Abstract
Fatigue damage of yawed wind turbine components can be caused by repeated long-term unsteady asymmetric inflow loads across the rotor swept area, necessitating fatigue load analysis to ensure the in-operation safety of wind turbines. This study investigates the impact of geometric nonlinearity on the fatigue loads of wind turbine components. The geometrically exact beam theory (GEBT), implemented in BeamDyn of OpenFAST, is employed to model full geometric nonlinearity. For comparison, ElastoDyn in OpenFAST, which uses the generalized Euler–Bernoulli beam theory for straight isotropic beams, is also utilized. Aeroelastic simulations were conducted for the national renewable energy laboratory (NREL 5 MW) and international energy agency (IEA) 15 MW wind turbines. Fatigue loads, quantified by the damage equivalent load (DEL) based on Palmgren–Miner’s rule, were analyzed for critical components, including blade out-of-plane (OOP) moments, low-speed shaft (LSS) torque, LSS bending moment (LSSBM), and tower base bending moment (TBBM). Results indicate that geometric nonlinearity significantly influences fatigue damage in critical turbine components, with significant differences observed between BeamDyn and ElastoDyn simulations.
1. Introduction
The total installed capacity of wind energy worldwide has grown significantly, underscoring its vital role in the global energy mix. The Global Wind Report 2024 highlights the importance of wind power in meeting the goal set at the 28th Conference of the Parties (COP28) to triple renewable energy by 2030 [1]. Advances in wind energy rely on larger wind turbines with longer blades, taller hubs, and wider rotor diameters, which improve the efficiency of power harvesting at both onshore and offshore sites [2]. However, larger blades bring challenges to the structural integrity, due to greater mass and elastic deformations. Made from lightweight high-stiffness materials like fiberglass, these blades show geometric nonlinearity, requiring sophisticated engineering to maintain reliability under operational loads [3]. Analyzing the aerodynamic responses, loads, and fatigue damage remains essential for optimizing turbine performance.
The implementation of yaw offset, a technique used to intentionally deflect the wake away from downstream wind turbines, is one of the most promising methods for maximizing the power harvesting capacity of a wind farm [4,5]. However, the yaw offset increases the fatigue damage to wind turbine components [6,7]. Modern large wind turbine blades, made as thin-walled shells from composite materials, endure complex forces, including aerodynamic loads, which are strongest in the flapwise direction toward the tip, and gravity-induced loads, driven by material density, in the edgewise direction, decreasing outward. The cross-sectional properties and stiffness of the blades are vital for structural dynamics and aeroelastic analysis, yet their composite nature and intricate geometries pose challenges in selecting efficient accurate numerical models to capture coupled effects [7,8,9]. Analysis methods range from advanced three-dimensional (3D) finite-element techniques [10] with shell-element laminate theory praised for precise stress and displacement results to simpler two-dimensional (2D) lamination theory. While 3D methods excel, they do not directly yield cross-sectional data for broader assessments, unlike shell-based 3D structural models [11]. One-dimensional (1D) beam models deliver a practical balance of accuracy and computational efficiency for blade analysis [12], rendering them a preferred choice.
Within the OpenFAST-v3.5.4 framework [13], the ElastoDyn module employs a simplified Euler–Bernoulli beam [14] approach to model the blade as a flexible cantilever beam with continuously distributed mass and stiffness. This beam model effectively captures the behavior of flexure-dominated blades, assuming a straight isotropic structure without accounting for cross-sectional couplings or shear effects. However, its applicability is constrained when analyzing significant torsional deformations or bend–twist coupling phenomena [14,15,16,17]. In contrast, the BeamDyn module [18] leverages GEBT, first proposed by Reissner (1973) [19], accommodating full geometric nonlinearity and large deformations. The state–space formulation of this theory has been integrated into BeamDyn [20], which is designed to interface distinct instances of BeamDyn with OpenFAST for each blade. Structurally, this integration into OpenFAST entails transferring the root motions (translations and rotations) of each blade from the ElastoDyn module to BeamDyn, while reciprocally conveying root loads (forces and moments) from BeamDyn to ElastoDyn. Aerodynamically, the coupling involves transmitting nodal motions (translations and rotations) along each blade from BeamDyn to AeroDyn module, with aerodynamic loads distributed along the blade returned from AeroDyn to BeamDyn [21]. The integration of these solvers enables the simulation of a complete wind turbine system, accurately capturing the large deformations and torsional effects of large composite wind turbine blades.
Analyzing wind turbine blades demands advanced tools like BeamDyn to tackle the geometric nonlinearity, with foundational work by Bauchau et al. (2011) [3] introducing a nonlinear composite beam model that handles large displacements, rotations, and elastic couplings in curved twisted blades under small strains. Wang et al. (2014b) introduced a nonlinear aeroelastic model integrating BEM theory with GEBT to analyze large deflection cantilever beams. The model effectively captured geometric nonlinearity due to significant blade deflections, showing good agreement with experimental data [9]. For small deflections, the nonlinear model produced results consistent with linear aeroelastic codes, suggesting that geometric nonlinearity can be neglected in such cases. Accounting for geometric nonlinearity in large deflection scenarios significantly reduced the tip deflection [22]. Pai (2011) [23] studied GEBT that uses a variable without rotation and revealed that the rotation angles used for geometrically nonlinear can be spatially discontinuous. The author suggested GEBT that fully accounts for geometric nonlinearity, initial curvature exact coordinate transformation, and orthogonal virtual rotation. McDonnell and Ning (2024) [24] implemented GEBT to optimize a cantilever beam with large tip displacement, computing bending moments to match the analytical results. They also analyzed a wind turbine blade under sinusoidal tip load, with the GEBT results aligning with the analytical and experimental data. Later, they enhanced the accuracy with a nonlinear Timoshenko beam theory using mechanics-based variables and quadrature elements, while [25] merged GEBT with blade element momentum methods, revealing how the wind shear boosts the flap deflection, tower shadow spikes thrust, and yawed inflow cuts to power.
An aeroelastic framework [26] uses nonlinear beam models to capture large deformations from aerodynamic and rotational loads, including centrifugal and Coriolis effects across flapwise, edgewise, and torsional motions. Hansen et al. (2006) [27] simplified 3D structures into 1D beams for bending, torsion, and tension, refining predictions with second-order strain FEM models, while Chen et al. (2010) [28] benchmarked tools like variational asymptotic beam sectional analysis (VABS (precise)) and pre-processor for computing composite blade properties (PreComp (simpler)) for composite blade sections, favoring VABS for complexity. Blade aerodynamics heavily stress the LSS, critical in three-point mount designs, where Ishihara et al. (2025) [29] validated a 3D elastic drivetrain model exposing LSS load gaps, and Zhang et al. (2024) [30] reduced LSS fatigue under frequency regulation through torsional vibration control, reducing the DEL.
Sun et al., 2022 [31] conducted a fatigue load evaluation primarily based on simulations of a single NREL 5 MW turbine model, limiting its applicability to larger modern wind turbines such as the IEA 15 MW, which experience different structural responses, due to increased rotor diameters, hub heights, and slender blade flexibility. These larger turbines show distinct aerodynamic and structural loading conditions, making it essential to incorporate them into fatigue assessments to ensure more accurate and comprehensive load predictions. Zalkind and Pao (2016) [32], used ElastoDyn to study fatigue loads on NREL 5 MW wind turbine components such as the blade root OOP moment, LSS torque, LSS moment, and tower base moment under yaw control; however, it lacked the detailed spatial resolution of blade deformations due to its simplified modeling.
To address these challenges, the advanced and geometrically nonlinear blade analysis provided by BeamDyn, which standalone ElastoDyn cannot capture for large turbine blades with pre-twist and pre-bend, is utilized. Integrating BeamDyn with ElastoDyn bridges this gap, enabling a more comprehensive fatigue assessment and enhancing the structural integrity of modern large-scale wind turbines. This study investigates the short-term aggregated DELs of two yawed wind turbine models, onshore NREL 5 MW [33] and offshore IEA 15 MW [34], under representative stochastic turbulent wind conditions below and above the rated wind speeds. The analysis focuses on critical turbine components, including blade root OOP, LSS torque, LSSBM, and the resultant TBBM (combining fore-aft and side-to-side components). The loads are calculated using the nonlinear aero-servo-elastic tool OpenFAST [13], employing two blade models, ElastoDyn and BeamDyn. Time-series load data are processed using the Rainflow counting method, which enables the analysis of variable amplitude loading by breaking down complex irregular loads into individual simple load cycles. For each hysteresis loop, the method identifies the peaks and valleys and counts each loop as a separate cycle, noting the amplitude (half the difference between the peak and valley) and the mean load (the average of the peak and valley) [35].
The response of material to the mean load can allow for the selection of a mean load with the Goodman correction that suits the material behavior; to obtain the ratio of minimum to maximum load equal to requires an additional transformation process. Such a method can formulate a mean load correction equation that assumes a linear relationship between the mean load and the ratio of the load amplitude to the equivalent load [36]. Material-specific S-N curve values are utilized, and the aggregated DELs are computed according to Miner’s rule for both the BeamDyn and ElastoDyn results, followed by a comparative analysis. The objectives of this study are threefold: (1) to compare the fatigue loads predicted by BeamDyn and ElastoDyn, (2) to assess the influence of yaw misalignment on the fatigue damage of wind turbine components, and (3) to evaluate differences in fatigue loads across the NREL 5 MW and IEA 15 MW turbine models.
This paper is structured as follows. Section 2 introduces the wind turbines model description, wind field modeling, turbine blade analysis, and fatigue load assessment. In Section 3, we present aggregated short-term DELs for critical wind turbine components and a comparative study of two wind turbine models. Section 4 presents the conclusions of the overall study.
2. Methodology
In Section 2, we describe an aeroelastic model, developed to evaluate the fatigue loads of wind turbines. These turbines’ model properties and model descriptions are presented in Section 2.1. Full-field turbulent inflow conditions are generated, considering both above and below rated wind speeds, as described in Section 2.2. The blade coordinate system, encompassing global, undeformed, and deformed reference frames for BeamDyn, is detailed in Section 2.3. The simulation framework, integrating ElastoDyn and BeamDyn, is established in Section 2.4. Finally, the methodology for calculating fatigue loads is presented in Section 2.5.
2.1. Wind Turbines’ Model Description
The onshore NREL 5-MW [33] and offshore IEA 15-MW [34] reference wind turbine models (Table 1) were simulated with yaw offsets () ranging from −40° to 40° at interval of 10°, using representative wind speeds of 8 m/s (below rated) and 14 m/s (above rated), respectively. Aeroelastic simulations were conducted using the aero-servo-elastic solvers in the OpenFAST-v3.5.4 developed by NREL, Golden, CO, USA [13], aiming to investigate the fatigue damage in the wind turbine blade, LSS, and TBBM. The DEL for the blade and tower loads was computed, focusing on the blade OOP, LSS, LSSBM, and TBBM at the tower base (fore–aft and side-to-side), as shown in Figure 1. The DELs obtained from the ElastoDyn results were compared with those from the BeamDyn results and normalized by the DEL of the ElastoDyn results at .
Table 1.
Properties of the wind turbines’ model.
Figure 1.
Wind turbine model critical components and loads: (a) wind turbine (b) blade OOP moment (c) low-speed shaft loads (d) tower base fore–aft and side-to-side moment.
2.2. Wind Field Modeling
The TurbSim v2.00 developed by NREL, Golden, CO, USA [37], was employed to generate a three-dimensional turbulent wind field (Figure 2), based on the Kaimal spectrum, and the power law wind profiles defined in Equation (1) for IEC Type C turbulence characteristics (Table 2). In compliance with IEC standards [35], the turbulent inflow of a single wind speed bin was generated for six different wind speeds, each providing continuous 10 min structural load signals for calculating the short-term aggregated DEL. TurbSim was configured to output the analysis time as “All” ensuring that the usable time equaled the analysis time. To mitigate the initialization effects on the wind turbine, only the aerodynamic–elastic performance from the final 600 s of the simulation was analyzed.
Figure 2.
Wind profiles for wind turbines at below-rated (red line) and above-rated (dark line) wind speeds: (a) mean wind speed and (b) turbulence intensity.
Table 2.
Characteristics of the inflow wind model.
The power law inflow profile is a widely used empirical model used to describe the variation in wind speed with the height above the ground in the atmospheric boundary layer. The wind speed varies across different heights due to friction from the surface of the Earth (terrain, vegetation, buildings, etc.). Near the ground, the wind speed is slower due to drag, and it increases with height until it approaches the free-stream velocity higher up as shown in Figure 2 [37]. The standard form of the power law for wind speed at height is
where is the shear exponent, is the mean wind speed at hub height, is the hub-height, and is the arbitrary height above the ground surface.
2.3. Implementation of BeamDyn
The theoretical foundation of BeamDyn is the GEBT, which is designed to handle beams that are nonlinear, initially curved, and twisted and can undergo large displacements and rotations. This theory is particularly relevant for modeling structures like wind turbine blades, where such deformations are significant. GEBT is termed “geometrically exact” because it does not approximate the geometries, including both undeformed and deformed states, ensuring high fidelity in capturing the coupling effects between all six degrees of freedom extension, bending, shear, and torsion implemented in OpenFAST [13].
2.3.1. Coordinate Systems
To accurately represent the geometry and deflection of a wind turbine blade for aeroelastic modeling, BeamDyn utilizes three coordinate systems. These include the global frame, where the blade root is cantilevered at the origin, represents the wind turbine rotor and is used to define rotor-related parameters; the undeformed blade frame, which is aligned with the original undeformed blade, and refers to blade properties; and the deformed blade frame, which traverses the shape of the blade after deformation. The GEBT theory is complemented by a rigorous two-dimensional (2D) cross-sectional analysis as shown in Figure 3. The global coordinate system is denoted by X, Y, and Z at the root of the blade, as shown in Figure 3a. The undeformed blade reference coordinate system, denoted as , is orthogonal to the and axes. The axis points towards the trailing edge, and the axis aligns with the blade axis from root to tip as illustrated in Figure 3b at the initialization time (t = 0). At instant time, the frame is deformed, attached to the root of the blade, and rotates with the blade over time. The deformed reference coordinate system at time t is denoted as and , as shown in Figure 3c [18]. In addition, stands for the arc-length (red-curve) along the undeformed blade reference line . and are the arbitrary coordinate points of the undeformed blade cross section on . denotes the arc-length (red-curve) along the deformed blade reference line .
Figure 3.
Configuration of BeamDyn: (a) global reference (greed) frame, (b) undeformed blade reference (blue and dashed dark) frame, and (c) deformed blade reference (blue and solid) frame.
2.3.2. Governing Equations
The governing Equation (2) of motion for GEBT describes the balance of the linear and angular momentum for the beam in the inertial coordinate system, which is non-accelerating reference frame. Equation (3) represents the balance of angular momentum and ensures the conservation of angular momentum accounting for large rotations and displacement [38].
where and denote the sectional forces and moments, respectively; and are the sectional linear and angular moments, respectively; and and represent the distributed externally applied forces and moments per unit span of the beam, respectively, all measured in bases of global coordinate . is the 1D displacement at point reference line; is the initial position vector of a point along the beam reference line. Sectional constitutive equations related to velocities of momenta of 1D strain measures to sectional resultant as
where and are the sectional linear and angular velocities measured in convected material frame, and the sectional mass matrix is given by
where is mass matrix of the blade cross section per unit length, is the location of the cross-sectional center of mass, and is the cross-sectional inertia tensor.
where is the blade cross section’s sectional stiffness matrix, and the diagonal elements represent the extensional stiffness, edgewise shear stiffness, flapwise shear stiffness, torsional stiffness, flapwise bending stiffness, and edgewise bending stiffness, respectively. The sectional force and moment are given by and , respectively. and are the 1D strains and curvatures, respectively.
2.4. Wind Turbines Aeroelastic Simulation
The numerical simulations in this study were conducted using OpenFAST-v3.5.4 [13] to perform aero-servo-elastic analyses for two wind turbine models. The simulation setup included two approaches, ElastoDyn and BeamDyn. Notably, the BeamDyn required smaller time steps compared to ElastoDyn. Each simulation case incorporated AeroDyn15, which applies dynamic blade element theory based on a discrete-time implementation of an unsteady model [7] to calculate aerodynamic forces around two-dimensional airfoils [39]; InflowWind, which processes wind inflow conditions [40]; and ServoDyn, which accounts for the wind turbine model control system, as illustrated in Figure 4. The time series loads for each case were successfully obtained and subsequently used for further fatigue load assessments. Regarding the wind turbine models, we validated both models prior to conducting the cases implemented in this research. Specifically, we computed the power, torque, rotor speed, blade pitch angle, and rotor thrust for the models and validated them against the results from the technical reports [33,34]. The results are not included for the sake of conciseness, and the computed results show good agreement with the NREL 5 MW and IEA 15 MW wind turbine models.
Figure 4.
The flow chart of BeamDyn- and ElastoDyn-based fatigue load assessment methods.
2.5. Fatigue Load Calculation
The two wind turbine models were selected as the target models for this study. For each wind turbine model, fatigue load simulations were conducted using aero-servo-elastic analysis in accordance with design load case (DLC) 1.2 of the IEC 61400 standard [41]. In the DLC 1.2 situation, the wind turbine is in operation, and it is assumed that the configuration takes into account the rotor imbalance. In addition, it embodies the requirements for loads resulting from atmospheric turbulence that occurs during normal operation throughout the lifetime. Fatigue damage is computed using an appropriate fatigue damage calculation. For instance, in the case of Miner’s rule, the limit state is reached when the accumulated damage exceeds 1. In this case, the accumulated damage over the design lifetime of a turbine is less than or equal to 1. This standard mandates the use of six 10 min wind speed seeds for a single wind speed bin. The simulations were performed using OpenFAST with the ElastoDyn and BeamDyn modules, as illustrated in Figure 4.
In this study, we computed the fatigue damage of the NREL 5 MW and IEA 15 MW wind turbine model simulation results under turbulent inflow, at below (8 m/s) and above rated (14 m/s) wind speeds. The simulation results were obtained at each yaw angle of six wind speed seeds from −40° to 40° in intervals of 10° utilizing ElastoDyn and BeamDyn modules for blades. The aggregated short-term DEL of critical wind turbine components (blade root OOP bending moment, LSS torque, LSSBM, and tower base bending moment) was calculated at each and normalized to the ElastoDyn case at a particular to compare the fatigue prediction performance. As is common practice, the six 10 min time series of fluctuating loads were converted into a series of cycles in terms of the stress amplitude using the Rainflow cycle counting method, which gives the same fatigue damage as real turbulent inflow. This method identifies load cycles characterized by their mean and amplitude and employs linear accumulation based on Palmgren–Miner’s rule [42], as represented by Equation (7).
where D denotes the total Damage, is the number of cycles to failure, the cycle count, and is the cycle’s load range about a fixed load mean value. The relationship between the load range and cycles to failure (S-N curve) is modeled by Equation (8).
where is the ultimate design load of the component, is the fixed mean, and the Whöler exponent,, is specific to the component under consideration.
In this study, the fatigue cycles occur over a fixed mean considering the Goodman correction for a Goodman exponent equal to 1, as shown below in Equation (9), and the aggregate short-term DEL about a fixed mean computed using Equation (10).
The time series loads from the ElastoDyn and BeamDyn cases were utilized to compute the fatigue loads of wind turbine components at specific γ (refer to Section 3). In addition to fatigue load analysis, a comparison of the power spectra was conducted at a certain γ. The turbine blade out-of-plane deflection, in-plane deflection, and torsional twist were analyzed for both cases. The DEL of the turbine models was normalized to the DEL of the ElastoDyn case at a γ of 0° (refer to Section 3.1 and Section 3.2), and the DELs were normalized to the ElastoDyn case DEL for each corresponding γ (refer to Section 3.3).
3. Results and Discussion
In this section, we normalize the results in two ways: (1) In Section 3.1 and Section 3.2, all DEL results are normalized by the DEL from the zero-degree yaw offset ElastoDyn case, as this serves as the baseline model to facilitate comparison of variations in the BeamDyn results. (2) In Section 3.3, the DEL for each turbine model component is normalized by the corresponding value from the ElastoDyn case at the same yaw offset, again to observe load variations relative to the ElastoDyn baseline. The fatigue load result for the NREL 5 MW wind turbine model is presented in Section 3.1, while the IEA 15 MW wind turbine model is detailed in Section 3.2. A comparative analysis of the fatigue loads across the NREL 5 MW and IEA 15 MW wind turbine models is provided in Section 3.3.
3.1. The DEL of NREL 5 MW Wind Turbine Model
Figure 5a,b illustrate the DEL of the blade OOP moment at various γ for below-rated (left) and above-rated (right) wind speeds in both the ElastoDyn and BeamDyn cases. For below-rated wind speeds, the DEL of the OOP moment in the ElastoDyn case remained fairly similar as γ changed. In contrast, the BeamDyn case saw a more linear increase in DEL as γ changed from −40° to 40° from 0°, though it recorded lower DEL values at 0° for below-rated wind speed and the same DEL value for above-rated wind speeds compared to ElastoDyn. The BeamDyn case shows a nearly consistent upward pattern in DEL across γ from 0° to ±40°. For above-rated wind speeds, both ElastoDyn and BeamDyn cases saw a similar trend, with DEL values rising across γ; however, the increase in DEL is more pronounced in the BeamDyn case compared to ElastoDyn. The discrepancies arise from the assumptions in ElastoDyn that the material is isotropic and linear elastic and that plane sections remain plane and perpendicular to the neutral axis, which limit its ability to capture the geometric nonlinearity, pre-bend, and twist of the blade sections.

Figure 5.
The DEL of the NREL 5 MW wind turbine model: (a) blade OOP moment, (c) LSS torque, (e) LSS moment, and (g) TBBM of wind speed 8 m/s and (b) blade OOP moment, (d) LSS torque, (f) LSS moment, and (h) TBBM of wind speed 14 m/s normalized at of ElastoDyn values for below-rated (left) and above-rated (right) wind speeds.
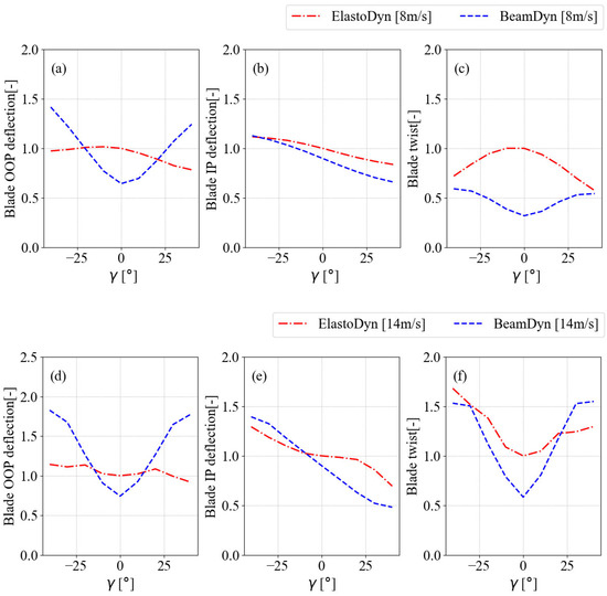
The results presented in Figure 6, show that the OOP blade tip displacement deviates in a pattern similar to that of the fatigue load. The blade tip in-plane displacement saw greater deviations at and lower variations at for both below-rated and above-rated wind speeds. Regarding the blade tip twist, the load deviation decreased as the γ increased in the ElastoDyn case, whereas the opposite was true for the BeamDyn case at below-rated wind speeds. For above-rated wind speeds, the load variation in the blade tip twist followed a trend similar to the blade tip OOP displacement in both ElastoDyn and BeamDyn cases. In addition to the blade tip in-plane displacement, the geometric nonlinearity affected the performance of the ElastoDyn case for the blade-tip OOP displacement and blade-tip twist.
Figure 6.
The NREL 5 MW wind turbine model standard deviation in the blade tip: (a) OOP deflection, (b) IP deflection, (c) twist of wind speed 8 m/s, and tip (d) OOP deflection, (e) IP deflection, (f) twist of wind speed 14 m/s normalized at of ElastoDyn results.
Figure 5c,d depict the LSS torque (a torsional moment transmitted through the LSS about its rotational axis) and DEL of ElastoDyn and BeamDyn for below-rated (left) and above-rated (right) wind speeds. For the below-rated wind speed, the LSS experienced lower DEL as the γ increased in both positive and negative directions in both ElastoDyn and BeamDyn. LSS experienced the highest DEL at in both the ElastoDyn and BeamDyn cases and dropped significantly as the γ increased. The BeamDyn shown approximately 20% lower DEL compared to ElastoDyn. For the above-rated wind speeds, the DEL of the LSS torque fluctuated with increasing yaw misalignment. Between γ of −40° and 20°, the DEL dropped significantly, with notable rises at 30° and 40°. However, the lowest DEL at negative γ occurred at −20°. In the BeamDyn case, the DEL of the shaft generally increased as γ rose from 0° to , but it then dropped at . The DEL of the LSS for both BeamDyn and ElastoDyn showed a similar pattern across positive and negative yaw misalignment. In general, the LSS torque experienced similar fatigue damage in both methods, with geometric nonlinearity having a moderate influence on LSS torque.
Figure 5e,f compare the DEL of the LSS moment (a force couple that causes the shaft to bend, resulting in loads that could lead to deflection) across varying γ in the ElastoDyn and BeamDyn simulations for below-rated (left) and above-rated (right) wind speeds. As γ increased, the DEL of the LSS moment in BeamDyn rose linearly for both wind speed conditions. In the ElastoDyn case, however, the DEL of the LSS moment showed a gradual increase but decreased only for negative γ from 0° to −40°. The DEL of the LSS moment was generally higher in BeamDyn, except between γ of 0° and 20°, where it was higher in ElastoDyn for below-rated wind speeds. The imbalance in the aerodynamic thrust across the rotor area induced by γ caused an increase in the DEL of the LSS moment. Figure 5g,h compare the TBBM DEL of ElastoDyn and BeamDyn across varying γ for below-rated and above-rated wind speeds. In BeamDyn, the TBBM DEL decreased with increasing γ for both wind speed conditions, with a gradual change observed under the below-rated conditions compared to the above-rated. For ElastoDyn, the TBBM DEL increased for negative γ from 0° to and gradually declined from 0° to 40° at below-rated speeds. In contrast, at above-rated speeds, the TBBM DEL increased with both positive and negative γ up to , after which, it decreased with further γ increases. The ElastoDyn case showed lower TBBM DEL at below-rated speeds and more fluctuation at above-rated speeds.
Figure 7 shows the power spectral density (PSD) comparison of ElastoDyn and BeamDyn load prediction for turbine critical components under yaw offset for turbulent wind speeds with mean wind speeds of 8 m/s and 14 m/s. Figure 7a depicts the PSD of the blade OOP moment response to a mean wind speed 14 m/s at . The harmonic frequencies 1 p (0.16 Hz) and 12 p (1.97 Hz) are dominant, and the second-order natural frequency (1.93 Hz shown with green dashed line) aligned with the harmonic component 12 p, which increased the fatigue damage, while the first-order natural frequency (0.67 Hz shown with dark dashed line) had no effect the blade. The difference in magnitude of the load spectra showed the DEL in BeamDyn to be larger than the case of ElastoDyn, as shown in Figure 5b. The PSD of the LSS torque in Figure 7b presents the dominant harmonic component 4 p (0.53 Hz), only for the ElastoDyn case, and 12 p (1.58 Hz) the largest in magnitude for both the BeamDyn and ElastoDyn cases of a mean wind speed 8 m/s at . The 4 p component of ElastoDyn approaches to the drivetrain torsion first-order natural frequency (0.62 Hz), which may cause a larger fatigue load, as shown in Figure 5c.
Figure 7.
The power spectral density of the turbine blade: (a) OOP moment of wind speed 14 m/s, (b) LSS torque of wind speed 8 m/s, (c) LSS moment, and (d) LSS torque of wind speed 14 m/s.
Figure 7c,d compare the PSD of the LSS moment and resultant tower base moment response of a mean wind speed 14 m/s at for the BeamDyn and ElastoDyn cases. In Figure 7c, the LSS moment response shows the magnitude of dominant harmonic frequency component is the largest at 1 p (0.18 Hz), decreases in the order of 6 p (1.07 Hz) and 9 p (1.61 Hz), and slightly increases at 12 p (2.15 Hz) in both cases. The first-order natural frequency (0.62 Hz) does not excite on the LSS moment, and the power spectral magnitude of the BeamDyn resonated more compared to the ElastoDyn, which cause a larger DEL, as evidenced in Figure 5f. Similarly, the resultant tower base moment response shows the dominant harmonic frequency components 3 p (0.54 Hz), 6 p (1.08 Hz), 9 p (1.62 Hz), 12 p (2.16 Hz), and 15 p (2.70 Hz). Among the harmonic frequency components, the magnitude of the 3 p component is the largest, followed by an increase in the order of 6 p, 9 p, and higher multiples. The tower first-order natural frequency (0.32 Hz) is close to 3 p, while the second-order natural frequency (2.90 Hz) is close to 12 p, able to increase the fatigue damage. In terms of the magnitude of the power spectra, the case of ElastoDyn predicts more, as shown in Figure 5h.
The effect of the geometric nonlinearity on the NREL 5 MW wind turbine model blades revealed that the prediction of DEL for the OOP moment is significantly influenced by the increasing yaw angle. ElastoDyn, which cannot capture the changes in fatigue load effects on the turbine blade OOP moment at below-rated wind speeds, shows an improvement at above-rated wind speeds. Although the ElastoDyn predictions for LSS torque are fairly similar to those of GEBT, the fatigue damage predictions for the LSS moment and TBBM differ significantly. ElastoDyn’s limitations in predicting the fatigue loads for LSS torque, LSS moment, and TBBM arise from its inability to account for the aerodynamic loads on geometrically nonlinear pre-bent and twisted turbine blades.
The aeroelastic analysis of the NREL 5 MW reference wind turbine, as shown in Figure 5, presents the DEL results, while Figure 6 displays the blade tip deflection, and Figure 7 illustrates the power spectral density of the critical turbine components. In addition to the geometric nonlinearity of the turbine blade, the yaw offset influenced the performance of the ElastoDyn case. For instance, the fatigue damage of the blade root out-of-plane bending moment is quite similar for smaller yaw offsets in both cases but diverges as the yaw offset increases. This can be attributed to the resonance of the harmonic frequency 1 p (0.16 Hz), which was induced by the yaw effect combined with the geometric nonlinearity that the ElastoDyn case could not capture. The blade in-plane deflection for the negative yaw offset was twice that of the positive yaw offset, indicating an asymmetric aerodynamic load across the rotor swept area. This provides insight into the phenomenon of increased fatigue damage to the low-speed shaft bending moment. Overall, the aeroelastic simulation performance of ElastoDyn is influenced by the combined effects of the blade’s geometric nonlinearity and yaw offset.
3.2. The DEL of IEA 15 MW Wind Turbine Model
The DEL of the blade OOP moment, as a function of γ, is shown for both below-rated and above-rated wind speeds in Figure 8a,b. For the below-rated wind speed case, the ElastoDyn simulation shows a decrease in the fatigue load with increasing negative γ, while the BeamDyn simulation showed a linear increase. As the positive γ increases, the DEL of the OOP moment continued to decrease, peaking at for ElastoDyn. In contrast, for BeamDyn under the below-rated wind speed, the DEL of the OOP moment decreased with positive γ, reaching a minimum at . Additionally, for the below-rated wind speed, the fatigue load was higher for ElastoDyn compared to BeamDyn. For the above-rated wind speed, the DEL of the turbine blade OOP moment decreased linearly for γ up to under the BeamDyn simulation. However, the ElastoDyn simulation resulted in fairly consistent fatigue loads across this yaw range. Beyond this interval, the fatigue load remained similar for BeamDyn, while it increased significantly for ElastoDyn.

Figure 8.
The DEL of the IEA 15 MW wind turbine model: (a) blade OOP moment, (c) LSS torque, (e) LSS moment, and (g) TBBM of wind speed 8 m/s and (b) blade OOP moment, (d) LSS torque, (f) LSS moment, and (h) TBBM of wind speed 14 m/s normalized at of ElastoDyn values for below-rated (left) and above-rated (right) wind speeds.
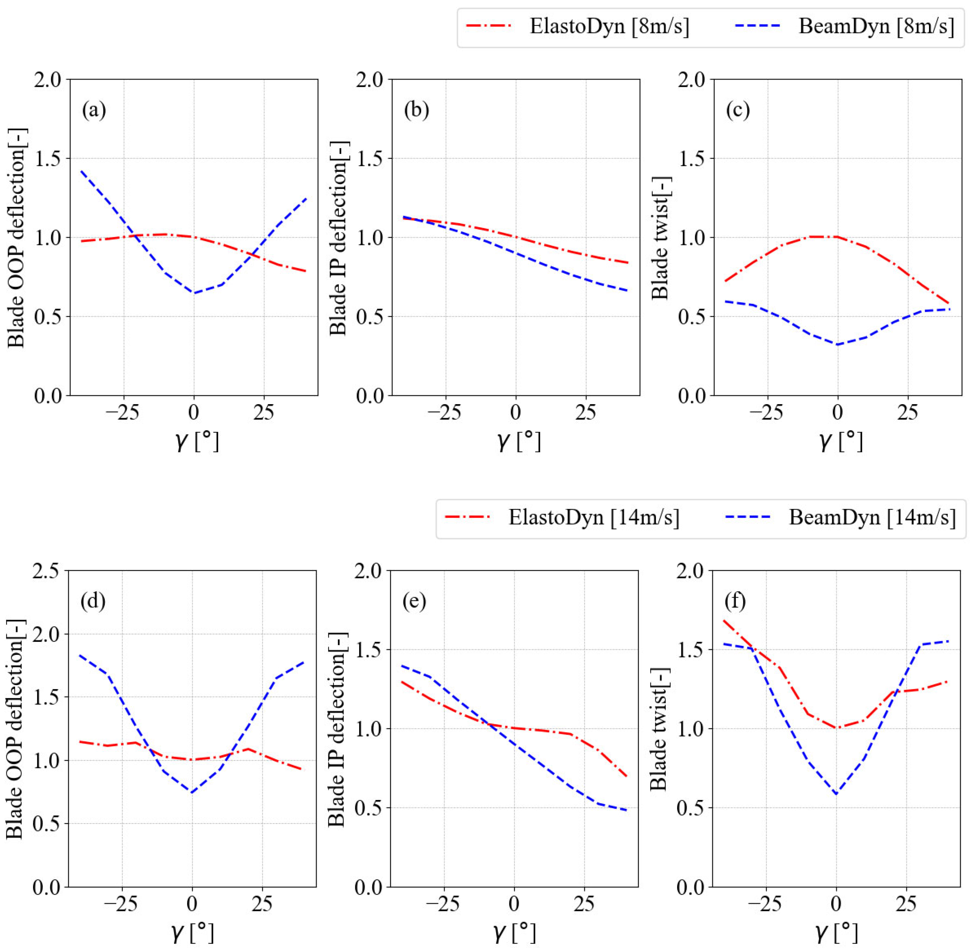
In terms of blade deflections, the blade experienced higher OOP tip deflection and twist under ElastoDyn for below-rated wind speeds, with comparable in-plane displacement to BeamDyn (Figure 9a–c). For the above-rated wind speed (as shown in Figure 9d–f), BeamDyn revealed a higher blade OOP tip displacement and lower tip twist than ElastoDyn, while the in-plane deflection remained similar between both methods. The LSS torque under the below-rated wind speed depicted similar DEL values across the γ range of in both the ElastoDyn and BeamDyn models. However, for BeamDyn, the fatigue load significantly decreased by approximately , as the γ increased in both the positive and negative directions, while ElastoDyn showed only a minor increase. For the above-rated wind speed, BeamDyn saw a slight increase in the DEL of LSS torque as a function of γ, which then declined at , as shown in Figure 9.
Figure 9.
The IEA 15 MW wind turbine model standard deviation of the blade tip: (a) OOP deflection, (b) IP deflection, and (c) twist of wind speed 8 m/s and tip (d) OOP deflection, (e) IP deflection, (f) and twist of wind speed 14 m/s normalized at of ElastoDyn results.
The DEL of the LSS moment for the below-rated wind speed, shown in Figure 8e, increased under negative γ, reaching a maximum at γ for the BeamDyn simulation. However, for the ElastoDyn simulation, the DEL of the LSS moment decreased within the γ range of to . For positive γ, the fatigue load in the BeamDyn simulation continued to decline, reaching a minimum at γ , while in the ElastoDyn simulation, the fatigue load increased linearly up to and then remained constant. A similar trend was observed for the above-rated wind speed, shown in Figure 8f, where the fatigue load of the LSS moment followed comparable patterns. For BeamDyn, however, the DEL of the LSS moment increased for both positive and negative yaw misalignments. In the ElastoDyn simulation, the fatigue load slightly decreased within the γ range of to and increased beyond this range. Additionally, the LSS experienced relatively lower fatigue loads for the LSS moment at the below-rated wind speed in BeamDyn compared to ElastoDyn. Conversely, at the above-rated wind speed, BeamDyn produced higher fatigue loads than ElastoDyn.
The form of PSD of the IEA 15 MW wind turbine model shown in Figure 10 is similar to PSD of the NREL 5 MW wind turbine model components (Figure 7) at two mean wind speeds 8 m/s and 14 m/s as a function of the yaw angle. The obtained results were achieved utilizing the BeamDyn and ElastoDyn modules. The blade OOP moment shows the magnitude of the dominant harmonic frequency components 1 p (0.12 Hz) was the largest and decreased in the order of 9 p (1.06 Hz), 21 p (2.47 Hz) and 30 p (3.52 Hz) for the case of BeamDyn at a mean wind speed of 14 m/s. However, the turbine blade did not resonate any distinct frequency peaks for the case of BeamDyn at , and the first-order natural frequency (0.56 Hz) did not excite the blade, as shown in Figure 10a. Figure 10b shows the PSD of LSS torque response for a mean wind speed 14 m/s at . The LSS torque of ElastoDyn resonated a single dominant harmonic frequency component 18 p (1.85 Hz) as the largest, and 14 p (1.44 Hz) and 28 p (2.88 Hz) for the case of BeamDyn, in which the multiple load frequencies cause higher fatigue damage, as shown in Figure 8d.
Figure 10.
The power spectral density of (a) blade OOP moment, (b) LSS torque, (c) LSS moment, and (d) TBBM wind speed of 14 m/s.
Figure 10c,d compare the PSD of the LSS moment and resultant tower base moment of a mean wind speed 14 m/s for the case of ElastoDyn against BeamDyn at . Both cases show dominant harmonic frequency components, with the magnitude of 1 p (0.08 Hz) being the largest, followed by 12 p (1.0 Hz), 28 p (2.33 Hz), etc., in decreasing order. The magnitude of the LSS moment power spectra is larger for the case of BeamDyn and contributes to the larger DEL of the LSS moment, as shown in Figure 8d. Similarly, Figure 10d compares the PSD of the resultant tower base moment at a mean wind speed of 14 m/s between BeamDyn and ElastoDyn at . The tower base moment shows dominant harmonic frequency components at 3 p (0.35 Hz) and 15 p (1.77 Hz), with BeamDyn experiencing maximum power spectral resonance and causing a larger DEL. The first-order natural frequency (0.17 Hz) does not contribute to the increase in fatigue damage of tower base.
The aerodynamic response of the IEA 15 MW wind turbine model exhibits significant variations in fatigue damage between the above-rated and below-rated wind speeds. The ElastoDyn and BeamDyn models show a broadly similar trend for below-rated wind speeds, although their predictions slightly diverge with the increasing yaw angle. For above-rated wind speeds, the fatigue damage of critical wind turbine components in ElastoDyn and BeamDyn differs markedly as a function of the yaw angle. This discrepancy contributes to an increase in the blade size, driven by geometric nonlinearity and blade pre-bend and twist, which the Euler–Bernoulli beam theory, employed by ElastoDyn, is limited in capturing. The variation in fatigue loads of turbine components and blade deformation between ElastoDyn and BeamDyn arises from the effects of geometric nonlinearity.
It is worth noting that the effects of geometric nonlinearity in blades are less pronounced with reduced rotor thrust. As shown in Figure 8, implementing yaw misalignment reduced the fatigue damage in turbine components for both the below-rated and above-rated wind speeds. However, yaw misalignment introduced aerodynamic imbalance, which caused asymmetric rotor loading across the swept area and significantly increased the fatigue damage to the low-speed shaft moment. This asymmetry in the aerodynamic load on the rotor was more pronounced at larger yaw offsets, further increasing the fatigue damage to the low-speed shaft. These phenomena can be explained by the difference in crossflow over the upper and lower halves from the hub center. Moreover, the blade in-plane deflection for both the below-rated and above-rated wind speeds showed that the deflection increased with the negative yaw offset and decreased linearly with the positive yaw offset, indicating that the negative yaw offset induced greater drag on the blade compared to the positive yaw offset. The IEA 15 MW reference wind turbine, with a blade length exceeding 100 m, exhibited similar blade out-of-plane tip deflection for the above-rated wind speed, due to the maintained constant rotor speed in the BeamDyn case. In contrast, the blade OOP deflection increased as the yaw offset deviated from the inflow angle, demonstrating that larger curved blades with pre-bend, made of nonlinear materials, limited the performance of the ElastoDyn case.
3.3. Comparison of Fatigue Load Between Two Wind Turbines
The results presented in the previous section reveal the influence of geometric nonlinearity on the fatigue loads of wind turbine blades. This section further explores and compares the fatigue loads of each wind turbine model for the case of BeamDyn. The DEL results of the NREL 5 MW and IEA 15 MW wind turbine models using BeamDyn are normalized with the respective DEL values from ElastoDyn for each yaw offset.
Figure 11 illustrates the DEL of the blade OOP moment, the LSS torque, the LSS moment, and the resultant tower base moment for the below-rated wind speed using BeamDyn, normalized against the corresponding γ results from ElastoDyn. In Figure 11a, the DEL of the blade OOP moment for the turbine models shows a reduction of approximately 12%, 3%, and 30% at zero γ compared to the ElastoDyn results for the NREL 5 MW and IEA 15 MW models, respectively. However, the blade fatigue load of the NREL 5 MW model exceeds the DEL of ElastoDyn beyond , rising by approximately 40% at In contrast, the IEA 15 MW models remain below the DEL values of their respective OOP moments from ElastoDyn. The IEA 15 MW model exhibited a higher fatigue load magnitude for negative γ compared to its positive counterparts. Figure 11b shows the DEL of LSS torque, and the ElastoDyn case experienced higher fatigue loads compared to BeamDyn. The IEA 15 MW models demonstrated similar DEL magnitudes at smaller γ, with significant reductions at larger γ. However, the DEL of the NREL 5 MW model fluctuated across the change in γ.

Figure 11.
The DEL of NREL 5 MW and IEA 15 MW wind turbine models: (a) blade OOP moment, (b) LSS torque, (c) LSS moment, and (d) TBBM normalized with the corresponding ElastoDyn values at corresponding for below-rated wind speeds of 8 m/s.
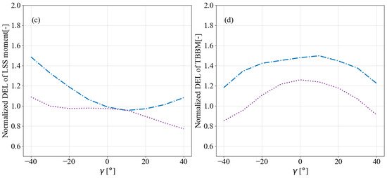
Figure 11c illustrates the DEL of the LSS moment, where the two wind turbines experienced similar values at . For the NREL 5 MW model, the DEL rises for negative γ, reaching a maximum increase of 50% at a γ of −40°, with the lowest value observed at 10° and a slight increase of up to 10% at 40°. The DEL of LSS moment for the IEA 15 MW model decreases from negative to positive γ.
Figure 11d illustrates the DEL of the tower base moment. An increase in γ results in a decrease in the DEL of the tower base moment. The NREL 5 MW and IEA 15 MW models show increases of 48% and 25%, respectively, compared to their corresponding ElastoDyn fatigue loads. Although γ reduce the tower base moment fatigue loads, the magnitude of the reduction varies among the selected wind turbine models.
Figure 12 presents the DEL of the blade OOP moment, LSS torque, LSS moment, and resultant tower base moment for turbines operating above the rated wind speed. The results for BeamDyn simulations are normalized to their respective γ results from ElastoDyn. The DEL of the blade OOP moment for the NREL 5 MW turbine increases as the γ grows. On the other hand, the IEA 15 MW model exhibits a decrease, followed by a 68% increase at a γ of zero compared to ElastoDyn. The fatigue load of the LSS torque, shown in Figure 12b, indicates a significant increase for the IEA 15 MW turbine compared to the ElastoDyn results. The DEL rises with the γ up to and then declines.
Figure 12.
The DEL of NREL 5 MW and IEA 15 MW wind turbine models: (a) blade OOP moment, (b) LSS torque, (c) LSS moment, and (d) TBBM normalized with the corresponding ElastoDyn values at corresponding for above-rated wind speeds of 14 m/s.
Figure 12c illustrates the fatigue load of the LSS moment. Both the NREL 5 MW and IEA 15 MW turbine models display similar trends compared to ElastoDyn, with the DEL increasing as the γ rises to , peaking at approximately 62%, and then dropping at a γ of 40°. The fatigue load of the tower base moment, presented in Figure 12d, increases by 88% for the IEA 15 MW turbine compared to the ElastoDyn results. It then decreases linearly as the γ moves in both positive and negative directions, reducing by approximately 88% at a γ of °. The NREL 5 MW model exhibits a similar trend to the IEA 15 MW model, although the changes in magnitude differ significantly. The fatigue load for the NREL 5 MW turbine is lower than ElastoDyn results within the γ range of to .
The results indicate significant variations in fatigue load predictions between the GEBT and the Euler–Bernoulli beam theory for the analyzed wind turbine models. Specifically, the fatigue loads, expressed as DELs, for the blade OOP moment, LSS torque, and TBBM depicted substantial dependence on yaw offsets for both the NREL 5 MW and IEA 15 MW wind turbine models. The variation in DEL was less sensitive to the below-rated wind speed but saw a linear increase with larger yaw offsets. These differences are primarily attributed to limitations in the Euler–Bernoulli beam theory, as implemented in the ElastoDyn module. The theory struggles to accurately capture the aerodynamic loads on pre-bent geometrically nonlinear blades, particularly for larger wind turbine models. These limitations become more pronounced at above-rated wind speeds, where the DEL for the OOP moment increased by up to 70%, the LSS torque by a factor of five, and the TBBM by up to 90% for the IEA 15 MW model compared to predictions from ElastoDyn. The maximum DEL variation was observed at = 0°, showing the inadequacy of the Euler–Bernoulli beam theory in modeling the complex aerodynamic and structural interactions of large pre-twisted blades under such conditions.
4. Conclusions
This study emphasized significant variations in fatigue load predictions between the GEBT, as implemented in BeamDyn, and the Euler–Bernoulli beam theory, as utilized in the ElastoDyn module, for the NREL 5 MW and IEA 15 MW wind turbine models. The results demonstrate that the DELs for critical components, including the blade OOP moment, LSS torque, LSS moment, and TBBM, showed substantial dependence on the yaw offsets. Notably, the DEL variations were less pronounced at below-rated wind speeds but increased linearly with larger yaw offsets. At above-rated wind speeds, the limitations of the Euler–Bernoulli beam theory became particularly evident, with the DEL for the OOP moment rising by up to 70%, the LSS torque by a factor of five, and the TBBM by up to 90% for the IEA 15 MW model compared to the ElastoDyn predictions. The maximum DEL variation in the critical wind turbine components occurred for the above-rated wind speed at , underscoring the inadequacy of the Euler–Bernoulli beam theory in capturing the aerodynamic loads on pre-twisted geometrically nonlinear blades, especially for larger turbine models.
Additionally, the blade tip deformation for the NREL 5 MW model varied by approximately 60% with increasing yaw offsets, likely due to the geometric nonlinearity not adequately captured by ElastoDyn. For the IEA 15 MW model, the fatigue damage trends diverged significantly at above-rated wind speeds, with the DEL for the OOP moment and TBBM decreasing, while the LSS torque and LSS moment increased, as the yaw offset rose. These discrepancies show the critical role of geometric nonlinearity and blade pre-bend, which the Euler–Bernoulli beam theory fails to model effectively.
The findings of this study have significant implications for wind turbine components’ design and analysis. The limitations of the Euler–Bernoulli beam theory, as implemented in ElastoDyn, suggest that reliance on this model may lead to inaccurate fatigue load predictions, potentially compromising the structural integrity and longevity of large-scale wind turbines. By contrast, the GEBT approach, as used in BeamDyn, offers a more robust framework for capturing the complex aerodynamic and structural interactions of pre-bend, nonlinear blades. These insights underscore the need for advanced beam theories in the design and analysis of next-generation wind turbines, particularly as blade sizes increase to meet growing energy demands. Adopting more sophisticated models like GEBT can enhance fatigue load predictions, improve turbine reliability, and inform the development of optimized blade designs that account for geometric nonlinearity and yaw-induced effects. This study contributes to the advancement of wind turbine components’ aerodynamic resonance, illustrating the importance of selecting appropriate structural models to ensure accurate fatigue analysis and robust turbine performance under varying operational conditions.
Author Contributions
D.H.H.: Writing—original draft, Writing—review and editing, Software, Formal analysis, Investigation, and Visualization. G.-W.Q.: Methodology, Writing—review and editing, Supervision, Investigation, and Validation. X.-Y.Z.: Conceptualization, Supervision, and Validation. W.W.: Conceptualization, Supervision, and Validation. All authors have read and agreed to the published version of the manuscript.
Funding
This research was supported by the Guangdong Basic and Applied Basic Research Foundation (No. 2024A1515010547, No. 2024B1515250004) and the Innovation Group Project of Southern Marine Science and Engineering Guangdong Laboratory (Zhuhai) (No. 311023014). The authors express their deepest gratitude to the concerned parties for their assistance during this study.
Data Availability Statement
The original contributions presented in this study are included in the article. Further inquiries can be directed to the corresponding author.
Acknowledgments
The author gratefully acknowledges the support of the Shanghai Government Scholarship. Special thanks are extended to Wei Wang (supervisor), Xuan-Yi Zhou (vice supervisor), and Guo-Wei Qian (vice supervisor) for their active guidance, valuable advice on research methodologies, and multiple reviews that significantly contributed to the completion of this work.
Conflicts of Interest
The authors declare no conflicts of interest.
Abbreviations
The following abbreviations are used in this manuscript:
| COP28 | 28th Conference of the Parties |
| 1D | One-dimensional |
| 2D | Two-dimensional |
| 3D | Three-dimensional |
| DEL | Damage Equivalent Load |
| GEBT | Geometrically Exact Beam Theory |
| Yaw Angle | |
| IEA | International Energy Agency |
| IP | In-plane |
| LSSBM | Low-speed Shaft Bending Moment |
| LSS | Low-speed Shaft |
| MW | Megawatt |
| NREL | National Renewable Energy Laboratory |
| OOP | Out-of-plane |
| TBBM | Tower Base Bending Moment |
References
- GWEC. GWEC Global Wind Report 2024|GWEC; GWEC: Brussels, Belgium, 2024; p. 128. Available online: https://img.saurenergy.com/2024/05/gwr-2024_digital-version_final-1-compressed.pdf (accessed on 12 July 2025).
- Burton, T.; Jenkins, N.; Sharpe, D.; Bossanyi, E. The performance curves. In Wind Energy Handbook; John Wiley & Sons: Hoboken, NJ, USA, 2011; Available online: https://library.uniteddiversity.coop/Energy/Wind/Wind_Energy_Handbook.pdf (accessed on 14 June 2025).
- Bauchau, O.A. Flexible Multibody Dynamics; Springer: Berlin/Heidelberg, Germany, 2011; Volume 176, ISBN 9789400703346. [Google Scholar]
- Fleming, P.; King, J.; Simley, E.; Roadman, J.; Scholbrock, A.; Murphy, P.; Lundquist, J.K.; Moriarty, P.; Fleming, K.; Van Dam, J.; et al. Continued Results from a Field Campaign of Wake Steering Applied at a Commercial Wind Farm—Part 2. Wind Energy Sci. 2020, 5, 945–958. [Google Scholar] [CrossRef]
- Fleming, P.; Annoni, J.; Shah, J.J.; Wang, L.; Ananthan, S.; Zhang, Z.; Hutchings, K.; Wang, P.; Chen, W.; Chen, L. Field Test of Wake Steering at an Offshore Wind Farm. Wind Energy Sci. 2017, 2, 229–239. [Google Scholar] [CrossRef]
- He, R.; Yang, H.; Lu, L. Optimal Yaw Strategy and Fatigue Analysis of Wind Turbines under the Combined Effects of Wake and Yaw Control. Appl. Energy 2023, 337, 120878. [Google Scholar] [CrossRef]
- Hirgeto, D.H.; Qian, G.-W.; Zhou, X.-Y.; Wang, W. Numerical Study of the Effect of Unsteady Aerodynamic Forces on the Fatigue Load of Yawed Wind Turbines. Machines 2025, 13, 607. [Google Scholar] [CrossRef]
- Malcolm, D.J.; Laird, D.L. Modeling of Blades as Equivalent Beams for Aeroelastic Analysis. In Wind Energy Symposium; ASME: Houston, TX, USA, 2003; 75944, pp. 293–303. Available online: https://www.osti.gov/servlets/purl/1111669 (accessed on 10 July 2025).
- Wang, L.; Liu, X.; Guo, L.; Renevier, N.; Stables, M. A Mathematical Model for Calculating Cross-Sectional Properties of Modern Wind Turbine Composite Blades. Renew. Energy 2014, 64, 52–60. [Google Scholar] [CrossRef]
- Thomas, L.; Ramachandra, M. Advanced Materials for Wind Turbine Blade—A Review. Mater. Today Proc. 2018, 5, 2635–2640. [Google Scholar] [CrossRef]
- Wang, B.; Wang, L.; Liang, X.; Sheng, F.; Zhang, J.; Hong, Y.; Wang, L. 3D Multiscale Dynamic Analysis of Offshore Wind Turbine Blade under Fully Coupled Loads. Renew. Energy 2024, 223, 119985. [Google Scholar] [CrossRef]
- Bir, G. User’s Guide to PreComp (Pre-Processor for Computing Composite Blade Properties); NREL/TP-500-38929; National Renewable Energy Laboratory (NREL): Golden, CO, USA, 2005. Available online: https://docs.nrel.gov/docs/fy06osti/38929.pdf (accessed on 10 July 2025).
- Jonkman, J.M.; Buhl, M.L., Jr. FAST User’s Guide; National Renewable Energy Laboratory: Applewood, CO, USA, 2005. [Google Scholar]
- Euler, L. Euler-Bernoulli Beams. 2023, 1–20. Available online: https://civil-terje.sites.olt.ubc.ca/files/2023/08/Euler-Bernoulli-Beams.pdf (accessed on 2 October 2025).
- Fudlailah, P.; Allen, D.H.; Cordes, R. Verification of Euler–Bernoulli Beam Theory Model for Wind Blade Structure Analysis. Thin-Walled Struct. 2024, 202, 111989. [Google Scholar] [CrossRef]
- Jonkman, J.M. Modeling of the UAE Wind Turbine for Refinement of FAST_AD Modeling of the UAE Wind Turbine for Refinement of Contract. NREL/TP-500-34755; National Renewable Energy Laboratory: Golden, CO, USA, 2003. Available online: https://docs.nrel.gov/docs/fy04osti/34755.pdf (accessed on 2 October 2025).
- Qu, X.; Li, Y.; Tang, Y.; Chai, W.; Gao, Z. Comparative Study of Short-Term Extreme Responses and Fatigue Damages of a Floating Wind Turbine Using Two Different Blade Models. Appl. Ocean Res. 2020, 97, 102088. [Google Scholar] [CrossRef]
- Wang, Q.; Jonkman, J.; Sprague, M.A.; Jonkman, B. BeamDyn User’s Guide and Theory Manual; National Renewable Energy Laboratory: Applewood, CO, USA, 2016; pp. 1–61. [Google Scholar]
- Reissner, E. On One-Dimensional Large-DisplacementFinite-Strain Beam Theory. Stud. Appl. Math. 1973, 52, 87–95. [Google Scholar] [CrossRef]
- Wang, Q.; Sprague, M.A.; Jonkman, J.; Johnson, N.; Jonkman, B. BeamDyn: A High-FIdelity Wind Turbine Blade Solver Inthe FAST Modular Framework. Wind Energy 2017, 20, 1439–1462. [Google Scholar] [CrossRef]
- Wang, Q.; Johnson, N.; Sprague, M.A.; Jonkman, J. Beamdyn: A High-Fidelity Wind Turbine Blade Solver in the FAST Modular Framework. In Proceedings of the 33rd Wind Energy Symposium, Kissimmee, FL, USA, 5–9 January 2015. [Google Scholar] [CrossRef][Green Version]
- Wang, L.; Liu, X.; Renevier, N.; Stables, M.; Hall, G.M. Nonlinear Aeroelastic Modelling for Wind Turbine Blades Based on Blade Element Momentum Theory and Geometrically Exact Beam Theory. Energy 2014, 76, 487–501. [Google Scholar] [CrossRef]
- Pai, P.F. Geometrically Exact Beam Theory without Euler Angles. Int. J. Solids Struct. 2011, 48, 3075–3090. [Google Scholar] [CrossRef]
- McDonnell, T.; Ning, A. Geometrically Exact Beam Theory for Gradient-Based Optimization. Comput. Struct. 2024, 298, 107373. [Google Scholar] [CrossRef]
- Li, Z.; Wen, B.; Dong, X.; Peng, Z.; Qu, Y.; Zhang, W. Aerodynamic and Aeroelastic Characteristics of Flexible Wind Turbine Blades under Periodic Unsteady Inflows. J. Wind Eng. Ind. Aerodyn. 2020, 197, 104057. [Google Scholar] [CrossRef]
- Rezaei, M.M.; Behzad, M.; Haddadpour, H.; Moradi, H. Aeroelastic Analysis of a Rotating Wind Turbine Blade Using a Geometrically Exact Formulation. Nonlinear Dyn. 2017, 89, 2367–2392. [Google Scholar] [CrossRef]
- Hansen, M.O.L.; Sørensen, J.N.; Voutsinas, S.; Sørensen, N.; Madsen, H.A. State of the Art in Wind Turbine Aerodynamics and Aeroelasticity. Prog. Aerosp. Sci. 2006, 42, 285–330. [Google Scholar] [CrossRef]
- Chen, H.; Yu, W.; Capellaro, M. A Critical Assessment of Computer Tools for Calculating Composite Wind Turbine Blade Properties. Wind Energy 2013, 13, 497–516. [Google Scholar] [CrossRef]
- Ishihara, T.; Wang, S.; Kikuchi, Y. Fatigue Prediction of Wind Turbine Main Bearing Based on Field Measurement and Three-Dimensional Elastic Drivetrain Model. Eng. Fail. Anal. 2025, 167, 108985. [Google Scholar] [CrossRef]
- Zhang, B.; Wang, Y.; Guo, Y.; Xu, W.; Jiang, X.; Ge, C. A Combined Wind-Storage Primary Frequency Regulation Method Considering Low-Speed Shaft Fatigue Loads in Wind Turbine. Electr. Power Syst. Res. 2024, 235, 110891. [Google Scholar] [CrossRef]
- Sun, J.; Chen, Z.; Yu, H.; Gao, S.; Wang, B.; Ying, Y.; Sun, Y.; Qian, P.; Zhang, D.; Si, Y. Quantitative Evaluation of Yaw-Misalignment and Aerodynamic Wake Induced Fatigue Loads of Offshore Wind Turbines. Renew. Energy 2022, 199, 71–86. [Google Scholar] [CrossRef]
- Zalkind, D.S.; Pao, L.Y. The Fatigue Loading Effects of Yaw Control for Wind Plants. In Proceedings of the 2016 American Control Conference (ACC), Boston, MA, USA, 6–8 July 2016; pp. 537–542. [Google Scholar] [CrossRef]
- Jonkman, J.; Butterfield, S.; Musial, W.; Scott, G. Definition of a 5-MW Reference Wind Turbine for Offshore System Development; NREL/TP-500-38060; National Renewable Energy Laboratory (NREL): Golden, CO, USA, 2009; pp. 1–75. [Google Scholar]
- Gaertner, E.; Rinker, J.; Sethuraman, L.; Anderson, B.; Zahle, F.; Barter, G. IEA Wind TCP Task 37: Definition of the IEA 15 MW Offshore Reference Wind Turbine; NREL/TP-5000-75698 March; National Renewable Energy Laboratory (NREL): Golden, CO, USA, 2020; pp. 1–44. [Google Scholar]
- Lee, Y.-L. Rainflow Cycle Counting Methods. Met. Fatigue Test. Anal. 2025, 19–35. [Google Scholar] [CrossRef]
- Martinez-Puente, E.; Llavori, I.; Muñiz-Calvente, M.; Penalba, M. Impact of Mean Stress on Mooring Line Fatigue Assessment: An Analytical Study. Ocean Eng. 2025, 324, 120621. [Google Scholar] [CrossRef]
- Jonkman, J. TurbSim User’s Guide V2; National Renewable Energy Laboratory: Applewood, CO, USA, 2009; pp. 1–28. [Google Scholar]
- Shang, L.; Xia, P.; Zhang, J.; Lin, C. Geometrically Exact Aeroelastic Stability Analysis of Helicopter Composite Rotor Blades in Forward Flight. Aerosp. Sci. Technol. 2024, 144, 108818. [Google Scholar] [CrossRef]
- Ning, S.A.; Hayman, G.; Damiani, R.; Jonkman, J. Development and Validation of a New Blade Element Momentum Skewed-Wake Model Within AeroDyn. In Proceedings of the 33rd Wind Energy Symposium, Kissimmee, FL, USA, 5–9 January 2015. [Google Scholar] [CrossRef]
- Platt, A.; Jonkman, B.; Jonkman, J. Inflow Wind User’s Guide; National Wind Technology Center: Boulder, CO, USA, 2016; pp. 1–27. [Google Scholar]
- IEC 61400-1 Ed. 4.0; Wind Energy Generation Systems—Part 1: Design Requirements. International Electrotechnical Commision: Geneva, Switzerland, 2019.
- Hayman, G.J. MLife Theory Manual; National Renewable Energy Laboratory: Golden, CO, USA, 2012; p. 12. [Google Scholar]
Disclaimer/Publisher’s Note: The statements, opinions and data contained in all publications are solely those of the individual author(s) and contributor(s) and not of MDPI and/or the editor(s). MDPI and/or the editor(s) disclaim responsibility for any injury to people or property resulting from any ideas, methods, instructions or products referred to in the content. |
© 2025 by the authors. Licensee MDPI, Basel, Switzerland. This article is an open access article distributed under the terms and conditions of the Creative Commons Attribution (CC BY) license (https://creativecommons.org/licenses/by/4.0/).