Abstract
This study evaluates the potential of gasification-based energy-from-waste (EfW) as a sustainable alternative to the current incineration facility in an industrial zone of a major UK city. The city generates approximately 475,000 tonnes of municipal solid waste (MSW) annually, with around 285,000 tonnes suitable for gasification-based energy recovery. Using a Monte Carlo type approach, we assess energy outputs across three scenarios: electricity-focused; balanced; hydrogen-focused. Results show that the industrial zone’s annual demand for heat and electricity are covered by all three scenarios, although the analysis does not seek to balance supply and demand over sub-annual timeframes. This suggests that energy-from-waste can support local energy demand and enable industrial symbiosis. At the city scale, however, only 7% of annual electricity demand is covered by the electricity-focused scenario with the balanced scenario only covering 4%. The hydrogen-focused scenario yields enough hydrogen annually to power up to 3400 buses, well beyond the current fleet of 144 and the target fleet of 480 by 2035, positioning the area as a potential hydrogen hub. The balanced scenario offers adaptable energy outputs, supporting diverse energy needs and reducing dependency on conventional incineration.
1. Introduction
The production of waste at a global level is on an unsustainable trajectory, with municipal solid waste (MSW) expected to rise from 2.1 billion tonnes in 2023 to 3.8 billion tonnes by 2050 [1]. Several environmental challenges are compounded by this increase in waste, and in parallel, there is an urgent need for cleaner energy solutions to replace fossil fuels. Harnessing waste for energy recovery can offer a dual benefit, both addressing some elements of waste management and potentially contributing to a reduction in fossil fuels as a primary energy source. Emerging energy transformations like trigeneration—which co-produce electricity, heat, and hydrogen—are especially promising for urban environments that are felt to be creators of municipal solid waste for some time to come. However, a full life cycle analysis is necessary to consider any potential level of benefits, which will also be subject to change over time as fossil fuels are reduced from the chemical feedstocks for plastics.
In this paper, we explore the potential of gasification-based energy-from-waste (EfW) systems to recover multiple energy vectors from MSW collected by local authorities. To systematically assess gasification performance under varying operational conditions, we employ Monte Carlo simulation, which enables the evaluation of multiple configurations by iteratively sampling from a dataset of real-world gasification and combined heat and power (CHP) setups. This approach facilitates a comparative assessment of system performance across different gasifier types, feedstock properties, operating conditions, and CHP efficiencies, rather than relying on a single deterministic case. By doing so, we provide a broader understanding of how gasification and CHP integration can be optimised for trigeneration applications.
Using Monte Carlo simulations, we evaluate the energy recovery potential of MSW gasification and perform a high-level supply-demand analysis for Birmingham, UK, highlighting the potential role of such systems in improving waste management efficiency and supporting a shift to low-carbon urban energy solutions.
Such systems align closely with the principles of a circular economy model, which emphasises minimising waste and maximising resource efficiency by repurposing materials at the end of their lifecycle. EfW processes could align with these principles by converting non-recyclable MSW into valuable energy outputs, thereby increasing the circularity of waste management systems [2]. This approach could contribute to the circular economy’s projected annual net gains of USD 108.5 billion by 2050 [1]. Annual net gain refers to the overall economic benefits derived from implementing circular economy practices, including savings from reduced resource extraction, lower waste management costs, and the value generated through material recovery.
However, traditional EfW methods, such as incineration, contribute to significant greenhouse gas emissions, with each tonne of MSW incinerated producing up to 1.7 tonnes of CO2 [3]. In the UK, nearly half of the waste collected by local authorities, equivalent to approximately 12 million tonnes in 2023, is still incinerated, highlighting the urgent need for more sustainable alternatives [4].
To convert MSW into usable energy, several thermochemical processes exist, including gasification, pyrolysis, and torrefaction. Gasification converts MSW into syngas, a mixture of CO, H2, and CH4, which can be directly used for power generation or hydrogen production. Pyrolysis primarily produces bio-oil and char, which require further processing before use as fuels. Torrefaction, a lower-temperature process, enhances the energy density of biomass but is not typically used for MSW.
Gasification was selected for this study due to the availability of a comprehensive and high-resolution dataset [5] containing empirical data from real-world gasification configurations, enabling robust Monte Carlo simulation. Comparable datasets for pyrolysis and torrefaction either lack sufficient resolution for configuration-based modeling or do not provide the necessary syngas composition details required for assessing trigeneration potential. Additionally, gasification allows for simultaneous production of electricity, heat, and hydrogen, aligning with the study’s focus on multi-vector energy recovery.
In addition to syngas, gasification generates a solid residue consisting of char and ash. Char, which contains unconverted carbon, can be repurposed as a secondary fuel, utilised in soil amendment (biochar), or processed into activated carbon for industrial applications. The ash fraction, primarily composed of inert minerals, has potential use in construction materials, such as cement additives, reducing the need for virgin raw materials. However, the presence of heavy metals or other contaminants may necessitate further treatment or controlled disposal. Proper residue management is essential to enhance resource circularity and minimise environmental impact.
Unlike incineration, which directly releases carbon as CO2, gasification offers a potential to capture most of the carbon atoms as part of the syngas, allowing for their potential reuse or storage. This process can lower CO2 emissions to as little as 0.2 tonnes per tonne of waste—a figure that can be further reduced through Carbon Capture and Storage (CCS) or by increasing the proportion of biogenic materials in the waste “feedstock” [6,7,8]. Research indicates that adjusting gasification parameters—such as temperature, oxidant/MSW ratio, and feedstock characteristics—can significantly influence syngas composition and hydrogen yield, enabling effective optimisation [9,10]. Specifically, hydrogen-rich syngas can be beneficial for applications in combined heat and power (CHP) systems or hydrogen fuel production, as it enables cleaner combustion and can be suitable for fuel cells, where a higher hydrogen concentration minimises CO content, improving fuel purity and fuel cell efficiency [11].
Cogeneration systems, such as CHP, boast greater efficiencies by producing electricity and heat simultaneously. When expanded to trigeneration, hydrogen is added as a third output vector, further increasing system versatility. CHP systems can achieve efficiencies of up to 80%, far surpassing the 50% typical of separate power and heat generation systems [12]. When integrated with gasification, CHP systems utilise otherwise wasted heat for district heating or industrial applications, improving overall efficiency and reducing emissions [13,14]. Advanced setups capable of quad-generation—producing heat, electricity, synthetic natural gas, and cooling—have demonstrated efficiencies as high as 89.8% in gasification applications [15].
Hydrogen production through waste gasification is particularly promising for urban decarbonisation strategies. The International Renewable Energy Agency (IRENA) highlights hydrogen as a critical component for achieving global climate targets, with production needing to increase nearly fivefold to 614 megatonnes by 2050 to supply 12% of global energy demand and maintain warming within 1.5 °C [16]. Waste gasification, which cogenerates hydrogen, heat, and electricity, offers an efficient alternative to traditional incineration, which typically achieves only 20% energy recovery efficiency [17]. By comparison, gasification systems achieve an average efficiency of 56.5% and can reach up to 88% during colder months when heat demand is higher [18].
Previous research, such as the studies cited above, has primarily focused on specific aspects of biomass cogeneration, including thermodynamic and exergo-economic modelling. However, these studies often overlook the broader potential of gasification-based energy-from-waste (EfW) systems, particularly those capable of generating multiple outputs like electricity, heat, and hydrogen. Moreover, many existing analyses are limited to single-output scenarios or rely on deterministic methods, failing to fully address the complexity and optimisation potential of multi-output gasification systems under varying operational conditions.
Monte Carlo simulation has been instrumental in capturing uncertainties within EfW contexts. For instance, Pereira Silva et al., 2023 [19] and Rosa et al., 2020 [20] developed Monte Carlo-based models for biogas production in upflow anaerobic sludge blanket (UASB) reactors, more accurately predicting energy yields across wastewater conditions and scales. These studies illustrate the value of probabilistic methods in biogas and electricity outputs but focus exclusively on single energy vectors. Behbahaninia et al., 2022 [21] applied Monte Carlo to assess power generation capacity under fluctuating waste compositions, while Sadati et al., 2024 [22] integrated Monte Carlo with multi-criteria decision-making to evaluate economic and environmental impacts in EfW systems. These studies advance understanding of system variability but do not examine multi-output scenarios or optimisation in cogeneration contexts.
Policy-oriented work, such as that by Balezentis et al., 2017 [23], and kinetic modelling approaches by Fang et al., 2022 [24] further highlight Monte Carlo’s adaptability. Fang et al., for example, identified optimal gasification parameters for syngas yield, yet did not separate hydrogen as a distinct output. Similarly, Colantoni et al., 2021 [25] focused on profitability within biomass-based cogeneration, revealing key economic drivers but leaving technical optimisation for multi-output systems unexplored.
Collectively, these studies underscore Monte Carlo’s usefulness in single-output energy recovery models but highlight the need for more comprehensive, multi-output analyses. The work presented in this paper employs Monte Carlo simulations to evaluate the performance of gasification-CHP systems used for trigeneration (electricity, heat, and hydrogen) across a variety of operating conditions and feedstock compositions. By building on the predictive modelling insights of Ascher et al., 2022 [5], whose neural network models demonstrated the strong influence of feedstock type and operational variables on syngas composition, particularly hydrogen yield, this work integrates probabilistic and technical analyses. It provides an adaptable framework to analyse multi-dimensional efficiencies in EfW applications, supporting more sustainable energy strategies for cities like Birmingham in the United Kingdom.
2. Materials and Methods
2.1. Geographical Area of Study
Birmingham, shown in Figure 1, is the second-largest city in the UK with a population of approximately 1.1 million [26]. The city generates an average of 475,000 tonnes of MSW annually, based on data from 2014 to 2021 [4]. The majority of this waste is incinerated at the Tyseley Energy Recovery Facility (operated by Veolia, Birmingham, UK) which processes around 350,000 tonnes per year to produce electricity, contributing significantly to the local authority’s greenhouse gas emissions. In 2021, the Energy Recovery Facility (ERF) was responsible for 7.4% of Birmingham’s total emissions [27,28,29].
Figure 1.
Map location of Birmingham and Tyseley in the UK.
The ERF is situated within the Tyseley Environmental Enterprise District (TEED), an industrial innovation hub that may offer significant potential for a gasification-based EfW system. The area supports c. 250 businesses across 100 hectares of land, with a growing focus on waste management, low-carbon energy, and manufacturing [30]. The district plans to interconnect various industries on-site through a hydrogen network and aims to enhance the efficiency of its planned cryogenic energy storage system by recycling low-grade waste heat from its planned district heating system [31]. With both heat and hydrogen a product of gasification, this type of EfW system could help supply some of the energy needs of the local area whilst helping to foster a more circular economy. Given Birmingham’s significant annual MSW generation and its reliance on the Tyseley Energy Recovery Facility (ERF) for waste management, it presents a useful case study to evaluate alternative EfW solutions like gasification to see if better use can be made of the input material (the waste).
In this study, Birmingham’s waste output and material composition data are retrieved from the Department for Environment Food and Rural Affairs (2024) [32], while the city’s energy demand data are retrieved from the Department for Energy Security and Net Zero (2024) [33]. The green polygon boundary shown in Figure 1 was used to define the geographical scope of the Tyseley district. Within this defined area, annual heat and electricity demand estimates were calculated based on building types and their respective energy intensities. These estimates include contributions from residential, commercial, and industrial buildings. The demand estimates for Tyseley were derived from a project supervised by a member of the research group. Further details and calculations are available upon request.
2.2. Data and Handling
This study relies on diverse datasets that offer essential insights into waste management, gasification processes, and energy recovery. These datasets, summarised in Table 1, form the foundation for the simulation and analysis.
Table 1.
Summary of data sources used in the methodology.
The Q100 dataset is a government-regulated source that provides comprehensive information on the collection, composition, and management of waste across the UK, offering a reliable foundation for analysing local authority-collected waste streams. From this dataset, each waste material category has been mapped to either a gasifiable or non-gasifiable group to determine suitability for gasification. This mapping strategy is shown in Table 2. Gasifiable materials include organic and combustible waste streams that can undergo thermal decomposition, such as Municipal Solid Waste (residual waste), herbaceous biomass (green and organic waste), woody biomass (wood), and plastic. Although some materials, such as recyclables (e.g., paper, card, and recyclates), are technically gasifiable, they are classified as non-gasifiable in this context because they are typically processed prior to gasification in dedicated recycling streams and thus, we assume are unavailable to then be gasified. This approach also considers that recyclable resources are not diverted into energy recovery, which helps to support both environmental and resource conservation goals.
Table 2.
Mapping of Q100 materials into gasification material groups.
Non-gasifiable materials are, therefore, those unsuitable for gasification, either because they have established recycling pathways or cannot be decomposed thermally. This category includes inert materials, such as glass and metal, as well as items with dedicated recycling processes, like paper and card, WEEE (Waste Electrical and Electronic Equipment), commingled recyclate, bulky items, and plasterboard. By excluding these materials, the simulation focuses on waste types available for energy recovery.
In this classification, residual waste—the MSW targeted in this study—is prioritised for gasification, as it largely consists of mixed materials that have not been separated for recycling or other processing. In the UK, MSW is typically collected through local authority waste services, which refer to waste collection managed by local councils. This waste is predominantly household waste, collected via kerbside bins: grey bins for MSW, blue bins for recyclables, and green bins for organic waste. A small fraction of local authority waste also comes from businesses through council arrangements, but the majority originates from households.
Industrial, commercial, construction, demolition, and other waste streams—such as agricultural and mining waste—are excluded from the scope of this study due to a lack of streamlined, standardised, and regionally consistent data. These waste streams are typically managed by private contractors, and reporting practices vary significantly across regions. In contrast, household waste is collected and reported to the government through regulated datasets such as the Q100 dataset, ensuring reliable data for analysis [32].While household waste contributes 26.4 million tonnes annually (12% of total waste), commercial and industrial waste contributes 42.6 million tonnes (19%), and construction, demolition, and excavation (CD&E) waste accounts for the largest share, at 137.8 million tonnes (62%). Other waste streams, such as those from mining, agriculture, forestry, and fishing, contribute a further 15.4 million tonnes (7%). Together, these streams make up the UK’s total annual waste generation of 222.2 million tonnes [32].
It is important to note, however, that the largest waste streams in the UK—such as construction and demolition waste—predominantly consist of mineral materials (e.g., concrete, bricks, boulders) and soil wastes, which account for 36% and 26% of the total UK waste, respectively. These materials are primarily inert and unsuitable for energy recovery via gasification. While a small fraction of C&D waste includes organic components like biomass wood chips, these are typically repurposed directly into secondary materials, such as aggregates or recycled biomass products, rather than being used as feedstock for energy recovery. The vast majority of C&D waste (92.6% in 2020) is classified as “recovered”, meaning it is reused, recycled, or repurposed into materials that are not typically diverted for energy applications. As such, the relevance of this waste stream to the energy recovery strategies considered in this study remains limited.
By contrast, MSW—which represents only 13% of the total UK waste stream—is far more suited to energy recovery technologies like gasification due to its mixed, organic, and combustible composition. Excluding the remaining waste streams, while a limitation, is unlikely to significantly affect the scope or conclusions of this study. The household waste stream analysed here is both more directly relevant to urban decarbonisation, and in terms of analysis, it is supported by government-regulated datasets. However, the robustness and actionability of the findings depend on the accuracy and consistency of the reported data, which may vary across regions and reporting periods. These uncertainties emphasise the importance of ongoing efforts to refine and standardise waste reporting frameworks. Addressing these challenges would help reduce variability in future analyses and provide a more comprehensive foundation for evaluating energy recovery strategies across a wider range of waste streams.
2.3. Simulation Framework
This study employs a Python-based simulation approach to evaluate the energy recovery potential of an MSW gasification system integrated with a CHP engine and a hydrogen separator, where required. The system facilitates the co-generation of three energy vectors: hydrogen, heat, and electricity as shown in Figure 2. By capturing 45 variables encompassing feedstock characteristics, operational parameters, and city demographics, the simulation provides a framework for assessing EfW systems under varying scenarios.
Figure 2.
Flow diagram of the MSW gasification system. MSW is converted to syngas in the gasifier, followed by cleaning. The syngas feeds into a CHP engine for electricity and heat generation, while a hydrogen separator extracts hydrogen for storage, enabling flexible trigeneration. The process also generates a solid residue (10–20% of feedstock weight), consisting of ash and unconverted carbon which may be repurposed in construction (e.g., cement additives) or require treatment for safe disposal. Residues with high carbon content can be processed into activated carbon or further oxidised.
2.3.1. Gasification Simulation Framework
The gasification simulation framework is based on the dataset compiled by Ascher et al., 2022 [5], comprising 31 real-world MSW gasification configurations. Each setup includes measured input and output data, such as feedstock properties, reactor conditions, and syngas composition. For each simulation iteration, a gasification configuration is randomly selected, allowing the simulation to explore various reactor designs and operational parameters.
Key variables used in the simulation are summarised in Table 3. These variables include feedstock characteristics (e.g., moisture content, particle size, and heating value), reactor parameters (e.g., temperature, cold gas efficiency), and syngas composition. Additional parameters for the CHP system and hydrogen processes (separation, compression, and storage) are provided in Table 4. Together, these variables allow for a comprehensive assessment of the EfW system’s performance.
Table 3.
Summary of MSW gasification parameters. Data sourced from Ascher et al., 2022 [5].
Table 4.
Summary of CHP and hydrogen storage efficiencies and energy distribution ratios.
2.3.2. Simulation Process
The simulation employs a Monte Carlo approach to evaluate energy recovery potential from MSW under three operational scenarios: balanced, hydrogen-focused, and electricity-focused. This approach involves random sampling of input parameters—such as feedstock properties, gasification conditions, and system parameters—within predetermined ranges. By exploring a wide array of potential combinations through iterative random sampling, the simulation generates a distribution of energy outputs. This method reflects the inherent variability and uncertainty in operational conditions without relying on predefined probability distributions.
- 1.
- Gasification and System Parameter Selection: For each iteration of the Monte Carlo simulation, a gasification setup is randomly selected from the Ascher et al. 2022 [5] dataset. This includes different reactor conditions (e.g., temperature, mode, equivalence ratio) and feedstock characteristics (e.g., particle size, moisture content), as outlined in Table 3. In parallel, the CHP and hydrogen system parameters are also randomly sampled within their specified bounds (as detailed in Table 4) to consider the impacts of operational variability.
- 2.
- Energy Production Calculations: Following parameter selection, energy output calculations are performed on each iteration, as detailed in Section 2.3.4, to determine the kWh of energy produced per tonne of MSW for each energy vector. To obtain the annual kWh of each energy vector, the energy potential was multiplied by the tonnes of gasifiable MSW found during the waste analysis.
- 3.
- Iterative Analysis: The simulation is repeated 1000 times per scenario, striking a balance between computational intensity and result reliability. This number of iterations ensures that the output distributions sufficiently capture the variability in feedstock properties and operational parameters while remaining computationally manageable within the constraints of the study.
2.3.3. Optimisation Strategy
Both average and optimal results are presented to highlight typical and best-performing configurations. Optimisation is scenario-specific:
- Balanced Scenario: A Pareto optimisation approach was employed to identify the non-dominated solutions that offer the best trade-off between electricity and hydrogen outputs [43]. Solutions along the Pareto front represent configurations where neither electricity nor hydrogen can be improved without reducing the other. Following the Pareto analysis, a weighted sum approach was applied with equal weighting (33% each) for electricity, hydrogen, and total energy output. Configurations with a minimum output of 500 kWh per tonne of MSW for both electricity and hydrogen were considered to ensure practical viability. Heat, although not directly optimised, is treated as a by-product of the gasification and CHP process.
- Electricity-Focused Scenario: Configurations are ranked by electricity output, prioritising those with the highest electricity recovery. Heat remains a by-product.
- Hydrogen-Focused Scenario: Similarly, the gasification configurations were ranked by hydrogen output, with the configuration producing the highest hydrogen output per tonne of MSW being selected as the optimal choice. As with the electricity-focused scenario, heat is not explicitly optimised but is an inherent co-product of the process.
While heat is not explicitly considered in the optimisation process, it is an inherent co-product of the gasification and CHP system. This approach allows for the prioritisation of electricity and hydrogen as primary energy outputs, while heat generation aligns with the overall system efficiency. The Pareto optimisation methodology, widely used in multi-objective optimisation problems, facilitates the exploration of trade-offs between competing objectives, providing decision-makers with a range of optimal solutions [43]. By combining Pareto front identification with scenario-specific ranking and a weighted sum approach, the simulation ensures a comprehensive evaluation of energy recovery strategies under various operating conditions.
2.3.4. Energy Output Calculations
To determine the energy output from the gasified MSW, several calculations were performed for each iteration of the simulation.
Step 1. Syngas Yield Calculation
The first step involved calculating the syngas yield on a dry basis by adjusting the wet syngas yield to account for moisture content. The calculation includes a conversion from tonnes to kilograms for consistency in units:
Step 2. Syngas Density Calculation
The density of the syngas was calculated using the Ideal Gas Law, which relates the molecular weight (M), pressure (P), temperature (T), and the ideal gas constant (R):
where:
Step 3. Conversion of Syngas Volume to Mass
The calculated syngas density was used to convert the volumetric syngas yield (Nm3 per tonne of waste) to mass yield (kg per tonne of waste):
Step 4. Calculation of Total Syngas Energy Content
To estimate the total energy content of the produced syngas, the mass of each syngas component (e.g., H2, CO, CH4) was multiplied by its respective energy content (kWh/kg):
Step 5. Energy Allocation and Efficiency Adjustments
The total energy output was distributed into electricity, heat, and hydrogen based on scenario-specific ratios. For instance, in the electricity-focused scenario, a larger proportion of the total energy was allocated to electricity generation:
Efficiency adjustments were applied to account for conversion losses. These included:
- Specific efficiencies of the hydrogen separation, compression, storage, and CHP systems.
- 200 kWh/tonne (feedstock) electricity consumed by the gasifier (parasitic loss).
This process was repeated for each iteration, capturing a range of outcomes based on variability in gasification configurations and feedstock properties.
3. Results and Discussion
3.1. Waste Composition and Gasifiability
The material composition analysis of waste from 21 UK cities between 2016 and 2022, based on the Q100 dataset, reveals the variations in the type and volume of waste generated. As shown in Figure 3, Birmingham generates the highest tonnage of waste compared to other cities included in the analysis, with a substantial proportion being gasifiable materials suitable for energy recovery—primarily residual waste, which represents the MSW targeted in this study. Notably, cities like Manchester and London, which were also expected to generate more waste due to their larger populations, were excluded from this analysis due to inconsistencies in their local authority waste generation datasets. While this high tonnage of waste is expected for the most populated city in the study, Birmingham’s material breakdown highlights its strong potential to leverage MSW gasification technologies.
Figure 3.
Average annual totals and composition of local authority-collected waste for 21 UK cities between 2016–2022.
The material breakdown by percentage weight, presented in Figure 4, compares the composition of waste streams averaged across all cities and also just of Birmingham. The dominance of MSW (residual waste) is prevalent across all cities in the study. In Birmingham, residual waste constitutes 78.1% of the total waste, compared to an average of 68.3% across all cities. This higher percentage suggests that Birmingham may have a relatively greater amount of MSW available for energy recovery via gasification from its domestic waste streams.
Figure 4.
Material breakdown by percentage from 2016 to 2022.
Visibly, Birmingham also exhibits lower percentages in other categories, such as co-mingled recyclate (5.9% in Birmingham compared to 12.2% across all cities) and organic waste (6.4% vs. 8.9%). These may suggest a lower emphasis on recycling and organic waste separation; practices typically represented by the green and blue kerbside bins for UK households—which could suggest areas for improvement.
Minor waste fractions, such as paper and card, plastics, and rubble, show relatively similar percentages between Birmingham and the average across cities, with paper and card slightly higher in Birmingham (4.4% vs. 1.8%). Although these materials are present in smaller quantities, they are still relevant to Birmingham’s broader waste management efforts, whether through recycling, landfill diversion, or other disposal methods
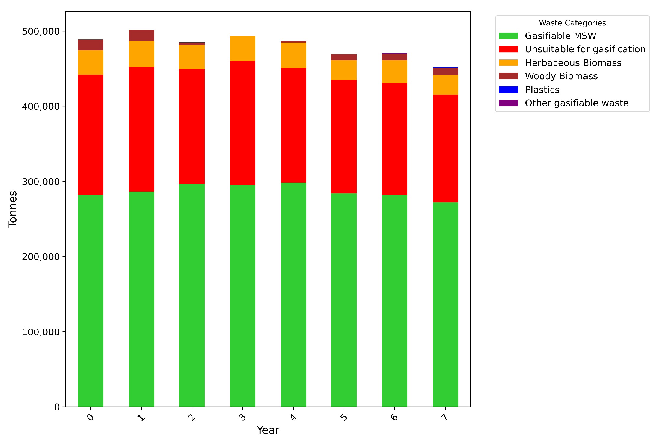
Birmingham has a higher proportion of MSW compared to other cities, which, as shown in Figure 5, positions it favourably to capitalise on MSW gasification. With consistent waste generation patterns from year to year, shown in Figure 6, from 2014 to 2021, Birmingham produced approximately 475,000 tonnes of MSW each year, of which around 285,000 tonnes were gasifiable. This substantial volume highlights the city’s strong potential for energy recovery through gasification.
Figure 5.
Average percentages of gasifiable MSW from 2016 to 2022.
Figure 6.
Birmingham’s waste composition 2015–2022.
Figure 7 illustrates the seasonal and quarterly variation in MSW collected by local authority in Birmingham from 2015 to early 2023. Waste peaks during the winter months, particularly in 2017, 2018, and 2019, likely driven by increased consumption and holiday-related waste generation. These peaks align with the UK’s higher heat demand in winter [45], highlighting the potential for EfW systems, such as gasification, to support Birmingham’s energy strategy through the availability of waste feedstock with seasonal energy demands.
Figure 7.
Seasonal/quarterly variation in the quantity of MSW in Birmingham 2015 to 2023.
Effective decision-making in waste management could leverage this seasonal variation by optimising gasification processes to meet increased heat demand during peak winter periods [46]. Additionally, coupling gasification with hydrogen production offers supply-side flexibility. During times of high waste availability and energy demand, excess energy could be stored as hydrogen, creating a local energy reserve that could offset hydrogen imports from outside the local authority area. This approach enhances Birmingham’s capacity to balance its energy needs year-round, supporting both immediate and future energy resilience.
3.2. Energy Outputs from the Simulation
As approximately 60% of Birmingham’s waste, around 285,000 tonnes per year, is suitable for gasification for energy recovery, this serves as the feedstock for the gasification-CHP and hydrogen storage model, which converts the waste into other forms of energy. In this section, we discuss the energy outputs generated by the analysis.
Two sets of results are presented, showing the average (Figure 8) and optimised (Figure 9) energy outputs from the simulation. The average outputs represent typical gasification performance across varying conditions. These results offer realistic expectations for normal operations.
Figure 8.
Average energy output in kWh per tonne of MSW for each scenario.
Figure 9.
Optimal energy output in kWh per tonne of MSW for each scenario.
In contrast, the optimised results highlight the best-performing configurations, where operational parameters are fine-tuned to maximise energy recovery. In energy systems planning, presenting both sets of results is helpful, as the average informs day-to-day planning while the optimised demonstrates the system’s full potential for scaling and contingency [47].
Figure 8 shows the average energy output in kWh per tonne of MSW for the three energy recovery scenarios: balanced, electricity-focused, and hydrogen-focused. The balanced scenario allocates energy between electricity (673 kWh), heat (549 kWh), and hydrogen (429 kWh). The electricity-focused scenario maximizes electricity production at 751 kWh per tonne of MSW but forfeits all hydrogen output, potentially limiting its contribution to future hydrogen infrastructure. In contrast, the hydrogen-focused scenario produces 1096 kWh of hydrogen per tonne of MSW. Interestingly, maximising hydrogen output instead of balancing hydrogen and electricity results in only a modest reduction in electricity production. Hydrogen yield is approximately 1.6 times greater than in the balanced scenario, while electricity production is reduced to about 0.75 times its balanced value.
The optimised results in Figure 9 show the system’s potential when operational parameters are fine-tuned. The hydrogen-focused scenario yields a significant 2952 kWh of hydrogen per tonne of MSW, nearly three times the hydrogen yield of the non-optimised hydrogen-focused scenario. This reinforces Birmingham’s potential as a key player in hydrogen production, suitable for large-scale hydrogen storage and supply for transportation and industry. However, this optimisation comes at a significant trade-off in electricity production.
The optimised electricity-focused scenario produces 1012 kWh electricity and 719 kWh of heat per tonne of MSW, making it well suited for meeting electricity demands, though less effective for supporting hydrogen infrastructure. In contrast, the balanced scenario provides the most operational flexibility, with optimised outputs of 591 kWh of electricity, 1124 kWh of hydrogen, and 529 kWh of heat per tonne of MSW. This balance enables Birmingham to address a variety of energy needs while building a hydrogen reserve in storage for future use. Notably, this optimised balance achieves substantial gains in hydrogen production—hydrogen output is 2.6 times greater than in the average balanced scenario—with only a minor reduction in heat output and a modest increase in electricity compared to the non-optimised results.
The electricity yields obtained in this simulation align well with those reported in the literature, which are based on real-world waste gasification systems. Prior studies estimate net electricity production at approximately 600–1000 kWh per tonne of MSW [48,49,50,51]. The results of the electricity-focused scenario in this study fall within this range, achieving 751 kWh per tonne on average, and 1013 kWh per tonne in optimised conditions, demonstrating a 1.4-fold increase in electricity output through optimisation, validating the simulation’s ability to meet expected performance benchmarks.
Overall, the optimised results across all three scenarios reveal enhanced system efficiency, with total energy production in each optimised scenario surpassing the non-optimised outputs. This suggests that fine-tuning operational parameters can significantly improve the energy recovery potential of gasification processes, making the system more responsive to specific energy goals.
The comparison between average and optimised results demonstrates that while the hydrogen-focused scenario maximises total energy recovery—ideal for hydrogen-centric applications—the balanced scenario offers greater adaptability, allowing Birmingham to respond more effectively to shifting energy demands across multiple sectors. This versatility is felt to be highly desirable for urban energy systems, where varying the types of outputs from different waste inputs can help to provide energy system flexibility over a range of time horizons.
3.3. Energy Supply vs. Demand
This section provides a high-level comparison of how much of the energy the waste resource could potentially supply to cover the annual demand of Birmingham’s area and a more localised geography around the existing energy from waste plant (Tyseley). These comparisons use the energy recovery scenarios under both the average (non-optimised) and optimised conditions. These outputs demonstrate the potential scale of gasification to help address Birmingham (and Tyseley’s) energy demand; the results are presented as hypothetical scenarios to provide comparative insights. Additionally, depending on the network connectivity, surplus energy production at times could be ’exported’ to demand outside of the local market, further enhancing the versatility and broader applicability of the gasification system. This flexibility positions Birmingham as a potential contributor to surrounding energy networks or emerging hydrogen markets. Figure 10 and Figure 11 illustrate these comparison ratios across six energy vectors and a particular demand:
Figure 10.
Supply vs. demand—average energy output for each scenario.
Figure 11.
Supply vs. demand—optimised energy output for each scenario.
- 1.
- Hydrogen demand for 144 buses (current level of fleet of diesel buses for entire West Midlands bus fleet)
- 2.
- Hydrogen demand for 480 buses projected for 2035 (for entire West Midlands bus fleet)
- 3.
- Electricity demand for Birmingham
- 4.
- Electricity demand for Tyseley
- 5.
- Heat demand for Birmingham
- 6.
- Heat demand for Tyseley.
3.3.1. Average (Non-Optimised) Results
The average results (Figure 10) represent typical operational conditions without parameter optimisation.
- Hydrogen Demand for Buses:
- –
- In the balanced scenario, the simulation provides a surplus of hydrogen production equal to 5.3 times the demand for 144 buses and 1.6 times the demand for 480 buses, indicating excess hydrogen that could be stored or redirected to other hydrogen applications.
- –
- The hydrogen-focused scenario further increases hydrogen availability, producing 8.5 times the demand for 144 buses and 2.6 times the demand for 480 buses. This highlights the scenario’s strong potential to support a hydrogen market for this element of transport.
- –
- However, in the electricity-focused scenario, hydrogen production is completely foregone, resulting in zero hydrogen production for both bus scenarios.
- Electricity Demand:
- –
- Birmingham’s electricity demand is minimally covered in all scenarios, with the balanced scenario meeting only 3% of demand, the electricity-focused scenario covering 4%, and the hydrogen-focused scenario supplying just 2% of demand. These results suggest that the system alone cannot meet Birmingham’s citywide electricity needs.
- –
- Tyseley’s electricity demand is much better served. The electricity-focused scenario supplies nearly seven times Tyseley’s demand, while the balanced and hydrogen-focused scenarios provide 5.1 times and 3.9 times the demand, respectively. This indicates that Tyseley’s electricity needs can be comfortably met in most configurations.
- Heat Demand:
- –
- For Birmingham, heat demand is minimally covered, reaching only 2% of demand in the balanced scenario, 3% in the electricity-focused scenario, and 1% in the hydrogen-focused scenario.
- –
- Tyseley’s heat demand is more than sufficiently met across all scenarios, with the balanced scenario providing 2.9 times demand, the electricity-focused scenario meeting 3.92 times demand, and the hydrogen-focused scenario producing 2.2 times the demand. This surplus heat could comfortably support Tyseley’s needs and additional applications.
3.3.2. Optimised Results
The optimised results (Figure 11) show supply-to-demand ratios when operational parameters are fine-tuned to maximise energy recovery. Optimisation significantly enhances supply capacity across most scenarios, particularly for hydrogen.
- Hydrogen Demand for Buses:
- –
- Optimisation yields substantial gains in the hydrogen-focused scenario, where hydrogen production meets 23 times the demand for 144 buses and 6.9 times the demand for 480 buses. This large surplus suggests Birmingham could not only fulfill its hydrogen bus requirements but also help to serve broader hydrogen markets outside of this particular transport demand.
- –
- In the balanced scenario, hydrogen supply increases to 8.8 times the demand for 144 buses and 2.6 times the demand for 480 buses, indicating significant improvements in surplus hydrogen availability for diverse applications.
- –
- The electricity-focused scenario remains dedicated to electricity production, resulting in zero hydrogen production for bus demand.
- Electricity Demand:
- –
- Birmingham’s electricity demand remains under-served even in optimised conditions. The highest supply ratio achieved is 7% in the electricity-focused scenario, with the balanced and hydrogen-focused scenarios meeting only 4% and 1% of demand, respectively.
- –
- Tyseley’s electricity demand, however, benefits significantly from optimisation. The electricity-focused scenario now supplies over 12 times Tyseley’s annual electricity demand, while the balanced and hydrogen-focused scenarios meet 7 times and 1.2 times demand, respectively. These high ratios suggest ample capacity to meet Tyseley’s needs, with surplus electricity potentially available for export or other uses.
- Heat Demand:
- –
- For Birmingham, heat demand remains minimally served, with optimised supply ratios of just 2% in the balanced and electricity-focused scenarios, and 1% in the hydrogen-focused scenario. This emphasises the need for additional heat generation strategies to meet Birmingham’s broader heating requirements.
- –
- Tyseley’s heat demand sees minor reductions in coverage with optimisation but remains well served in two scenarios. The balanced scenario meets 2.8 times demand, and the electricity-focused scenario supplies 3.8 times demand, both providing surplus heat. However, in the hydrogen-focused scenario, heat supply drops to 0.79 times demand, falling short of full annual coverage.
3.3.3. Insights and Implications for Birmingham’s Energy Strategy
The hydrogen-focused scenario reveals Birmingham’s strong potential for hydrogen production, with capacity to meet nearly 23 times the hydrogen demand for 144 buses and close to seven times the demand for 480 buses under optimised conditions. This significant surplus indicates Birmingham’s capability to support a nascent hydrogen infrastructure, aligning with future objectives for transportation, and industrial applications and potentially hydrogen storage to support energy resilience. Even under non-optimised conditions, Birmingham could position itself as a regional hub for hydrogen distribution from waste.
For electricity, Tyseley’s demand is easily met across most scenarios, particularly in the electricity-focused and optimised configurations, which ensure a local supply and even potential for electricity export. However, Birmingham’s broader electricity needs are only minimally covered in all configurations.
Meeting Tyseley’s heat demand is achievable, with the potential to utilise surplus heat via Birmingham’s existing district heat networks. While these networks already serve certain areas of the city [52], expanding them or enhancing their integration could allow for more effective use of waste-derived heat. However, providing comprehensive heat coverage for Birmingham remains a challenge due to the localised nature of district heat networks. Additional infrastructure or alternative heat generation strategies would be required to meet the city’s broader heating needs, especially in areas not currently serviced by these networks.
The balanced scenario offers Birmingham the most versatile approach, providing moderate coverage across hydrogen, electricity, and heat demands. While it does not maximise any single energy vector, it provides flexibility to adapt to fluctuating urban energy needs. This adaptability is felt to be increasing in value in urban energy systems where demand changes across time and vector.
In summary, Birmingham’s hydrogen-focused scenarios highlight the city’s potential to become a regional leader in hydrogen production from waste, supporting longer-term goals for waste utilisation and future hydrogen infrastructure needs. The electricity-focused scenario effectively meets Tyseley’s electricity demand with surplus capacity for export. Meanwhile, the balanced scenario enables multi-sector adaptability, providing moderate surpluses across hydrogen, electricity, and heat, and contributing to a more resilient and flexible energy strategy for Birmingham.
3.4. Uncertainties and Limitations of This Study
The gasification data used in this study [5] are derived from lab- and pilot-scale reactors, which introduces inherent uncertainties when considered for commercial-scale systems—an important limitation to acknowledge within this study. Smaller-scale systems often operate under controlled and idealised conditions, whereas real-world, large-scale systems encounter more complex operational challenges. Non-linear scaling effects in reactor kinetics, heat transfer, and equipment wear can lead to differences in syngas yields, energy efficiencies, and emissions. Additionally, maintenance requirements and design constraints that emerge in commercial applications are not always captured in pilot-scale research.
That said, commercial systems may mitigate some of these uncertainties through continuous operation, which reduces efficiency losses during start-up and shutdown, as well as through engineering refinements like optimised reactor geometries and advanced controls. Economies of scale, such as improved heat recovery and more efficient gas-cleaning processes, may also enhance performance. While this study has taken reasonable steps to simulate commercial-scale conditions, semi-industrial validation would further refine these predictions and account for the uncertainties associated with scaling.
Feedstock variability is another key area of uncertainty in this study. The composition of MSW typically varies due to seasonal, regional, and socio-economic factors, affecting parameters like moisture content, energy density, and chemical composition. These variations can influence gasifier efficiency and syngas quality, introducing challenges in predicting system performance. Moreover, the feedstocks used in the gasification dataset [5] were not specific to Birmingham and may differ from the city’s waste composition.
4. Conclusions
This study assessed the potential energy recovery from municipal solid waste (MSW) gasification using Monte Carlo simulation. The results indicate that gasification can meet local electricity and heat demands in Tyseley, but covers only 7% of Birmingham’s electricity needs and 2% of its heating requirements at the city scale.
The hydrogen-focused scenario produces up to 23 times the fuel demand for a 144-bus fleet, highlighting its potential contribution to local transport decarbonisation. The balanced scenario provides a mix of electricity, heat, and hydrogen, offering flexibility in energy recovery. The electricity-focused scenario achieves up to 1012 kWh per tonne of MSW, supporting localised electricity demand but does not contribute to hydrogen infrastructure.
Gasification presents an alternative to incineration, with potential for increased efficiency and lower carbon emissions. However, its effectiveness depends on feedstock composition, reactor conditions, and integration with existing energy infrastructure. Future work should focus on techno-economic feasibility, grid integration, and waste feedstock variability to optimise the role of gasification in urban energy systems.
Author Contributions
Conceptualisation, K.P. and G.W.; methodology, K.P. and G.W.; validation, K.P., G.W. and B.A.-D.; formal analysis, K.P.; investigation, K.P.; resources, K.P.; data curation, K.P.; writing—original draft preparation, K.P.; writing—review and editing, K.P., G.W. and B.A.-D.; visualisation, K.P.; supervision, K.P., G.W. and B.A.-D.; project administration, K.P. All authors have read and agreed to the published version of the manuscript.
Funding
Funding for this research was provided by the Engineering and Physical Sciences Research Council (EPSRC) and the University of Birmingham.
Data Availability Statement
Data available upon request.
Acknowledgments
The authors are grateful to the Sustainable Hydrogen Centre for Doctoral Training for their funding and support throughout this research.
Conflicts of Interest
The authors declare no conflicts of interest.
References
- United Nations Environment Programme. Global Waste Management Outlook 2024; Technical Report; United Nations Environment Programme: Nairobi, Kenya, 2024. [Google Scholar] [CrossRef]
- IEA Bioenergy. Material and Energy Valorisation of Waste in a Circular Economy; Technical Report; IEA Bioenergy: Didcot, UK, 2022. [Google Scholar]
- Environment Agency. Pollution Inventory Reporting Guidance Note; Environment Agency: Bristol, UK, 2024. [Google Scholar]
- DEFRA. Local Authority Collected Waste Management-Annual Results; Department for Environment Food and Rural Affairs: London, UK, 2024. [Google Scholar]
- Ascher, S.; Sloan, W.; Watson, I.; You, S. A comprehensive artificial neural network model for gasification process prediction. Appl. Energy 2022, 320, 119289. [Google Scholar] [CrossRef]
- Global CCS Institute. Bioenergy and Carbon Capture and Storage: 2019 Perspective; Global CCS Institute: Melbourne, Australia, 2019. [Google Scholar]
- Dong, B.; Wang, S.; Thorin, E.; Sun, Q.; Li, H. Negative emission potential from biomass/waste combined heat and power plants integrated with CO2 capture: An approach from the national perspective. J. Clean. Prod. 2024, 467, 142917. [Google Scholar] [CrossRef]
- Hameed, Z.; Aslam, M.; Khan, Z.; Maqsood, K.; Atabani, A.E.; Ghauri, M.; Khurram, M.S.; Rehan, M.; Nizami, A.S. Gasification of municipal solid waste blends with biomass for energy production and resources recovery: Current status, hybrid technologies and innovative prospects. Renew. Sustain. Energy Rev. 2021, 136, 110375. [Google Scholar] [CrossRef]
- Shabani, S.; Aghajani Delavar, M.; Azmi, M. Investigation of biomass gasification hydrogen and electricity co-production with carbon dioxide capture and storage. Int. J. Hydrogen Energy 2013, 38, 3630–3639. [Google Scholar] [CrossRef]
- Wang, B.; Gupta, R.; Bei, L.; Wan, Q.; Sun, L. A review on gasification of municipal solid waste (MSW): Syngas production, tar formation, mineral transformation and industrial challenges. Int. J. Hydrogen Energy 2023, 48, 26676–26706. [Google Scholar] [CrossRef]
- Xie, D.; Zhang, E.; Li, R.; Zhang, Y. Syngas CO cleaning for fuel cell applications by preferential oxidation: Catalyst development and reactor design. Int. J. Low-Carbon Technol. 2014, 9, 63–70. [Google Scholar] [CrossRef]
- Chicco, G.; Mancarella, P. Distributed multi-generation: A comprehensive view. Renew. Sustain. Energy Rev. 2009, 13, 535–551. [Google Scholar] [CrossRef]
- Persson, U.; Werner, S. Heat distribution and the future competitiveness of district heating. Appl. Energy 2011, 88, 568–576. [Google Scholar] [CrossRef]
- Panepinto, D.; Zanetti, M.C. Municipal solid waste incineration plant: A multi-step approach to the evaluation of an energy-recovery configuration. Waste Manag. 2018, 73, 332–341. [Google Scholar] [CrossRef] [PubMed]
- Rudra, S.; Rosendahl, L.; Blarke, M.B. Process analysis of a biomass-based quad-generation plant for combined power, heat, cooling, and synthetic natural gas production. Energy Convers. Manag. 2015, 106, 1276–1285. [Google Scholar] [CrossRef]
- International Renewable Energy Agency. Global Hydrogen Trade to Meet the 1.5 °C Climate Goal Part I Trade Outlook for 2050 and Way Forward; International Renewable Energy Agency: Abu Dhabi, United Arab Emirates, 2022. [Google Scholar]
- Murphy, J.D.; McKeogh, E. Technical, economic and environmental analysis of energy production from municipal solid waste. Renew. Energy 2004, 29, 1043–1057. [Google Scholar] [CrossRef]
- Hognert, J.; Nilsson, L. The small-scale production of hydrogen, with the co-production of electricity and district heat, by means of the gasification of municipal solid waste. Appl. Therm. Eng. 2016, 106, 174–179. [Google Scholar] [CrossRef]
- Pereira Silva, T.; Guimarães de Oliveira, M.; Marques Mourão, J.M.; Bezerra dos Santos, A.; Lopes Pereira, E. Monte Carlo-based model for estimating methane generation potential and electric energy recovery in swine wastewater treated in UASB systems. J. Water Process. Eng. 2023, 51, 103399. [Google Scholar] [CrossRef]
- Rosa, A.P.; Lobato, L.C.; Chernicharo, C.A. Mathematical model to predict the energy potential of UASB-based sewage treatment plants. Braz. J. Chem. Eng. 2020, 37, 73–87. [Google Scholar] [CrossRef]
- Behbahaninia, A.; Banifateme, M.; Azmayesh, M.H.; Naderi, S.; Pignatta, G. Markov and monte carlo simulation of waste-to-energy power plants considering variable fuel analysis and failure rates. J. Energy Resour. Technol. Trans. ASME 2022, 144, 062101. [Google Scholar] [CrossRef]
- Sadati, S.A.; Zaukeri Getabi, P.; Rabbani, M. A sustainable modelling for solid waste management using analytical hierarchy process, Monte Carlo simulation and NSGA-III. Int. J. Syst. Sci. Oper. Logist. 2024, 11, 2301603. [Google Scholar] [CrossRef]
- Baležentis, T.; Streimikiene, D. Multi-criteria ranking of energy generation scenarios with Monte Carlo simulation. Appl. Energy 2017, 185, 862–871. [Google Scholar] [CrossRef]
- Fang, Y.; Ma, L.; Yao, Z.; Li, W.; You, S. Process optimization of biomass gasification with a Monte Carlo approach and random forest algorithm. Energy Convers. Manag. 2022, 264, 115734. [Google Scholar] [CrossRef]
- Colantoni, A.; Villarini, M.; Monarca, D.; Carlini, M.; Mosconi, E.M.; Bocci, E.; Rajabi Hamedani, S. Economic analysis and risk assessment of biomass gasification CHP systems of different sizes through Monte Carlo simulation. Energy Rep. 2021, 7, 1954–1961. [Google Scholar] [CrossRef]
- Office for National Statistics. Birmingham Population Change, Census 2021—ONS. Available online: https://www.ons.gov.uk/visualisations/censuspopulationchange/E08000025/ (accessed on 8 October 2024).
- Chuhan, M. Birmingham City Council Report to Cabinet; Technical Report; Birmingham City Council: Birmingham, UK, 2023. [Google Scholar]
- Rainis, F.A. The Tyseley Incinerator: Birmingham's Never-Ending Carbon Machine. 2022. Available online: https://birminghameastside.com/the-tyseley-incinerator-birminghams-never-ending-carbon-machine/ (accessed on 7 September 2024).
- Environment Agency. 2020 Pollution Inventory Dataset; Environment Agency: Bristol, UK, 2024. [Google Scholar]
- Birmingham City Council. Tyseley Local Development Order; Technical Report; Birmingham City Council: Birmingham, UK, 2017. [Google Scholar]
- Tyseley Energy Park. Tyseley Energy Park Powering Clean Energy Growth. 2019. Available online: https://www.birmingham.ac.uk/documents/college-eps/energy/research/tep-brochure-powering-clean-energy-growth.pdf (accessed on 7 September 2024).
- Department for Environment Food and Rural Affairs. UK Statistics on Waste; Department for Environment Food and Rural Affairs: London, UK, 2024. [Google Scholar]
- Department for Energy Security and Net Zero. Sub-National Total Final Energy Consumption; Department for Energy Security and Net Zero: London, UK, 2024. [Google Scholar]
- DEFRA. WasteDataFlow—Local Authority Waste Management; Department for Environment Food and Rural Affairs: London, UK, 2024; Available online: https://www.wastedataflow.org/login.aspx?logoff=true (accessed on 10 September 2024).
- Department for Energy Security and Net Zero; Department for Business, Energy & Industrial Strategy. Combined Heat and Power (CHP) Developers Guides; Department for Energy Security and Net Zero: London, UK, 2008. [Google Scholar]
- Franco, A.; Giovannini, C. Hydrogen Gas Compression for Efficient Storage: Balancing Energy and Increasing Density. Hydrogen 2024, 5, 293–311. [Google Scholar] [CrossRef]
- Office for National Statistics. 2021 Census: Birmingham Population Data; Technical Report; Office for National Statistics: London, UK, 2022. [Google Scholar]
- Regional Gross Domestic Product: Local Authorities; Office for National Statistics: London, UK, 2022.
- The Engineering ToolBox. Gases—Gross and Net Heat Values. 2009. Available online: https://www.engineeringtoolbox.com/gross-net-heating-values-d_420.html (accessed on 12 September 2024).
- The Engineering ToolBox. Molecular Weight of Substances. 2009. Available online: https://www.engineeringtoolbox.com/molecular-weight-gas-vapor-d_1156.html (accessed on 12 September 2024).
- The Engineering ToolBox. The Ideal Gas Law. 2009. Available online: https://www.engineeringtoolbox.com/ideal-gas-law-d_157.html (accessed on 12 September 2024).
- The Waste and Resources Action Programme (WRAP). National Household Waste Composition 2017; WRAP: Bristol, UK, 2018. [Google Scholar]
- Deb, K.; Pratap, A.; Agarwal, S.; Meyarivan, T. A fast and elitist multiobjective genetic algorithm: NSGA-II. IEEE Trans. Evol. Comput. 2002, 6, 182–197. [Google Scholar] [CrossRef]
- Young, G.C. Municipal Solid Waste to Energy Conversion Processes: Economic, Technical, and Renewable Comparisons; John Wiley & Sons: Hoboken, NJ, USA, 2010; Volume 1, pp. 1–400. [Google Scholar]
- Wilson, G.; Taylor, R.; Rowley, P. Challenges for the Decarbonisation of Heat: Local Gas Demand vs. Electricity Supply Winter 2017/2018; UK Energy Research Centre (UKERC): London, UK, 2018. [Google Scholar]
- Egging-Bratseth, R.; Kauko, H.; Knudsen, B.R.; Bakke, S.A.; Ettayebi, A.; Haufe, I.R. Seasonal storage and demand side management in district heating systems with demand uncertainty. Appl. Energy 2021, 285, 116392. [Google Scholar] [CrossRef]
- Zhang, J.; Wei, H. A review on configuration optimization of hybrid energy system based on renewable energy. Front. Energy Res. 2022, 10, 977925. [Google Scholar] [CrossRef]
- Nubi, O.; Morse, S.; Murphy, R.J. Electricity Generation from Municipal Solid Waste in Nigeria: A Prospective LCA Study. Sustainability 2022, 14, 9252. [Google Scholar] [CrossRef]
- Milbrandt, A.; Kraft, K.; Avery, G. Comparison of Select Thermochemical Conversion Options for Municipal Solid Waste to Energy. 2023. Available online: https://www.nrel.gov/docs/fy23osti/86461.pdf (accessed on 11 October 2024).
- McFarland, K. How Gasification Is Used for Power Generation; SynTech Bioenergy, LLC: Englewood, CO, USA, 2017. [Google Scholar]
- Global Syngas Technologies Council. Waste to Energy Gasification; Global Syngas Technologies Council: Arlington, VA, USA, 2024. [Google Scholar]
- Department for Energy Security and Net Zero. Heat Network Zoning Maps-GOV.UK; Technical Report; Department for Energy Security and Net Zero: London, UK, 2024. [Google Scholar]
Disclaimer/Publisher’s Note: The statements, opinions and data contained in all publications are solely those of the individual author(s) and contributor(s) and not of MDPI and/or the editor(s). MDPI and/or the editor(s) disclaim responsibility for any injury to people or property resulting from any ideas, methods, instructions or products referred to in the content. |
© 2025 by the authors. Licensee MDPI, Basel, Switzerland. This article is an open access article distributed under the terms and conditions of the Creative Commons Attribution (CC BY) license (https://creativecommons.org/licenses/by/4.0/).










