, 1607–1628. [Google Scholar] [CrossRef]
- Martynowicz, P. Real-time implementation of nonlinear optimal-based vibration control for a wind turbine model. J. Low Freq. Noise Vib. Act. Control 2019, 38, 1635–1650. [Google Scholar] [CrossRef]
- Martynowicz, P.; Santos, M. Structural vibration control of NREL 5.0 MW FOWT using optimal-based MR tuned vibration absorber. In Proceedings of the 21st IFAC World Congress, Berlin, Germany, 11–17 July 2020. [Google Scholar]
- Goldasz, J.; Sapiński, B.; Jastrzebski, Ł.; Kubík, M. Dual Hysteresis Model of MR Dampers. Front. Mater. 2020, 7, 236. [Google Scholar] [CrossRef]
- Madsen, F.J.; Nielsen, T.R.L.; Kim, T.; Bredmose, H.; Pegalajar-Jurado, A.; Mikkelsen, R.F.; Lomholt, A.K.; Borg, M.; Mirzaei, M.; Shin, P. Experimental analysis of the scaled DTU10MW TLP floating wind turbine with different control strategies. Renew. Energy 2020, 155, 330–346. [Google Scholar] [CrossRef]
- Martynowicz, P. Nonlinear Optimal-Based Vibration Control of a Wind Turbine Tower Using Hybrid vs. Magnetorheological Tuned Vibration Absorber. Energies 2021, 14, 5145. [Google Scholar] [CrossRef]
- Martynowicz, P.; Katsaounis, G.M.; Mavrakos, S.A. Comparison of Floating Offshore Wind Turbine Tower Deflection Mitigation Methods Using Nonlinear Optimal-Based Reduced-Stroke Tuned Vibration Absorber. Energies 2024, 17, 1507. [Google Scholar] [CrossRef]
- Jonkman, J. Dynamics Modeling and Loads Analysis of an Offshore Floating Wind Turbine. Ph.D. Thesis, University of Colorado, Boulder, CO, USA, 2007. [Google Scholar]
- Bir, G.; Jonkman, J. Modal Dynamics of Large Wind Turbines with Different Support Structures. In Proceeding of the ASME 2008 27th International Conference on Offshore Mechanics and Arctic Engineering, Estoril, Portugal, 15–20 June 2008. [Google Scholar]
- Jonkman, J.; Matha, D. A Quantitative Comparison of the Responses of Three Floating Platform Concepts. In Proceedings of the European Offshore Wind 2009 Conference and Exhibition, Stockholm, Sweden, 14–16 September 2009. [Google Scholar]
- Matha, D. Model Development and Loads Analysis of an Offshore Wind Turbine on a Tension Leg Platform, with a Comparison to Other Floating Turbine Concepts; NREL/SR-500-45891; National Renewable Energy Lab: Golden, CO, USA, 2009.
- Stewart, G.; Lackner, M. Offshore Wind Turbine Load Reduction Employing Optimal Passive Tuned Mass Damping Systems. IEEE Trans. Control Syst. Technol. 2013, 21, 4. [Google Scholar] [CrossRef]
- Park, S.; Lackner, M.A.; Cross-Whiter, J.; Tsouroukdissian, A.R.; La Cava, W. An investigation of passive and semi-active tuned mass dampers for a tension leg platform floating offshore wind turbine in ULS conditions. In Proceedings of the ASME 2016 35th International Conference on Ocean, Offshore and Arctic Engineering, Busan, Republic of Korea, 19–24 June 2016. [Google Scholar]
- Park, S.; Lackner, M.A.; Pourazarm, P.; Tsouroukdissian, A.R.; Cross-Whiter, J. An investigation on the impacts of passive and semiactive structural control on a fixed bottom and a floating offshore wind turbine. Wind Energy 2019, 22, 1451–1471. [Google Scholar] [CrossRef]
- Hu, Y.; He, E. Active structural control of a floating wind turbine with a stroke-limited hybrid mass damper. J. Sound Vib. 2017, 410, 447–472. [Google Scholar] [CrossRef]
- Galán-Lavado, A.; Santos, M. Analysis of the effects of the location of passive control devices on the platform of a floating wind turbine. Energies 2021, 14, 2850. [Google Scholar] [CrossRef]
- Vardaroglu, M.; Gao, Z.; Avossa, A.M.; Ricciardelli, F. Validation of a TLP wind turbine numerical model against model-scale tests under regular and irregular waves. Ocean Eng. 2022, 256, 111491. [Google Scholar] [CrossRef]
- Vardaroglu, M.; Gao, Z.; Avossa, A.M.; Ricciardelli, F. Numerical Investigation of a TLP Wind Turbine Under Wind and Wave Loads. In Proceedings of the XVII Conference of the Italian Association for Wind Engineering; Springer: Cham, Switzerland, 2022; pp. 227–238. [Google Scholar] [CrossRef]
- Akbari Zadeh, N.; Ryan, P.; O’Rourke, F. Numerical evaluation of floating offshore wind turbines considering a range of sea-state conditions. In Proceedings of the ECOS2024, Rhodes, Greece, 30 June–4 July 2024. [Google Scholar]
- Stewart, G.M.; Lackner, M.A. The Impact of Passive Tuned Mass Dampers and Wind–Wave Misalignment on Offshore Wind Turbine Loads. Eng. Struct. 2014, 73, 54–61. [Google Scholar] [CrossRef]
- Li, X.; Caichao, Z.; Fan, Z.; Chen, X.; Jianjun, T. Effects of the yaw error and the wind-wave misalignment on the dynamic characteristics of the floating offshore wind turbine. Ocean Eng. 2020, 199, 106960. [Google Scholar] [CrossRef]
- Fitzgerald, B.; McAuliffe, J.; Baisthakur, S.; Sarkar, S. Enhancing the reliability of floating offshore wind turbine towers subjected to misaligned wind-wave loading using tuned mass damper inerters (TMDIs). Renew. Energy 2023, 211, 522–538. [Google Scholar] [CrossRef]
- El Hamoud, R.; Alkhoury, P.; Aït-Ahmed, M.; Soubra, A.-H.; Schoefs, F.; Dib, R. Vibration and Fatigue Mitigation of a 5 MW Barge-Type Floating Offshore Wind Turbine Under Misaligned Wind and Wave Loadings. In Proceedings of the 43rd International Conference on Ocean, Offshore & Arctic Engineering, Singapore, 9–14 June 2024. [Google Scholar] [CrossRef]
- Katsaounis, G.M.; Polyzos, S.; Mavrakos, S.A. An Experimental Study of the Hydrodynamic Behavior of a TLP Platform for a 5MW Wind Turbine with OWC Devices. In Proceedings of the VII International Conference on Computational Methods in Marine Engineering, Nantes, France, 15–17 June 2017. [Google Scholar]
- Shen, Y.J.; Wang, L.; Yang, S.P.; Gao, G.S. Nonlinear dynamical analysis and parameters optimization of four semi-active on-off dynamic vibration absorbers. J. Vib. Control 2012, 19, 143–160. [Google Scholar] [CrossRef]
- Ramírez, A.; Tomás-Rodríguez, M.; Sierra-García, J.E.; Santos, M. Metaheuristic Optimized Semi-Active Structural Control Approaches for a Floating Offshore Wind Turbine. Appl. Sci. 2024, 14, 11368. [Google Scholar] [CrossRef]
- Weber, F.; Maślanka, M. Precise stiffness and damping emulation with MR dampers and its application to semi-active tuned mass dampers of Wolgograd Bridge. Smart Mater. Struct. 2014, 23, 15019. [Google Scholar] [CrossRef]
- Martynowicz, P. Tuned vibration absorber for wind turbine tower deflection mitigation adopting nonlinear optimal control technique—Experimental tests. In Proceedings of the ICCC 2024: 25th International Carpathian Control Conference, Krynica-Zdrój, Poland, 22–24 May 2024. [Google Scholar]
- Namik, H.; Rotea, M.; Lackner, M. Active Structural Control with Actuator Dynamics on a Floating Wind Turbine. In Proceedings of the 51st AIAA Aerospace Sciences Meeting including the New Horizons Forum and Aerospace Exposition, Grapevine, TX, USA, 7–10 January 2013. [Google Scholar]
- Villoslada, D.; Santos, M.; Tomás-Rodríguez, M. TMD Stroke Limiting Influence on Barge-Type Floating Wind Turbines. Ocean Eng. 2022, 248, 110781. [Google Scholar] [CrossRef]
- Ali, S.; Lee, S.-M.; Jang, C.-M. Techno-Economic Assessment of Wind Energy Potential at Three Locations in South Korea Using Long-Term Measured Wind Data. Energies 2017, 10, 1442. [Google Scholar] [CrossRef]
- Ali, S.; Park, H.; Lee, D. Multi-Criteria Optimization of Wind Turbines in an Offshore Wind Farm with Monopile Foundation Considering Structural Integrity and Energy Generation. J. Mar. Sci. Eng. 2024, 12, 2313. [Google Scholar] [CrossRef]
- Ali, S.; Park, H.; Lee, D. Investigating the Structural and Power Performance of a 15 MW Class Wind Energy Generation System under Experimental Wind and Marine Loading. J. Mar. Sci. Eng. 2024, 12, 1485. [Google Scholar] [CrossRef]
- Ali, S.; Park, H.; Noon, A.A.; Sharif, A.; Lee, D. Accuracy Testing of Different Methods for Estimating Weibull Parameters of Wind Energy at Various Heights above Sea Level. Energies 2024, 17, 2173. [Google Scholar] [CrossRef]
- Ali, S.; Lee, S.-M.; Jang, C.-M. Forecasting the Long-Term Wind Data via Measure-Correlate-Predict (MCP) Methods. Energies 2018, 11, 1541. [Google Scholar] [CrossRef]
- Wang, C.; Li, Z.; Xu, P.; Hou, Y.; Tan, D.; Li, L. Collision modeling approach and transient response mechanism of ring-ribbed cylindric shells for underwater vehicles. Appl. Math. Model. 2025, 141, 115923. [Google Scholar] [CrossRef]
- National Renewable Energy Laboratory (NREL). OpenFAST r-Test Repository. GitHub, 202X. Available online: https://github.com/OpenFAST/r-test (accessed on 16 October 2024).
- Den Hartog, J.P. Mechanical Vibrations; Dover Publications: Mineola, NY, USA, 1985. [Google Scholar]
- Ioffe, A.D.; Tihomirov, V.M. Theory of Extremal Problems; North-Holland Publishing Company: Amsterdam, The Netherlands, 1979. [Google Scholar]
- Jiang, J.; Lian, J.; Dong, X.; Zhou, H. Research on the along-wind aerodynamic damping and its effect on vibration control of offshore wind turbine. Ocean Eng. 2023, 274, 113993. [Google Scholar] [CrossRef]
- Martynowicz, P.; Ślimak, P. Vibration Analysis of TLP—NREL 5MW Floating Wind Turbine Under Different Wind-Wave Angles. Preprints 2025, 2025021358. [Google Scholar]
- Snamina, J.; Martynowicz, P. Prediction of characteristics of wind turbine’s tower-nacelle system from investigation of its scaled model. In Proceedings of the 6WCSCM: Sixth World Conference on Structural Control and Monitoring—Proceedings of the 6th Edition of the World Conference of the International Association for Structural Control and Monitoring (IACSM), Barcelona, Spain, 15–17 July 2014. [Google Scholar]
Disclaimer/Publisher’s Note: The statements, opinions and data contained in all publications are solely those of the individual author(s) and contributor(s) and not of MDPI and/or the editor(s). MDPI and/or the editor(s) disclaim responsibility for any injury to people or property resulting from any ideas, methods, instructions or products referred to in the content. |
© 2025 by the authors. Licensee MDPI, Basel, Switzerland. This article is an open access article distributed under the terms and conditions of the Creative Commons Attribution (CC BY) license (https://creativecommons.org/licenses/by/4.0/).















