Microscopic Effect of Mixed Wetting Capillary Characteristics on Spontaneous Imbibition Oil Recovery in Tight Reservoirs
Abstract
1. Introduction
2. Methodology
2.1. Mathematical Model Description and Establishment
2.2. Numerical Model Validation
3. Results and Discussion
3.1. Effect of Wettability Fraction on Spontaneous Imbibition and Oil Production
3.2. Effect of Contact Angle on Spontaneous Imbibition and Oil Production
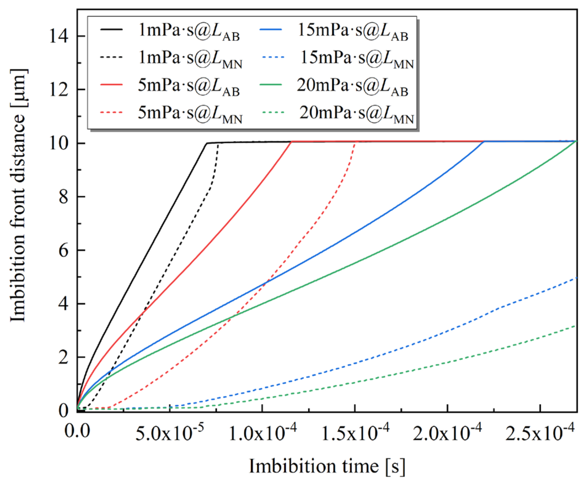
3.3. Effect of Oil Viscosity on Spontaneous Imbibition Front Distance Difference
4. Conclusions
Author Contributions
Funding
Data Availability Statement
Conflicts of Interest
References
- Wei, B.; He, X.; Li, X.; Ju, Y.; Jin, J.; Luo, Q. Residual oil contents of dolomicrite and sandy dolomite tight oil reservoirs after CO2 huff and puff: An experimental study. Energy 2023, 275, 127510. [Google Scholar] [CrossRef]
- Hu, S.; Tao, S.; Wang, M.; Pang, Z.; Bai, B.; Chen, Y.; Lu, S.; Chen, Y.; Yang, Y.; Jin, X.; et al. Migration and accumulation mechanisms and main controlling factors of tight oil enrichment in a continental lake basin. Petrol. Explor. Dev. 2023, 50, 547–557. [Google Scholar] [CrossRef]
- Peng, X.; Wang, X.; Zhou, X.; Lin, Z.; Zeng, F.; Huang, X. Lab-on-a-chip systems in imbibition processes: A review and applications/issues for studying tight formations. Fuel 2021, 306, 121603. [Google Scholar] [CrossRef]
- Song, Z.; Song, Y.; Li, Y.; Bai, B.; Song, K.; Hou, J. A critical review of CO2 enhanced oil recovery in tight oil reservoirs of North America and China. Fuel 2020, 276, 118006. [Google Scholar] [CrossRef]
- Meng, Q.; Liu, H.; Wang, J. A critical review on fundamental mechanisms of spontaneous imbibition and the impact of boundary condition, fluid viscosity and wettability. Adv. Geo-Energy Res. 2017, 1, 1–17. [Google Scholar] [CrossRef]
- Wang, X.; Peng, X.; Zhang, S.; Du, Z.; Zeng, F. Characteristics of oil distributions in forced and spontaneous imbibition of tight oil reservoir. Fuel 2018, 224, 280–288. [Google Scholar] [CrossRef]
- Ghosh, T.; Sekhar, G.P.R.; Deb, D. Mathematical modeling of co-current spontaneous imbibition in heterogeneous porous medium. Eur. J. Mech. B Fluid 2019, 76, 81–97. [Google Scholar] [CrossRef]
- Siebold, A.; Nardin, M.; Schultz, J.; Walliser, A.; Oppliger, M. Effect of dynamic contact angle on capillary rise phenomena. Colloid. Surface A 2000, 161, 81–87. [Google Scholar] [CrossRef]
- Zhong, J.; Duan, H.; Wang, J.; Ma, B.; Sun, Z.; Yao, J. Simulation of water self-imbibition in na-nometer throat-pore structure filled with oil. Geo. Sci. Eng. 2023, 221, 211370. [Google Scholar]
- Zhang, T.; Li, Z.; Gao, M.; Wang, L.; Adenutsi, C.D.; You, O. Experimental and numerical simulation research on counter-current imbibition distance in tight oil reservoirs. J. Mol. Liq. 2023, 389, 122791. [Google Scholar] [CrossRef]
- Sukee, A.; Nunta, T.; Haruna, M.A.; Kalantariasl, A.; Tangparitkul, S. Influence of sequential changes in the crude oil-water interfacial tension on spontaneous imbibition in oil-wet sandstone. J. Petrol. Sci. Eng. 2022, 210, 110032. [Google Scholar] [CrossRef]
- Xu, D.; Bai, B.; Wu, H.; Hou, J.; Meng, Z.; Sun, R.; Li, Z.; Kang, W. Mechanisms of imbibition enhanced oil recovery in low permeability reservoirs: Effect of IFT reduction and wettability alteration. Fuel 2019, 244, 110–119. [Google Scholar] [CrossRef]
- Artem, B.; Ben, C.; Rossen, S.; Iko, B.; John, R.; Mark, R.; David, D.; Keyu, L. Experimental investigations of the wettability of clays and shales. J. Geophys. Res Sol. EA 2009, 114, B07202. [Google Scholar]
- Dekker, L.W.; Ritsema, C.J. How water moves in a water repellent sandy soil: 1. potential and actual water repellency. Water Resour. Res. 1994, 30, 2507–2517. [Google Scholar] [CrossRef]
- Yassin, M.R.; Dehghanpour, H.; Wood, J.; Lan, Q. A theory for relative permeability of unconventional rocks with dual-wettability pore network. SPE J. 2016, 21, 1970–1980. [Google Scholar] [CrossRef]
- Yassin, M.R.; Begum, M.; Dehghanpour, H. Organic shale wettability and its relationship to other petrophysical properties: A Duvernay case study. Int. J. Coal Geol. 2017, 169, 74–91. [Google Scholar] [CrossRef]
- Shi, Y.; Yassin, M.R.; Yuan, L.; Dehghanpour, H. Modelling imbibition data for determining size distribution of organic and inorganic pores in unconventional rocks. Int. J. Coal Geol. 2019, 201, 26–43. [Google Scholar] [CrossRef]
- Shi, H.; Luo, X.; Li, X.; Liu, N.; Qi, Y.; Fang, T.; Zhang, L.; Lei, Y. Effects of mix-wet porous me-diums on gas flowing and one mechanism for gas migration. J. Petrol. Sci. Eng. 2017, 152, 60–66. [Google Scholar]
- Wang, J.; Liu, H.; Qian, G.; Peng, Y.; Gao, Y. Investigations on spontaneous imbibition and the influ-encing factors in tight oil reservoirs. Fuel 2019, 236, 755–768. [Google Scholar]
- Cai, J.; Chen, Y.; Liu, Y.; Li, S.; Sun, C. Capillary imbibition and flow of wetting liquid in irregular capillaries: A 100-year review. Adv. Colloid Interfac. 2022, 304, 102654. [Google Scholar] [CrossRef]
- Kurotoria, T.; Murugesu, M.P.; Zahasky, C.; Vega, B.; Druhan, J.L.; Benson, S.M.; Kovscek, A.R. Mixed imbibition controls the advance of wetting fluid in multiscale geological media. Adv. Water. Resour. 2023, 175, 104429. [Google Scholar] [CrossRef]
- Bartels, W.B.; Rucker, M.; Boone, M.; Bultreys, T.; Mahani, H.; Berg, S.; Hassanizadeh, S.M.; Cnudde, V. Imaging spontaneous imbibition in full Darcy-scale samples at pore-scale resolution by fast X-ray tomography. Water Resour. Res. 2019, 55, 7072–7085. [Google Scholar] [CrossRef]
- Jiang, Z.; Li, G.; Zhao, P.; Zhou, Y.; Mao, Z.; Liu, Z. Study on spontaneous imbibition and dis-placement characteristics of mixed-wet tight sandstone reservoir based on high-precision balance and NMR method. Fuel 2023, 345, 128247. [Google Scholar] [CrossRef]
- Pu, Y.; Yang, E.; Du, Q. Effect of mixed wettability of tight reservoirs on the pore scale imbibition law. J. Northe. Petrol. Univ. 2024, 48, 86–95. [Google Scholar]
- Xiao, Y.; Zheng, J.; He, Y.; Wang, L. Percolation transitions of spontaneous imbibition in fractional-wet porous media. Colloid. Surface A 2023, 673, 131826. [Google Scholar] [CrossRef]
- Wang, L.; Ma, F.; He, Y.; Liu, D. The prediction of spontaneous oil-water imbibition in composite capillary. Petroleum 2022, 8, 84–91. [Google Scholar] [CrossRef]
- Wang, L.; He, Y.; Xiao, Y.; Wang, H.; Ma, F. Spontaneous Gas-Water Imbibition in Mixed-Wet Pores. Petrophysics 2020, 61, 230–238. [Google Scholar] [CrossRef]
- Qi, Y.; Luo, X.; He, Y.; Dang, H.; Liu, N.; Lei, Y.; Zhang, L. Experimental studies on oil imbibition in mixed-wetting porous medium. Chin. J. Geol. 2015, 50, 1208–1217. [Google Scholar]
- Alpak, F.O.; Berg, S.; Zacharoudiou, I. Prediction of fluid topology and relative permeability in imbibition in sandstone rock by direct numerical simulation. Adv. Water. Resour. 2018, 122, 49–59. [Google Scholar] [CrossRef]
- Soleimani, R.; Norouzi, S.; Rasaei, M.R. Investigation of gas condensate drop-out effect on gas relative permeability by Lattice Boltzmann modelling. Can. J. Chem. Eng. 2019, 97, 1921–1930. [Google Scholar] [CrossRef]
- Norouzi, S.; Soleimani, R.; Farahani, M.V.; Rasaei, M.R. Pore-Scale Simulation of Capillary Force Effect in Water-Oil Immiscible Displacement Process in Porous Media. In 81st EAGE Conference and Exhibition; EAGE Publishing BV: London, UK, 2019; pp. 1–5. [Google Scholar]
- Zhao, B.; MacMinn, C.W.; Primkulov, B.K.; Chen, Y.; Valocchi, A.J.; Zhao, J.; Kang, Q.; Bruning, K.; McClure, J.E.; Miller, C.T.; et al. Comprehensive comparison of pore-scale models for multiphase flow in porous media. Proc. Natl. Acad. Sci. USA 2019, 116, 13799–13806. [Google Scholar] [CrossRef] [PubMed]
- Budaraju, A.; Phirani, J.; Kondaraju, S.; Bahga, S.S. Capillary Displacement of Viscous Liquids in Geometries with Axial Variations. Langmuir 2016, 32, 10513–10521. [Google Scholar] [CrossRef] [PubMed]
- Movahedi, H.; Farahani, M.V.; Masihi, M. Development of a Numerical Model for Single- and Two-Phase Flow Simulation in Perforated Porous Media. J. Energ. Resour. ASME 2020, 142, 042901. [Google Scholar] [CrossRef]
- Zhu, G.; Yao, J.; Zhang, L.; Sun, H.; Li, A.; Shams, B. Investigation of the Dynamic Contact Angle Using a Direct Numerical Simulation Method. Langmuir 2016, 32, 11736–11744. [Google Scholar] [CrossRef]
- Yue, P.; Feng, J.; Liu, C.; Shen, J. A diffuse-interface method for simulating two-phase flows of complex fluids. J. Fluid. Mech. 2004, 515, 293–317. [Google Scholar] [CrossRef]
- Peng, X.; Wang, X.; Du, Z.; Zeng, F. Phase-field simulations of precursor film in microcapillary imbibition for liquid-liquid systems. Int. J. Multiphas. Flow 2021, 144, 103789. [Google Scholar] [CrossRef]
- Sun, Y.; Bao, C.; Jiang, Z.; Zhang, X.; Gao, T. A two dimensional numerical study of liquid water breakthrough in gas diffusion layer based on phase field method. J. Power Sources 2020, 448, 227352. [Google Scholar] [CrossRef]
- Cahn, J.W.; Hilliard, J.E. Free energy of a nonuniform system. II. Thermodynamic basis. J. Chem. Phys. 1958, 28, 258–267. [Google Scholar] [CrossRef]
- Zhang, S.; Pu, H.; Zhao, J.X. Experimental and numerical studies of spontaneous imbibition with different boundary conditions: Case studies of middle Bakken and Berea cores. Energy Fuels 2019, 33, 5135–5146. [Google Scholar] [CrossRef]
- Grave, M.; Coutinho, A.L.G.A. Comparing the convected level-set and the Allen Cahn phase-field methods in AMR/C simulations of two phase flows. Comput. Fluids 2022, 244, 105569. [Google Scholar] [CrossRef]
- Kusumaatmaja, H.; Hemingway, E.J.; Fielding, S.M. Moving contact line dynamics: From diffuse to sharp interfaces. J. Fluid Mech. 2015, 788, 209–227. [Google Scholar] [CrossRef]
- Omori, T.; Kajishima, T. Apparent and microscopic dynamic contact angles in confined flows. Phys. Fluids 2017, 29, 112107. [Google Scholar] [CrossRef]
- Yue, P.; Zhou, C.; Feng, J.J.; Ollivier-Gooch, C.F.; Hu, H.H. Phase-field simulations of interfacial dynamics in viscoelastic fluids using finite elements with adaptive meshing. J. Comput. Phys. 2006, 219, 47–67. [Google Scholar] [CrossRef]
- Sun, Z.; Wu, X.; Kang, X.; Lu, X.; Li, Q.; Jiang, W.; Zhang, J. Comparison of oil displacement mechanisms and performances between continuous and dispersed phase flooding agents. Petrol. Explor. Dev. 2019, 46, 121–129. [Google Scholar] [CrossRef]













Disclaimer/Publisher’s Note: The statements, opinions and data contained in all publications are solely those of the individual author(s) and contributor(s) and not of MDPI and/or the editor(s). MDPI and/or the editor(s) disclaim responsibility for any injury to people or property resulting from any ideas, methods, instructions or products referred to in the content. |
© 2025 by the authors. Licensee MDPI, Basel, Switzerland. This article is an open access article distributed under the terms and conditions of the Creative Commons Attribution (CC BY) license (https://creativecommons.org/licenses/by/4.0/).
Share and Cite
Pu, Y.; Yang, E.; Wang, D. Microscopic Effect of Mixed Wetting Capillary Characteristics on Spontaneous Imbibition Oil Recovery in Tight Reservoirs. Energies 2025, 18, 324. https://doi.org/10.3390/en18020324
Pu Y, Yang E, Wang D. Microscopic Effect of Mixed Wetting Capillary Characteristics on Spontaneous Imbibition Oil Recovery in Tight Reservoirs. Energies. 2025; 18(2):324. https://doi.org/10.3390/en18020324
Chicago/Turabian StylePu, Yu, Erlong Yang, and Di Wang. 2025. "Microscopic Effect of Mixed Wetting Capillary Characteristics on Spontaneous Imbibition Oil Recovery in Tight Reservoirs" Energies 18, no. 2: 324. https://doi.org/10.3390/en18020324
APA StylePu, Y., Yang, E., & Wang, D. (2025). Microscopic Effect of Mixed Wetting Capillary Characteristics on Spontaneous Imbibition Oil Recovery in Tight Reservoirs. Energies, 18(2), 324. https://doi.org/10.3390/en18020324
