A New Protection Scheme of Intersystem Fault for AC/DC Hybrid Overhead Lines
Abstract
1. Introduction
2. AC/DC Hybrid Overhead Line System
2.1. System Structure and AC/DC Intersystem Faults
2.2. HVDC Main Protection Configuration
2.3. Adaptability of HVDC Main Protection in Intersystem Fault Scenario
3. New Protection Scheme of HPOTLs
3.1. Analysis of Current Characteristics in the Intersystem Fault Scenario
3.2. Intersystem Fault Criterion Based on Current Similarity
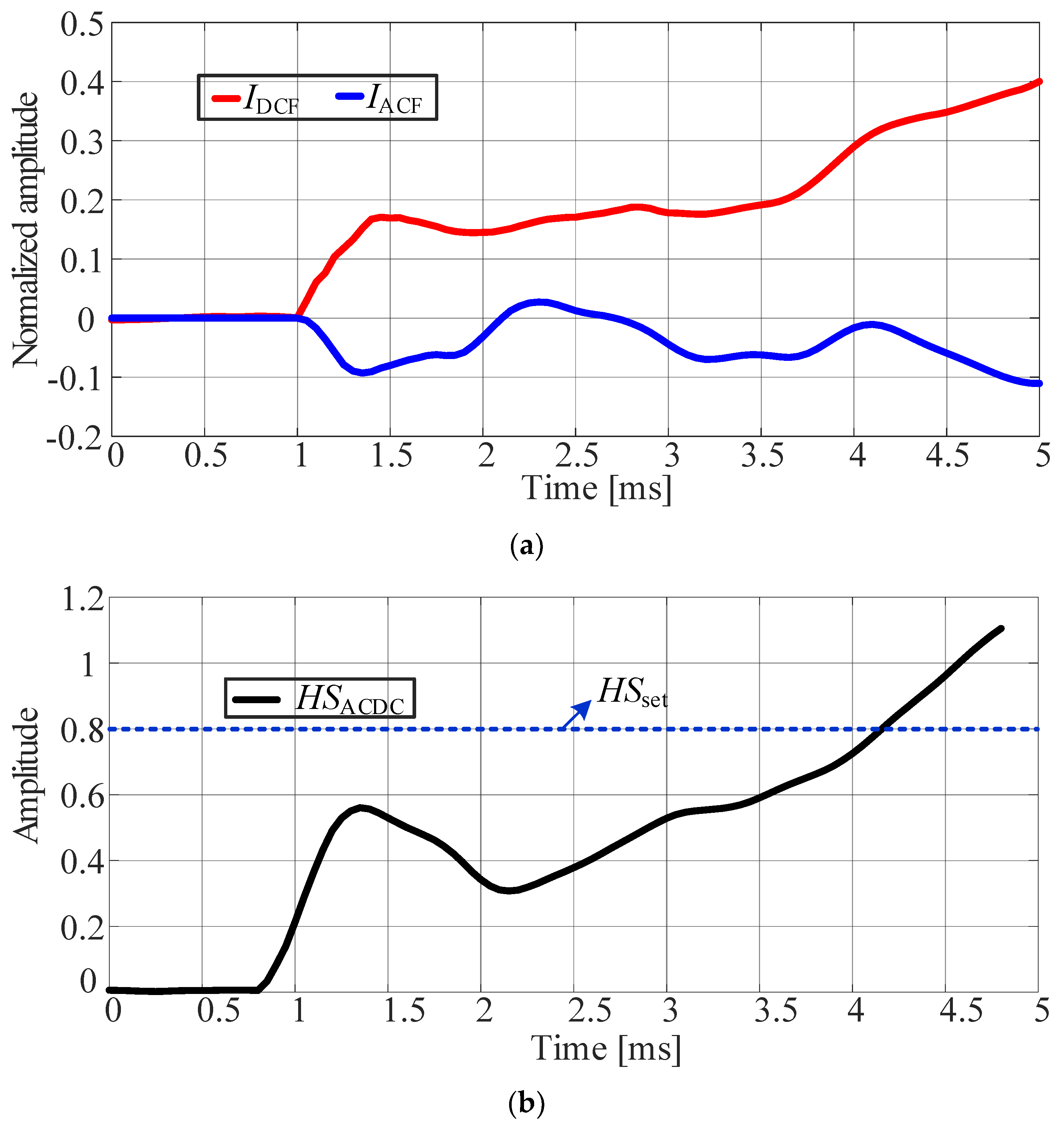
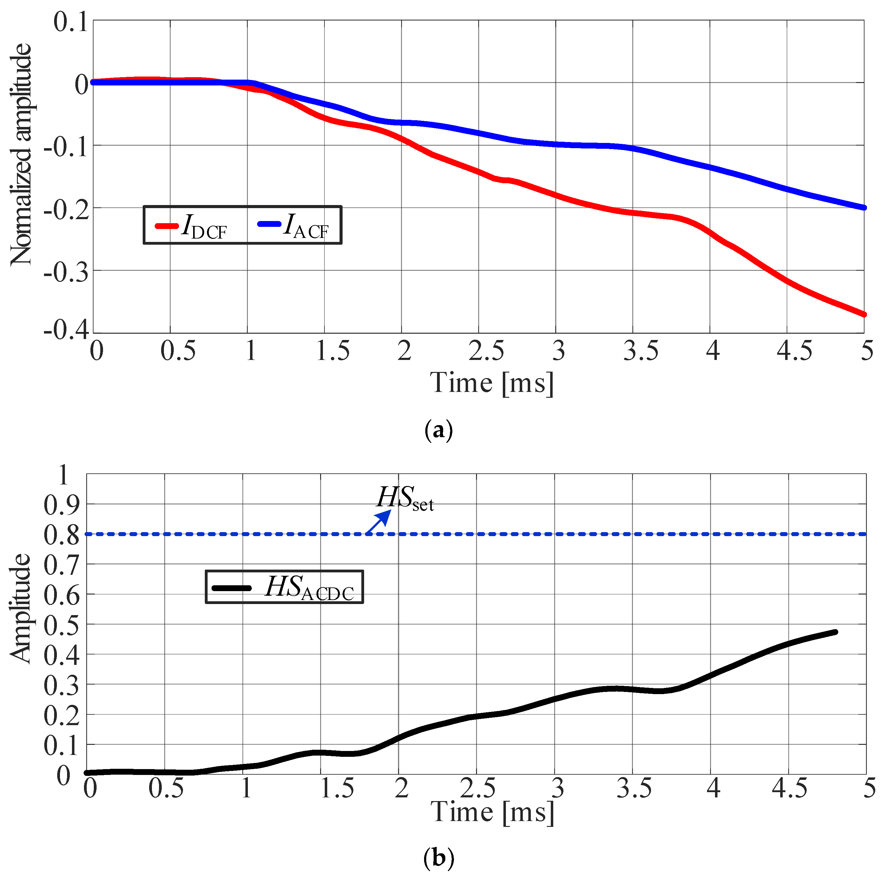
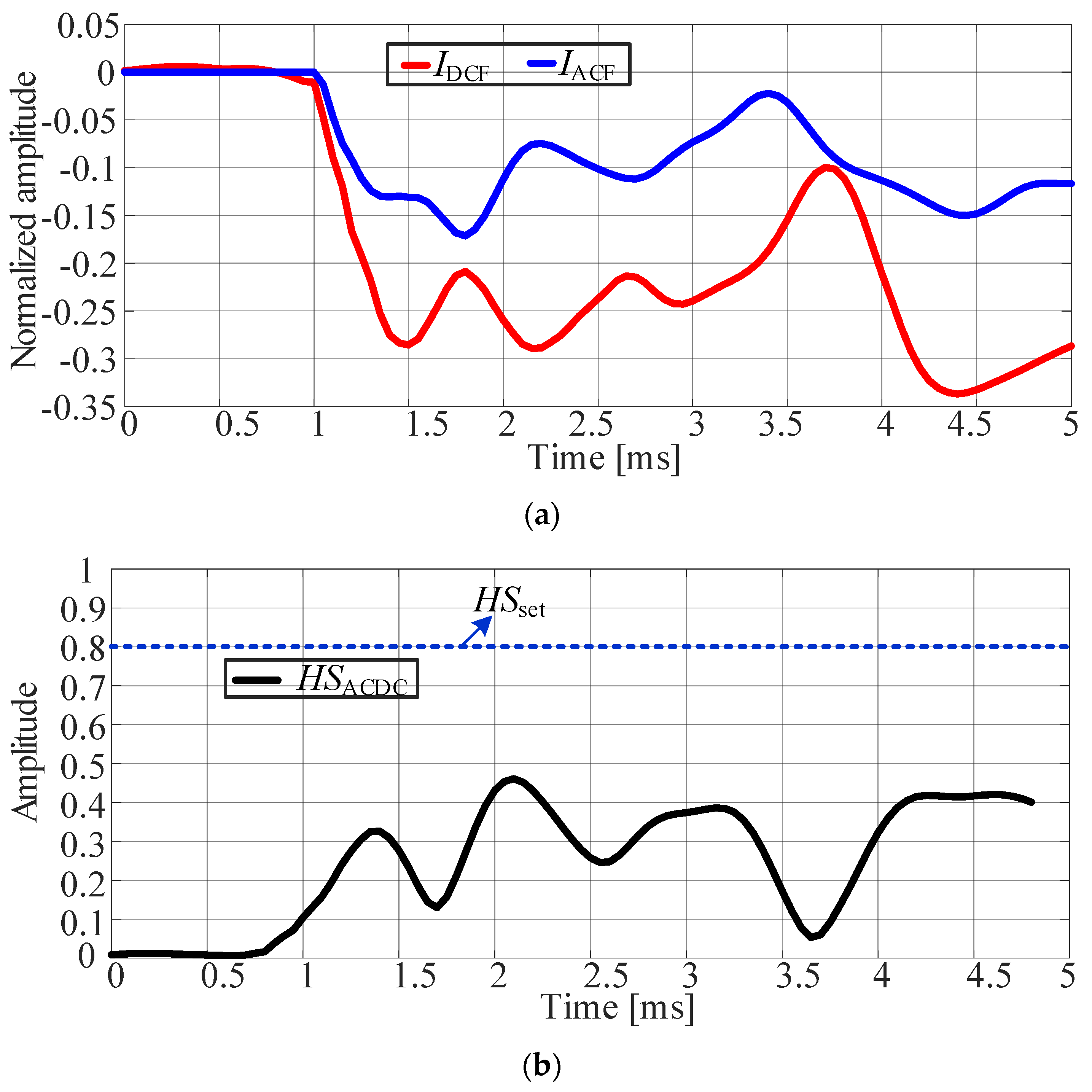
4. Experimental Results and Analysis
4.1. Protection Test in Case of Non-Intersystem Fault
4.2. Protection Test in Case of Intersystem Fault
4.3. Comparative Analysis
5. Conclusions
Author Contributions
Funding
Institutional Review Board Statement
Informed Consent Statement
Data Availability Statement
Conflicts of Interest
References
- Liu, L.-Q.; Liu, C.-X. VSCs-HVDC may improve the electrical grid architecture in future world. Renew. Sust. Energy Rev. 2016, 62, 1162. [Google Scholar] [CrossRef]
- Dargahi, V.; Sadigh, A.K.; Pahlavani, M.R.A.; Shoulaie, A. DC (direct current) voltage source reduction in stacked multicell converter based energy systems. Energy 2012, 46, 649. [Google Scholar] [CrossRef]
- Yang, Y.; Zhang, S.; Xiao, Y. Optimal design of distributed energy resource systems coupled with energy distribution networks. Energy 2015, 85, 433. [Google Scholar] [CrossRef]
- Humpert, C. Long distance transmission systems for the future electricity supply—Analysis of possibilities and restrictions. Energy 2012, 48, 278. [Google Scholar] [CrossRef]
- Ponitka, J.; Boettner, S. Challenges of future energy landscapes in Germany—A nature conservation perspective. Energy Sustain. Soc. 2020, 10, 17. [Google Scholar] [CrossRef]
- Mahfouz, M.M.; El-Sayed, M.A. One-end protection algorithm for offshore wind farm HVDC transmission based on travelling waves and cross-alienation. Elec. Power Syst. Res. 2020, 185, 106355. [Google Scholar] [CrossRef]
- Pipelzadeh, Y.; Chaudhuri, B.; Green, T.C.; Adapa, R. Role of western HVDC link in stability of future Great Britain (GB) transmission system. In Proceedings of the 2015 IEEE Power & Energy Society General Meeting, Denver, CO, USA, 26–30 July 2015. [Google Scholar] [CrossRef]
- Düllmann, P.; Klein, C.; Winter, P.; Köhler, H.; Steglich, M.; Teuwsen, J.; Leterme, W. Preventive DC-side decoupling: A system integrity protection scheme to limit the impact of DC faults in offshore multi-terminal HVDC systems. IET Gener. Transm. Distrib. 2024, 18, 3801–3816. [Google Scholar] [CrossRef]
- Qiao, J.; Zou, J.; Zhang, J.; Lu, Y.; Lee, J.; Ju, M.-N. Space-time pattern of ion flow under AC/DC hybrid overhead lines and its application. IEEE Trans. Power Deliv. 2017, 33, 2226. [Google Scholar] [CrossRef]
- Yang, Y.; Lu, J.; Lei, Y. A calculation method for the hybrid electric field under UHVAC and UHVDC transmission lines in the same corridor. IEEE Trans. Power Deliv. 2010, 25, 1146. [Google Scholar] [CrossRef]
- Prommetta, J.; Schindler, J.; Jaeger, J.; Keil, T.; Butterer, C.; Ebner, G. Protection Coordination of AC/DC Intersystem Faults in Hybrid Transmission Grids. IEEE Trans. Power Deliv. 2020, 35, 2896. [Google Scholar] [CrossRef]
- Wang, X.; Kong, M. Transient characteristics and protection coordination strategy of hybrid AC/DC system based on modular multilevel converters under AC/DC transmission lines touching fault. Energy Rep. 2024, 11, 4213. [Google Scholar] [CrossRef]
- Ebner, G.; Döring, D.; Schettler, F.; Würflinger, K.; Zeller, M. Fault handling at hybrid high-voltage AC/DC transmission lines with VSC converters. IEEE Trans. Power Deliv. 2018, 33, 901. [Google Scholar] [CrossRef]
- Wang, W.; Li, B.; Li, B.; He, J.; Yao, B.; Liu, Y. Intersystem fault between MMC-HVDC and AC systems and its impact on DC/AC protection. IET Gener. Transm. Distrib. 2022, 16, 938. [Google Scholar] [CrossRef]
- Sun, Q.; Li, B.; He, J.; Li, Y. Measured Impedance and Threshold Value of Electrode Line Impedance Supervision Based Protection in HVDC Transmission System. J. Mod. Power Syst. Clean. Energy 2023, 11, 1294. [Google Scholar] [CrossRef]
- Zhang, Y.; Tai, N.; Xu, B. Fault Analysis and Traveling-Wave Protection Scheme for Bipolar HVDC Lines. IEEE Trans. Power Deliv. 2012, 27, 1583. [Google Scholar] [CrossRef]
- Liu, X.; Osman, A.H.; Malik, O.P. Hybrid Traveling Wave/Boundary Protection for Monopolar HVDC Line. IEEE Trans. Power Deliv. 2009, 24, 569. [Google Scholar] [CrossRef]
- Mirhosseini, S.S.; Jamali, S.; Popov, M. Non-unit protection method for long transmission lines in MTDC grids. IET Gener. Transmiss. Distrib. 2021, 15, 1674. [Google Scholar] [CrossRef]
- Zhang, C.; Huang, J.; Song, G.; Dong, X. Non-unitultra-high-speed line protection for multi-terminal hybrid LCC/MMC HVDC system and its ap-plication research. IEEE Trans. Power Del. 2021, 36, 2825. [Google Scholar] [CrossRef]
- Wang, D.; Hou, M. Travelling wave fault location algorithm for LCC-MMC-MTDC hybrid transmission system based on Hilbert-Huang transform. Int. J. Elect. Power Energy Syst. 2020, 121, 106125. [Google Scholar] [CrossRef]
- Huang, Q.; Zou, G.; Zhang, S.; Gao, H. A Pilot Protection Scheme of DC Lines for Multi-Terminal HVDC Grid. IEEE Trans. Power Del. 2019, 34, 1957. [Google Scholar] [CrossRef]
- Yang, Y.; Huang, C.; Xu, Q. A Fault Location Method Suitable for Low-Voltage DC Line. IEEE Trans. Power Deliv. 2019, 35, 194. [Google Scholar] [CrossRef]
- Adharapurapu, H.L.; Bhimasingu, R. A novel algorithm for improving the differential protection of power transmission system. Elec. Power Syst. Res. 2020, 181, 106183. [Google Scholar] [CrossRef]
- Hashemi, S.M.; Sanaye-Pasand, M. Current-Based Out-of-Step Detection Method to Enhance Line Differential Protection. IEEE Trans. Power Del. 2018, 34, 448. [Google Scholar] [CrossRef]
- Xu, Z.Y.; Du, Z.Q.; Ran, L.; Wu, Y.K.; Yang, Q.X.; He, J.L. A current differential relay for a 1000-kV UHV transmission line. IEEE Trans. Power Del. 2007, 22, 1392. [Google Scholar] [CrossRef]
- Ma, J.; Pei, X.; Ma, W.; Wang, Z. A new transmission line pilot differential protection principle using virtual impedance of fault component. Can. J. Elect. Comput. Eng. 2015, 38, 37. [Google Scholar] [CrossRef]
- Fayazi, M.; Saffarian, A.; Joorabian, M.; Monadi, M. An AI-based fault detection and classification method for hybrid parallel HVAC/HVDC overhead transmission lines. Elec. Power Syst. Res. 2024, 238, 111083. [Google Scholar] [CrossRef]
- Mehdi, A.; Hussain, A.; Song, J.-S.; Kim, C.-H. A robust unified data-driven protection scheme for hybrid AC/DC transmission lines. Elec. Power Syst. Res. 2024, 233, 110453. [Google Scholar] [CrossRef]
- Guo, C.; Zhang, Y.; Gole, A.; Zhao, C.; Gole, A. Analysis of dual-infeed HVDC with LCC-HVDC and VSC-HVDC. In Proceedings of the 2013 IEEE Power & Energy Society General Meeting, Vancouver, BC, Canada, 21–25 July 2013; IEEE: Piscataway, NJ, USA, 2013. [Google Scholar]
- Li, B.; Li, Y.; Li, B.; Chen, X.; Ji, L.; Hong, Q. A novel travelling-wave direction criterion for hybrid multi-terminal HVDC system. IET Gener. Transm. Distrib. 2024, 18, 3765–3776. [Google Scholar] [CrossRef]













| DC System Parameter | AC System Parameter | ||
|---|---|---|---|
| Length of line | 150 km | Length of line | 90 km |
| Rated voltage | ±200 kV | Rated voltage | 500 kV |
| DC reactor | 150 mH | Neutral ground mode | Solidly |
| Sampling rate | 20 kHz | Sampling rate | 20 kHz |
Disclaimer/Publisher’s Note: The statements, opinions and data contained in all publications are solely those of the individual author(s) and contributor(s) and not of MDPI and/or the editor(s). MDPI and/or the editor(s) disclaim responsibility for any injury to people or property resulting from any ideas, methods, instructions or products referred to in the content. |
© 2025 by the authors. Licensee MDPI, Basel, Switzerland. This article is an open access article distributed under the terms and conditions of the Creative Commons Attribution (CC BY) license (https://creativecommons.org/licenses/by/4.0/).
Share and Cite
Tao, Y.; Kong, X.; Wang, C.; Zheng, J.; Bin, Z.; Lin, J.; Xu, S. A New Protection Scheme of Intersystem Fault for AC/DC Hybrid Overhead Lines. Energies 2025, 18, 1716. https://doi.org/10.3390/en18071716
Tao Y, Kong X, Wang C, Zheng J, Bin Z, Lin J, Xu S. A New Protection Scheme of Intersystem Fault for AC/DC Hybrid Overhead Lines. Energies. 2025; 18(7):1716. https://doi.org/10.3390/en18071716
Chicago/Turabian StyleTao, Yan, Xiangping Kong, Chenqing Wang, Junchao Zheng, Zijun Bin, Jinjiao Lin, and Sudi Xu. 2025. "A New Protection Scheme of Intersystem Fault for AC/DC Hybrid Overhead Lines" Energies 18, no. 7: 1716. https://doi.org/10.3390/en18071716
APA StyleTao, Y., Kong, X., Wang, C., Zheng, J., Bin, Z., Lin, J., & Xu, S. (2025). A New Protection Scheme of Intersystem Fault for AC/DC Hybrid Overhead Lines. Energies, 18(7), 1716. https://doi.org/10.3390/en18071716
