Next Article in Journal
Intelligent Alarm Analysis for Fault Diagnosis and Management in Nuclear Power Plants
Next Article in Special Issue
Investigation of Frequency Response Sharing-Induced Power Oscillations in VSC-HVDC Systems for Asynchronous Interconnection
Previous Article in Journal
Estimating Snow Coverage Percentage on Solar Panels Using Drone Imagery and Machine Learning for Enhanced Energy Efficiency
Previous Article in Special Issue
Enhancing Frequency Event Detection in Power Systems Using Two Optimization Methods with Variable Weighted Metrics
 
 
Font Type:
Arial Georgia Verdana
Font Size:
Aa Aa Aa
Line Spacing:
Column Width:
Background:
Article

Rapid Resilience Assessment and Weak Link Analysis of Power Systems Considering Uncertainties of Typhoon

State Key Laboratory of Power Transmission Equipment Technology, Chongqing University, Chongqing 400044, China
*
Author to whom correspondence should be addressed.
Energies 2025, 18(7), 1731; https://doi.org/10.3390/en18071731
Submission received: 9 March 2025 / Revised: 24 March 2025 / Accepted: 28 March 2025 / Published: 31 March 2025
(This article belongs to the Special Issue Advanced Electric Power Systems, 2nd Edition)

Abstract

The secure operation of the renewable-integrated power system is affected by extreme weather conditions such as typhoons. In order to meet the operational requirements of the system, it is necessary to dynamically evaluate the resilience of the renewable-integrated power systems based on meteorological forecast information to guide operators to make reasonable risk prevention and control decisions. A rapid assessment method for power system resilience is proposed to address the uncertainty of extreme weather caused by typhoons. First, with a focus on the impact of typhoon disasters on power system components, corresponding failure probability models are constructed by taking typhoon meteorological forecast information as input and considering the uncertainty of typhoon meteorological forecast. Error probability circles and average absolute errors of intensity forecasts are included in the sampling of typhoon scenarios. Second, for the resilience assessment process, the impact increment method is used to reduce the dimensionality of multiple fault state analysis in the power system, and resilience indexes are calculated by screening the contingency set based on depth-first traversal through a backtracking algorithm. The weak links in the power system are identified through sensitivity analysis of load loss. Finally, the effectiveness of the proposed method is verified using the modified IEEE RTS-79 power system.

1. Introduction

With the increasing global attention to climate change, achieving carbon neutrality has become a common goal of the international community [1,2]. In this context, promoting the transformation of energy structure and increasing the proportion of new energy such as offshore wind power in power systems has become a key strategy to achieve the “dual carbon” goal. However, the high proportion of new energy connected to power systems increases the operational risk of the system, making it more vulnerable to extreme weather disasters such as typhoons [3,4]. In extreme weather conditions, in order to meet the operational needs of the system, it is necessary to dynamically evaluate the resilience of the new energy power system based on meteorological forecast information in order to guide operators to make reasonable risk prevention and control decisions. Therefore, this paper uses typhoons as a representative of extreme weather to conduct resilience assessments of power systems with new energy sources under extreme weather conditions.
Regarding the resilience assessment of power systems under typhoon disasters, some studies focus on the impact mechanism of disasters on power system component failures and the corresponding analysis of fault evolution processes in order to calculate resilience indexes that can reflect the response characteristics and reveal weak links of power systems. Tang W. et al. [5] quantified the impact of typhoons on components based on typhoon wind field models and comprehensively considered factors such as the geographical location of faulty components, maintenance teams, and repair strategies to construct a system recovery process. Monte Carlo and grid partitioning methods were used to complete the resilience assessment. The formation mechanism and influencing factors of the typhoon disaster accident chain were analyzed by Chen B. et al. [6], who conducted a risk assessment of the distribution network from perspectives of reliability, safety, and economic feasibility. Wang J. et al. [7] established a fault probability model for the coupling of primary and secondary equipment in power systems under disaster weather, considering the unexpected actions of protection during disasters. The above research mainly focuses on traditional power systems without wind power, providing a reference for the resilience assessment of power systems under typhoon weather.
For power systems containing wind power, a probability model for component and system state transitions considering faults at different time scales was proposed by Rong J. et al. [8], while also taking the impact of wind power output uncertainty into account. Based on improved stochastic power flow calculations, the resilience indexes are taken into account for cascading faults. A multi-stage collaborative resilience enhancement strategy was proposed by Jiao J. et al. [9], considering the response characteristics of the receiving end power system under typhoon loads, external power sources, various types of units, energy storage, transmission channels, etc. Rong J. et al. [10] proposed an offshore wind power recovery strategy to enhance system resilience. Li Y. et al. [11] reviewed the uncertain factors faced by power systems with a high proportion of renewable energy. Modaberi S. A. et al. [12] focused on wind turbines and wind farms and provided a review of resilience indexes and improvement methods.
There is relatively little research on resilience assessment methods considering uncertainties of both weather disasters and power components. Based on situational awareness technology, Li D. et al. [13] proposed a risk situational awareness method for power system operation in typhoon weather, which presented and predicted the risk of transmission lines, load levels, and power system resilience. Zhou X. et al. [14] combined Monte Carlo sampling and fault scenario screening based on system information entropy to complete resilience assessment. An incremental impact method was proposed by Hou K. et al. [15,16,17], which improved the proportion of low-order faults in resilience indexes through mathematical identity transformation of reliability indexes and enhanced accuracy of the calculation under the same fault state enumeration order.
At present, research on the resilience assessment of power systems under typhoon disasters has made some progress, but there are still limitations. One reason is that most existing research only takes uncertainty into account when calculating the output of renewable energy and ignores it in the process of component failure probability analysis and resilience assessment. However, meteorological forecasts themselves contain uncertainty, especially for processes with highly nonlinear characteristics such as atmospheric motion, where uncertainties of their forecasts are more significant. The second issue is that most existing resilience assessments use simulation methods, with less consideration given to the effectiveness of the assessment. However, due to the uncertainty of typhoon information, there may be significant differences between the meteorological parameters used in offline calculations and the actual development process. It is necessary to repeatedly calculate based on real-time meteorological information, and rapid assessment is particularly important at this time. Some evaluation methods available in reliability and risk assessment are limited due to the lack of consideration for the sequential characteristics of component failures in the resilience assessment process [18,19,20,21].
To address the above-mentioned issues, first, this paper focuses on the impact of typhoon disasters on power system components and constructs corresponding fault probability models. This model takes typhoon meteorological forecast information as input and considers the uncertainty of typhoon meteorological forecasts. Error probability circles and average absolute errors of intensity forecasts are included in the sampling of typhoon scenarios. Second, for the resilience assessment process, the impact increment method is used to reduce the dimensionality of multiple fault state analysis in the power system, and resilience indexes are calculated by screening the contingency set based on depth first traversal through backtracking algorithm. The weak links in the power system are identified through sensitivity analysis of load loss. Finally, the effectiveness of the proposed method is verified using the modified IEEE RTS-79 power system.

2. Simulation Method for Typhoon Wind Field

2.1. Batts Wind Field Model

The typhoon weather forecast issued by the meteorological department is the basic information for analyzing the probability of component failures. The degree of impact of typhoon disasters depends on the wind speed and movement path of the typhoon. Accurately simulating the wind field before the typhoon makes landfall the basis for analyzing the probability of power system component failures under typhoon disasters. The Batts wind field model is a commonly used typhoon wind field model in engineering practice. By knowing the position relationship between the typhoon center point and the reference point, the wind speed at the reference point can be determined [6,8].
According to the Batts model, the strength of a typhoon’s wind field mainly depends on the central pressure difference and the speed of the typhoon’s own movement. The typhoon wind field will decrease with the decrease of the central pressure difference. Assuming that the time typhoon makes landfall is t = 0 , the central pressure difference at this time Δ H t can be expressed as follows:
Δ H ( t ) = Δ H 0 0.677 [ 1 + sin ϕ ] t
where Δ H 0 is the initial pressure difference at the time of typhoon landfall, measured in hPa; ϕ is the angle between the coastline and the direction of the typhoon’s path.
The range of influence of typhoons is usually large, and the impact range of cyclones can sometimes reach hundreds to thousands of kilometers. In the horizontal direction, a typhoon consists of three parts: the periphery, the body, and the center. The maximum wind speed radius rmax is the distance from the center of the typhoon wind field to the location of the maximum wind speed, which is usually calculated by the central pressure difference Δ P . Vmax is related to Δ P and the typhoon’s moving speed VT.
The maximum wind speed radius rmax and maximum wind speed VT satisfy the following:
r max t = 1.119 × 10 3 Δ P t 0.805
V max t = 5.221 Δ P t + 0.1389 V T t
where r max t is the maximum wind speed radius at time t, km; V max t is the maximum wind speed at a given moment, m/s; VT is the speed of typhoon movement at time, m/s.
The typhoon reaches its maximum wind speed at the maximum wind speed radius. The numerical estimate of the distance between the research point in the typhoon x a , y a and the center of the typhoon d a t is:
V a = V max t [ d a t / R max t ] d a t r max t V max t [ R max t / d a t ] 0.6 d a t > r max t

2.2. Uncertainty Modeling of Typhoon Disasters

Due to the strong nonlinear characteristics exhibited by typhoons during their development and evolution, there are unavoidable errors in forecast information, mainly including path prediction errors and intensity prediction errors.
Regarding the analysis of path errors in typhoon forecast information and considering that meteorological forecast centers usually provide error probability circles for 24 h, 48 h, and 72 h forecast timeliness to measure the uncertainty of forecast path information, this paper applies the error probability circle to the modeling of typhoon path uncertainty [22].
Due to various factors, the path of a typhoon may deviate, resulting in a random distribution of its actual position in the x-axis and y-axis directions of the predicted location. Although the actual location may be near the predicted location, theoretically the deviation distance may be infinitely large. To simplify the analysis without loss of generality, we assume that these deviations follow a normal distribution and have the same and independent distribution in the x-axis and y-axis directions.
Integrating the probability density function of a two-dimensional normal distribution yields the following probability distribution function:
p ro x , y = x x y y 1 2 π σ 2 exp x 2 + y 2 2 σ 2 d x d y
We can replace it with polar coordinates:
p ro r , θ = 0 2 π 0 r p r 2 π σ 2 exp r 2 2 σ 2 d r d θ
where rp is the radius of the error probability circle with a probability of p, which means that the probability of the actual position of the typhoon being within the circumference is p, which is usually taken as 70% in typhoon meteorological forecasting.
By integrating the angle direction, we obtain:
p ro r = 0 r p r σ 2 exp r 2 2 σ 2 d r
After the substitution operation, let R = r2, so that d R = 2 r d r :
p ro R = 0 r p 2 1 2 σ 2 exp R 2 σ 2 d R = 1 exp r p 2 2 σ 2
The relationship between rp and the standard deviation δ can be obtained as follows:
δ = r p 2 ln 1 / ( 1 p )
If the current time is set to time 0, the standard deviation δ t is as follows:
δ t = r p , T t / T 2 ln 1 / ( 1 p )
where r p , T is the radius of the probability circle with a probability of p obtained by the meteorological center at time T, generally T = 24, 48, 72 h.
Regarding the analysis of typhoon intensity errors, based on the average absolute error ET of the meteorological center’s intensity forecast, a random number Δ h within [−ET, ET] is generated to simulate the intensity error. The corrected center pressure difference at time 0 is as follows:
Δ H 0 = Δ H 0 + Δ h

3. Component Failure Probability Affected by Typhoon Disasters

3.1. Transmission Lines

In the same overhead transmission line, the wires and towers are connected in series, and the failure of any connected component will cause the entire line to shut down. According to the series model, the failure probability of the transmission line is as follows:
p L i = 1 k = 1 m 1 1 p fp , i , k × k = 1 m 2 1 p fl , i , k
where pLi is the probability of failure of the i-th transmission line; m1 and m2 are the number of spans of towers and conductors in the line, respectively; pfp,i,k and pfl,i,k are the probability of tower and conductor failures, which belongs to the k-th segment of the i-th transmission line, respectively.
During the pass of typhoons, transmission lines and towers may experience structural reliability failure caused by wire breakage and tower collapse accidents due to wind loads that may exceed their load capacity. The empirical formula for the wind loads on conductors Fx and towers Fs are as follows:
F x = 1 1600 β a η z β sc β c d L p B V 2 sin 2 θ
F s = 1 1600 η z β s β z B A s V 2
where β a is the coefficient of wind pressure non-uniformity; η z is the coefficient of the wind pressure height variation; β sc is the coefficient of conductor shape; β c is the coefficient for wind load; d is the outer diameter of the wire; Lp is the horizontal span of the transmission line; B is the coefficient of increase in wind load during icing; V is the wind speed at the transmission line; θ is the angle between the wind direction and the conductor; β s is the body shape coefficient for construction; β z is the wind load coefficient for the tower; and A s is the projected area that can withstand wind pressure.
According to interference theory, functional functions can calculate the probability of component failures under external loads. The functional function is defined as the difference between the load on the component and its load capacity:
p L = p F R > 0
where F is the load of lines, and R is the load capacity of lines.
It is generally believed that the load and load capacity of the transmission line follow a normal distribution, and the failure probability of the transmission line can be expressed as follows:
p F R > 0 = 0 + 1 2 π σ w exp w w ¯ 2 σ w 2 d w = 1 Φ w ¯ σ w
where w = FR, w ¯ and σ w are the mean and variance of the functional function, satisfying w ¯ = F ¯ R ¯ , σ w 2 = σ F 2 + σ R 2 ; F ¯ and R ¯ are the mean values of actual load and load capacity, respectively; σ F 2 and σ R 2 are the variances of actual load and load capacity, respectively; Φ is the cumulative probability distribution function of a normal distribution.

3.2. Wind Turbines

During typhoon disasters, offshore wind farms are susceptible to strong convective weather, among which the damage to wind turbine structures caused by strong winds and component short circuits caused by lightning strikes are the main failure modes of wind turbines. Considering wind load and lightning strike faults as approximately independent of each other, the probability of wind turbine failure is calculated as follows:
p wt = 1 1 p wt , wind 1 p wt , light
where p wt , wind and p wt , light represent the probability of failure under wind speed and lightning strikes, respectively. The specific calculation method is as follows.
1.
Probability of wind turbines failure caused by strong winds
The main cause of wind turbine failure is fatigue damage caused by the cumulative effect of wind and wave turbulence caused by strong winds, which is related to multiple factors such as wind speed where the wind turbine is located. Ref. [23] conducted experiments on NREL’s 5 MW capacity wind turbine under different wind speed conditions and obtained the fatigue damage index of the tower base and blades as well as the frequency spectrum period of wind waves at different wind speeds.
The damage index DI is a parameter used to measure the fatigue life of materials or structures, with a numerical range of 0 to 1. According to Miner’s theory, fatigue damage of materials or structures can be approximately linearly superimposed. When DI is 0, it is considered that the material or structure has not been damaged. When DI reaches 1, it is considered that the material or structure has failed. The calculation formula for the damage index DIt at time t is as follows:
D I t = t = 0 t 1 D i
where Di represents the damage caused at the i-th moment.
According to [23], the damage index of blades within one cycle is on the order of 10−12, and the probability of failure is very small and can be ignored. This paper only considers the damage to the tower base.
During typhoon disasters, the time-varying failure rate of wind turbines caused by strong winds can be calculated as follows:
λ wt , t = n t T p , t = D t 1 D I t T p , t = D t 1 i = 0 t 1 D i T p , t
where λ wt , t represents the failure rate at time t, and nt and Tp,t are the number of failures calculated based on fatigue damage and the frequency spectrum period of wind and waves, respectively.
Take a smaller time interval Δ t and assume that the failure rate of the wind turbine remains unchanged. According to the Poisson model, the probability of wind turbine failure at this time is as follows:
p wt , wind = 1 exp λ w t Δ t
2.
Probability of wind turbine failure caused by lightning strikes
According to [24], the probability of wind turbines malfunctioning and shutting down due to lightning strikes is roughly linearly related to the frequency of lightning strikes, which can be simulated through empirical functions. The failure probability of offshore wind turbines affected by lightning strikes can be expressed as follows:
p wt , light = k light × 24 × 10 6 h s 2.05 N g
where klight is the lightning strike correlation parameter, hs is the height of the offshore wind turbine, and Ng is the lightning density under meteorological observation.
3.
Equivalent power output
Considering that the failure of wind turbines will ultimately affect the output power of the wind farm, in order to facilitate analysis, this paper adopts a simplified wind farm lumped model to reflect the consequences of wind turbine failures on the output power of an equivalent wind turbine. The rated output power of the equivalent wind turbine is marked as P wt exp , and its expression is as follows:
P wt exp = P wt N wt ( 1 μ wt )
where N wt is the number of wind turbines in the wind farm. To calculate μ wt , which is the cumulative failure probability of wind turbines for output, please refer to Section 3.3.
The output of wind turbines is related to their rated power and real-time wind speed. The wind turbine output can be approximately expressed as follows:
P wt = 0 0 V V ci A + B V + C V 2 P wt , r V ci V V r P wt , r V r V V co 0 V co V
where Vci, Vr, and Vco are the cut-in, rated, and cut-out speeds of wind turbines, respectively. A, B, and C are fitted based on these three wind speeds and their corresponding output power.

3.3. Component Failure Probability Based on Typhoon Scene Sampling

When there is uncertainty in typhoon scenarios, the probability of component failure in the power system can be obtained through Monte Carlo sampling.
For transmission lines, taking the k-th typhoon scene sampling as an example, generate p L i , t k , which is the fault probability of line Li at time t according to (12), and let s L i , t k be the corresponding state of the line. Generate ξ which is a random number with a uniform distribution of [0, 1], satisfying the following:
s L i , t k = 0 ξ p L i , t k 1 ξ > p L i , t k
After completing the state sampling for NMCS times, p ˜ L i , t equals to the ratio of counts of the fault state reached to the total number of simulations:
p ˜ L i , t = 1 N MCS k = 1 N MCS ( 1 s L i , t ( k ) )
The cumulative probability of faults is directly added to the probability of faults in the line, which is the impact caused by previous faults. Before the disaster passes through, it is considered impossible to start repairing μ L i , t , which is the cumulative failure probability considering sequential characteristics, is calculated as follows:
μ L i , t = p ˜ L i , t 1 + ( 1 p ˜ L i , t 1 ) p ˜ L i , t
The failure of wind turbines is already calculated in the output of the equivalent wind turbine. The cumulative failure probability calculation is the same as (26), and the output curve for each typhoon scenario is calculated according to (23). The equivalent wind turbine output at time t is as follows:
P ˜ wt , t exp = 1 N MCS k = 1 N MCS P wt , t exp ( k )

4. Resilience Assessment of Power System

The state enumeration method is a highly representative method in analytical methods, but its challenge is that as the scale of the power system expands, the number of fault states that need to be enumerated will sharply increase, showing an exponential growth trend. To address the limitations of the state enumeration method, improvements can be made from two perspectives: reducing the dimensionality of multiple faults and screening for the contingency. This paper uses the incremental impact method to reduce the dimensionality of multiple faults in concentration and uses a backtracking algorithm to screen for the contingency, achieving rapid assessment of power system resilience.

4.1. Load Reduction Model

To calculate the system’s load loss, we adjust the power output through unit combinations on an hourly time scale. This paper adopts the optimal load shedding model to rapidly calculate the system’s load shedding, as shown below:
P C = min i = 1 S DB P C i
B i j θ i , t θ j , t P L i j , t + 1 L S i j , t M 0 , i j S L , t
B i j θ i , t θ j , t P L i j , t 1 L S i j , t M 0 , i j S L , t
L S i j , t P L max i j P L i j , t L S i j , t P L max i j
g i P G g , t + P C i , t P D i i j S L P L i j , t = 0 , i S B , t
θ i min θ i , t θ i max , i S B , t
0 P C i , t P D i , t , i S B , t
P G g min P G g , t P G g max , g i , i S B , t
where Bij is the branch admittance between node i and j. θ i , t is the voltage phase angle of node i at time t, while θ i max and θ i min are the upper and lower limits of the phase angle of node i, respectively; PCi is the amount of load loss for node i; PLij,t is the active power of branch ij at time t; LSij,t is the branch state quantity at time t, with 1 for operation and 0 for fault status; M is a relatively large constant; PLmaxij is the upper limit of allowable power for the branch; PGg,t is the active output of generator g at time t, and g comes from bus i; PGgmax and PGgmin are the upper and lower limits of the active output of generator g, respectively; PDi,t is the active load demand of bus i at time t; and SDB is the load bus set, SB is the bus set, and SL is the branch set.

4.2. Grid Resilience Indexes

In recent years, a resilience index based on power system performance curves has been widely applied. According to the changes in electrical performance during the pass of disasters, the performance curve can ideally be divided into the following stages, as shown in Figure 1.
In Figure 1, PL(t) represents the ideal performance curve when no faults occur, while P(t) represents the actual performance curve during the pass of a typhoon. Φ Λ Ε Π indexes are widely used resilience assessment indexes, which can measure the overall resilience level of the power system based on changes in system performance during different periods.
Φ corresponds to the stage of resisting absorption, reflecting the rate of system performance decline of the power system:
Φ = P 0 P pe t 1 t 2
where P0 is the performance level of the system during normal operation, Ppe is the lowest performance level after derating operation, t1 is the time when the system begins to be hit by typhoon weather, and t2 is the time when the system performance reaches its lowest point.
Λ corresponds to the stage of resisting absorption, reflecting the magnitude of the system performance decline of the power system:
Λ = P 0 P pe
Ε corresponds to the derating adaptation stage, reflecting the duration of operation of the power system:
Ε = t 3 t 2
Π corresponds to the disaster recovery stage and reflects the system performance recovery rate of the power system:
Π = P 0 P pe t 4 t 3
After the typhoon passes away, the power system enters the recovery phase and its performance gradually improves. Component repair requires the whole repair plan, but due to the random repair process, accurate calculations are kind of complex. In order to simplify the analysis process, this paper makes the following assumptions during the recovery phase: (1) it is assumed that the repair work of the faults will only begin after the typhoon has left the region; (2) ignoring the differences in path planning among repair teams and the varying repair times for each component, it is assumed that all grid components can be repaired after reaching the expected repair time; (3) considering that the repair time for wind turbines far exceeds that of transmission lines, the repair of wind turbines will not be considered during the recovery phase. According to the assumptions, the performance curve of the recovery stage is approximately replaced with a polyline PS in Figure 1.

4.3. Resilience Assessment Methods

Methods for evaluating the resilience index of power grids can be divided into two categories: analytical methods and Monte Carlo sampling methods. The Monte Carlo sampling method shows good adaptability in dealing with power grids of different sizes, but its accuracy depends on a large number of samples, and it performs poorly in terms of the timeliness of the calculation results. In contrast, analytical methods can provide stable resilience index results with limited computational resources, making them more suitable for scenarios with high computational timeliness requirements.
The state enumeration method is a highly representative method in analytical methods, but its challenge lies in the fact that as the scale of the power grid expands, the number of fault states that need to be enumerated will increase dramatically, showing an exponential growth trend. In view of the limitations of the state enumeration method, improvements can be made from two perspectives: dimensional reduction of multiple faults and screening of the contingency. This paper uses the influence increment method to reduce the dimensionality of multiple faults in accident concentration and uses the backtracking algorithm to screen anticipated accidents, achieving rapid assessment of grid resilience.

4.3.1. Impact Incremental Method

The impact increment method was proposed in references [15,16,17] and detailed derivation was carried out. The method uses mathematical transformations of probability and severity indexes to transfer the resilience indexes of high-dimensional faults to low dimensional analysis, achieving dimensionality reduction in the analysis of multiple faults. The impact increment is the manifestation of the difference between the current fault and the corresponding low order fault, so that the impact increment of the current fault is smaller than its loss of load, while the difference terms corresponding to high-order faults are more, reducing the proportion of loss of load for high-order faults and mitigating the impact of ignoring high-order fault states on calculation accuracy.
For a system containing n components, the expressions for calculating the expected load loss using traditional state enumeration method and impact increment state enumeration method are as follows:
R C n = m = 1 k s Ω n m μ s P C s = m = 1 k s Ω n m i s μ i i s 1 μ i P C s
R C n = m = 1 k s Ω n m Δ μ s Δ P C s = m = 1 k s Ω n m i s μ i Δ P C s
where k is the highest order that takes the fault state into account, and Ω n m is an m-order subset of n; μ s is the cumulative failure probability for state s; PCs is the influence of the state s, which is the amount of load loss. There are two ways to calculate Δ P C s , which is the impact increment of state s:
Δ P C s = n = 0 n s 1 n s n u Ω s n P C u
Δ P C s = I s n = 1 n s 1 u Ω s n Δ P C u
where ns is the number of faulty components in fault state s, and Ω s n is an n-order subset of s.

4.3.2. Screening of the Contingency

Although state enumeration is a common method for screening the contingency, there are significant differences in the probability of failures between affected components. Specifically, the probability of low order faults is not necessarily lower than that of high-order faults, and high-order faults are often accompanied by high fault impacts. Although the impact increment method can help reduce the impact of high-dimensional faults, it is still necessary to ensure that high-order faults with high failure probabilities are not missed.
According to the formula of the impact increment method, Δ μ s must be monotonically decreased with the increasing depth. At the same time, the calculation of Δ P C s requires the calculation results of low order fault results, that is, the calculation of fault order should be from low to high. The backtracking algorithm can traverse paths that meet the requirements in depth first order. When it finds that the filtering criteria is not met, backtracking returns and attempts another path. To use backtracking algorithm to traverse the contingency that meets the filtering criteria, construct a fault state tree and classify it as a tree path traversal problem.
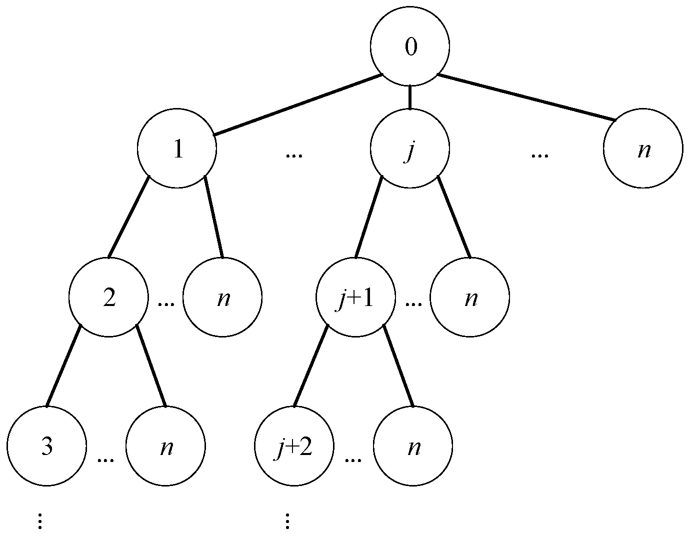
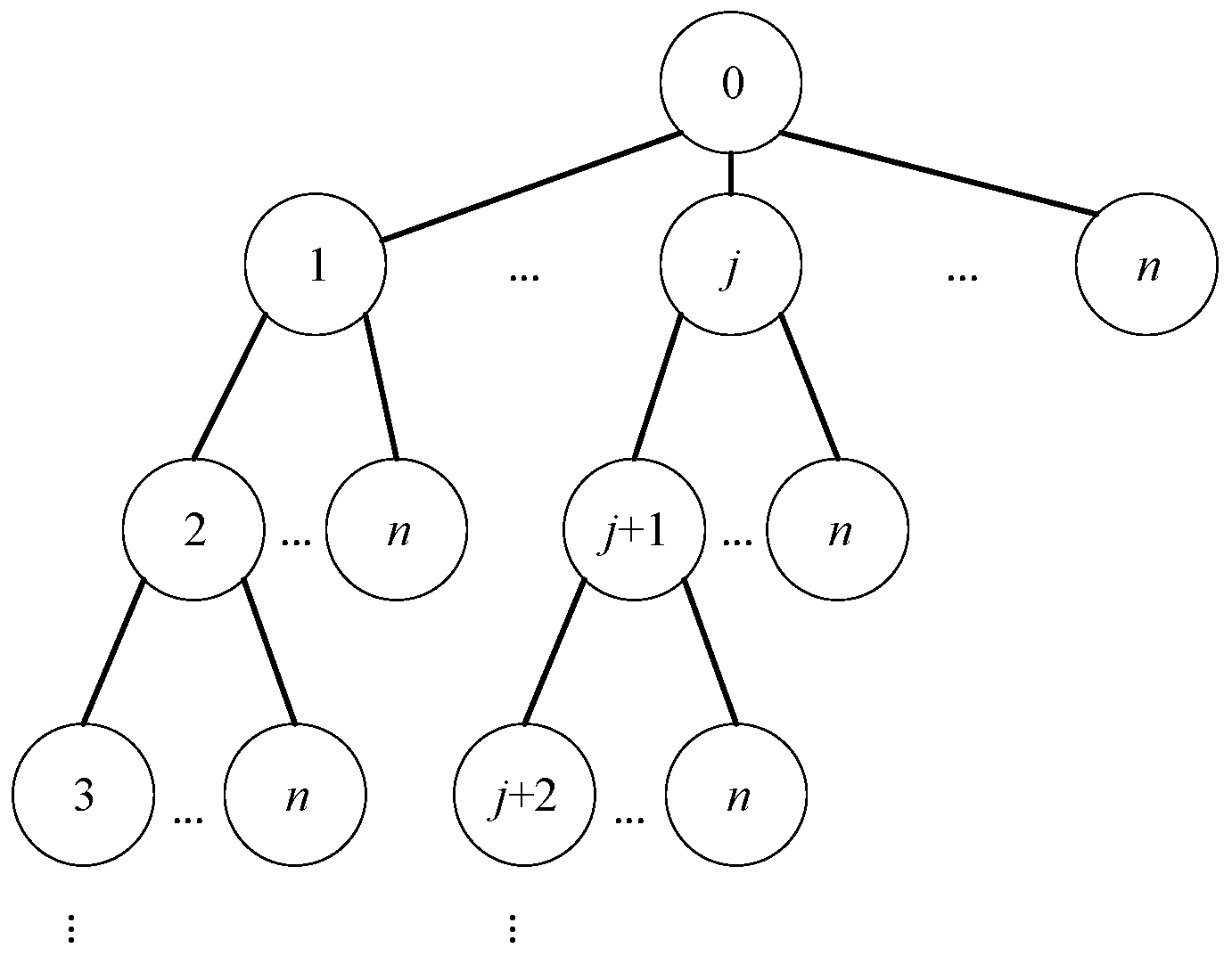
Concentrate the faults of power system components under the influence of meteorological disasters, and label each component as 1, …, n in descending order of fault probability. The fault state tree can be generated according to the following rules:
(1)
The root node corresponds to a normal operating state.
(2)
Each layer of sub nodes represents corresponding numbered components.
(3)
If a node represents component number j, then the child node number is j + 1, j + 2, …, n.
(4)
The n-component system has a total of 2n states, with each node corresponding to one of them. The path from each node to the parent node is the corresponding failure state.
According to the above definition, the fault state tree under n components is shown in Figure 2. The fault state tree represents the combination of multiple faults in the form of a tree and makes each child node correspond with the fault combination. The multiple fault representation form of the tree enables the traversal of multiple faults without the need to completely traverse every dimension. If it finds out that Δ μ s is less than the threshold through calculation, backtracking can be performed to reduce computational complexity.
The screening process based on the backtracking algorithm is shown in Figure 3. The basic idea is to traverse the nodes of this layer through a loop structure and traverse the child nodes through recursive calls, thus achieving depth-first traversal of the fault state tree. Δ μ min is the revised fault probability threshold; the algorithm backtracks when it finds a value less than the threshold.

4.4. Analysis of Weak Links in Power Systems

The core approach to identifying weak links in the power system is to evaluate the magnitude of the impact of each component on system load loss. This paper uses sensitivity analysis methods to rank the importance of components by calculating their contribution to load loss in order to reveal the weak links in the power system.
According to Formula (41), the amount of load loss is expressed as the sum of the product of the probability of failure and the impact increment. Under the premise of keeping the topology parameters and load distribution of the power system unchanged, the corresponding load reduction for a specific state s is unique, and Δ P C s can be regarded as a constant. At this point, the expected loss of load RC can be regarded as a function of only the probability of component failures:
R C = s Ω Δ μ min Δ μ s Δ P C s = s Ω Δ μ min i j s μ j Δ P C s + s Ω Δ μ min \ Ω Δ μ min i j s μ j Δ P C s
where Ω Δ μ min represents the contingency obtained through backtracking algorithm and filtered by the backtracking threshold Δ μ min ; Ω Δ μ min i represents the part of the contingency that includes μ i .
Equation (44) splits the load loss into two parts, including and excluding μ i , where the items which do not include μ i will not change due to changes in numerical values of μ i . Therefore, wi, which means the sensitivity of R to μ i , is as follows:
w i = R μ i = s Ω Δ μ min i j s , j i μ j Δ P C s
where wi represents the change in the amount of load loss when μ i changes in numerical units. It is known, according to (45), that it is related to the failure probability of other components, so wi also changes over time like μ i . Taking the contribution of components to the resilience index of the power system into account during the pass of typhoon, and eliminating dimensions, the importance index Wi is defined as follows:
W i = t = 0 T end w i , t P 0
where w i , t represents the sensitivity of component i at time t, P0 is the ideal performance, and Tend is the departure time of the disaster.

5. Case Studies

5.1. Fault Scenario Analysis

Taking the modified IEEE RTS-79 power system as an example, simulation research is conducted on the probability of component failure affected by typhoon disasters. The geographic projection of the testing system is shown in Figure 4, assuming it is located in the southeastern coastal area of China. Connected to node 2 is an offshore wind farm with a capacity of 30 × 5 MW. The transmission line is simplified into a straight line with an average span of 500 m. The load capacity of each span of the line and tower is 4.5 kN, and the standard deviation of the load capacity is taken as 10% of the load capacity. The typhoon forecast information is shown as follows in Table 1, the sampling frequency of NMCS = 1 × 10 5 . The average lightning ground flash density Ng of offshore wind farms is taken as 2.2 times/km2. The repair time for transmission lines is 8.12 h [25]. The meteorological forecast error parameters are shown in Table 2. The remaining power system data and reliability data in the test case can be found in [26].
The DC power flow model and resilience assessment methods are implemented in the Python environment of Anaconda 4.9.2 version. The calculation of DC power flow is solved by Gurobi, and the PC is configured with i7-10875H processor and 16 GB memory.
The probability of transmission line failures and equivalent wind turbine output during the pass of typhoon are simulated at 1 h intervals. The repair process of components is not considered before the typhoon passes, and the equivalent wind turbine output is shown in Figure 5.
To analyze the uncertainty of the meteorological forecast and its impact on component failures, the cumulative failure probability of transmission lines at t = 12 h is compared between the two scenarios. The displayed results in Figure 6 reveal that taking the uncertainty of typhoon movement paths into account, the probability of line failures directly affected by meteorological forecast paths is slightly reduced, while the probability of failures in surrounding lines is relatively increased. Considering that the actual path of typhoons often deviates from meteorological forecasts, taking uncertain factors into account can enhance the credibility of subsequent resilience assessments and analysis of weak links in the power system.

5.2. Resilience Assessment Results

This paper takes the time t = 12 h when the typhoon is about to pass through the region as an example to preliminarily verify the effectiveness of the resilience assessment method proposed in this paper by comparing the load loss obtained from other assessment methods. The load loss calculated by Monte Carlo sampling (MCS) with N MCS = 1 × 10 5 is used as a benchmark, while the state enumeration (SE) method and the impact increment-based state enumeration (IISE) method are compared. We named the method in this paper the impact increment-based backtracking algorithm (IIBA) and compared the calculation results with the above methods. Results are shown in Table 3.
For the SE method, the calculation errors are as high as 99.98% and 99.79% when the fault order k is 2 and 3, respectively. Such results are obviously extremely unsatisfactory and have almost no reference value. For the IISE method, when the fault order is set to k = 2, the calculation error is 31.25%. Although the results are still unsatisfactory, the error has been significantly reduced compared to the traditional SE method, and the accuracy has been greatly improved. When the fault order is increased to k = 3, the accuracy further improves and the error continues to decrease. However, when the fault order reached k = 4, the calculation result of the load loss exceeded the benchmark value. Upon investigation, the impact increment may be negative, and if faults with negative impact increments are included in the screening process, it will lead to a biased final calculation result. For the IIBA method, when Δ μ min = 0.01, the calculation error is 1.83%, which has higher accuracy and lower state counts compared to the relatively better performing IISE with k = 4 in the comparative method. When it comes to Δ μ min = 0.001, the calculation error is 0.59%, and the calculation accuracy is further improved.
The efficiency analysis of different screening methods is shown in Table 4. According to the results in the table, when Δ μ min = 0.01, the same filtering results can only be achieved by traversing 5,663,889 faults through state enumeration. However, when Δ μ min = 0.001, 58,115,145 faults need to be enumerated through state enumeration. Analyzing the traversal time of different methods, the time required to screen the same contingency through backtracking algorithm is only 0.48% of that of state enumeration, indicating that the efficiency of backtracking algorithm is much higher than that of state enumeration.
We further analyzed the cost of calculating time using various methods. The IIBA method with Δ μ min = 0.01 has 8370 fault states. In contrast, the IISE method with fault order k = 3 requires less analysis of the number of fault states, but its calculation error performance is inferior to that of IIBA. When k = 4, the calculation error is close but consumes more calculation time. The IIBA method achieves high computational accuracy with less computational complexity, achieving a good balance between computational accuracy and speed. Lowering Δ μ min to 0.001 further reduces the calculation error of the loss of load, but the increase in computational complexity is too much. This paper pursues the speed of the calculation results, so it is more appropriate to take 0.01 for the example in this paper. The complete performance curve and the number of fault states that need to be analyzed by this method at different times are shown in Figure 7 and Figure 8, respectively.
The base performance curve is based on sequential Monte Carlo sampling with NMCS = 1 × 10 5 , while the method proposed in this paper calculates hourly by substituting the cumulative failure probability of previously analyzed components. The performance curves of the two methods have the same trend, indicating the effectiveness of the method proposed in this paper. Performance curves of the method of this paper and the benchmark both reached their lowest point at t = 4 h and then briefly increased. The reason for this is that the equivalent output of the wind farm partially recovers, and then the equivalent output of the wind farm continues to decrease, and the probability of line failures increases, resulting in a continued decline in performance.
The number of fault states required for calculation at different times is recorded in Figure 8. It seems that the number of fault states increases over time. This phenomenon is attributed to the monotonic increase in cumulative failure probability, resulting in a corresponding increase in the number of failures that meet the screening criteria.

5.3. Weak Link Analysis

The importance index of transmission lines based on the sensitivity analysis is shown in Figure 9. To verify the actual effectiveness of the importance index proposed in this paper, the analysis scenario in Section 4.2 is referred to as scenario one, and another two scenarios are selected for calculating the power system resilience index.
Scenario 2: Set transmission lines L12, L27, L29, L30, and L31, which rank high in the importance index of components, to reduce their failure probability by half at each moment.
Scenario 3: Set transmission lines L1, L8, L9, L10, and L32, which are ranked lower in the importance index of components, to reduce their failure probability by half at each moment.
The performance curves of different scenarios are shown in Figure 10, and the results of resilience indexes are shown in Table 5. It is not hard to find out that the performance curve and resilience indexes in scenario two show significant changes, with a significant reduction in the amount of load loss at each moment, while scenario three shows almost no substantial changes. The results show that the lines with higher importance indexes have a greater contribution to the resilience indexes of the power system and can be regarded as weak links.

6. Conclusions

This paper focuses on the resilience assessment of power systems under typhoon disasters and proposes a rapid resilience assessment method to screen the weak link of the power system. First, based on the input of typhoon meteorological forecast information and considering the uncertainty of the forecast, the error probability circle and the average absolute error of intensity are included in the sampling of typhoon scenarios. Second, for the resilience assessment process, the impact increment method is used to reduce the dimensionality of multiple fault state analysis in the power system, and the resilience index is calculated by screening the contingency based on depth-first traversal through the backtracking algorithm. Finally, the weak links in the power system are identified through sensitivity analysis of load loss. Through this study, the following conclusions are drawn:
1.
After taking the uncertainty of metrological forecasts into account, the failure probability of transmission lines in the surrounding of the forecast path is relatively increased. Taking uncertain factors into account can enhance the credibility of power system resilience assessment and weak link analysis.
2.
Applying the backtracking algorithm to the screening of the contingency can reduce the search for a large number of low-probability states compared to state enumeration. The time consumption to screen the same contingency in the testing scenario is only 0.48% of state enumeration.
3.
By using the proposed method to calculate resilience indexes, both high computational efficiency and accuracy can be ensured. In addition, the importance index obtained through sensitivity analysis based on load loss can effectively measure the contribution of faulty components to the resilience indexes and can serve as an important reference for analyzing weak links in the power system.

Author Contributions

Conceptualization, W.M.; Methodology, W.M.; Software, J.W.; Resources, X.X.; Data curation, X.X.; Writing—original draft, W.M.; Writing—review & editing, J.W.; Supervision, J.W.; Project administration, X.X. All authors have read and agreed to the published version of the manuscript.

Funding

This work was supported by the Key Project of Technology Innovation and Application Development in Chongqing Municipality (CSTB2024TIAD-KPX0088).

Data Availability Statement

The original contributions presented in this study are included in the article. Further inquiries can be directed to the corresponding author(s).

Conflicts of Interest

The authors declare no conflict of interest.

References

  1. Van Soest, H.L.; Den Elzen, M.G.J.; van Vuuren, D.P. Net-zero emission targets for major emitting countries consistent with the Paris Agreement. Nat. Commun. 2021, 12, 2140. [Google Scholar] [CrossRef] [PubMed]
  2. Mallapaty, S. How China could be carbon neutral by mid-century. Nature 2020, 586, 482–483. [Google Scholar] [CrossRef] [PubMed]
  3. Liang, Z.; Sun, D.; Du, E.; Fang, Y. Event-driven day-ahead and intra-day optimal dispatch strategy for sustainable operation of power systems considering major weather events. Processes 2024, 12, 840. [Google Scholar] [CrossRef]
  4. Wang, J.; Xiong, Z.; Zhang, T.; Ouyang, J. Short-term multiple fault risk assessment for power systems considering unexpected actions of protection system under weather disasters. Int. J. Electr. Power Energy Syst. 2024, 162, 110254. [Google Scholar] [CrossRef]
  5. Tang, W.; Yang, Y.; Li, Y.; Lu, J.; Wu, Q. Investigation on resilience assessment and enhancement for power transmission systems under extreme meteorological disasters. Proc. CSEE 2020, 40, 2244–2254. [Google Scholar] [CrossRef]
  6. Chen, B.; Sun, N.; Chen, H.; Zhang, L.; Wan, J.; Su, J. Risk assessment method for power distribution systems based on spatiotemporal characteristics of the typhoon disaster chain. Processes 2025, 13, 699. [Google Scholar] [CrossRef]
  7. Wang, J.; Xiong, Z.; Nan, D.; Zhang, L.; Ouyang, J. Short-time risk assessment of a power system in weather disasters considering the coupled faults of primary and secondary equipment. Power Syst. Prot. Control 2024, 52, 16–26. [Google Scholar]
  8. Rong, J.; Zhou, M.; Yuan, B.; Wu, Z. Resilience assessment method on power systems under typhoon disaster considering failure evolution process. Power Syst. Technol. 2024, 48, 1114–1124. [Google Scholar]
  9. Jiao, J.; Liu, L.; Zhang, T.; Xuan, W.; Li, H.; Liu, Z. Resilience enhancement strategy with multi-stage collaboration for receiving-end grid under typhoon disaster. Autom. Electr. Power Syst. 2023, 47, 9–18. [Google Scholar]
  10. Rong, J.; Zhou, M.; Li, G. Resilience-oriented restoration strategy by offshore wind power considering risk. CSEE J. Power Energy Syst. 2023, 9, 2052–2065. [Google Scholar]
  11. Li, Y.; Yin, W.; Long, T.; Hou, Y. Review on resilience enhancement strategies for power systems with massive resources under multi-source uncertainties. High Volt. Eng. 2022, 48, 3484–3496. [Google Scholar]
  12. Modaberi, S.A.; Tohidi, S.; Zadeh, S.G.; Bolandi, T.G. A review of power system resilience assessment and enhancement approaches by focusing on wind farms and wind turbines. IET Renew. Power Gener. 2023, 17, 2391–2410. [Google Scholar] [CrossRef]
  13. Li, D.; Yuan, Z.; He, J.; Deng, C.; He, Z.; Huang, W. Situation awareness method of power grid operation risk under typhoon weather. High Volt. Eng. 2021, 47, 2301–2311. [Google Scholar]
  14. Zhou, X.; Ge, S.; Li, T.; Liu, H. Assessing and boosting resilience of distribution system under extreme weather. Proc. CSEE 2018, 38, 505–513. [Google Scholar]
  15. Hou, K.; Jia, H.; Yu, X.; Zhu, L.; Xu, X.; Li, X. An Impact Increments-Based State Enumeration Reliability Assessment Approach and Its Application in Transmission Systems. In Proceedings of the IEEE-Power-and-Energy-Society General Meeting (PESGM), Boston, MA, USA, 17–21 July 2016. [Google Scholar]
  16. Hou, K.; Jia, H.; Yu, X.; Li, Y.; Xie, C.; Yan, J. Composite generation and transmission system reliability assessment using impact increment-based state enumeration method. In Proceedings of the International Conference on Probabilistic Methods Applied to Power Systems (PMAPS), Beijing, China, 16–20 October 2016; pp. 1–6. [Google Scholar]
  17. Hou, K.; Jia, H.; Li, X.; Mu, Y.; Jiang, T.; Yu, X. Impact-increment based decoupled reliability assessment approach for composite generation and transmission systems. IET Gener. Transm. Distrib. 2018, 12, 586–595. [Google Scholar]
  18. Liu, H.; Sun, Y.; Cheng, L.; Wang, P. Fast sorting technique considering multi-state component models. Autom. Electr. Power Syst. 2008, 32, 16–21. [Google Scholar]
  19. Jia, Y.; Yan, Z. An improving fast sorting technique for generating system reliability evaluation. Power Syst. Technol. 2010, 34, 144–148. [Google Scholar]
  20. Jiao, H.; Wen, Y.; Guo, C.; Zhu, B.; Xu, L. A greedy algorithm for contingency screening based on probability ordered tree and its application in reliability assessment. Proc. CSEE 2016, 36, 2068–2076. [Google Scholar]
  21. Chen, J.; Gao, X.; Nan, D.; Ma, W.; Wang, J.; Li, Y. Multiple-fault risk assessment of power grid based on N-2 faults combination pruning method in severe weathers. Adv. Technol. Electr. Eng. Energy 2023, 42, 96–104. [Google Scholar]
  22. Zhang, S.; Qian, C.; Gao, S.; Liu, Z. Application of Probability Circle Radius in Forecasting Tropical Cyclones. Meteor. Sci. Technol. 2010, 38, 159–164. [Google Scholar]
  23. Amirinia, G.; Jung, S. Buffeting response analysis of offshore wind turbines subjected to hurricanes. Ocean Eng. 2017, 141, 1–11. [Google Scholar] [CrossRef]
  24. Zhao, H.; Wang, X. Lightning stroke mechanism of wind turbine generators and its lightning protection measures. Power Syst. Technol. 2003, 27, 12–15, 39. [Google Scholar]
  25. Wang, J. Research on Meteorological Disaster Risk Analysis and Fault Early Warning Methods for Overhead Transmission Lines. Ph.D. Thesis, Chongqing University, Chongqing, China, 2016. [Google Scholar]
  26. Billinton, R.; Li, W. Reliability Assessment of Electric Power Systems Using Monte Carlo Methods; Springer: New York, NY, USA, 1994. [Google Scholar]
Figure 1. Performance curve under typhoon disaster.
Figure 1. Performance curve under typhoon disaster.
Energies 18 01731 g001
Figure 2. Fault state tree of n components.
Figure 2. Fault state tree of n components.
Energies 18 01731 g002
Figure 3. Resilience screening process based on a backtracking algorithm.
Figure 3. Resilience screening process based on a backtracking algorithm.
Energies 18 01731 g003
Figure 4. Geographic projection of testing system.
Figure 4. Geographic projection of testing system.
Energies 18 01731 g004
Figure 5. The equivalent output of a wind farm.
Figure 5. The equivalent output of a wind farm.
Energies 18 01731 g005
Figure 6. Cumulative failure probability of transmission lines (t = 12 h).
Figure 6. Cumulative failure probability of transmission lines (t = 12 h).
Energies 18 01731 g006
Figure 7. Performance curve of the test system.
Figure 7. Performance curve of the test system.
Energies 18 01731 g007
Figure 8. Number of fault states at different times.
Figure 8. Number of fault states at different times.
Energies 18 01731 g008
Figure 9. Importance index of transmission lines.
Figure 9. Importance index of transmission lines.
Energies 18 01731 g009
Figure 10. Performance curves in different scenarios.
Figure 10. Performance curves in different scenarios.
Energies 18 01731 g010
Table 1. Forecast information of typhoon.
Table 1. Forecast information of typhoon.
TimeLoc (°E)Lat (°N)rmax (km)Vmax (m/s)H (hPa)
0112.522.057.235.0960.0
3112.222.361.833.6963.5
6111.922.666.932.1966.9
9111.523.073.230.5970.4
12111.223.380.928.8973.9
Table 2. Meteorological forecast error parameters in 24 h.
Table 2. Meteorological forecast error parameters in 24 h.
Source of ErrorParameter
intensity/hPa9.2
path/km133
Table 3. Load loss of different methods at t = 12 h.
Table 3. Load loss of different methods at t = 12 h.
MethodResultError (%)State CountsTime Consumption (s)
base116.72-100,00012,085
SE (k = 2)0.0299.9856166
SE (k = 3)0.2599.796017732
SE (k = 4)1.5498.6846,9375557
IISE (k = 2)80.2531.2556168
IISE (k = 3)107.627.806017742
IISE (k = 4)120.923.6046,9375572
IIBA   ( Δ μ min = 1 × 10 2 )114.621.8383701041
IIBA   ( Δ μ min = 1 × 10 3 )116.030.5960,5447176
Table 4. Screening efficiency of different methods.
Table 4. Screening efficiency of different methods.
MethodStates Count Δ μ s 0.01 Δ μ s 0.001 Time Consumption (s)
SE/IISE (k = 2)561190204<1
SE/IISE (k = 3)601711081211<1
SE/IISE (k = 4)46,93736715075<1
SE/IISE (k = 5)284,273691815,953<1
SE/IISE (k = 6)1,391,841830635,0944
SE/IISE (k = 7)5,663,889837052,48513
SE/IISE (k = 8)19,548,045837059,63951
SE/IISE (k = 9)58,115,145837060,544207
IIBA   ( Δ μ min = 0.01 )837083708370<1
IIBA   ( Δ μ min = 0.001 )60,544837060,5441
Table 5. Resilience indexes in different scenarios.
Table 5. Resilience indexes in different scenarios.
Scenario Φ Λ Ε Π Load Loss (MWh)
Base33.91135.65814.261691.07
Scenario one33.18132.72814.101660.56
Scenario two12.0448.1487.11762.29
Scenario three32.72130.89813.711625.00
Disclaimer/Publisher’s Note: The statements, opinions and data contained in all publications are solely those of the individual author(s) and contributor(s) and not of MDPI and/or the editor(s). MDPI and/or the editor(s) disclaim responsibility for any injury to people or property resulting from any ideas, methods, instructions or products referred to in the content.

Share and Cite

MDPI and ACS Style

Ma, W.; Xiong, X.; Wang, J. Rapid Resilience Assessment and Weak Link Analysis of Power Systems Considering Uncertainties of Typhoon. Energies 2025, 18, 1731. https://doi.org/10.3390/en18071731

AMA Style

Ma W, Xiong X, Wang J. Rapid Resilience Assessment and Weak Link Analysis of Power Systems Considering Uncertainties of Typhoon. Energies. 2025; 18(7):1731. https://doi.org/10.3390/en18071731

Chicago/Turabian Style

Ma, Wenqing, Xiaofu Xiong, and Jian Wang. 2025. "Rapid Resilience Assessment and Weak Link Analysis of Power Systems Considering Uncertainties of Typhoon" Energies 18, no. 7: 1731. https://doi.org/10.3390/en18071731

APA Style

Ma, W., Xiong, X., & Wang, J. (2025). Rapid Resilience Assessment and Weak Link Analysis of Power Systems Considering Uncertainties of Typhoon. Energies, 18(7), 1731. https://doi.org/10.3390/en18071731

Note that from the first issue of 2016, this journal uses article numbers instead of page numbers. See further details here.

Article Metrics

Back to TopTop