Comparative Evaluation of the Effect of Exhaust Gas Recirculation Usage on the Performance Characteristics and Emissions of a Natural Gas/Diesel Compression-Ignition Engine Operating at Part-Load Conditions
Abstract
1. Introduction
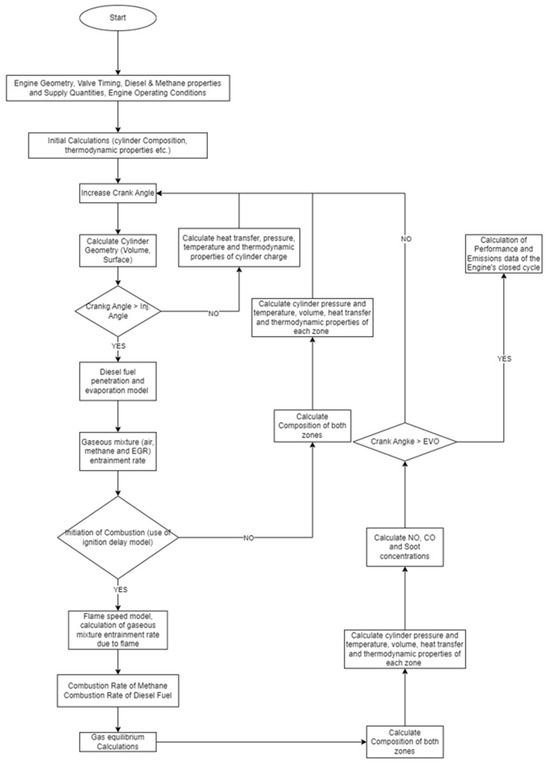
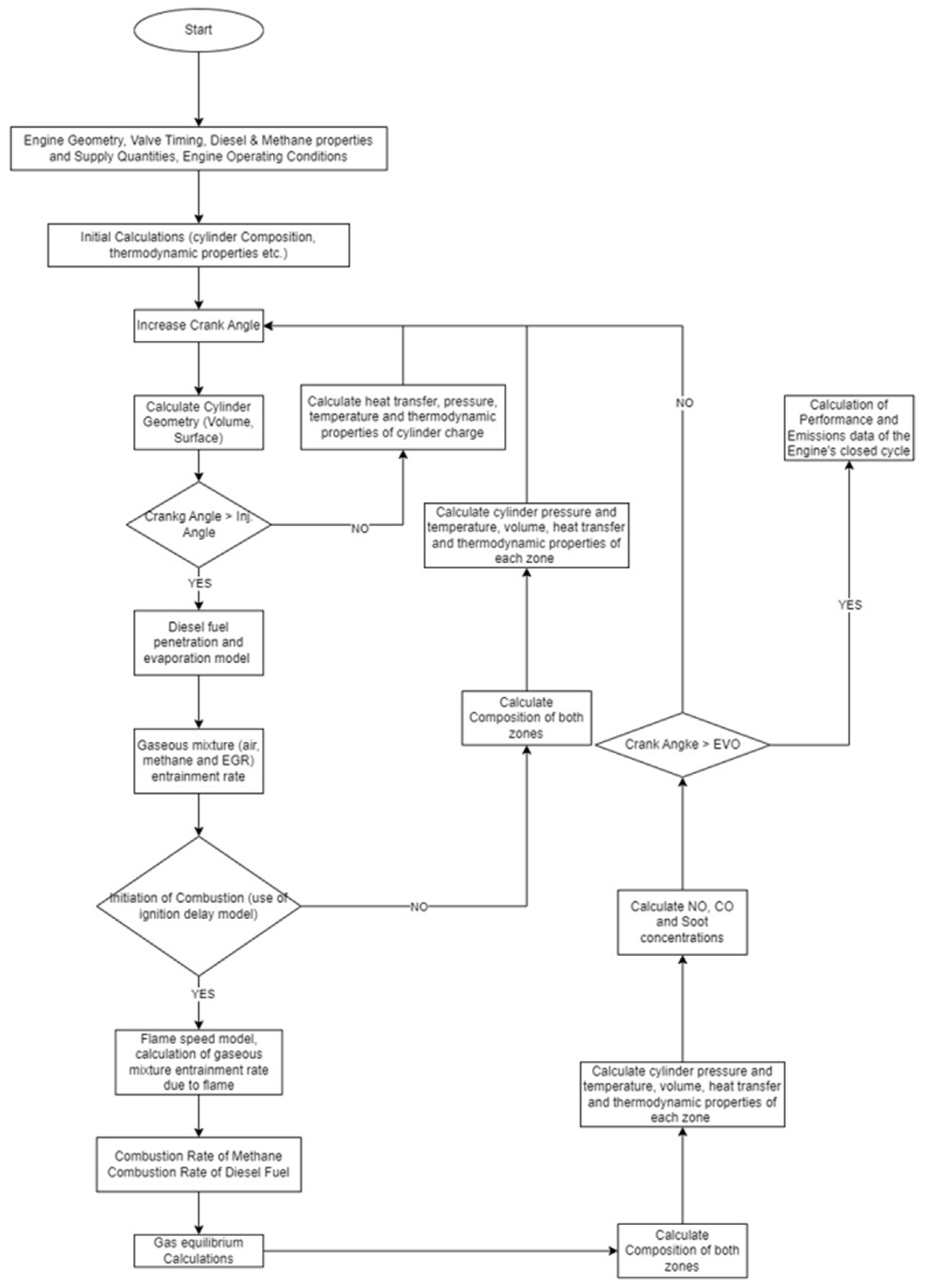
2. Brief Description of the Model
3. Mathematical Treatment
3.1. Conservation of Mass Energy and State Equations
3.2. Heat Transfer Model
3.3. Liquid Fuel Spray Development
3.4. Ignition Delay
3.5. Flame Speed
3.6. Burning Zone Definition Before Initiation of Combustion
3.7. Burning Zone Definition After Initiation of Combustion
3.7.1. Flame Front Propagation Before Its Impingement on Cylinder Wall
3.7.2. Flame Front Propagation After Its Impingement on Cylinder Wall
3.8. Total Heat Release Rate
3.9. Diesel Fuel Combustion
3.10. Methane Combustion
3.11. Chemical Equilibrium
3.12. Nitric Oxide Formation Model
3.13. Carbon Oxide Formation Model
3.14. Soot Formation Model
3.15. EGR Simulation
4. Experimental Data
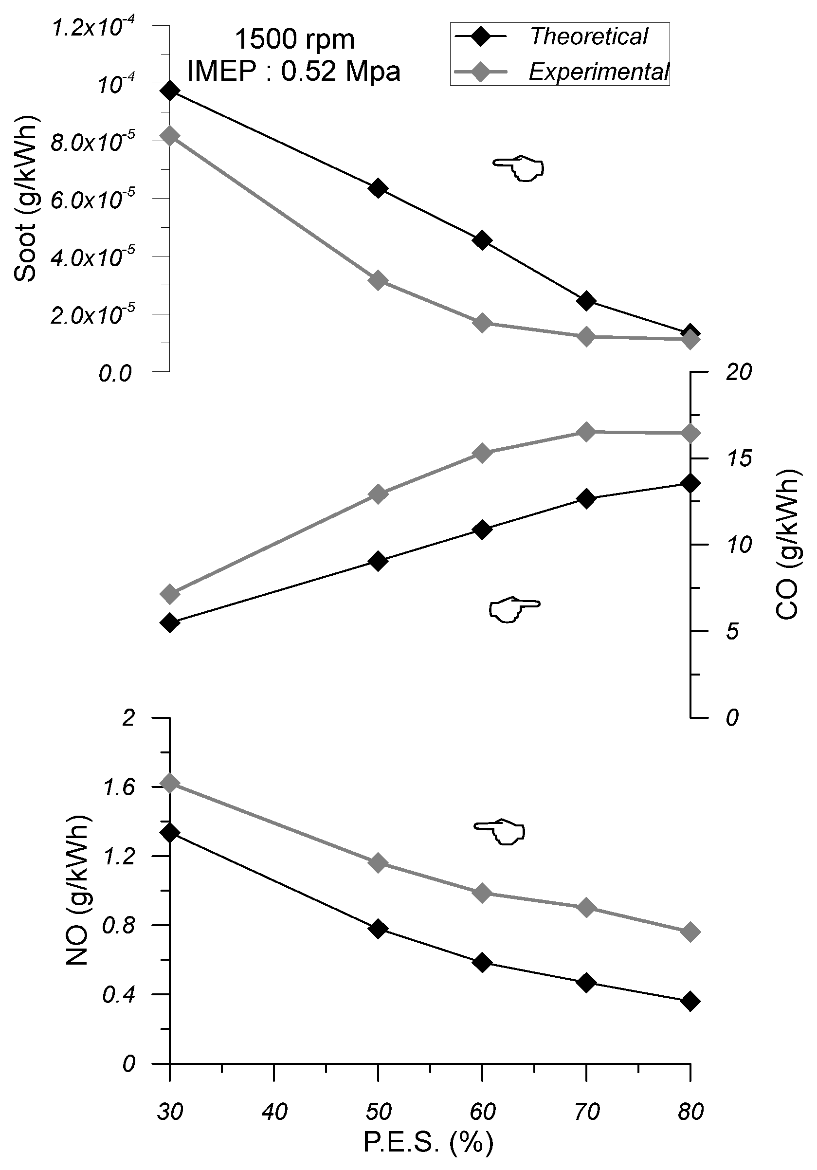
5. Model Validation
6. Test Cases Examined
7. Results and Discussion
8. Summary and Conclusions
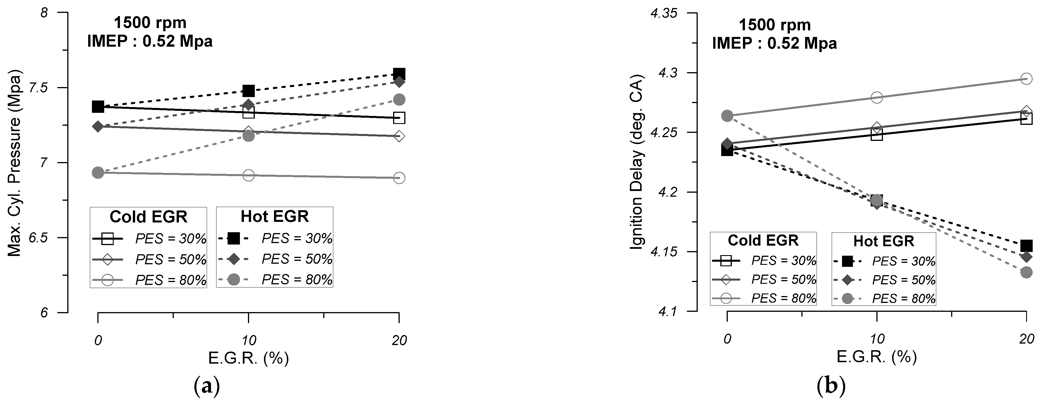
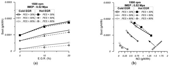
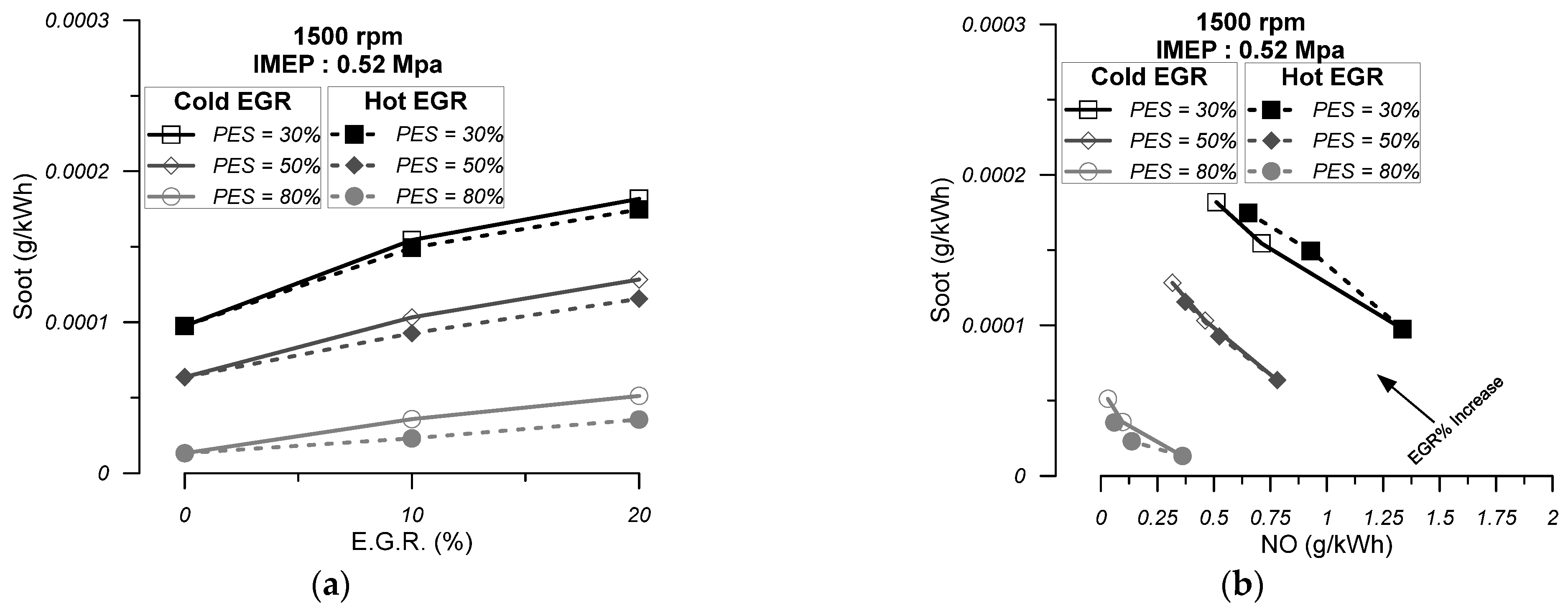
- The increase in the cold EGR quantity does not have a significant impact on the mean cylinder pressure and net apparent heat release diagrams compared with NDFO. Thus, the main performance characteristics of the engine are not seriously affected. More specifically, the maximum cylinder pressure is slightly reduced, and the ignition delay period, combustion duration, ISEC, and cylinder exhaust gas temperature are slightly increased. As far as the specific emissions are concerned, the increase in cold EGR results in decreased NO emissions and increased CO and soot emissions compared with NDFO. In particular, when combined with high PES (80%), engine operation with 10% cold EGR can result in very low levels of NO and soot emissions without a serious penalty on engine efficiency and a moderate increase in CO emissions.
- The increase in hot EGR, on the other hand, seems to have a significant effect on the mean cylinder pressure and the net apparent heat release diagrams compared with NDFO. The mean cylinder pressure becomes higher than NDFO during the compression phase and the initial combustion phase. By observing the net apparent heat release diagram, it is revealed that the flame combustion rate decreases compared to NDFO during the initial stages of flame development. Regarding the main performance characteristics of the engine, it can be concluded that with the increasing EGR quantity, the maximum cylinder pressure increases, which may raise issues regarding the mechanical strength of the engine. Also, the ignition delay is reduced, while the combustion duration of the ISEC and the exhaust gas temperature are increased to higher values than cold EGR. As far as the specific emissions are concerned, the increase in hot EGR leads to a decrease in NO emissions and an increase in CO emissions and soot emissions compared to NDFO. The NO-specific emissions are higher compared to the respective emissions when the engine is operating with cold EGR, while the specific CO and soot emissions are lower.
- On the whole, it can be concluded that the addition of a 10% quantity of cold EGR in the cylinder charge when the engine is operating at 80% PES can lead to a serious reduction in specific NO and soot levels without any serious effect on the engine efficiency and mechanical strength of the engine. Furthermore, the increase in CO emissions observed can be considered moderate.
Author Contributions
Funding
Data Availability Statement
Conflicts of Interest
Appendix A

References
- Hountalas, T.D.; Founti, M.; Zannis, T.C. Experimental investigation to assess the performance characteristics of a marine two-stroke dual fuel engine under diesel and natural gas mode. Energies 2023, 16, 3551. [Google Scholar] [CrossRef]
- Livaniou, S.; Papadopoulos, G.A. Liquefied natural gas (LNG) as a transitional choice replacing marine conventional fuels (heavy fuel oil/marine diesel oil), towards the era of decarbonisation. Sustainability 2022, 14, 16364. [Google Scholar] [CrossRef]
- Arefin, M.A.; Nabi, M.N.; Akram, M.W.; Islam, M.T.; Chowdhury, M.W. A review on liquefied natural gas as fuels for dual fuel engines: Opportunities, challenges and responses. Energies 2020, 13, 6127. [Google Scholar] [CrossRef]
- Yusuf, N.; Al-Ansari, T. Current and future role of natural gas supply chains in the transition to a low-carbon hydrogen economy: A comprehensive review on integrated natural gas supply chain optimisation models. Energies 2023, 16, 7672. [Google Scholar] [CrossRef]
- Wang, Y.; Wright, L.A. A comparative review of alternative fuels for the maritime sector: Economic, technology, and policy challenges for clean energy implementation. World 2021, 2, 456–481. [Google Scholar] [CrossRef]
- Korakianitis, T.; Namasivayam, A.M.; Crookes, R.J. Natural-gas fueled spark-ignition (SI) and compression-ignition (CI) engine performance and emissions. Prog. Energy Combust. Sci. 2011, 37, 89–112. [Google Scholar] [CrossRef]
- Chala, G.T.; Abd Aziz, A.R.; Hagos, F.Y. Natural gas engine technologies: Challenges and energy sustainability issue. Energies 2018, 11, 2934. [Google Scholar] [CrossRef]
- Cho, H.M.; He, B.Q. Combustion and emission characteristics of a natural gas engine under different operating conditions. Environ. Eng. Res. 2009, 14, 95–101. [Google Scholar] [CrossRef]
- Hountalas, D.T.; Papagiannakis, R.G. Theoretical and experimental investigation of a direct injection dual fuel diesel-natural gas engine. In Proceedings of the SAE 2002 World Congress & Exhibition, Detroit, MI, USA, 4–7 March 2002; p. 2002-01–0868. [Google Scholar] [CrossRef]
- Karim, G.A. A review of combustion processes in the dual fuel engine—The gas diesel engine. Prog. Energy Combust. Sci. 1980, 6, 277–285. [Google Scholar] [CrossRef]
- Guo, H.; Liko, B.; Luque, L.; Littlejohns, J. Combustion performance and unburned hydrocarbon emissions of a natural gas–diesel dual fuel engine at a low load condition. J. Eng. Gas Turbines Power 2018, 140, 112801. [Google Scholar] [CrossRef]
- Fakhari, A.H.; Shafaghat, R.; Jahanian, O.; Ezoji, H.; Motallebi Hasankola, S.S. Numerical simulation of natural gas/diesel dual-fuel engine for investigation of performance and emission. J. Therm. Anal. Calorim. 2020, 139, 2455–2464. [Google Scholar] [CrossRef]
- Cho, H.M.; He, B.-Q. Spark ignition natural gas engines—A review. Energy Convers. Manag. 2007, 48, 608–618. [Google Scholar] [CrossRef]
- Manivannan, A.; Porai, P.T.; Chandrasekaran, S.; Ramprabhu, R. Lean burn natural gas spark ignition engine—An overview. In Proceedings of the 2003 World Congress & Exhibition, Madrid, Spain, 16–20 November 2003; p. 2003-01–0638. [Google Scholar] [CrossRef]
- Xiang, L.; Song, E.; Ding, Y. A two-zone combustion model for knocking prediction of marine natural gas SI engines. Energies 2018, 11, 561. [Google Scholar] [CrossRef]
- Boretti, A. Numerical analysis of high-pressure direct injection dual-fuel diesel-liquefied natural gas (LNG) engines. Processes 2020, 8, 261. [Google Scholar] [CrossRef]
- Yang, R.; Theotokatos, G.; Vassalos, D. CFD modelling and numerical investigation of a large marine two-stroke dual fuel direct injection engine. Ships Offshore Struct. 2022, 17, 1062–1074. [Google Scholar] [CrossRef]
- Li, J.; Wang, J.; Liu, T.; Dong, J.; Liu, B.; Wu, C.; Ye, Y.; Wang, H.; Liu, H. An investigation of the influence of gas injection rate shape on high-pressure direct-injection natural gas marine engines. Energies 2019, 12, 2571. [Google Scholar] [CrossRef]
- Liu, L.; Liu, S.; Xia, Q.; Liu, B.; Ma, X. Numerical investigation on mixing characteristics and mechanism of natural gas/air in a super-large-bore dual-fuel marine engine. Atmosphere 2022, 13, 1528. [Google Scholar] [CrossRef]
- Carlucci, A.P.; Laforgia, D.; Saracino, R.; Toto, G. Combustion and emissions control in diesel–methane dual fuel engines: The effects of methane supply method combined with variable in-cylinder charge bulk motion. Energy Convers. Manag. 2011, 52, 3004–3017. [Google Scholar] [CrossRef]
- Yousefi, A.; Guo, H.; Birouk, M. Effect of swirl ratio on NG/diesel dual-fuel combustion at low to high engine load conditions. Appl. Energy 2018, 229, 375–388. [Google Scholar] [CrossRef]
- Zhou, H.; Zhao, H.W.; Huang, Y.P.; Wei, J.H.; Peng, Y.H. Effects of injection timing on combustion and emission performance of dual-fuel diesel engine under low to medium load conditions. Energies 2019, 12, 2349. [Google Scholar] [CrossRef]
- Pirouzpanah, V.; Saray, R.K. A predictive model for the combustion process in dual fuel engines at part loads using a quasi-dimensional multi-zone model and detailed chemical kinetics mechanism. IJE Trans. B Appl. 2006, 19, 83–98. [Google Scholar]
- Papagiannakis, R.G.; Krishnan, S.R.; Rakopoulos, D.C.; Srinivasan, K.K.; Rakopoulos, C.D. A combined experimental and theoretical study of diesel fuel injection timing and gaseous fuel/diesel mass ratio effects on the performance and emissions of natural gas-diesel HDDI engine operating at various loads. Fuel 2017, 202, 675–687. [Google Scholar] [CrossRef]
- Alla, G.H.A.; Soliman, H.A.; Badr, O.A.; Rabbo, M.F.A. Effect of pilot fuel quantity on the performance of a dual fuel engine. Energy Convers. Manag. 1999, 41, 559–572. [Google Scholar] [CrossRef]
- Papagiannakis, R.G. Study of air inlet preheating and EGR impacts for improving the operation of compression ignition engine running under dual fuel mode. Energy Convers. Manag. 2013, 68, 40–53. [Google Scholar] [CrossRef]
- Ishida, M.; Tagai, T.; Ueki, H. Effect of EGR and preheating on natural gas combustion assisted with gas–oil in a diesel engine. JSME Int. J. 2003, 46, 124–130. [Google Scholar] [CrossRef][Green Version]
- Papagiannakis, R.G.; Hountalas, D.T.; Krishnan, S.R.; Srinivasan, K.K.; Rakopoulos, D.C.; Rakopoulos, C.D. Numerical evaluation of the effects of compression ratio and diesel fuel injection timing on the performance and emissions of a fumigated natural gas–diesel dual-fuel engine. J. Energy Eng. 2016, 142, E4015015. [Google Scholar] [CrossRef]
- Pirouzpanah, V.; Saray, R.K. Reduction of emissions in an automotive direct injection diesel engine dual-fuelled with natural gas by using variable exhaust gas recirculation. Proc. Inst. Mech. Eng. Part D J. Automob. Eng. 2003, 217, 719–725. [Google Scholar] [CrossRef]
- Abdelaal, M.M.; Hegab, A.H. Combustion and emission characteristics of a natural gas-fueled diesel engine with EGR. Energy Convers. Manag. 2012, 64, 301–312. [Google Scholar] [CrossRef]
- Papagiannakis, R.G.; Hountalas, D.T. Comparative evaluation of various strategies for improving the characteristics of performance of a pilot ignited natural gas/diesel engine. Procedia-Soc. Behav. Sci. 2012, 48, 3284–3296. [Google Scholar] [CrossRef]
- Paykani, A.; Khoshbakhti Saray, R.; Shervani-Tabar, M.T.; Mohammadi-Kousha, A. Effect of exhaust gas recirculation and intake pre-heating on performance and emission characteristics of dual fuel engines at part loads. J. Cent. South Univ. Technol. 2012, 19, 1346–1352. [Google Scholar] [CrossRef]
- Qi, Y.; Srinivasan, K.K.; Krishnan, S.R.; Yang, H.; Midkiff, K.C. Effect of hot exhaust gas recirculation on the performance and emissions of an advanced injection low pilot-ignited natural gas engine. Int. J. Engine Res. 2007, 8, 289–303. [Google Scholar] [CrossRef]
- De Robbio, R.; Cameretti, M.C.; Mancaruso, E.; Tuccillo, R.; Vaglieco, B.M. CFD Study and Experimental Validation of a Dual Fuel Engine: Effect of Engine Speed. Energies 2021, 14, 4307. [Google Scholar] [CrossRef]
- Schiffner, M.; Grochowina, M.; Sattelmayer, T. Development of a numerical model for ignition phenomena in a micro pilot ignited dual fuel engine with external mixture formation. In Proceedings of the ASME Internal Combustion Engine Division Fall Technical Conference, Seattle, WA, USA, 15–18 October 2017; p. V002T06A006. [Google Scholar]
- Mancaruso, E.; Vaglieco, B.M. CFD analysis of the combustion process in dual-fuel diesel engines. In SAE Technical Paper 2018-01-0257; SAE: Warrendale, PA, USA, 2018. [Google Scholar]
- Seykens, X.L.J. Development and Validation of a Phenomenological Diesel Engine Combustion Model. Ph.D. Dissertation, Technische Universiteit Eindhoven, Eindhoven, The Netherlands, 2010. Available online: https://pure.tue.nl/ws/files/3302351/656995.pdf (accessed on 6 January 2025).
- Benson, R.S.; Whitehouse, N.D. Internal Combustion Engines: A Detailed Introduction to the Thermodynamics of Spark and Compression Ignition Engines, Their Design and Development, 1st ed.; Elsevier: Oxford, UK, 2013. [Google Scholar]
- Taritaš, I.; Kožarac, D.; Šjerić, M.; Sierra-Aznar, M.; Vuilleumier, D.; Tatschl, R. Development and validation of a quasi-dimensional dual fuel (diesel–natural gas) combustion model. SAE Int. J. Engines 2017, 10, 483–500. [Google Scholar] [CrossRef]
- Liu, Z.; Karim, G.A. Simulation of combustion processes in gas-fuelled diesel engines. Proc. Inst. Mech. Eng. A 1997, 211, 111–120. [Google Scholar] [CrossRef]
- Rakopoulos, C.D.; Michos, C.N. Availability analysis of a syngas fueled spark ignition engine using a multi-zone combustion model. Energy 2008, 33, 256–271. [Google Scholar] [CrossRef]
- Heywood, J.B. Internal Combustion Engine Fundamentals, 1st ed.; McGraw-Hill: New York, NY, USA, 1988. [Google Scholar]
- Milojević, S.; Pešić, R. Determination of combustion process model parameters in diesel engine with variable compression ratio. J. Combust. 2018, 2018, 5292837. [Google Scholar] [CrossRef]
- Liu, J.; Dumitrescu, C.E. Single and double Wiebe function combustion model for a heavy-duty diesel engine retrofitted to natural-gas spark-ignition. Appl. Energy 2019, 248, 95–103. [Google Scholar] [CrossRef]
- Saad, C.; Maroteaux, F.; Millet, J.B.; Aubertin, F. Combustion modeling of a direct injection diesel engine using double Wiebe functions: Application to HiL real-time simulations. In SAE Technical Paper 2011-24-0143; SAE: Warrendale, PA, USA, 2011. [Google Scholar]
- Papagiannakis, R.G. Comparative assessment for improvement of performance and exhaust emissions in existing dual-fuel diesel engines. J. Energy Eng. 2018, 144, 04018054. [Google Scholar] [CrossRef]
- Raihan, M.S.; Guerry, E.S.; Dwivedi, U.; Srinivasan, K.K.; Krishnan, S.R. Experimental analysis of diesel-ignited methane dual-fuel low-temperature combustion in a single-cylinder diesel engine. J. Energy Eng. 2015, 141, C4014007. [Google Scholar] [CrossRef]
- Hiroyasu, H.; Kadota, T.; Arai, M. Development and use of a spray combustion modeling to predict diesel engine efficiency and pollutant emissions: Part 1 combustion modeling. Bull. JSME 1983, 26, 569–575. [Google Scholar] [CrossRef]
- Prakash, G.; Ramesh, A.; Shaik, A.B. An approach for estimation of ignition delay in a dual fuel engine. SAE Trans. 1999, 399–405. [Google Scholar] [CrossRef]
- Al-Himyary, T.J.; Karim, G.A. A correlation for the burning velocity of methane-air mixtures at high pressures and temperatures. ASME J. Eng. Gas Turbines Power 1987, 109, 439–442. [Google Scholar] [CrossRef]
- Ramos, J.I. Internal Combustion Engine Modeling; Hemisphere Publishing Corp: New York, NY, USA, 1989. [Google Scholar]
- Krishnan, S.R. Experimental Investigations and Phenomenological Simulation of Combustion in a Low Pilot-Ignited Natural Gas Engine with a Focus on Advanced Injection Timings. Ph.D. Dissertation, University of Alabama, Tuscaloosa, AL, USA, 2005. [Google Scholar]
- Johnson, S.L.; Clarke, A.; Fletcher, T.; Hylands, D. A phenomenological approach to dual fuel combustion modelling. Int. Combust. Eng. Div. Fall Tech. Conf. 2012, 55096, 781–791. [Google Scholar]
- Tabaczynski, R.J.; Ferguson, C.R.; Radhakrishnan, K. A turbulent entrainment model for spark-ignition engine combustion. SAE Trans. 1977, 2414–2433. [Google Scholar] [CrossRef]
- Tabaczynski, R.J.; Trinker, F.H.; Shannon, B.A.S. Further refinement and validation of a turbulent flame propagation model for spark-ignition engines. Combust. Flame 1980, 39, 111–121. [Google Scholar] [CrossRef]
- Whitehouse, N.D.; Way, R. Rate of heat release in diesel engines and its correlation with fuel injection data. Proc. Inst. Mech. Eng. Conf. Proc. 1969, 184, 973–996. [Google Scholar] [CrossRef]
- Annand, W.J.D. Heat transfer in the cylinders of reciprocating internal combustion engines. Proc. Inst. Mech. Eng. 1963, 177, 973–996. [Google Scholar]
- Vickland, C.W.; Strange, F.M.; Bell, R.A.; Starkman, E.S. A consideration of the high temperature thermodynamics of internal combustion engines. SAE Trans. 1962, 70, 785–793. [Google Scholar]
- Rakopoulos, C.D.; Rakopoulos, D.C.; Mavropoulos, G.C.; Kosmadakis, G.M. Investigating the EGR rate and temperature impact on diesel engine combustion and emissions under various injection timings and loads by comprehensive two-zone modeling. Energy 2018, 157, 990–1014. [Google Scholar] [CrossRef]
- Rakopoulos, C.D.; Rakopoulos, D.C.; Kyritsis, D.C. Development and validation of a comprehensive two-zone model for combustion and emissions formation in a DI diesel engine. Int. J. Energy Res. 2003, 27, 1221–1249. [Google Scholar] [CrossRef]
- Stone, R. Introduction to Internal Combustion Engines, 3rd ed.; Macmillan: London, UK, 1999. [Google Scholar]













| Parameter | Value |
|---|---|
| Engine type | Compression-ignition, turbocharged, direct injection, dual-fuel research engine |
| Number of cylinders | 1 |
| Bore | 0.128 m |
| Stroke | 0.142 m |
| Compression ratio | 17:1 |
| Number of injector holes | 8 |
| Injector hole diameter | 0.197 mm |
| Connecting rod length | 0.228 m |
| Inlet valve opening | 29 degrees ATDC |
| Inlet valve closure | 192 degrees ATDC |
| Exhaust valve opening | 546 degrees ATDC |
| Exhaust valve closure | 7 degrees ATDC |
| Parameters | Values | ||||
|---|---|---|---|---|---|
| PES [%] | 30 | 50 | 60 | 70 | 80 |
| Engine Speed [rpm] | 1500 | 1500 | 1500 | 1500 | 1500 |
| Brake Torque [Nm] | 48.4 | 48.5 | 48.5 | 48.0 | 49.1 |
| iPower [kW] | 11.8 | 11.9 | 11.9 | 11.9 | 12.0 |
| IMEP [Mpa] | 0.52 | 0.52 | 0.52 | 0.52 | 0.53 |
| ISEC [MJ/kWh] | 8.7 | 9.7 | 10.2 | 11.0 | 12.2 |
| Injection pressure [Mpa] | 50 | 50 | 50 | 50 | 50 |
| SOI [BTDC deg CA] | 5.0 | 5.0 | 5.0 | 5.0 | 5.0 |
| Pressure at IVC [Mpa] | 0.155 | 0.155 | 0.154 | 0.154 | 0.154 |
| Temperature at IVC [K] | 310 | 310 | 310 | 310 | 310 |
| Pmax [Mpa] | 7.22 | 7.18 | 7.20 | 7.17 | 7.11 |
| mair [kg/h] | 122.1 | 121.0 | 120.8 | 119.9 | 118.8 |
| mD [kg/h] | 1.7 | 1.4 | 1.1 | 0.9 | 0.7 |
| mM [kg/h] | 0.6 | 1.2 | 1.5 | 1.8 | 2.3 |
| φ [−] | 0.31 | 0.33 | 0.34 | 0.36 | 0.39 |
| NO [g/kWh] | 1.6 | 1.2 | 1.0 | 0.9 | 0.8 |
| CO [g/kWh] | 7.1 | 12.9 | 15.3 | 16.5 | 16.4 |
| Soot [g/kWh] | 0.0000818 | 0.0000317 | 0.0000169 | 0.0000122 | 0.0000111 |
| PES 30% | PES 50% | PES 80% | |
|---|---|---|---|
| EGR 10% | Hot EGR (487 K) | Hot EGR (515 K) | Hot EGR (588 K) |
| Cold EGR (310 K) | Cold EGR (310 K) | Cold EGR (310 K) | |
| EGR 20% | Hot EGR (487 K) | Hot EGR (515 K) | Hot EGR (588 K) |
| Cold EGR (310 K) | Cold EGR (310 K) | Cold EGR (310 K) |
Disclaimer/Publisher’s Note: The statements, opinions and data contained in all publications are solely those of the individual author(s) and contributor(s) and not of MDPI and/or the editor(s). MDPI and/or the editor(s) disclaim responsibility for any injury to people or property resulting from any ideas, methods, instructions or products referred to in the content. |
© 2025 by the authors. Licensee MDPI, Basel, Switzerland. This article is an open access article distributed under the terms and conditions of the Creative Commons Attribution (CC BY) license (https://creativecommons.org/licenses/by/4.0/).
Share and Cite
Rizopoulos, N.; Papagiannakis, R. Comparative Evaluation of the Effect of Exhaust Gas Recirculation Usage on the Performance Characteristics and Emissions of a Natural Gas/Diesel Compression-Ignition Engine Operating at Part-Load Conditions. Energies 2025, 18, 710. https://doi.org/10.3390/en18030710
Rizopoulos N, Papagiannakis R. Comparative Evaluation of the Effect of Exhaust Gas Recirculation Usage on the Performance Characteristics and Emissions of a Natural Gas/Diesel Compression-Ignition Engine Operating at Part-Load Conditions. Energies. 2025; 18(3):710. https://doi.org/10.3390/en18030710
Chicago/Turabian StyleRizopoulos, Nikolaos, and Roussos Papagiannakis. 2025. "Comparative Evaluation of the Effect of Exhaust Gas Recirculation Usage on the Performance Characteristics and Emissions of a Natural Gas/Diesel Compression-Ignition Engine Operating at Part-Load Conditions" Energies 18, no. 3: 710. https://doi.org/10.3390/en18030710
APA StyleRizopoulos, N., & Papagiannakis, R. (2025). Comparative Evaluation of the Effect of Exhaust Gas Recirculation Usage on the Performance Characteristics and Emissions of a Natural Gas/Diesel Compression-Ignition Engine Operating at Part-Load Conditions. Energies, 18(3), 710. https://doi.org/10.3390/en18030710
