Analysis and Evaluation of a TCO2 Electrothermal Energy Storage System with Integration of CO2 Geological Storage
Abstract
1. Introduction
2. System and Model Description
2.1. The CEEGS
2.2. System Characteristics and Operation
2.2.1. Working and Secondary Fluids
2.2.2. Operation Description
2.2.3. Pressure Parameters
2.2.4. Temperature Profiles
2.2.5. CO2 Geological Storage
- Injected or produced CO2 is assumed to be dry (non-moist) and pure;
- Physicochemical aspects, such as chemical reactions and water-rock-gas interactions, are neglected;
- Reservoir pressure is assumed to remain constant throughout the process;
- Energy losses due to flow dynamics are not accounted for;
- Injectivity is assumed to remain stable at all times;
- The compression work is not considered for the injection of CO2 in well A.
2.3. Mathematical Model
2.3.1. Model Design
2.3.2. Thermodynamic Model and Model Assumptions
- For the simulation of the models that describe the two CEEGS configurations, the following assumptions were made:
- All the fluids (CO2, water, R-22) are considered pure components;
- The kinetic and potential energies are not considered;
- All equipment is considered to operate adiabatically.
2.3.3. Model Evaluation
3. Implementation
3.1. Parametric Sensitivity Analysis: First CEEGS Configuration
3.2. Steady-State Optimization: Second CEEGS Configuration
4. Results
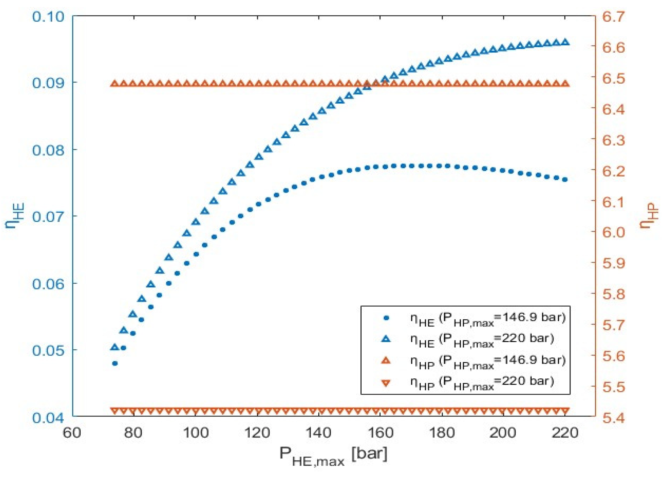
4.1. First CEEGS Configuration: Results and Analysis
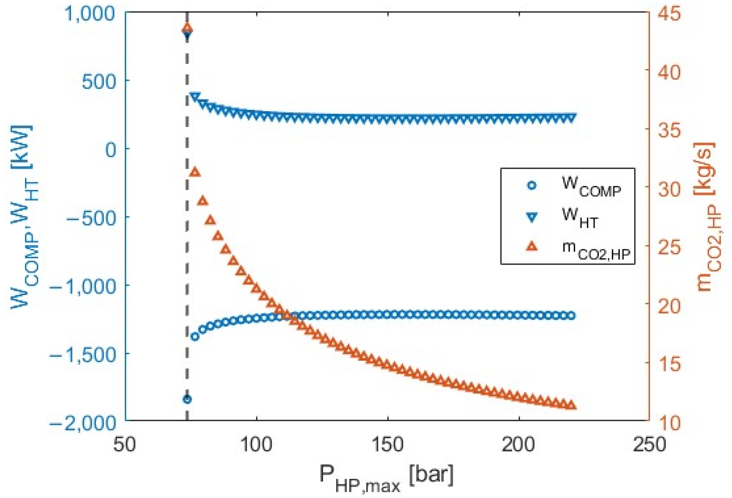
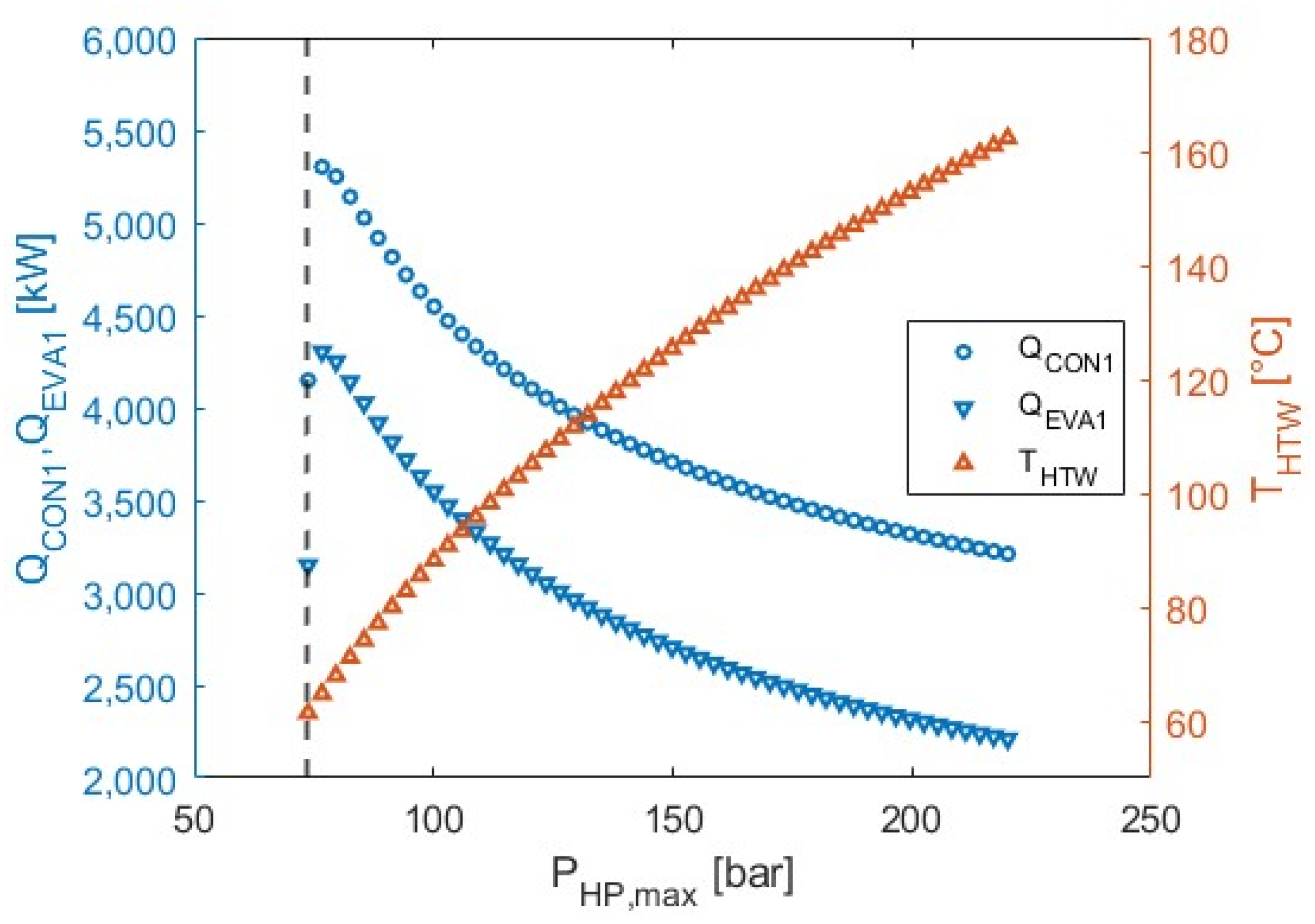
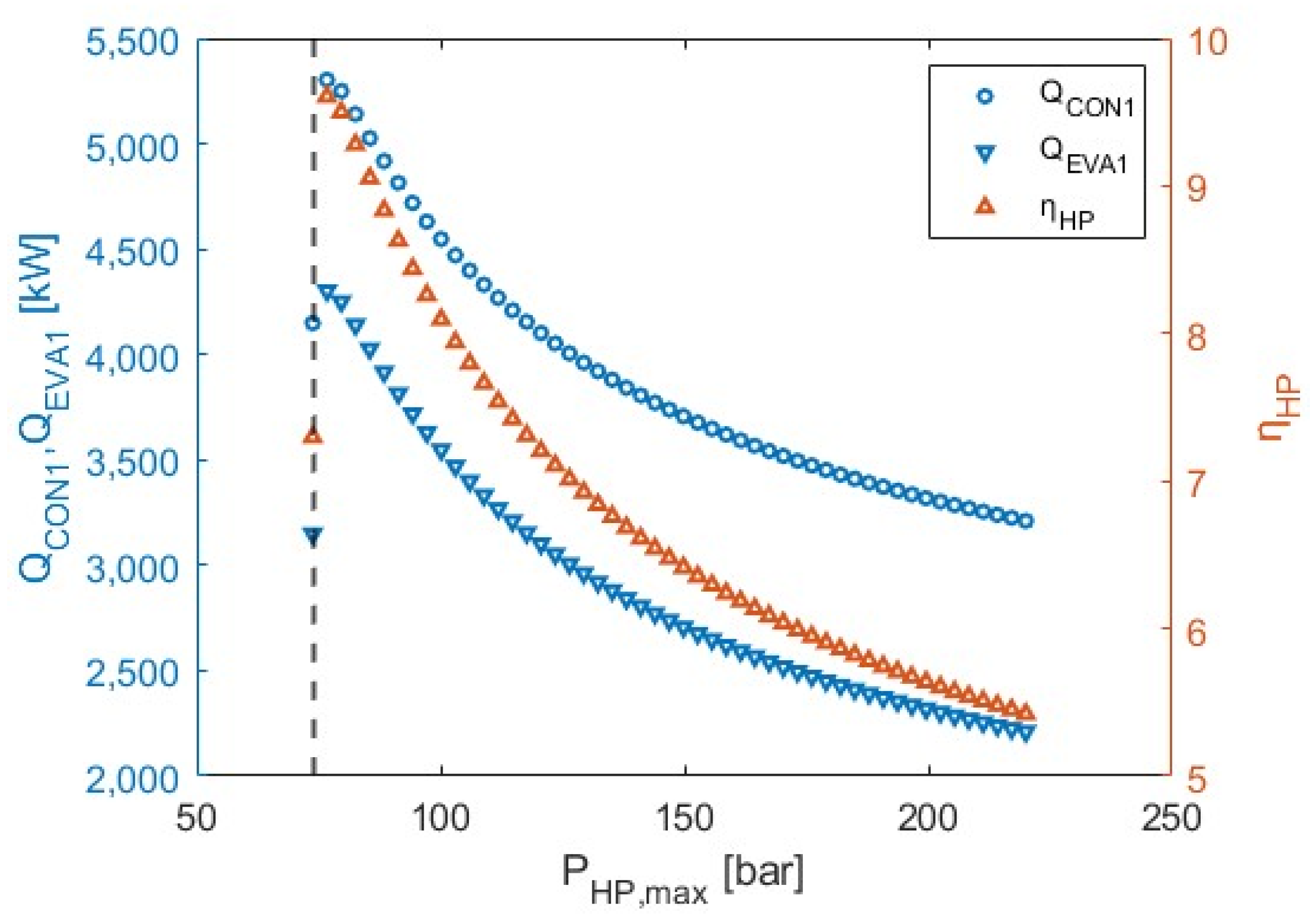
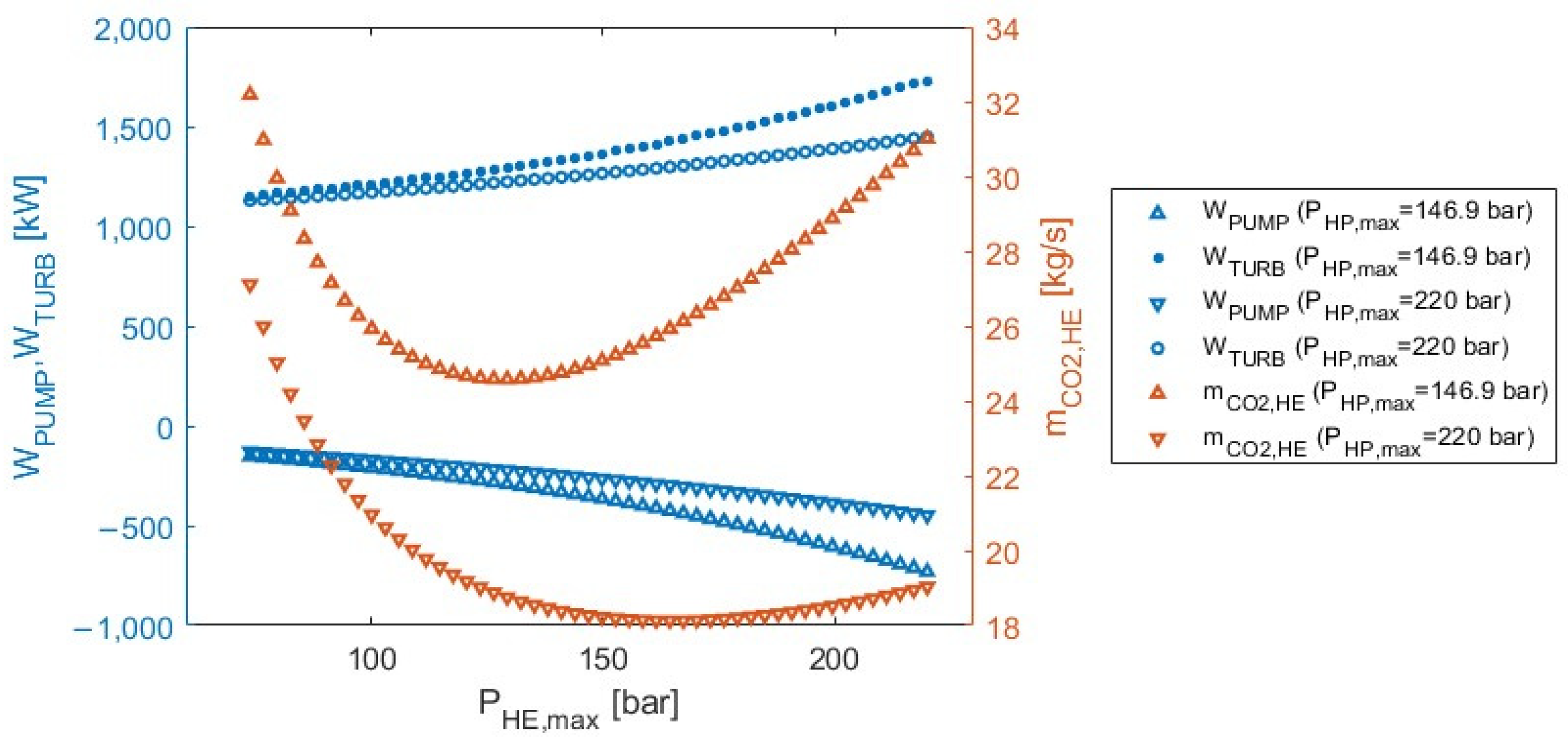
4.1.1. Operation and Performance of the Individual HP and HE Cycles
4.1.2. Operation and Performance of the Overall First CEEGS Configuration
4.2. Second CEEGS Configuration: Optimization Results and Analysis
4.2.1. Optimization Results and Analysis: Case Study 1 and 2
4.2.2. KPI Correlation to Integrated System Efficiency
5. Discussion and Future Outlook
5.1. Observations and Conclusions
5.2. Comparison to Published Literature
5.3. Future Outlook
6. Conclusions
Author Contributions
Funding
Data Availability Statement
Conflicts of Interest
References
- United Nations. Paris Agreement. Available online: https://unfccc.int/sites/default/files/english_paris_agreement.pdf (accessed on 9 September 2024).
- International Energy Agency. World Energy Outlook. 2023. Available online: https://www.iea.org/reports/world-energy-outlook-2023 (accessed on 9 September 2024).
- Koohi-Fayegh, S.; Rosen, M.A. A review of energy storage types, applications and recent developments. J. Energy Storage 2020, 27, 101047. [Google Scholar] [CrossRef]
- International Energy Agency. Renewables 2021 Analysis and Forecasts to 2026. Available online: https://www.iea.org/reports/renewables-2021 (accessed on 10 September 2024).
- Vecchi, A.; Knobloch, K.; Liang, T.; Kildahl, H.; Sciacovelli, A.; Engelbrecht, K.; Li, Y.; Ding, Y. Carnot Battery development: A review on system performance, applications and commercial state-of-the-art. J. Energy Storage 2022, 55, 105782. [Google Scholar] [CrossRef]
- Eppinger, B.; Steger, D.; Regensburger, C.; Karl, J.; Schlücker, E.; Will, S. Carnot battery: Simulation and design of a reversible heat pump-organic Rankine cycle pilot plant. Appl. Energy 2021, 288, 116650. [Google Scholar] [CrossRef]
- Frate, G.F.; Ferrari, L.; Desideri, U. Multi-criteria investigation of a pumped thermal electricity storage (PTES) system with thermal integration and sensible heat storage. Energy Convers. Manag. 2020, 208, 112530. [Google Scholar] [CrossRef]
- Wang, L.; Lin, X.; Chai, L.; Peng, L.; Yu, D.; Chen, H. Cyclic transient behavior of the Joule–Brayton based pumped heat electricity storage: Modeling and analysis. Renew. Sustain. Energy Rev. 2019, 111, 523–534. [Google Scholar] [CrossRef]
- Wang, L.; Lin, X.; Zhang, H.; Peng, L.; Zhang, X.; Chen, H. Analytic optimization of Joule–Brayton cycle-based pumped thermal electricity storage system. J. Energy Storage 2022, 47, 103663. [Google Scholar] [CrossRef]
- Cascetta, M.; Licheri, F.; Merchán, R.P.; Petrollese, M. Operating performance of a Joule-Brayton pumped thermal energy storage system integrated with a concentrated solar power plant. J. Energy Storage 2023, 73, 108865. [Google Scholar] [CrossRef]
- Zhao, Y.; Song, J.; Liu, M.; Zhao, Y.; Olympios, A.V.; Sapin, P.; Yan, J.; Markides, C.N. Thermo-economic assessments of pumped-thermal electricity storage systems employing sensible heat storage materials. Renew. Energy 2022, 186, 431–456. [Google Scholar] [CrossRef]
- Cahn, R.P. Thermal Energy Storage by Means of Reversible Heat Pumping. U.S. Patent 4,089,744, 16 May 1978. [Google Scholar]
- Mercangöz, M.; Hemrle, J.; Kaufmann, L.; Z’Graggen, A.; Ohler, C. Electrothermal energy storage with transcritical CO2 cycles. Energy 2012, 45, 407–415. [Google Scholar] [CrossRef]
- Morandin, M.; Maréchal, F.; Mercangöz, M.; Buchter, F. Conceptual design of a thermo-electrical energy storage system based on heat integration of thermodynamic cycles—Part A: Methodology and base case. Energy 2012, 45, 375–385. [Google Scholar] [CrossRef]
- Fernandez, R.; Chacartegui, R.; Beccera, A.; Calderon, B.; Carvalho, M. Transcritical Carbon Dioxide Charge-Discharge Energy Storage with Integration of Solar Energy. J. Sustain. Dev. Energy Water Environ. Syst. 2019, 7, 444–465. [Google Scholar] [CrossRef]
- Carro, A.; Chacartegui, R.; Ortiz, C.; Carneiro, J.; Beccera, J.A. Integration of energy storage systems based on transcritical CO2: Concept of CO2 based electrothermal energy and geological storage. Energy 2022, 238, 121665. [Google Scholar] [CrossRef]
- CEEGS Project. Available online: https://ceegsproject.eu/ (accessed on 18 September 2024).
- Kyriakides, A.S.; Stoikos, A.; Trigkas, D.; Gravanis, G.; Tsimpanogiannis, I.N.; Papadopoulou, S.; Voutetakis, S. Modelling and Evaluation of CO2-based Electrothermal Energy Storage System. Chem. Eng. Trans. 2023, 103, 505–510. [Google Scholar] [CrossRef]
- Carro, A.; Carneiro, J.; Ortiz, C.; Behnous, D.; Beccera, J.A.; Chacartegui, R. Assessment of carbon dioxide transcritical cycles for electrothermal energy storage with geological storage in salt cavities. Appl. Therm. Eng. 2024, 255, 124028. [Google Scholar] [CrossRef]
- Unger, S.; Fogel, S.; Schütz, P.; Chacartegui, R.R.; Carro, A.; Carneiro, J.; Hampel, U. The sCO2 Facility CARBOSOLA: Design, Purpose and Use for Investigating Geological Energy Storage Cycles. In Proceedings of the ASME Turbo Expo 2024: Turbomachinery Technical Conference and Exposition Volume 11: Supercritical CO2, London, UK, 24–28 June 2024. [Google Scholar] [CrossRef]
- Liu, S.; Wu, S.; Hu, Y.; Li, H. Comparative analysis of air and CO2 as working fluids for compressed and liquefied gas energy storage technologies. Energy Convers. Manag. 2019, 181, 608–620. [Google Scholar] [CrossRef]
- Liu, H.; He, Q.; Borgia, A.; Pan, L.; Oldenburg, C.M. Thermodynamic analysis of a compressed carbon dioxide energy storage system using two saline aquifers at different depths as storage reservoirs. Energy Convers. Manag. 2016, 127, 149–159. [Google Scholar] [CrossRef]
- Huang, Q.; Feng, B.; Liu, S.; Ma, C.; Li, H.; Sun, Q. Dynamic operating characteristics of a compressed CO2 energy storage system. Appl. Energy 2023, 341, 120985. [Google Scholar] [CrossRef]
- Brown, D.W. A hot dry rock geothermal energy concept utilizing supercritical CO2 instead of water. In Proceedings of the SGP-TR-165 Proceedings 25th Workshop on Geothermal Reservoir Engineering, Stanford University, Stanford, CA, USA, 24–26 January 2000. [Google Scholar]
- Pruess, K. Enhanced geothermal system (EGS) using CO2 as working fluid—A novel approach for generating renewable energy with simultaneous sequestration of carbon. Geothermics 2006, 35, 351–367. [Google Scholar] [CrossRef]
- Pruess, K. On production behavior of enhanced geothermal systems with CO2 as working fluid. Energy Convers. Manag. 2008, 49, 1446–1454. [Google Scholar] [CrossRef]
- Atrens, A.D.; Gurgenci, H.; Rudolph, V. CO2 thermosiphon for competitive geothermal power generation. Energy Fuels 2009, 23, 553–557. [Google Scholar] [CrossRef]
- Randolph, J.B.; Saar, M.O. Coupling carbon dioxide sequestration with geothermal energy capture in naturally permeable, porous geologic formations: Implications for CO2 sequestration. Energy Procedia 2011, 4, 2206–2213. [Google Scholar] [CrossRef]
- Randolph, J.B.; Saar, M.O. Combining geothermal energy capture with geologic carbon dioxide sequestration. Geophys. Res. Lett. 2011, 38, 10401. [Google Scholar] [CrossRef]
- Liu, Y.; Wang, Y.; Huang, D. Supercritical CO2 Brayton cycle: A state-of-the-art review. Energy 2019, 189, 115900. [Google Scholar] [CrossRef]
- Porter, R.T.; Fairweather, M.; Kolster, C.; Mac Dowell, N.; Shah, N.; Woolley, R.M. Cost and performance of some carbon capture technology options for producing different quality CO2 product streams. Int. J. Greenh. Gas Control 2017, 57, 185–195. [Google Scholar] [CrossRef]
- Onyebuchi, V.E.; Kolios, A.; Hanak, D.P.; Biliyok, C.; Manovic, V. A systematic review of key challenges of CO2 transport via pipelines. Renew. Sustain. Energy Rev. 2018, 81, 2563–2583. [Google Scholar] [CrossRef]
- Carro, A.; Chacartegui, R. The Horizon Europe CEEGS Project: Deliverable 3.1—CEEGS Cycle, Relevant System Characterization. University of Seville. 2023. Available online: https://ceegsproject.eu/technical-reports/ (accessed on 22 November 2024).
- Carneiro, J.; Behnous, B. The Horizon Europe CEEGS Project: Deliverable 2.1—Geological Scenarios and Their Characteristics. Évora, Portugal. 2023. Available online: https://ceegsproject.eu/technical-reports/ (accessed on 22 November 2024).
- Siemens Process Systems Engineering Limited. gPROMS Process 2023.1.0. Available online: https://www.siemens.com/global/en/products/automation/industry-software/gproms-digital-process-design-and-operations/gproms-modelling-environments/gproms-process.html (accessed on 27 August 2024).
- Kunz, O.; Wagner, W. The GERG-2008 Wide-Range Equation of State for Natural Gases and Other Mixtures: An Expansion of GERG-2004. J. Chem. Eng. Data 2012, 57, 3032–3091. [Google Scholar] [CrossRef]
- Klimeck, R. Entwicklung Einer Fundamentalgleichung für Erdgase für das Gas- und Flüssigkeitsgebiet Sowie das Phasengleichgewicht. Ph.D. Dissertation, Fakultät für Maschinenbau, Ruhr-Universität Bochum, Bochum, Germany, 2000. [Google Scholar]
- Wagner, W.; Pruß, A. The IAPWS Formulation 1995 for the Thermodynamic Properties of Ordinary Water Substance for General and Scientific Use. J. Phys. Chem. Ref. Data 2002, 31, 387–535. [Google Scholar] [CrossRef]
- Peng, D.Y.; Robinson, D.B. A New Two-Constant Equation of State. Ind. Eng. Chem. Fundam. 1976, 15, 59–64. [Google Scholar] [CrossRef]












| Parameters | Cycle | Equipment | Value | Unit |
|---|---|---|---|---|
| Power capacity HP (Wnet, HP) | HP | - | 1000 | kW |
| Power capacity HE (Wnet, HE) | HE | - | 1000 | kW |
| Isentropic efficiency (Compressor) | HP | COMP | 0.86 | [-] |
| Isentropic efficiency (Hydraulic turbine) | HP | HT | 0.85 | [-] |
| Isentropic efficiency (Pump) | HE | PUMP | 0.85 | [-] |
| Isentropic efficiency (Turbine) | HE | TURB | 0.88 | [-] |
| Mechanical efficiency | HP/HE | COMP/HT/PUMP/TURB | 1 | [-] |
| Minimum pressure HP (PHP, min) | HP | - | 30 | bar |
| Minimum pressure HE (PHE, min) | HE | - | 37 | bar |
| THOT_STREAM_OUTLET | HP | CON1 | 32 | °C |
| Heat exchangers minimum approach temperature | HP/HE | CON1/EVA1/CON2/EVA2 | 4 | °C |
| Inlet stream vapor fraction | HP | COMP | 1 | [-] |
| Inlet stream vapor fraction | HE | PUMP | 0 | [-] |
| Pressure—water (PHTW1, PLTW1, PHTW2, PLTW2) | HP/HE | - | 8 | bar |
| TLTW1 | HP | - | 23 | °C |
| TLTW2 | HE | - | 23.1 | °C |
| Pressure—R-22 (PR22_IN1, PR22_OUT1, PR22_IN2, PR22_OUT2) | HP/HE | - | 4.7 | bar |
| TR22_OUT1, TR22_IN2 | HP/HE | - | −1.55 | °C |
| TR22_IN1, TR22_OUT2 | HP/HE | - | 1.52 | °C |
| Charging hours (hchar) | HP | - | 10 | h |
| Decision Variables | Case Study | Lower Bound | Upper Bound | Unit |
|---|---|---|---|---|
| PHP, max | 1/2 | 140 | 220 | bar |
| PHE, max | 1/2 | 105/140 | 220 | bar |
| PWELL_A_IN | 2 | 74 | 140 | bar |
| TWELL_A_IN | 2 | 32 | 100 | °C |
| PWELL_A_OUT | 2 | 74 | 140 | bar |
| TWELL_A_OUT | 2 | 32 | 100 | °C |
| PWELL_B_IN | 2 | 37 | 55 | bar |
| Constraints | Case Study | Lower Bound | Upper Bound | Unit |
|---|---|---|---|---|
| Power capacity HP (Wnet, HP) | 1/2 | −1001 | −999 | kW |
| Power capacity HE (Wnet, HE) | 1/2 | 999 | 1001 | kW |
| ṁCO2, HP/HE | 1/2 | 0 | 100 | kg/s |
| ṁH2O, HP/HE | 1/2 | 0 | 100 | kg/s |
| ṁR-22, HP/HE | 1/2 | 0 | 100 | kg/s |
| CON1, Inlet/Outlet ΔT | 1/2 | 4 | 100 | °C |
| EVA1, Inlet/Outlet ΔT | 1/2 | 4 | 100 | °C |
| CON2, Inlet ΔT | 1/2 | 3.8 | 100 | °C |
| CON2, Outlet ΔT | 1/2 | 4 | 100 | °C |
| EVA2, Inlet/Outlet ΔT | 1/2 | 4 | 100 | °C |
| TCON1_CO2_OUTLET | 1/2 | 29.85 | 176.85 | °C |
| TEVA2_CO2_OUTLET | 1/2 | 76.85 | 326.85 | °C |
| TLTW1 | 1/2 | 6.85 | 176.85 | °C |
| THTW2 | 1/2 | 76.85 | 326.85 | °C |
| THTW2 − THTW1 | 1/2 | −0.1 | 0.1 | °C |
| TLTW2 − TLTW1 | 1/2 | 0.09 | 0.11 | °C |
| TWELL_A_IN − TWELL_A_OUT | 2 | 0 | 0 | °C |
| PWELL_A_IN − PWELL_A_OUT | 2 | 0 | 66 | bar |
| Parameters | Case Study | Cycle | Equipment | Value | Unit |
|---|---|---|---|---|---|
| Isentropic efficiency (Compressor) | 1/2 | HP/HE | COMP1/COMP2 | 0.86 | [-] |
| Isentropic efficiency (Pump) | 1/2 | HE | PUMP2 | 0.85 | [-] |
| Isentropic efficiency (Turbine) | 1/2 | HP/HE | TURB2/TURB1 | 0.88 | [-] |
| Mechanical efficiency | 1/2 | HP/HE | COMP1/COMP2/PUMP2/TURB1/TURB2 | 1 | [-] |
| PWELL_A_IN | 1 | HP | - | 140 | bar |
| TWELL_A_IN | 1 | HP | 70 | °C | |
| PWELL_A_OUT | 1 | HE | 105 | bar | |
| TWELL_A_OUT | 1 | HE | 50.2 | °C | |
| PWELL_B_IN | 1 | HE | 55 | bar |
| Parameters | Case Study 1 | Case Study 2 | Unit |
|---|---|---|---|
| WCOMP1 | 1083.84 | 1050.9 | kW |
| WTURB2 | 83.84 | 50.89 | kW |
| WCOMP2 | 331.17 | 0 | kW |
| WTURB1 | 1380.89 | 999.99 | kW |
| WPUMP2 | 49.72 | 0 | kW |
| QCON1 | 1468.49 | 539.62 | kW |
| QEVA1 | 2819.84 | 3064.56 | kW |
| QEVA2 | 2915.16 | 781.14 | kW |
| QCON2 | 5382.23 | 4547.3 | kW |
| hdis, hs | 5.04 | 6.91 | h |
| hdis, cs | 5.24 | 6.74 | h |
| hdis | 5.04 | 6.74 | h |
| Dissipated energy on hot/cold TES tank | 3.82 | 2.46 | % |
| ηHP | 4.29 | 3.6 | [-] |
| ηHE | 0.12 | 0.188 | [-] |
| ηR-T | 50.37 | 67.39 | % |
| Decision Variables | Case Study 1 | Case Study 2 | Unit |
|---|---|---|---|
| PHP, max | 180.51 | 154.52 | bar |
| PHE, max | 170.33 | 140 * | bar |
| PWELL_A_IN | - | 140 | bar |
| TWELL_A_IN | - | 100 ** | °C |
| PWELL_A_OUT | - | 140 ** | bar |
| TWELL_A_OUT | - | 100 | °C |
| PWELL_B_IN | - | 37 * | bar |
| Constraints | Case Study 1 | Case Study 2 | Unit |
|---|---|---|---|
| Power capacity HP (Wnet, HP) | −1000 | −1000 | kW |
| Power capacity HE (Wnet, HE) | 1000 | 1000 | kW |
| ṁCO2, HP/HE | 11.42/21.45 | 12.41/17.97 | kg/s |
| ṁH2O, HP/HE | 5.53/11 | 5.17/7.52 | kg/s |
| ṁR-22, HP/HE | 13.41/25.59 | 14.57/21.62 | kg/s |
| CON1, Inlet/Outlet ΔT | 4 */4 | 4 */4 | °C |
| EVA1, Inlet/Outlet ΔT | 4/6.97 | 4/6.97 | °C |
| CON2, Inlet ΔT | 3.83 | 3.83 | °C |
| CON2, Outlet ΔT | 17.37 | 18.94 | °C |
| EVA2, Inlet/Outlet ΔT | 4/4 | 4/4 | °C |
| TCON1_CO2_OUTLET | 84.64 | 107.9 | °C |
| TEVA2_CO2_OUTLET | 139.34 | 124.51 | °C |
| TLTW1 | 80.64 | 103.9 | °C |
| THTW2 | 143.34 | 128.51 | °C |
| THTW2 − THTW1 | 0 | 0 | °C |
| TLTW2 − TLTW1 | 0.1 | 0.1 | °C |
| TWELL_A_IN − TWELL_A_OUT | - | 0 | °C |
| PWELL_A_IN − PWELL_A_OUT | - | 0 * | bar |
| Sensitivity Analysis Variables | Lower Value | Case Study 2: Optimal Scenario | Higher Value | Unit |
|---|---|---|---|---|
| PHP, max | 152.97 | 154.52 | 156.06 | bar |
| PHE, max | - | 140 | 141.4 | bar |
| PWELL_A_IN | 138.6 | 140 | 141.4 | bar |
| TWELL_A_IN | 99 | 100 | 101 | °C |
| PWELL_A_OUT | 138.6 | 140 | - | bar |
| TWELL_A_OUT | 99 | 100 | 101 | °C |
| PWELL_B_IN | - | 37 | 37.37 | bar |
| CON1, Inlet ΔT | 3.96 | 4 | 4.04 | °C |
| EVA2, Outlet ΔT | 3.96 | 4 | 4.04 | °C |
Disclaimer/Publisher’s Note: The statements, opinions and data contained in all publications are solely those of the individual author(s) and contributor(s) and not of MDPI and/or the editor(s). MDPI and/or the editor(s) disclaim responsibility for any injury to people or property resulting from any ideas, methods, instructions or products referred to in the content. |
© 2025 by the authors. Licensee MDPI, Basel, Switzerland. This article is an open access article distributed under the terms and conditions of the Creative Commons Attribution (CC BY) license (https://creativecommons.org/licenses/by/4.0/).
Share and Cite
Stoikos, A.; Kyriakides, A.-S.; Carneiro, J.; Behnous, D.; Gravanis, G.; Tsimpanogiannis, I.N.; Seferlis, P.; Voutetakis, S. Analysis and Evaluation of a TCO2 Electrothermal Energy Storage System with Integration of CO2 Geological Storage. Energies 2025, 18, 601. https://doi.org/10.3390/en18030601
Stoikos A, Kyriakides A-S, Carneiro J, Behnous D, Gravanis G, Tsimpanogiannis IN, Seferlis P, Voutetakis S. Analysis and Evaluation of a TCO2 Electrothermal Energy Storage System with Integration of CO2 Geological Storage. Energies. 2025; 18(3):601. https://doi.org/10.3390/en18030601
Chicago/Turabian StyleStoikos, Aristeidis, Alexios-Spyridon Kyriakides, Júlio Carneiro, Dounya Behnous, Georgios Gravanis, Ioannis N. Tsimpanogiannis, Panos Seferlis, and Spyros Voutetakis. 2025. "Analysis and Evaluation of a TCO2 Electrothermal Energy Storage System with Integration of CO2 Geological Storage" Energies 18, no. 3: 601. https://doi.org/10.3390/en18030601
APA StyleStoikos, A., Kyriakides, A.-S., Carneiro, J., Behnous, D., Gravanis, G., Tsimpanogiannis, I. N., Seferlis, P., & Voutetakis, S. (2025). Analysis and Evaluation of a TCO2 Electrothermal Energy Storage System with Integration of CO2 Geological Storage. Energies, 18(3), 601. https://doi.org/10.3390/en18030601

