Next Article in Journal
Residential Electricity Demand Modelling: Validation of a Behavioural Agent-Based Approach
Next Article in Special Issue
Input Power Quality Enhancement in Controlled Single-Phase AC to DC Converter
Previous Article in Journal
A Comparative Analysis of Artificial Intelligence Techniques for Single Open-Circuit Fault Detection in a Packed E-Cell Inverter
Previous Article in Special Issue
Robust Wireless Power Transfer for EVs by Self-Oscillating Controlled Inverters and Identical Single-Coil Transmitting and Receiving Pads
 
 
Font Type:
Arial Georgia Verdana
Font Size:
Aa Aa Aa
Line Spacing:
Column Width:
Background:
Article

Influence of Construction of High Frequency Air Transformers for SMPS on Parameters of Their Compact Thermal Model †

Department of Power Electronics, Gdynia Maritime University, Morska 81-87, 81-225 Gdynia, Poland
*
Author to whom correspondence should be addressed.
This paper is an extended version of our paper published in 2023 IEEE 17th International Conference on Compatibility, Power Electronics and Power Engineering (CPE-POWERENG), Tallinn, Estonia, 14–16 June 2023; pp. 1–5. https://doi.org/10.1109/CPE-POWERENG58103.2023.10227431.
Energies 2025, 18(6), 1313; https://doi.org/10.3390/en18061313
Submission received: 29 December 2024 / Revised: 9 February 2025 / Accepted: 5 March 2025 / Published: 7 March 2025

Abstract

High frequency air transformers for switched-mode power supply (SMPS) are important components of wireless power transfer systems (WPT). This paper describes a compact thermal model of such transformers. This model takes into account self-heating in all components of such a transformer and mutual thermal couplings between these components. Methods of measurement of self- and transfer transient thermal impedances characterizing properties of the considered devices are proposed. The form of the elaborated model is described together with a parameters estimation method. Some results of measurements and calculations illustrating an influence of selected factors on waveforms of self- and transfer transient thermal impedances obtained for different constructions of the tested devices are shown and discussed. Two kinds of constructions of the air transformers are considered—with ferrite plates and without them. Different dimensions of the coils and different distances between them are considered. A good agreement is obtained between the results of measurements and simulations for all the considered constructions of the tested transformers operating in different conditions.

1. Introduction

Magnetic elements (inductors and transformers) are important components of switched-mode power conversion systems. They are used both in systems operating at low frequency (50 or 60 Hz) occurring in the power grid on land or on sea ships [1,2], as well as in switch-mode power conversion systems [3,4,5]. From the point of view of design, transformers used in switched-mode power supply (SMPS) systems can be divided into three groups presented in Table 1.
Classical transformers contain a ferromagnetic core and windings in the form of solenoid coils wound with a copper wire. Their disadvantage is the occurrence of high parasitic winding capacitances, which limit the upper frequency range at which they can be used. In turn, planar transformers contain a ferromagnetic core, most often ferrite [4], and spiral windings in the form of copper paths on a printed circuit board. They are dedicated to operate in the high frequency range, at which the windings contain a small number of turns. In both types of transformers, the presence of cores allows the use of a small number of turns in the windings, but at the same time causes power losses that increase with increasing frequency [4]. Air transformers do not contain a ferromagnetic core, and their windings have a form of spiral coils made of a copper wire [6,7,8]. By eliminating losses in the core, it is possible to effectively use such transformers in the frequency range reaching single megahertz [9,10].
Increasing the operating frequency of switched-mode power supply (SMPS) systems has become possible thanks to the use of power semiconductor devices made of materials characterized by wide band gap. To the mentioned materials belong, e.g., silicon carbide (SiC) and gallium nitride (GaN) [11,12]. Currently, the factors limiting a further increase in this frequency are magnetic elements. They typically contain ferromagnetic cores, in which losses increase as a function of frequency, and at frequencies exceeding several hundred kilohertz they are dominant [13].
Air transformers and air inductors are more and more frequently used in wireless power transfer (WPT) systems [8,11]. More and more papers present also the results of the design and construction of SMPS systems with air transformers [14,15,16]. However, when designing such transformers, there are a number of problems that are negligible for transformers with a ferromagnetic core. In particular, it is worth noting that electrical, magnetic, and thermal phenomena occur in these elements, affecting the range of their permissible operation [9,17].
In Ref. [18], the electrical and magnetic phenomena occurring in an air transformer were analyzed, but thermal phenomena were omitted. In turn, an air transformer designed for the HVDC system was described in [19]. In the cited paper, thermal phenomena were also omitted, i.e., self-heating and mutual thermal couplings between the transformer windings. Paper [20] contains the results of calculations performed by the finite element method with respect to thermal properties of the HTS (high temperature superconductor) air transformer. These analyses concerned a simplified case in which the individual windings are not thermally coupled.
In engineering practice, computational tools are needed that allow taking into account the influence of various factors on the properties of the designed systems. In the case of power electronics systems, SPICE [21] is a popular tool. It contains built-in models of many electronic components, but conducting thermal analyses with its help requires the use of an appropriate circuit analog representing the thermal model of the analyzed system [22,23].
A lot of thermal models of semiconductor devices [22,24,25] and magnetic components [23,26,27,28] are presented in the literature. Papers [29,30,31,32,33] describe different kinds of thermal models of transformers. However, they have some disadvantages. The considered models use the finite element method, making it possible to obtain the temperature distribution in the transformer, but in these models the uniform distribution of power loss density in the whole tested component is assumed. These models also are dedicated only to transformers of the classical construction. As shown in paper [23], in order to properly calculate the temperatures of all the components of the transformer, both self-heating phenomena in each component and mutual thermal couplings between each pair of these components have to be taken into account.
Paper [34] shows that a compact thermal model can give similar transformer temperature values as a microscopic model dedicated to the finite element method if mutual thermal couplings between transformer components are neglected.
In turn, paper [35] presents an electrothermal model of a transformer making it possible to assess insulation degradation. This degradation is a result of thermal aging of the insulating paper.
In turn, the thermal models described in [36,37] also do not take into account the dependence of the efficiency of the removal of heat generated in the transformer on the power dissipated in it. This efficiency is characterized by such thermal parameters as transient thermal impedance Zth(t) and thermal resistance Rth.
As is well known [22,38,39], thermal parameters depend on such factors as the construction of a cooling system, the value of ambient temperature, dissipated power, and dimensions of the tested devices. Therefore, these factors should be taken into account in thermal models of electronic devices.
In Ref. [17], a compact thermal model of an air transformer included in a low-power wireless power transfer system was proposed. The cited paper indicates factors that affect the efficiency of the transfer of the heat generated in the windings. This model is a subcircuit for the SPICE program and describes the simplest design of an air transformer containing only two windings.
The aim of this paper is to formulate and experimentally verify the usefulness of the compact thermal model of air transformers of different constructions. Such a model for an air transformer containing ferrite plates is presented for the first time. In the formulated model an influence of such factors as power losses in the primary winding, the presence of ferrite plates, and the distance between the windings on the parameters of the formulated model are demonstrated. This model has the form of a subcircuit for the SPICE software—PSPICE A/D ver. 17.2 (Cadence Design Systems, San Jose, CA, USA)and makes it possible to calculate the temperature of each winding and each ferrite plate. In the model, both self-heating in each transformer’s components and mutual thermal couplings between each pair of these components are taken into account. The correctness of the model is verified experimentally for air transformers of different constructions. This verification is performed at different values of the dissipated power and a different distance between the coils occurring in the tested transformer. The differences between the temperatures of all the components of the tested transformer are illustrated and discussed.
Section 2 presents the form of the elaborated thermal model. The used measurement method is described in Section 3. The tested transformers are described in Section 4. Finally, the results of the measurements and calculations are presented and discussed in Section 5.

2. Model Form

The developed thermal model of an air transformer belongs to the group of compact thermal models of electronic components. Such kinds of models make it possible to calculate waveforms of temperatures of electronic components, taking into account thermal phenomena occurring in these components. The use of such models formulated for transformers enables the obtaining of the temperatures of each winding, core, or part of these components for the known waveforms of the power dissipated in the mentioned transformer’s parts. The obtained results of calculations make it possible to fast verify if the tested devices operate in a safe operating area without any measurements.
The model described in this section has the form of a subcircuit for the SPICE software. The network representation of this model is presented in Figure 1.
In this model, the voltage in selected notes corresponds to the temperature of the transformer’s components. It allows for calculating the temperature of four components of such a transformer, i.e., the primary winding TW1, the secondary winding TW2, the first ferrite plate TF1, and the second ferrite plate TF2. For each of these components, a uniform temperature distribution was assumed, based on the results of the thermographic measurements presented in [40]. It was also assumed that the power is dissipated only in the windings. The relationship between the temperature of each winding and the power dissipated in it was characterized by means of the transient thermal impedance ZthW1(t) for the primary winding and ZthW2(t) for the secondary winding. The transient thermal impedances are represented by the networks occurring in blocks 1 and 2, respectively.
Mutual thermal couplings between the windings are characterized by transfer transient thermal impedance ZthW1W2(t). An increase in the windings’ temperatures resulting from mutual thermal couplings is calculated using blocks 3 and 4. Thermal couplings between the primary winding and the first ferrite plate are characterized by transfer transient thermal impedance ZthW1F1(t), represented by block 7. Thermal coupling between the secondary winding and the second ferrite plate are characterized by transfer transient thermal impedance ZthW2F2(t), represented by block 10. Thermal couplings between the primary winding and the second plate are characterized by transfer transient thermal impedance ZthW1F2(t), represented by block 11. On the other hand, thermal couplings between the secondary winding and the first plate are characterized by transfer transient thermal impedance ZthW2F1(t), represented by block 8. For air transformers without any ferrite plates blocks, 7–12 should be removed from this model.
The values of the above-mentioned transient thermal impedances depend on the power dissipated in the individual components and on the ambient temperature Ta. In turn, transfer transient thermal impedances depend on the distance between the coupled components [17].
According to the developed model, the time waveform of the temperature of the primary winding TW1(t) is equal to the voltage in node TW1; the temperature of secondary winding, the voltage in node TW2; the temperature of the first ferrite plate, the voltage in node TF1; and the temperature of the second ferrite plate, the voltage in node TF2. The voltage on sources V1, V2, V3, and V4 is equal to the ambient temperature Ta. Current sources describe power dissipated in the primary winding PW1 and in the secondary winding PW2.
Transient thermal impedances and transfer transient thermal impedances are described by the classic formula of the form [22]
Z t h t = R t h 1 j = 1 N a j e x p t τ t h j
where Rth denotes thermal resistance, and aj is the weigh factors corresponding to thermal time constants τthj, whereas N is the number of thermal time constants.
Thermal resistances RthW1 and RthW2 of the windings depend on the winding temperature. This dependence has the same form for both the windings. For the primary winding, it has the following form:
R t h W 1 = R t h W 10 e x p T W 1 T 0 W 1 b 1 W 1 + b 2 W 1
where RthW10, T0W1, b1W1, and b2W1 represent the model parameters.
Mutual thermal resistance between both the windings RthW1W2 and mutual thermal resistances between the windings and ferrite plates RthW1F1, RthW1F2, RthW2F1, and RthW2F2 depend on the mutual location of the windings. It is characterized by distance dy between these windings and the displacement dx between the axes of them. In the proposed model, it is assumed that the winding is glued to a ferrite plate and the distance between them is equal to 50% of the diameter d of the wire used to construct the windings. The dependence describing an influence of distances dy and dx on RthW1W2 has the form as follows [3]:
R t h W 1 W 2 = R t h m e x p d y α y 1 α x d x
where Rthm, αy, and αx are the model parameters.
In turn, mutual thermal resistances between the winding and the ferrite plate not glued to this winding, e.g., RthW1F2 is described as follows.
R t h W 1 F 2 = R t h w f e x p d y + d α y 1
where Rthwf and αy1 are the model parameters. Dependence (4) has the same form for secondary winding.
In the presented model, it is also assumed that the heat transfer has the same efficiency in both directions. This means that the proper pairs of transfer transient thermal impedances are the same: ZthW1W2(t) = ZthW2W1(t), ZthW1F2(t) = ZthF2W1(t) = ZthW2F1(t) = ZthF1W2(t).
The parameters values of the presented thermal model, used in Equations (1)–(4), are calculated with the local estimation method. The concept of this method is presented in [22]. This method uses the measurements of waveforms of transient thermal impedance and transfer transient thermal impedances occurring in the considered model. The measurements are performed in the wide range of the power dissipated in one winding and at different values of the distance between the windings. In these measurements, the set-up presented in the next section was used.

3. Measurement Set-Up

Thermal properties of the tested air transformers were characterized using the measuring set-up shown in Figure 2.
This set-up contains two separated networks used to supply of each winding of the tested transformer. The winding LW1 is supplied by the DC voltage sources VDC1, whereas the winding LW2 is supplied by the voltage source VDC2. Resistors R1 and R2 are used to limit windings’ currents. The analog-to-digital converter DAQ makes it possible to measure waveforms of voltage on each of the windings; the temperatures are measured using a pyrometer or thermoresistors Pt1000 glued to each winding and each ferrite plate. The pyrometer is used to measure the temperature of each winding and ferrite plates using the optical method. All the results measured by DAQ are registered by a PC.
The used DAQ makes it possible to measure voltages simultaneously in four channels. The resolution of this device is equal to 24 bits. The measurements could be performed with a different time step. The shortest possible value of this time step is equal to 20 μs. The measurement range of the measured voltage can be selected from −10 V to 10 V. The current biasing thermoresistors is equal to 1 mA. The voltage sources VDC1 and VDC2 produce voltages in the range from 0 to 20 V.
The individual transfer transient thermal impedances between the transformer components play the role of a heat sensor S or a heat source H and are calculated using the following formula
Z t h S H t = T S t T a I H V H
where TS(t) is the measured temperature waveform of the sensor at dissipating the power in the form of the Heaviside step in the heat source and the value equal to the product of the current IH flowing through this source and the voltage VH on this source. For example, during the measurements of transient thermal impedance of the winding, TS(t) is the winding’s temperature and voltage VH and current IH also refer to this winding. In turn, when measuring transfer transient thermal impedance between the windings, TS(t) represents the temperature of winding LR, whereas VH and IH refer to winding LT.
In the measurements of transfer transient thermal impedances, the sensor temperature is measured by an indirect electrical method. In this method, a thermoresistor is used as a temperature sensor. The measured temperature TS of the individual transformer components is used to determine the course of transfer transient thermal impedances between the windings or between the winding and each of the ferrite plates.

4. Investigated Transformers

The tests were carried out for two air transformers. The first one, hereinafter referred to as transformer A, contains only two windings, while the other one, hereinafter referred to as transformer B, contains two windings and two ferrite plates. The view of transformer A is shown in Figure 3, and transformer B in Figure 4.
For transformer A, the primary and secondary windings are made of two superimposed windings. The primary winding LW1 contains two layers of 10 turns. In turn, the secondary winding LW2 contains 2 × 8 turns. Both the windings are made of litz with a diameter of 1 mm. The outer diameter of these windings is equal to 40 mm and 42 mm, respectively.
For transformer B, three designs containing two identical windings were considered. The considered windings were wounded with a litz wire in a silk braid with a diameter of 1 mm. Three sizes of coils were used, referred to in the further part of the paper as follows: small coil, medium coil, and big coil. The internal diameter of each of them is 2.2 cm. The small coil contains 16 turns, and its external diameter is 5.6 cm. The medium coil contains 20 turns and its external diameter is 6.4 cm. The big coil has an external diameter of 8.4 cm and contains 27 turns. The tests were carried out for the above-mentioned coils placed on a ferrite plate made of BHIT material [41] of the dimensions of 100 mm × 100 mm × 4 mm and for coils operating without these plates.
The parameter values of the compact thermal model of the tested transformers were determined on the basis of some measurements and calculations. The measured parameters are transient thermal impedances of the windings and transfer transient thermal impedances between both the windings and between the windings and the ferrite plates. They should be performed for different values of the power dissipated in each winding and the distance between these windings. On the basis of the obtained results of measurements, the values of the parameters appearing in the Formula (1) were estimated for each of the measured waveforms with the use of the method presented in [42]. The coefficients appearing in the Formula (2) were estimated using the values of thermal resistances and transfer thermal resistances determined for different values of the power dissipated in each winding. Finally, the values of the parameters described in the Formulas (3) and (4) were calculated using the values of transfer thermal resistances measured for different values of the distances dx and dy.

5. Investigations Results

In order to show the correctness and practical usefulness of the presented model, some measurements and calculations were performed. Their results were presented as the dependences of the thermal parameters of the tested transformers on selected parameters characterizing different operating conditions. The measurements were performed using the measurement set-up presented in Section 3, whereas the calculations were made using the thermal model described in Section 2. In these calculations, the output current of sources PW1 and PW2 are described by the waveforms of the power dissipated in the primary and secondary windings, respectively. After performing a transient analysis, the obtained waveforms of voltages in nodes TW1, TW2, TF1, and TF2 correspond to temperatures of all the components of the tested transformers. The waveforms of the presented transient thermal impedances and transfer thermal impedances are calculated by dividing the proper excess of temperature of the selected transformer’s components over the ambient temperature through the dissipated power according to the definitions given, e.g., in [23]. In all the figures shown in this section, the lines denote the calculations results obtained using the presented model, whereas the results of measurements are marked with points.
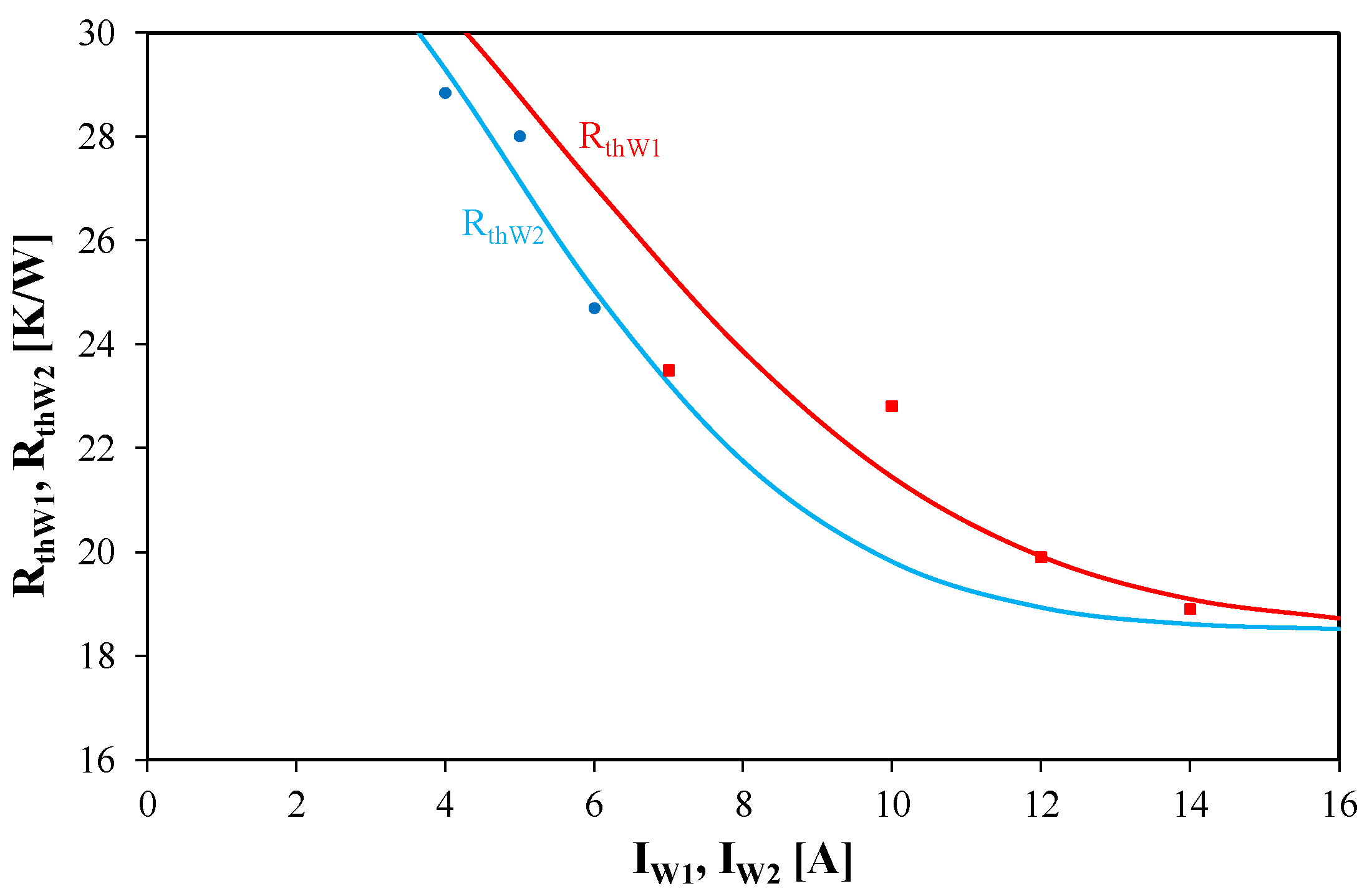
Figure 5 illustrates the dependence of thermal resistances of windings RthW1 and RthW2 on the currents flowing through these windings. The presented results correspond to the distances between the windings equal to dy = 0.8 mm and dx = 0.
As is visible, the calculations and measurement results are consistent. It is worth noting that dependences RthW1(IW1) and RthW2(IW2) are monotonically decreasing functions. Such a shape of these dependences is a result of improving the efficiency of heat convection when the temperature of the cooled device increases. This trend is the same as observed in power semiconductor devices [42]. At the same values of current the value of RthW1 is higher than RthW2. In the considered range of changes in current values the considered thermal resistances change even by 25%.
Figure 6 illustrates the influence of the distance dx between the coils on transfer thermal resistance RthW1W2 between these coils.
It is easy to observe that the dependence RthW1W2(dx) can be approximated using a linearly decreasing function with satisfied accuracy. In the considered range of change in the values of a distance dx, transfer thermal resistance RthW1W2 decreases up to 20%. It is worth noting that the values of RthW1W2 are even by 50% lower than the values of RthW1.
Figure 7 presents the dependence of RthW1W2 on the distance dy between the coils. This dependence was obtained at current IT = 14.5 A.
It is visible that the dependence RthW1W2(dy) is described by an exponentially decreasing function. An increase in the value of dy from 0 to 18 mm causes even fourfold decrease in RthW1W2.
The results presented in Figure 5, Figure 6 and Figure 7 prove that the equations proposed in Section 2 describe the measurement results with good accuracy. The mentioned dependences describe thermal properties of an air transformer at the steady state only. Table 2 presents the values of parameters describing thermal time constants occurring in the compact thermal model of transformer A.
As is visible, the waveform ZthW1(t) is described by three thermal time constants of the values of the range from 1 ms to over 280 s. In contrast, the waveform ZthW1W2(t) is described using only one thermal time constant of the value 488.2 s. Such values of thermal time constants denote that a thermally steady state can be observed about 2500 s after switching on the power dissipated in the tested transformer.
The next group of measurements was carried out for type B transformers containing two identical windings. The results of measurements of thermal parameters of an air transformer with the windings placed on ferrite plates are presented in the further part of this section.
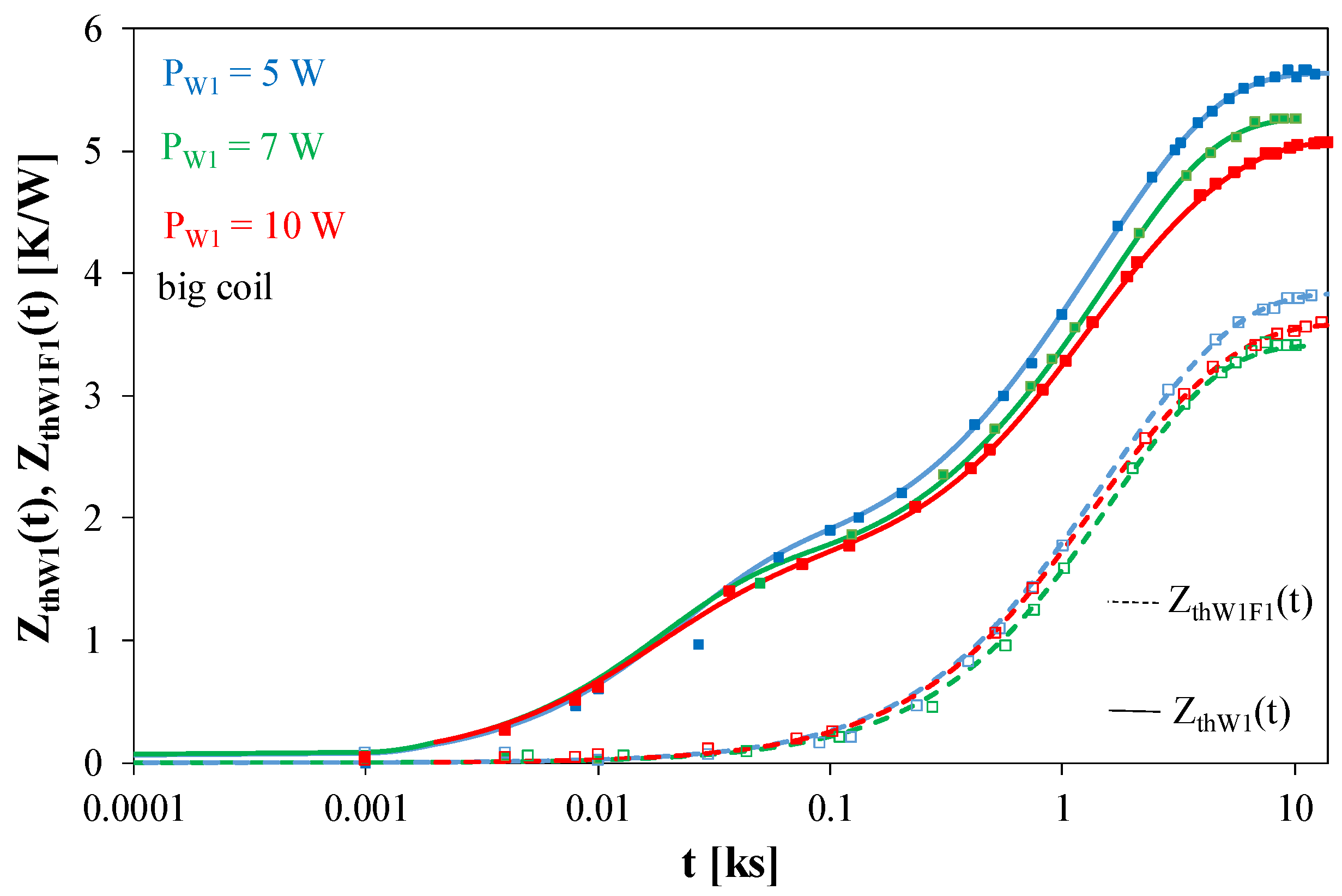
Figure 8 and Figure 9 illustrate the effect of using a ferrite plate on transient thermal impedance waveforms of an air-core transformer with small coils (Figure 8) and big coils (Figure 9) at selected values of the power dissipated in it.
Figure 8 shows that the use of a ferrite plate causes a decrease in the value of ZthW1(t) at the steady state. The change in this value is bigger for the higher of the considered values of the dissipated power and reaches as much as 50%. It is also worth noting that for the transformer without a ferrite plate, the thermal steady state is achieved much earlier. It is visible already for t > 2000 s, and for the transformer with a ferrite plate—for t > 20,000 s.
As can be seen in Figure 9, for times t < 20 s the waveforms obtained for both the transformer designs are practically identical, while for longer times there is a clear delay in the waveform obtained for the transformer with a ferrite plate. For this transformer, the steady state was obtained after almost 10,000 s, and for the transformer without a plate after about 1000 s. In the steady state, the values of ZthW1(t) for the transformer without a ferrite plate were even 40% higher than for the transformer without such a plate.
Figure 10, Figure 11 and Figure 12 illustrate the influence of the power dissipated in a transformer with a ferrite plate on transient thermal impedance ZthW1(t) and transfer transient thermal impedance ZthW1F1(t) waveforms. Figure 10 presents a transformer with small coils, Figure 11 a transformer with medium coils, and Figure 12 a transformer with big coils.
As can be seen in Figure 10, an increase in the value of the dissipated power improves the cooling efficiency of the tested transformer. This is manifested by a decrease in the value of both transient thermal impedance ZthW1(t) and transfer transient thermal impedance ZthW1F1(t). The measured values of ZthW1F1(t) are almost twice as low as the value of ZthW1(t). It is also worth noticing that the temperature of the ferrite plate starts increasing about 20 s after the start of heating the coil.
In the case of the ZthW1(t) waveforms shown in Figure 11, it can be seen that an increase in the value of the power dissipated in the winding causes a decrease in the value of the measured parameter by up to 15%. In turn, in the case of ZthW1F1(t) measurements, it can be observed that the waveform ZthW1F1(t) changes slightly with power changes. It is worth noting that the waveform ZthW1F1(t) is significantly delayed in relation to the waveform ZthW1(t).
As can be observed in Figure 12, the values of ZthW1F1(t) are 30% lower than the values of ZthW1F1(t). The delay of the waveform ZthW1F1(t) in relation to ZthW1F1(t) is about 20 s. Under the influence of changes in the power value, the values of each of the parameters considered changed by up to 15%.
Figure 13 and Figure 14 compare the transient thermal impedance waveforms of a transformer without a ferrite plate (Figure 13) and with a ferrite plate (Figure 14) containing the windings of different sizes.
As can be seen in Figure 13, with an increase in the size of the windings, lower values of transient thermal impedance are obtained. Between the biggest and the smallest windings, the values of this parameter differ by as much as 35%. There is practically no visible influence of the coil size on the settling time of the considered waveforms.
It is shown in Figure 14 that at the same value of the dissipated power, the best efficiency of heat removal is observed for the transformer containing the big coil. The value of ZthW1(t) of this transformer obtained at the steady state is 40% lower than for the transformer containing small coils. The necessary time to obtain the steady state is the highest for the transformer with small coils. The waveforms of ZthW1F1(t) are smaller than ZthW1(t). For the transformer with small coils, the considered waveforms differ twice. For the transformer with big coils, such a difference does not exceed 40%.
Analyzing the measurement results presented above, it can be seen that the thermal resistance of the windings for both the transformers is a decreasing function of the coil size, while for the transformer with a ferrite plate, significantly lower (even by 35%) thermal resistance values were obtained. In turn, the transfer thermal resistance between the winding and the ferrite plate for each of the transformers under consideration changes slightly (only by 10%) and is even twice as small as the transfer thermal resistance between the winding and the ferrite plate. The biggest difference between the thermal resistance of the winding and the transfer thermal resistance between the winding and the ferrite plate occurs for small coils and the smallest for big coils.
Figure 15, Figure 16 and Figure 17 show the spectra of thermal time constants determined for the considered transformers operating without a ferrite plate (Figure 15) and with this plate (Figure 16 and Figure 17). In these figures, red lines correspond to the transformer with small coils, blue lines to the transformer with medium coils, and black lines to the transformer with big coils.
As can be seen in Figure 15, for the transformers operating without a ferrite plate, there are three to four thermal time constants in the spectrum. Their values are in the range from 10 to 5000 s. The dominant thermal time constant has a value in the range from 70 to 200 s.
In Figure 16, it can be seen that after placing the transformer windings on the ferrite plate, two dominant thermal time constants are visible with the values close to 10 s and 1000 s. The thermal time constants with the values close to 1000 s related to the heat capacitance introduced to the cooling system by the ferrite plate are of utmost significance. For transformers with medium and small coils, thermal time constants with values of about 5000 s occur.
It can be seen from Figure 17 that thermal time constants describing the thermal couplings between the transformer winding and the ferrite plate have the values exceeding 800 s. For each of the tested transformers, the dominant thermal time constant has a value of about 1000 s. The longest thermal time constant of about 15,000 s was determined for the transformer containing medium coils.
Figure 18 illustrates the influence of the distance dy between the coils on the courses of self- and transfer transient thermal impedances of the tested transformer. The measurements were made with the power dissipated in the primary winding equal to 8 W. The waveforms of ZthW1(t) are given in Figure 18a, the waveforms of ZthW1F1(t) in Figure 18b, the waveforms of ZthW1W2(t) in Figure 18c, and the waveforms of ZthW1F2(t) in Figure 18d.
As can be observed, the change in the distance between the coils only slightly affects the self-transient thermal impedance of the primary winding ZthW1(t) and the transfer transient thermal impedance between this winding and the adjacent ferrite plate ZthW1F1(t). In turn, significant changes, exceeding 50%, are observed for the transfer transient thermal impedances ZthW1W2(t) and ZthW1F2(t). It is visible that an increase in the distance dy causes a decrease in the values of ZthW1W2(t) and ZthW1F2(t).
Figure 19 presents the calculated and measured temperature waveforms of each component of the transformer with big coils obtained during cooling after reaching the steady state with the power dissipation of 8 W in the primary winding. The tests were carried out with a distance between the windings of 1 mm.
As can be seen, at the moment of starting the cooling, the highest temperature was in the primary winding and the ferrite plate to which this winding was glued. The temperature of TW1 exceeded 80 °C, and the temperature of TF1—65 °C. The secondary winding had a temperature only 3 °C lower than the temperature of TF1. The ferrite plate to which the secondary winding was glued was the coldest. Its temperature only slightly exceeded 42 °C. The cooling process started the fastest, after just a few seconds, for both the windings. The ferrite plates began to cool down after about 100 s after the winding power supply was turned off. It took as much as 3 h to fully cool all the transformer’s components to the ambient temperature. It can be seen that the temperature of none of the components exceeds the dangerous value for the tested device. It is worth adding that the results of the calculations and measurements differ very little, which proves the practical usefulness of the presented model.

6. Conclusions

This paper presents a compact thermal model of an air transformer containing ferrite plates. The proposed model takes into account both self-heating in each winding, mutual thermal couplings between the windings, and mutual thermal couplings between each windings and ferrite plates. Analytical dependences describing the proposed model were formulated. These dependences describe the influence of the power lost in the windings and the distance between them on thermal resistances of the windings, the transfer thermal resistance between these windings and the transfer thermal resistance between the windings and the ferrite plates. Using the proposed model, it is possible to calculate the temperature of each component of the tested transformers (each winding and each ferrite plate).
The practical usability of the presented model was demonstrated for various constructions of air transformers. The considerations included structures consisting of different air coils and transformers containing pairs of identical air coils of different sizes cooperating with ferrite plates. In all cases, it was shown that the developed thermal model provides a good agreement between the results of calculations and measurements.
The presented research results confirmed that thermal parameters of the transformers under consideration depend on their design and operating conditions. Also the obtained results of measurements and calculations are valuable. They illustrate an influence of selected factors on the parameters describing the efficiency of the removal of the heat generated in the coils. For example, an increase in the size of the coils causes an increase in thermal capacitance and a decrease in thermal resistance. The use of ferrite plates improves the efficiency of heat dissipation generated in the transformer windings. An increase in the distance between the coils results in a decrease in the value of transfer transient thermal impedance.
The proposed model can be usable for designers of wireless power transfer (WPT) systems. This model allows for performing more accurate simulations of such a system.

Author Contributions

Conceptualization (K.G. and K.D.); methodology (K.G. and K.D.); investigation (K.D. and K.G.); writing—original draft preparation (K.G. and K.D.); writing—review and editing (K.G. and K.D.); visualization (K.G. and K.D.); supervision (K.G.). All authors have read and agreed to the published version of the manuscript.

Funding

This research received no external funding.

Data Availability Statement

The presented experimental data can be made available on request.

Conflicts of Interest

The authors declare no conflicts of interest.

References

  1. Detka, K.; Muc, A.; Górecki, K. Selected Problems Related to On-Shore Power Supply for Sea-Going Ships. In Proceedings of the 2024 IEEE 18th International Conference on Compatibility, Power Electronics and Power Engineering (CPE-POWERENG), Gdynia, Poland, 24–26 June 2024; pp. 1–5. [Google Scholar] [CrossRef]
  2. Krause, C. Power transformer insulation–history, technology and design. IEEE Trans. Dielectr. Electr. Insul. 2012, 19, 1941–1947. [Google Scholar] [CrossRef]
  3. Barlik, R.; Nowak, M. Energoelektronika Elementy Podzespoły Układy; Wydawnictwo Politechniki Warszawskiej: Warsaw, Poland, 2014. [Google Scholar]
  4. Van den Bossche, A.; Valchev, V. Inductor and Transformers for Power Electronic; CRC Press: Boca Raton, FL, USA, 2005. [Google Scholar]
  5. Ericson, R.; Maksimovic, D. Fundamentals of Power Electronics, Norwell; Kluwer Academic Publisher: Amsterdam, The Netherlands, 2001. [Google Scholar]
  6. Mohan, S.S.; del Mar Hershenson, M.; Boyd, S.P.; Lee, T.H. Simple accurate expressions for planar spiral inductances. IEEE J. Solid-State Circuits 1999, 34, 1419–1424. [Google Scholar] [CrossRef]
  7. Wojda, R.P.; Kazimierczuk, M.K. Winding resistance of litz wire and multi-strand inductors. Proc. IET Power Electron. 2012, 5, 257–268. [Google Scholar] [CrossRef]
  8. Nagashima, T.; Wei, X.; Bou, E.; Alarcón, E.; Kazimierczuk, M.K.; Sekiya, H. Analysis and design of loosely inductive coupled wireless power transfer with class E2 dc-dc converter. IEEE Trans. Circuits Syst. I Regul. Pap. 2015, 62, 2781–2791. [Google Scholar] [CrossRef]
  9. Górecki, K.; Detka, K. Modeling of air transformers integrating ferrite plates for improved performance. Arch. Electr. Eng. 2024, 73, 849–867. [Google Scholar] [CrossRef]
  10. Bensetti, M.; Kadem, K.; Pei, Y.; Le Bihan, Y.; Labouré, E.; Pichon, L. Parametric Optimization of Ferrite Structure Used for Dynamic Wireless Power Transfer for 3 kW Electric Vehicle. Energies 2023, 16, 5439. [Google Scholar] [CrossRef]
  11. Mortazavizadeh, S.A.; Palazzo, S.; Amendola, A.; De Santis, E.; Di Ruzza, D.; Panariello, G.; Sanseverino, A.; Velardi, F.; Busatto, G. High Frequency, High Efficiency, and High Power Density GaN-Based LLC Resonant Converter: State-of-the-Art and Perspectives. Appl. Sci. 2021, 11, 11350. [Google Scholar] [CrossRef]
  12. Chan, H.L.; Chen, K.W.E.; Sutanto, D. Calculation of inductances of high frequency air-core transformers with superconductor windings for DC-DC converters. IEEE Proc. Electr. Power Appl. 2003, 150, 447–454. [Google Scholar] [CrossRef]
  13. Kazimierczuk, M. High-Frequency Magnetic Components; Wiley: Hoboken, NJ, USA, 2014. [Google Scholar]
  14. Rigot, V.; Phulpin, T.; Sakly, J.; Sadarnac, D. A New 7 kW Air-Core Transformer at 1.5 MHz for Embedded Isolated DC/DC Application. Energies 2022, 15, 5211. [Google Scholar] [CrossRef]
  15. Arteaga, J.M.; Kwan, C.H.; Nikiforidis, I.; Pucci, N.; Lan, L.; Yates, D.C.; Mitcheson, P.D. Design of a One-to-Four Isolated DC-DC Converter Using a 13.56 MHz Resonant Air-Core Transformer. In Proceedings of the 2021 IEEE Applied Power Electronics Conference and Exposition (APEC), Phoenix, AZ, USA, 14–17 June 2021; pp. 2580–2585. [Google Scholar] [CrossRef]
  16. Yang, M.; Wang, X.; Sima, W.; Yuan, T.; Sun, P.; Liu, H. Air-Core-Transformer-Based Solid-State Fault-Current Limiter for Bidirectional HVdc Systems. IEEE Trans. Ind. Electron. 2022, 69, 4914–4925. [Google Scholar] [CrossRef]
  17. Górecki, K.; Detka, K. Influence of selected factors on the parameters of a compact thermal model of an air transformer. In Proceedings of the 2023 IEEE 17th International Conference on Compatibility, Power Electronics and Power Engineering (CPE-POWERENG), Tallinn, Estonia, 14–16 June 2023; pp. 1–5. [Google Scholar] [CrossRef]
  18. Jaarsveld, B.J. Wide Band Modelling of an Air-Core Power Transformer Winding. Master’s Thesis, Stellenbosch University, Stellenbosch, South Africa, 2013. Available online: https://scholar.sun.ac.za/items/5a96304a-26f7-4052-8898-d29338327623 (accessed on 4 March 2025).
  19. Aghaebrahimi, M.R.; Menzies, R.W. A customized air-core transformer for a small power tapping station. IEEE Trans. Power Deliv. 1998, 13, 1265–1270. [Google Scholar] [CrossRef]
  20. Song, M.; Tang, Y.; Li, J.; Zhou, Y.; Chen, L.; Ren, L. Thermal analysis of HTS air-core transformer used in voltage compensation type active SFCL. Phys. C Supercond. Its Appl. 2010, 470, 1657–1661. [Google Scholar] [CrossRef]
  21. Rashid, M.H. Spice for Power Electronics and Electric Power; CRC Press: Boca Raton, FL, USA, 2006. [Google Scholar]
  22. Górecki, K.; Zarębski, J.; Górecki, P.; Ptak, P. Compact thermal models of semiconductor devices: A Review. Int. J. Electron. Telecommun. 2019, 65, 151–158. [Google Scholar] [CrossRef]
  23. Górecki, K.; Detka, K.; Górski, K. Compact thermal model of the pulse transformer taking into account nonlinearity of heat transfer. Energies 2020, 13, 2766. [Google Scholar] [CrossRef]
  24. Luo, Z.; Ahn, H.; Nokali, M.A.E. A thermal model for insulated gate bipolar transistor module. IEEE Trans. Power Electron. 2004, 19, 902–907. [Google Scholar] [CrossRef]
  25. Zubert, M.; Starzak, L.; Jablonski, G.; Napieralska, M.; Janicki, M.; Pozniak, T.; Napieralski, A. An accurate electro-thermal model for merged SiC PiN Schottky diodes. Microelectron. J. 2012, 43, 312–320. [Google Scholar] [CrossRef]
  26. Tang, W.H.; Wu, Q.H.; Richardson, Z.J. A simplified transformer thermal model based on thermal-electric analogy. IEEE Trans. Power Deliv. 2004, 19, 1112–1119. [Google Scholar] [CrossRef]
  27. Piechowski, L.; Muc, A.; Iwaszkiewicz, J. The Precise Temperature Measurement System with Compensation of Measuring Cable Influence. Energies 2021, 14, 8214. [Google Scholar] [CrossRef]
  28. Wojda, R.P. Winding resistance and power loss of inductors with litz and solid-round wires. IEEE Trans. Ind. Appl. 2018, 54, 3548–3557. [Google Scholar] [CrossRef]
  29. Kapetanović, I.; Sarajlić, N.; Tešanović, M.; Kasumović, M. Numerical Solution for the Distribution of the Electromagnetic and Thermal Fields of an Air-core Transformer. J. Energy-Energ. 2008, 57, 424–439. [Google Scholar] [CrossRef]
  30. Penabad-Duran, P.; Lopez-Fernandez, X.M.; Turowski, J. 3D non-linear magneto-thermal behavior on transformer covers. Electr. Power Syst. Res. 2015, 121, 333–340. [Google Scholar] [CrossRef]
  31. Wilson, P.R.; Ross, J.N.; Brown, A.D. Simulation of magnetic component models in electric circuits including dynamic thermal effects. IEEE Trans. Power Electron. 2002, 17, 55–65. [Google Scholar] [CrossRef]
  32. Tsli, M.A.; Amoiralis, E.I.; Kladas, A.G.; Souflaris, A.T. Power transformer thermal analysis by using an advanced coupled 3D heat transfer and fluid flow FEM model. Int. J. Therm. Sci. 2012, 53, 188–201. [Google Scholar] [CrossRef]
  33. Lee, M.; Abdullah, H.A.; Jofriet, J.C.; Patel, D.; Fahrioglu, M. Air temperature effect on thermal models for ventilated dry-type transformers. Electr. Power Syst. Res. 2011, 81, 783–789. [Google Scholar] [CrossRef]
  34. Madžarević, V.; Kapetanović, I.; Tešanović, M.; Kasumović, M. Different approach to thermal modeling of transformers-a comparison of methods. Int. J. Energy Environ. 2011, 5, 610–617. [Google Scholar]
  35. Bouhaddiche, R.; Bouazabia, S.; Fofana, I. Thermal modelling of power transformer. In Proceedings of the 2017 IEEE 19th International Conference on Dielectric Liquids (ICDL), Manchester, UK, 25–29 June 2017; pp. 1–4. [Google Scholar] [CrossRef]
  36. Swift, G.; Molinski, T.S.; Lehn, W. A fundamental approach to transformer thermal modeling. Part I: Theory and equivalent circuit. IEEE Trans. Power Deliv. 2001, 16, 171–175. [Google Scholar] [CrossRef]
  37. Haritha, V.; Rao, T.; Jain, A.; Ramamoorty, E. Thermal Modeling of Electrical Transformers. In Proceedings of the 16th National Power Systems Conference, Hyderabad, India, 15–17 December 2010; pp. 597–602. [Google Scholar]
  38. Yener, Y.; Kakac, S. Heat Conduction; Taylor &Francis: Abingdon, UK, 2008. [Google Scholar]
  39. Janicki, M.; Sarkany, Z.; Napieralski, A. Impact of nonlinearities on electronic device transient thermal responses. Microelectron. J. 2014, 45, 1721–1725. [Google Scholar] [CrossRef]
  40. Detka, K.; Górecki, K.; Ptak, P. Model of an Air Transformer for Analyses of Wireless Power Transfer Systems. Energies 2023, 16, 1391. [Google Scholar] [CrossRef]
  41. Ferrite Plate Type BHIP. Available online: https://www.digikey.pl/pl/products/detail/kemet/FPL100-100-6-BH1T/10321373 (accessed on 28 January 2024).
  42. Górecki, K.; Górecki, P. Nonlinear compact thermal model of the IGBT dedicated to SPICE. IEEE Trans. Power Electron. 2020, 35, 13420–13428. [Google Scholar] [CrossRef]
Figure 1. Network representation of the proposed compact thermal model of an air transformer.
Figure 1. Network representation of the proposed compact thermal model of an air transformer.
Energies 18 01313 g001
Figure 2. Diagram of the measurement set-up.
Figure 2. Diagram of the measurement set-up.
Energies 18 01313 g002
Figure 3. View of the tested transformer A.
Figure 3. View of the tested transformer A.
Energies 18 01313 g003
Figure 4. View of the tested transformer B: (a) big coil on the ferrite plate, (b) medium coil, and (c) small coil.
Figure 4. View of the tested transformer B: (a) big coil on the ferrite plate, (b) medium coil, and (c) small coil.
Energies 18 01313 g004
Figure 5. Calculated and measured dependences of thermal resistances of the windings on their currents.
Figure 5. Calculated and measured dependences of thermal resistances of the windings on their currents.
Energies 18 01313 g005
Figure 6. Calculated and measured dependences of transfer thermal resistances between the windings on the distance dx.
Figure 6. Calculated and measured dependences of transfer thermal resistances between the windings on the distance dx.
Energies 18 01313 g006
Figure 7. Calculated and measured dependences of transfer thermal resistance between the coils on distance dy.
Figure 7. Calculated and measured dependences of transfer thermal resistance between the coils on distance dy.
Energies 18 01313 g007
Figure 8. Waveforms of transient thermal impedance of an air transformer with small coils obtained with the use of a ferrite plate (solid lines) and without it (dashed lines).
Figure 8. Waveforms of transient thermal impedance of an air transformer with small coils obtained with the use of a ferrite plate (solid lines) and without it (dashed lines).
Energies 18 01313 g008
Figure 9. Waveforms of transient thermal impedance ZthW1(t) of an air transformer containing big coils with the use of a ferrite plate and without it.
Figure 9. Waveforms of transient thermal impedance ZthW1(t) of an air transformer containing big coils with the use of a ferrite plate and without it.
Energies 18 01313 g009
Figure 10. Waveforms of transient thermal impedance ZthW1(t) and transfer transient thermal impedance ZthW1F1(t) of an air transformer containing small coils with the use of a ferrite plate.
Figure 10. Waveforms of transient thermal impedance ZthW1(t) and transfer transient thermal impedance ZthW1F1(t) of an air transformer containing small coils with the use of a ferrite plate.
Energies 18 01313 g010
Figure 11. Waveforms of transient thermal impedance ZthW1(t) and transfer transient thermal impedance ZthW1F1(t) of an air transformer containing medium coils with the use of a ferrite plate.
Figure 11. Waveforms of transient thermal impedance ZthW1(t) and transfer transient thermal impedance ZthW1F1(t) of an air transformer containing medium coils with the use of a ferrite plate.
Energies 18 01313 g011
Figure 12. Waveforms of ZthW1(t) and ZthW1F1(t) of an air transformer containing big coils with the use of a ferrite plate for selected values of the dissipated power.
Figure 12. Waveforms of ZthW1(t) and ZthW1F1(t) of an air transformer containing big coils with the use of a ferrite plate for selected values of the dissipated power.
Energies 18 01313 g012
Figure 13. Waveforms of ZthW1(t) of an air transformer without any ferrite plate containing coils of different dimensions.
Figure 13. Waveforms of ZthW1(t) of an air transformer without any ferrite plate containing coils of different dimensions.
Energies 18 01313 g013
Figure 14. Waveforms of ZthW1(t) and ZthW1F1(t) of an air transformer with a ferrite plate containing coils of different dimensions.
Figure 14. Waveforms of ZthW1(t) and ZthW1F1(t) of an air transformer with a ferrite plate containing coils of different dimensions.
Energies 18 01313 g014
Figure 15. Spectra of thermal time constants of ZthW1(t) of air transformers without any ferrite plate containing coils of different dimensions.
Figure 15. Spectra of thermal time constants of ZthW1(t) of air transformers without any ferrite plate containing coils of different dimensions.
Energies 18 01313 g015
Figure 16. Spectra of thermal time constants of ZthW1(t) of air transformers with a ferrite plate containing coils of different dimensions.
Figure 16. Spectra of thermal time constants of ZthW1(t) of air transformers with a ferrite plate containing coils of different dimensions.
Energies 18 01313 g016
Figure 17. Spectra of thermal time constants of ZthW1F1(t) of air transformers with a ferrite plate containing coils of different dimensions.
Figure 17. Spectra of thermal time constants of ZthW1F1(t) of air transformers with a ferrite plate containing coils of different dimensions.
Energies 18 01313 g017
Figure 18. Waveforms of self- and transfer transient thermal impedances in a transformer with big coils determined at different values of the distance between the coils: (a) ZthW1(t), (b) ZthW1F1(t), (c) ZthW1W2(t), (d) ZthW1F2(t).
Figure 18. Waveforms of self- and transfer transient thermal impedances in a transformer with big coils determined at different values of the distance between the coils: (a) ZthW1(t), (b) ZthW1F1(t), (c) ZthW1W2(t), (d) ZthW1F2(t).
Energies 18 01313 g018
Figure 19. Waveforms of temperature of all the components of a transformer with big coils determined at the dissipation power step of the value 8 W in the primary winding and the distance between the coils equal to 1 mm.
Figure 19. Waveforms of temperature of all the components of a transformer with big coils determined at the dissipation power step of the value 8 W in the primary winding and the distance between the coils equal to 1 mm.
Energies 18 01313 g019
Table 1. Classification of transformers used in SMPS.
Table 1. Classification of transformers used in SMPS.
Type of TransformersFerromagnetic CoreType of Winding
Classical transformersYesSolenoid coils made of a copper wire
Planar transformersYesSpiral coils on the PCB
Air transformersNoSpiral coils made of a copper wire
Table 2. Values of parameters describing transient thermal impedance and transfer transient thermal impedance in the compact thermal model of transformer A.
Table 2. Values of parameters describing transient thermal impedance and transfer transient thermal impedance in the compact thermal model of transformer A.
ZthW1(t)Parameter namea1τth1 [s]a2τth2 [s]a3τth3 [ms]
Parameter value0.607282.90.36671.380.0271
ZthW1W2(t)Parameter namea1τth1 [s]a2τth2 [s]a3τth3 [ms]
Parameter value1488.2----
Disclaimer/Publisher’s Note: The statements, opinions and data contained in all publications are solely those of the individual author(s) and contributor(s) and not of MDPI and/or the editor(s). MDPI and/or the editor(s) disclaim responsibility for any injury to people or property resulting from any ideas, methods, instructions or products referred to in the content.

Share and Cite

MDPI and ACS Style

Górecki, K.; Detka, K. Influence of Construction of High Frequency Air Transformers for SMPS on Parameters of Their Compact Thermal Model. Energies 2025, 18, 1313. https://doi.org/10.3390/en18061313

AMA Style

Górecki K, Detka K. Influence of Construction of High Frequency Air Transformers for SMPS on Parameters of Their Compact Thermal Model. Energies. 2025; 18(6):1313. https://doi.org/10.3390/en18061313

Chicago/Turabian Style

Górecki, Krzysztof, and Kalina Detka. 2025. "Influence of Construction of High Frequency Air Transformers for SMPS on Parameters of Their Compact Thermal Model" Energies 18, no. 6: 1313. https://doi.org/10.3390/en18061313

APA Style

Górecki, K., & Detka, K. (2025). Influence of Construction of High Frequency Air Transformers for SMPS on Parameters of Their Compact Thermal Model. Energies, 18(6), 1313. https://doi.org/10.3390/en18061313

Note that from the first issue of 2016, this journal uses article numbers instead of page numbers. See further details here.

Article Metrics

Back to TopTop