Shielded Capacitive Power Transmission (S-CPT) System Using Cast Iron
Abstract
1. Introduction
2. S-CPT (Shielded Capacitive Power Transfer)
3. Electrode Material Property Evaluation
3.1. S-CPT Electrode Material Characteristics #1
3.2. S-CPT Electrode Material Characteristics #2
4. S-CPT Power Transmission Experiment Using Cast Iron Cover Electrodes and Load Resistance Evaluation
4.1. Power Transmission Experiment Using S-CPT System with Cast Iron Cover as an Electrode
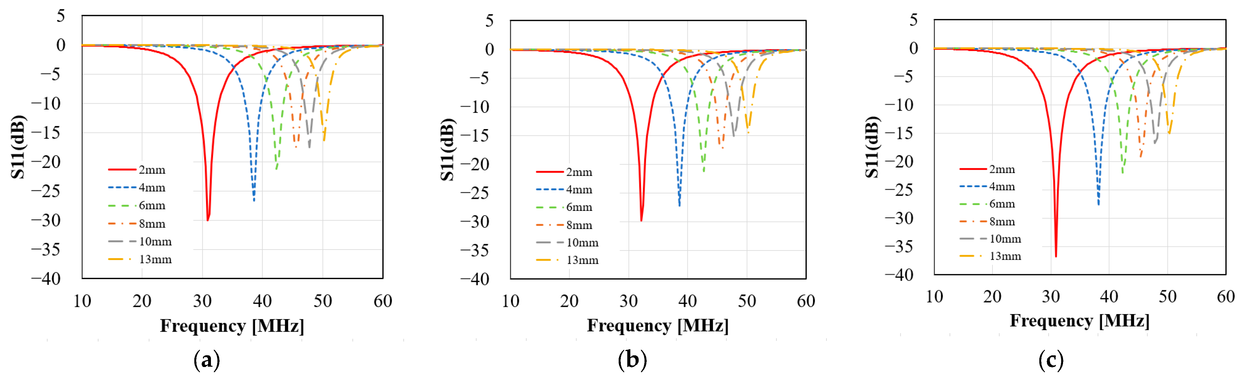
4.2. Main Dimensions and Structural Analysis of Cast Iron Cover Electrodes Used in Power Transmission Experiments
4.3. Four-Plate S-CPT System Configuration and Impedance Matching
4.4. EMI Characteristics
4.5. Power Transmission Test Results
5. Conclusions
Author Contributions
Funding
Data Availability Statement
Conflicts of Interest
References
- Timilsina, R.R.; Zhang, J.; Rahut, D.B.; Patradool, K.; Sonobe, T. Global drive toward net-zero emissions and sustainability via electric vehicles: An integrative critical review. Energy Ecol. Environ. 2025, 10, 125–144. [Google Scholar] [CrossRef]
- IEA. Global EV Outlook 2024; International Energy Agency: Paris, France, 2024; Available online: https://www.iea.org/reports/global-ev-outlook-2024 (accessed on 29 June 2025).
- International Energy Agency (IEA). Net Zero by 2050—Analysis, 2021. Available online: https://www.iea.org/reports/net-zero-by-2050?utm_source=chatgpt.com (accessed on 29 June 2025).
- Adam, K. Most New Cars in Norway are EVs. The Washington Post, 30 May 2025. Available online: https://www.washingtonpost.com/climate-solutions/2025/05/30/norway-ev-adoption-electric-cars/?utm_source=chatgpt.com (accessed on 29 June 2025).
- Zhao, X.; Hu, H.; Yuan, H.; Chu, X. How does adoption of electric vehicles reduce carbon emissions? Evidence from China. Heliyon 2023, 9, e20296. [Google Scholar] [CrossRef] [PubMed]
- S&P Global Mobility. Affordability Tops Charging and Range Concerns in Slowing EV Demand. November 2023. Available online: https://www.spglobal.com/mobility/en/research-analysis/affordability-tops-charging-and-range-concerns-in-slowing-ev-d.html (accessed on 29 June 2025).
- NREL. Soft Cost Analysis of EV Charging Infrastructure Informs Transition to an Electric Fleet, National Renewable Energy Laboratory. 2024. Available online: https://www.nrel.gov/news/detail/program/2024/soft-cost-analysis-of-ev-charging-infrastructure-informs-transition-to-an-electric-fleet (accessed on 29 June 2025).
- Bi, Z.; Kan, T.; Mi, C.C.; Zhang, Y.; Zhao, Z.; Keoleian, G.A. A review of wireless power transfer for electric vehicles: Prospects to enhance sustainable mobility. Appl. Energy 2016, 179, 413–425. [Google Scholar] [CrossRef]
- Yuvaraja, S.; Narayanamoorthi, R.; Mohamed Ali, J.S.; Almakhles, D. A Comprehensive Review of the On-Road Wireless Charging System for E-Mobility Applications. Front. Energy Res. 2022, 10, 926270. [Google Scholar] [CrossRef]
- Sun, H.; Ma, X.; Hu, R.Q.; Christensen, R. Precise Coil Alignment for Dynamic Wireless Charging of Electric Vehicles with RFID Sensing. arXiv 2021, arXiv:2107.11428. Available online: http://arxiv.org/abs/2312.12565 (accessed on 29 June 2025). [CrossRef]
- Ghassemi, A.; Soares, L.; Wang, H.; Xi, Z. A Novel Mathematical Model for Infrastructure Planning of Dynamic Wireless Power Transfer Systems for Electric Vehicles. arXiv 2021, arXiv:2107.11428. Available online: http://arxiv.org/abs/2107.11428 (accessed on 29 June 2025). [CrossRef]
- Wang, C.; Nguyen, H.D. Steady-state Voltage Profile and Long-term Voltage Stability of Electrified Road with Wireless Dynamic Charging. arXiv 2019, arXiv:1906.00903. Available online: http://arxiv.org/abs/1906.00903 (accessed on 29 June 2025).
- Ma, X.; Yuan Zhou, Y.; Zhang, H.; Wang, Q.; Sun, H.; Wang, H.; Hu, R.Q. Exploring Communication Technologies, Standards, and Challenges in Electrified Vehicle Charging. arXiv 2024, arXiv:2403.16830. Available online: http://arxiv.org/abs/2403.16830 (accessed on 29 June 2025). [CrossRef]
- Van Mulders, J.; Delabie, D.; Lecluyse, C.; Buyle, C.; Callebaut, G.; Van der Perre, L.; De Strycker, L. Wireless Power Transfer: Systems, Circuits, Standards, and Use Cases. Sensors 2022, 22, 5573. [Google Scholar] [CrossRef]
- SAE International. SAE International Finalizes Light Duty Wireless Charging ‘Gamechanger’ Standard to Enable Mass Commercialization. Available online: https://www.sae.org/news/press-room/2024/08/sae-j2954?utm_source=chatgpt.com (accessed on 29 June 2025).
- Mohamed, A.; Shaier, S. Evaluation of power transfer efficiency with ferrite sheets in WPT system. In 2017 IEEE Wireless Power Transfer Conference, Taipei, Taiwan, 10–12 May 2017; IEEE: Piscataway, NJ, USA, 2017; Available online: https://www.researchgate.net/publication/317824866 (accessed on 29 June 2025).
- IEA. Global Critical Minerals Outlook 2025. Available online: https://iea.blob.core.windows.net/assets/a33abe2e-f799-4787-b09b-2484a6f5a8e4/GlobalCriticalMineralsOutlook2025.pdf (accessed on 29 June 2025).
- Rhee, J.; Woo, S.; Lee, C.; Ahn, S. Selection of Ferrite Depending on Permeability and Weight to Enhance Power Transfer Efficiency in Low-Power Wireless Power Transfer Systems. Energies 2024, 17, 3816. [Google Scholar] [CrossRef]
- Wang, D.; Zhang, J.; Cui, S.; Bie, Z.; Song, K.; Zhu, C.; Matveevich, M.I. Modern Advances in Magnetic Materials of Wireless Power Transfer Systems: A Review and New Perspectives. Nanomaterials 2022, 12, 3662. [Google Scholar] [CrossRef]
- Digital Commons USU. All Graduate Theses, and T. Gardner. Wireless Power Transfer Roadway Integration. 2017. Available online: https://digitalcommons.usu.edu/etd/6866 (accessed on 29 June 2025).
- Honjo, Y.; Caremel, C.; Kawahara, Y.; Sasatani, T. Suppressing Leakage Magnetic Field in Wireless Power Transfer Using Halbach Array-Based Resonators. IEEE Antennas Wirel. Protag. Lett. 2024, 23, 94–98. [Google Scholar] [CrossRef]
- Niu, S.; Jia, Q.; Hu, Y.; Yang, C.; Jian, L. Safety Management Technologies for Wireless Electric Vehicle Charging Systems: A Review. Electronics 2025, 14, 2380. [Google Scholar] [CrossRef]
- Poguntke, T.; Schumann, P.; Ochs, K. Radar-based living object protection for inductive charging of electric vehicles using two-dimensional signal processing. Wirel. Power Transf. 2017, 4, 88–97. [Google Scholar] [CrossRef]
- Qi, Y.; Espinoza-Andaluz, M.; Thern, M.; Andersson, M. Polymer electrolyte fuel cell system level modelling and simulation of transient behavior. eTransportation 2019, 2, 100030. [Google Scholar] [CrossRef]
- Wang, Z.; Zhang, Y.; He, X.; Luo, B.; Mai, R. Research and Application of Capacitive Power Transfer System: A Review. Electronics 2022, 11, 1158. [Google Scholar] [CrossRef]
- Erel, M.Z.; Bayindir, K.C.; Aydemir, M.T.; Chaudhary, S.K.; Guerrero, J.M. A Comprehensive Review on Wireless Capacitive Power Transfer Technology: Fundamentals and Applications. IEEE Access 2021, 10, 3116–3143. [Google Scholar] [CrossRef]
- Zhou, W.; Li, M.; Zhang, Q.; Li, Z.; Xie, S.; Fan, Y. Potential and challenges of capacitive power transfer systems for wireless EV charging: A review of key technologies. Green Energy Intell. Transp. 2024, 3, 100174. [Google Scholar] [CrossRef]
- Lecluyse, C.; Minnaert, B.; Kleemann, M. A review of the current state of technology of capacitive wireless power transfer. Energies 2021, 14, 5862. [Google Scholar] [CrossRef]
- Taisei Corporation. Roadway Wireless Power Transfer System for Dynamic Charging, National Road Technology Council Report No.2020-6. 2024. Available online: https://www.mlit.go.jp/road/tech/jigo/r06/pdf/report2020-6.pdf (accessed on 29 June 2025).
- Lee, I.-O.; Kim, J.; Lee, W. A high-efficient low-cost converter for capacitive wireless power transfer systems. Energies 2017, 10, 1437. [Google Scholar] [CrossRef]
- Mikelj, M.; Nagode, M.; Klemenc, J.; Šeruga, D. Influence of Operating Conditions on a Cast-Iron Manhole Cover. Technologies 2022, 10, 127. [Google Scholar] [CrossRef]
- Sugi, S. Manhole covers as part of the road Their role. Constr. Mach. 2018, 70. [Google Scholar]
- Mascot Inc. BS EN 124-2. Available online: https://mascotengineering.com/technical-support/en-124-2/?utm_source=chatgpt.com (accessed on 29 June 2025).
- Japanese Standards Association. Spheroidal Graphite Cast Irons. Available online: https://webdesk.jsa.or.jp/preview/pre_jis_g_05502_000_000_2022_e_ed10_ch.pdf?utm_source=chatgpt.com (accessed on 29 June 2025).
- Hinode, Ltd. Characteristics of Spheroidal Graphite Cast Iron. Available online: https://hinodesuido.co.jp/Technology/fcd.html (accessed on 29 June 2025).
- Owada, N.; Okazaki, S.; Hiraoka, T.; Goto, K. Electrical Resistivity of Various Cast Irons. Im. J. Jpn. Foundry Eng. Soc. 1982, 54, 113–118. [Google Scholar]
- Muharam, A.; Ahmad, S.; Hattori, R. Scaling-factor and design guidelines for shielded-capacitive power transfer. Energies 2020, 13, 4240. [Google Scholar] [CrossRef]
- Muharam, A.; Ahmad, S.; Hattori, R.; Hapid, A. 13.56 MHz scalable shielded-capacitive power transfer for electric vehicle wireless charging. 2020 IEEE PELS Work. In Proceedings of the 2020 IEEE PELS Workshop on Emerging Technologies: Wireless Power Transfer (WoW), Seoul, Republic of Korea, 15–19 November 2020; pp. 298–303. [Google Scholar] [CrossRef]
- Ahmad, S.; Muharam, A.; Hattori, R.; Uezu, A.; Mostafa, T.M. Shielded Capacitive Power Transfer (S-CPT) without Secondary Side Inductors. Energies 2021, 14, 4590. [Google Scholar] [CrossRef]
- Zhang, J.; Yao, S.; Pan, L.; Liu, Y.; Zhu, C. A Review of Capacitive Power Transfer Technology for Electric Vehicle Applications. Electronics 2023, 12, 3534. [Google Scholar] [CrossRef]
- Lide, D.R. CRC Handbook of Chemistry and Physics, 90th ed.; CRC Press: Boca Raton, FL, USA, 2009; pp. 12–114. [Google Scholar]
- Davis, J.R. Metals Handbook Desk Edition; ASM International: Materials Park, OH, USA, 1998; pp. 1–85. [Google Scholar]
- Asanuma, H.; Kondo, Y.; Tashiro, K. Electrical Resistivity of Ductile Cast Iron and Its Dependence on Graphite Morphology. Mater. Trans. 2007, 48, 2463–2468. [Google Scholar]
- Nishiyama, K.; Tsuchida, T.; Nakahara, H. Magnetic and electrical properties of spheroidal graphite cast iron. IEEE Trans. Magn. 1993, 29, 3333–3335. [Google Scholar]
- Jiles, M. Introduction to Magnetism and Magnetic Materials, 3rd ed.; CRC Press: Boca Raton, FL, USA, 2015; pp. 87–88. [Google Scholar]
- Bozorth, R.M. Ferromagnetism; IEEE Press: New York, NY, USA, 1993; pp. 27–31. [Google Scholar]
- Pozar, D.M. Microwave Engineering, 4th ed.; Chapter 4; Wiley: Hoboken, NJ, USA, 2012; pp. 176–180. [Google Scholar]
- Frickey, D.A. Conversions between S, Z, Y, h, ABCD, and T parameters which are valid for complex source and load impedances. IEEE Trans. Microw. Theory Tech. 1994, 42, 205–211. [Google Scholar] [CrossRef]
- Wikipedia. ISO/IEC 14443. Available online: https://en.wikipedia.org/wiki/ISO/IEC_14443?utm_source=chatgpt.com (accessed on 29 June 2025).
- Shimizu Co., Ltd. Electroplating. Available online: https://shimizu-corp.co.jp/electroplation/ (accessed on 29 June 2025).
- Tobinaga, H.; Yamaguchi, E.; Murayama, M. Consideration of plastic deformation capacity of spheroidal graphite cast iron to deck slab for highway bridge. J. Struct. Eng. 2018, 64A, 109–119. [Google Scholar]
- Japan Ground Manhole Industry Association. Specifications and Performance of Ground Manholes for Sewerage Systems; Japan Ground Manhole Industry Association: Tokyo, Japan, 1997. [Google Scholar]
- Sewerage Association Standard JSWAS G-4. Available online: https://jgma.gr.jp/manhole-cover/g4second/ (accessed on 29 June 2025).
- Tateishi, E.; Yi, Y.; Kai, N.; Kumagae, T.; Yamaguchi, T.; Kanaya, H. Development of Cast Iron Manhole Cover with Broadband-Radio-Transmission Characteristics Applying Spiral Structure. IEEE Antennas Wirel. Propag. Lett. 2025, 24, 612–615. [Google Scholar] [CrossRef]
















| Material Name | Conductivity (σ) S/m | Relative Permeability (μr) | Specific Resistance (ρ) (Ω·m) |
|---|---|---|---|
| Copper | 5.8 × 10−7 | 1.0 (non-magnetic) | 1.7 × 10−8 |
| Aluminum | 3.5 × 10−7 | 1.0 (non-magnetic) | 2.8 × 10−8 |
| Ductile Cast Iron | 0.9 to 1.3 × 10−6 | 80 to 200 | 7.7 to 11 × 10−7 |
| Structural Steel | 5.8 to 6.5 × 10−6 | 100 to 800 | 1.5 to 1.7 × 10−7 |
| Carbon Steel | 5.5 to 7.0 × 10−6 | 100 to 800 | 1.4 to 1.7 × 10−7 |
Disclaimer/Publisher’s Note: The statements, opinions and data contained in all publications are solely those of the individual author(s) and contributor(s) and not of MDPI and/or the editor(s). MDPI and/or the editor(s) disclaim responsibility for any injury to people or property resulting from any ideas, methods, instructions or products referred to in the content. |
© 2025 by the authors. Licensee MDPI, Basel, Switzerland. This article is an open access article distributed under the terms and conditions of the Creative Commons Attribution (CC BY) license (https://creativecommons.org/licenses/by/4.0/).
Share and Cite
Tateishi, E.; Chen, H.; Kojo, N.; Ide, Y.; Kai, N.; Hashimoto, T.; Uchio, K.; Yamaguchi, T.; Hattori, R.; Kanaya, H. Shielded Capacitive Power Transmission (S-CPT) System Using Cast Iron. Energies 2025, 18, 5288. https://doi.org/10.3390/en18195288
Tateishi E, Chen H, Kojo N, Ide Y, Kai N, Hashimoto T, Uchio K, Yamaguchi T, Hattori R, Kanaya H. Shielded Capacitive Power Transmission (S-CPT) System Using Cast Iron. Energies. 2025; 18(19):5288. https://doi.org/10.3390/en18195288
Chicago/Turabian StyleTateishi, Eiichi, Hao Chen, Naoki Kojo, Yuta Ide, Nobuhiro Kai, Toru Hashimoto, Kota Uchio, Tatsuya Yamaguchi, Reiji Hattori, and Haruichi Kanaya. 2025. "Shielded Capacitive Power Transmission (S-CPT) System Using Cast Iron" Energies 18, no. 19: 5288. https://doi.org/10.3390/en18195288
APA StyleTateishi, E., Chen, H., Kojo, N., Ide, Y., Kai, N., Hashimoto, T., Uchio, K., Yamaguchi, T., Hattori, R., & Kanaya, H. (2025). Shielded Capacitive Power Transmission (S-CPT) System Using Cast Iron. Energies, 18(19), 5288. https://doi.org/10.3390/en18195288

