A Review of Linear Motor Electromagnetic Energy Regenerative Suspension and Key Technologies
Abstract
1. Introduction
- Principles and schemes of configuration design tailored to linear motors.
- Multidisciplinary performance optimization addressing critical operational characteristics of linear motors.
- Integration of functionality switching criterion identification for trade-off between dual functionalities.
- Selection of top-layer control strategies that fully exploit the dual-functionality capability of LMEERS.
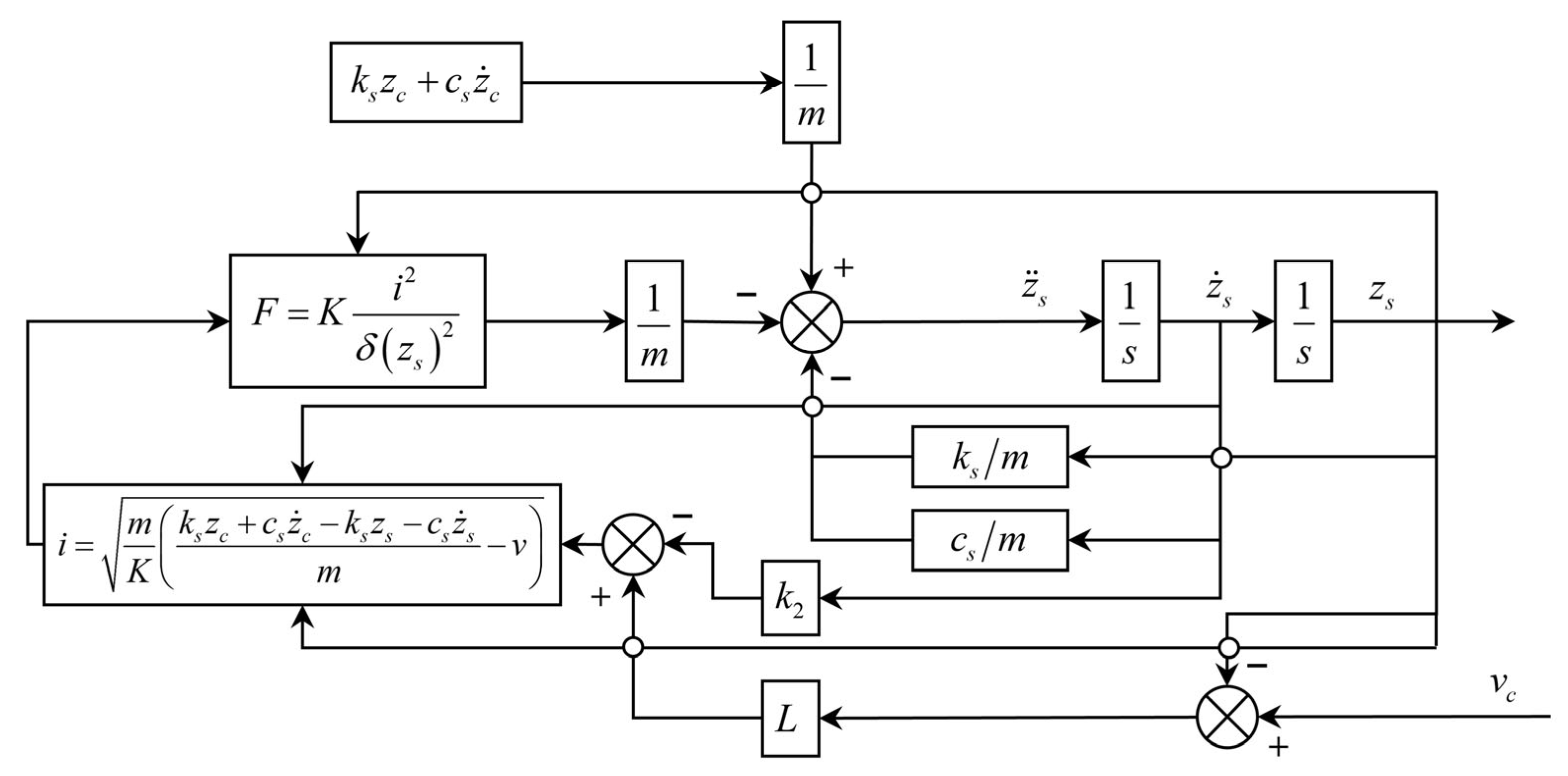
2. Configuration Design of LMEERS
2.1. Principle and Classification of Vibration Energy Regenerative Systems
2.2. Fundamental Configuration of LMEERS
2.3. Composite Configuration of LMEERS
2.3.1. Electro-Hydraulic Composite LMEERS
2.3.2. Electro-Electro Composite LMEERS
2.3.3. Electro-Inerter Composite LMEERS
- Currently, composite configurations centered around linear motors are predominantly EHC types, which underscores a fundamental engineering trade-off: reliability and “hard damping” versus energy efficiency and integration. The hydraulic component provides a fail-safe property and robust impact resistance, which is a critical advantage for automotive safety. However, this comes at the cost of energy that is intrinsically dissipated within the hydraulic fluid rather than being recovered, thereby reducing the net energy-saving potential of the entire system.
- In contrast, EEC types, exemplified by those integrating eddy current dampers, offer higher integration levels and pure electromagnetic operation but provide only “soft damping”, which may be insufficient for extreme driving conditions or failure modes. Other EEC configurations, such as the dual-motor structure, face challenges related to structural complexity and high cost, hindering commercialization prospects.
- EIC types introduce an inerter element into the electromagnetic system, breaking through the traditional two-element (spring-damper) parallel configuration and broadening the vibration isolation bandwidth. However, they encounter similar issues, including large volume, complex structure, elevated cost, etc.
3. Performance Optimization of LMEERS
3.1. Optimization in Damping Characteristics
3.2. Optimization in Thermal Characteristics
3.2.1. Structural Optimization in Thermal Characteristics
3.2.2. Thermal Management
3.3. Optimization in Thrust Characteristics
3.3.1. Structural Optimization in Thrust Characteristics
3.3.2. Intelligent Control in Thrust Characteristics
3.4. Optimization in Regenerative Characteristics
3.4.1. Structural Optimization in Regenerative Characteristics
3.4.2. Intelligent Control in Regenerative Characteristics
3.5. Emerging Optimization Methods
- Damping characteristics is typically enhanced by integrating the eddy current or hydraulic damping modules.
- Parametric optimization and implementing cooling systems are simple and effective approaches to mitigate motor temperature rise.
- Thrust and regenerative characteristics, being critical to the functional behavior of LMEERS, require a comprehensive set of approaches for improvement.
- Emerging optimization methods, such as DT and AI, demonstrate substantial application potential, representing a promising and critical direction for future research.
4. Functionality Switching Criterion Identification of LMEERS
- Road surface roughness, defined as the random variation in road surface profile (as illustrated in Figure 14), is the direct vertical excitation input to the wheels [151]. Through the tire–suspension–body transmission path, it induces vibrations. These vibrations influence the vehicle’s demand for either dynamic performance or energy regeneration capability—essentially determining which functionality mode is the optimal choice at any given moment. Therefore, road surface roughness is the core road information considered during LMEERS functionality switching, particularly in single-wheel suspension application scenarios.
- Regarding the road surface type, it reflects the statistical characteristics of road surface roughness, typically serving as prior knowledge to assist in estimating road surface roughness [152]. The fundamental methods for road surface information identification are summarized in Figure 15. The identification methods of road surface roughness are primarily divided into three categories, namely direct measurement, non-contact measurement, and system state response-based estimation [153,154,155]. And road surface type identification methods are categorized into two main classes, namely image-based direct recognition and vehicle dynamic characteristic-based indirect recognition [156,157].


4.1. Identification of Road Surface Roughness
4.1.1. Direct Measurement Methods
4.1.2. Non-Contact Measurement Methods
4.1.3. System State Response-Based Estimation Methods
4.2. Identification of Road Surface Type
4.2.1. Image-Based Direct Recognition Methods
4.2.2. Vehicle Dynamic Characteristic-Based Indirect Recognition Methods
4.3. Decision-Making Algorithms for Functionality Switching
- Rule-Based Threshold Switching: This is the most straightforward approach, where predefined thresholds on identified road indexes (e.g., IRI [176], root mean square of suspension state variables [177,178,179]) trigger functionality switching. For instance, if the road roughness exceeds a certain threshold, indicating poor road conditions, the algorithm prioritizes active control to ensure ride comfort and driving safety. Conversely, on smooth roads (low roughness), it switches to energy regeneration mode to maximize energy recovery [19,148]. While simple and computationally efficient, this method lacks flexibility and can lead to frequent or oscillatory switching if thresholds are not carefully tuned for complex road scenarios.
- Fuzzy Logic Inference: Fuzzy Logic Control (FLC) is highly suited for this application due to its ability to handle imprecise inputs with expert knowledge. The identified road information (e.g., “smooth”, “rough”) and vehicle states (e.g., “high speed”, “low speed”) are fuzzified and processed through a set of IF-THEN rules formulated by domain experts to output a decision or a continuous weighting factor between the two functionalities [64,200]. For example, a rule could state: “IF road is very rough AND vehicle speed is high, THEN prioritize active control.” This method offers smoother transitions between modes and better handles the ambiguity in road classification compared to rule-based thresholds.
- Learning-Based Adaptive Strategies: With the advancement of onboard processing power, data-driven learning algorithms are emerging for more intelligent and predictive switching. These strategies can adapt the switching policy online based on historical performance or driver preferences. Reinforcement Learning (RL) is a promising framework where an agent learns an optimal policy (switching strategy) by maximizing a reward function that balances ride comfort, driving safety, and energy recovery efficiency [201]. Neural network can also be trained to map identified road features and vehicle states directly to the optimal functionality mode [202,203]. Although these methods promise superior performance and adaptability, they require significant computational resources and extensive training data.
- The former offers preemptive perception of the road ahead and high identification accuracy but suffers from high equipment costs and poor environmental adaptability.
- The latter provides superior robustness and cost advantages, yet struggles to identify complex road surfaces.
- Multi-sensor fusion-based road information identification methods, capitalizing on the advantages of both methods, represent the future direction for on-vehicle solutions, contingent upon further reductions in sensor costs.
5. Top-Layer Control Strategies of LMEERS
5.1. Classical Control Methods
5.1.1. Skyhook and Groundhook Control
5.1.2. PID Control
5.2. Modern Control Methods
5.2.1. Adaptive Control
5.2.2. Optimal Control
5.2.3. Robust Control
5.3. Intelligent Control Methods
5.3.1. Fuzzy Control
5.3.2. Neural Network Control
5.3.3. Hybrid Variants with Other Algorithms
6. Current Challenges and Development Trends in LMEERS
6.1. Current Principal Challenges
- 1.
- Conflict between energy recovery efficiency and net energy-saving effectiveness:
- 2.
- Engineering challenges in thrust density versus volume/weight:
- 3.
- Limitations in control algorithm hysteresis and complexity:
6.2. Future Development Trends
- 1.
- Optimal design of motor topology and peripheral circuits:
- 2.
- Application of high-voltage platforms and advanced thermal management:
- 3.
- Enhancing the energy efficiency ratio via composite configurations:
- 4.
- Intelligent control and vehicle-road coordination:
7. Conclusions
- In terms of configuration design, the cylindrical PMSM is typically employed as the system actuator. To further enhance system reliability and overcome the limitations of a single-motor structure in damping characteristics and fault-safe performance, LMEERS is commonly integrated with auxiliary devices, primarily forming three composite configurations: electro-hydraulic, electro-electro, and electro-inerter types. Among these, the electro-hydraulic type is considered the most promising for engineering applications owing to its simple structure, high reliability, and ability to provide inherent hard damping.
- Regarding performance optimization, efforts focus on damping, thermal, thrust, and regenerative characteristics, which are enhanced through structural refinement, parametric optimization, and intelligent control. Currently, damping characteristics is typically enhanced by integrating the eddy current or hydraulic damping modules. Parametric optimization and implementing cooling systems are simple and effective approaches to mitigate motor temperature rise. Thrust and regenerative characteristics, being critical to the functional behavior of LMEERS, require a comprehensive set of approaches for improvement. Additionally, emerging optimization methods, such as DT and AI, demonstrate substantial application potential.
- In the aspect of functionality switching criterion identification, road information (including road roughness and road type) serves as the key criterion for coordinating the dual-functionality switching of LMEERS. Two on-vehicle approaches, namely image-based methods and dynamic response-based methods, have been developed and compared. The former offers preemptive perception of the road ahead and high identification accuracy, but it suffers from high equipment costs and poor environmental adaptability. In contrast, the latter provides superior robustness and cost advantages, yet struggles to identify complex road surfaces. Therefore, multi-sensor fusion-based road information identification methods, capitalizing on the advantages of both methods, represent a future direction for on-vehicle solutions.
- Concerning top-layer control strategies, classical control (e.g., skyhook control, PID), modern control (e.g., adaptive control, LQR, robust control), and intelligent control (e.g., fuzzy control, neural network control) methods are widely applied and increasingly integrated. The introduction of intelligent optimization algorithms (e.g., PSO, GA) and deep learning methods has further improved the adaptive capability and multi-objective coordination performance of control systems.
- Optimize motor topology and peripheral circuit design to enhance magnetic field orientation and energy recovery responsiveness.
- Apply high-voltage platforms and advanced thermal management technologies for compatibility with electrical architectures in new energy vehicles.
- Develop composite configurations and cooperative control strategies to improve overall system energy efficiency ratio and reliability.
- Integrate vehicle–road coordination with intelligent decision-making to achieve adaptive switching between multiple operational modes for global performance optimization.
Author Contributions
Funding
Data Availability Statement
Conflicts of Interest
References
- Zhu, Z.; Yang, Y.P.; Wang, D.Q.; Cai, Y.F.; Lai, L.H. Energy Saving Performance of Agricultural Tractor Equipped with Mechanic-Electronic-Hydraulic Powertrain System. Agriculture 2022, 12, 436. [Google Scholar] [CrossRef]
- Zhu, Z.H.; Chai, X.Y.; Xu, L.Z.; Quan, L.; Yuan, C.C.; Tian, S.C. Design and performance of a distributed electric drive system for a series hybrid electric combine harvester. Biosyst. Eng. 2023, 236, 160–174. [Google Scholar] [CrossRef]
- Zhu, Z.; Zeng, L.X.; Chen, L.; Zou, R.; Cai, Y.F. Fuzzy Adaptive Energy Management Strategy for a Hybrid Agricultural Tractor Equipped with HMCVT. Agriculture 2022, 12, 1986. [Google Scholar] [CrossRef]
- Liu, J.; Xia, C.G.; Jiang, D.L.; Shang, G.G.; Han, J.Y.; Sun, Y. Determination and Application of Maximum Efficiency Curve of Crawler Electric Tractor Motors. Math. Probl. Eng. 2021, 2021, 1310926. [Google Scholar] [CrossRef]
- Heydari, S.; Fajri, P.; Rasheduzzaman, M.; Sabzehgar, R. Maximizing Regenerative Braking Energy Recovery of Electric Vehicles Through Dynamic Low-Speed Cutoff Point Detection. IEEE Trans. Transp. Electrif. 2019, 5, 262–270. [Google Scholar] [CrossRef]
- Park, Y.; Park, S.; Ahn, C. Performance Potential of Regenerative Braking Energy Recovery of Autonomous Electric Vehicles. Int. J. Control Autom. Syst. 2023, 21, 1442–1454. [Google Scholar] [CrossRef]
- Cui, L.F.; Mao, H.P.; Xue, X.Y.; Ding, S.M.; Qiao, B.Y. Optimized design and test for a pendulum suspension of the crop spray boom in dynamic conditions based on a six DOF motion simulator. Int. J. Agric. Biol. Eng. 2018, 11, 76–85. [Google Scholar] [CrossRef]
- Ding, R.K.; Wang, R.C.; Meng, X.P.; Chen, L. Mode-switching control and stability analysis of a hybrid electromagnetic actuator for the vehicle suspension. J. Vib. Control 2020, 26, 1804–1814. [Google Scholar] [CrossRef]
- Niu, H.Z.; Zhang, N.; Lu, Y.; Zhang, Z.; Li, M.N.; Liu, J.X.; Zhang, N.; Song, W.Q.; Zhao, Y.Z.; Miao, Z.C. Strategies toward the development of high-energy-density lithium batteries. J. Energy Storage 2024, 88, 111666. [Google Scholar] [CrossRef]
- Zou, X.Y.; Ma, C.W.; Xu, T.; Li, R.L.; Wang, H.X.; Chen, F. Evolution mechanism and response strategy of interface mechanics in all solid-state lithium metal batteries. J. Energy Storage 2023, 74, 109483. [Google Scholar] [CrossRef]
- Xu, L.Z.; Chai, X.Y.; Gao, Z.P.; Li, Y.M.; Wang, Y.D. Experimental study on driver seat vibration characteristics of crawler-type combine harvester. Int. J. Agric. Biol. Eng. 2019, 12, 90–97. [Google Scholar] [CrossRef]
- Yao, W.M. Suspension System. In Automobile Structure, 7th ed.; China Communications Press: Beijing, China, 2021; Volume 2, pp. 456–478. ISBN 978-7-1141-7116-1. [Google Scholar]
- Chen, Y.X.; Chen, L.; Wang, R.C.; Xu, X.; Shen, Y.J.; Liu, Y.L. Modeling and test on height adjustment system of electrically-controlled air suspension for agricultural vehicles. Int. J. Agric. Biol. Eng. 2016, 9, 40–47. [Google Scholar] [CrossRef]
- Cui, L.F.; Xue, X.Y.; Le, F.X.; Mao, H.P.; Ding, S.M. Design and experiment of electro hydraulic active suspension for controlling the rolling motion of spray boom. Int. J. Agric. Biol. Eng. 2019, 12, 72–81. [Google Scholar] [CrossRef]
- Wang, H.; Jasim, A.; Chen, X.D. Energy harvesting technologies in roadway and bridge for different applications—A comprehensive review. Appl. Energy 2018, 212, 1083–1094. [Google Scholar] [CrossRef]
- Fu, C.Z.; Lu, J.Y.; Ge, W.Q.; Tan, C.; Li, B. A review of electromagnetic energy regenerative suspension system & key technologies. Comput. Model. Eng. Sci. 2023, 135, 1779–1824. [Google Scholar] [CrossRef]
- Ebrahimi, B.; Bolandhemmat, H.; Khamesee, M.B.; Golnaraghi, F. A hybrid electromagnetic shock absorber for active vehicle suspension systems. Veh. Syst. Dyn. 2011, 49, 311–332. [Google Scholar] [CrossRef]
- Chen, Z.S.; Cao, J.Y.; Qin, Z.Y.; Chen, Z.W.; Xiong, Y.P. Simultaneous Vibration Suppression and Energy Harvesting of Vehicle Suspension Systems: Status and Prospects. J. Mech. Eng. 2022, 58, 3–26. [Google Scholar] [CrossRef]
- Li, Y.; Misra, M.; Gregori, S. Comparison of conventional and regenerative electrostatic energy harvesters. IET Circ. Devices Syst. 2017, 11, 638–647. [Google Scholar] [CrossRef]
- Wu, Y.F.; Zou, J.W.; Tang, K.; Xia, Y.; Wang, X.X.; Song, L.L.; Wang, J.H.; Wang, K.; Wang, Z.H. From electricity to vitality: The emerging use of piezoelectric materials in tissue regeneration. Burn. Trauma 2024, 12, tkae013. [Google Scholar] [CrossRef] [PubMed]
- Conta, G.; Libanori, A.; Tat, T.; Chen, G.R.; Chen, J. Triboelectric Nanogenerators for Therapeutic Electrical Stimulation. Adv. Mater. 2021, 33, 2007502. [Google Scholar] [CrossRef]
- Zhang, B.F.; Zhao, Z.; Li, Y.X.; Zhang, X.H.; Li, X.J.; Hao, D.N.; Zhang, Z.T. Design and analysis of a piezoelectric energy harvesting shock absorber for light truck applications. Appl. Energy 2025, 377, 124569. [Google Scholar] [CrossRef]
- Yan, J.H.; Li, B.; Shi, Y.; Zhang, L.Y.; Heng, P.R. Multi-objective stratified optimization design of tubular permanent magnet linear motors with nonuniform teeth for active suspension. Acta Armamentarii 2023, 32, 40–50. [Google Scholar] [CrossRef]
- Zou, J.Y.; Guo, X.X.; Abdelkareem, M.A.A.; Xu, L.; Zhang, J. Modelling and ride analysis of a hydraulic interconnected suspension based on the hydraulic energy regenerative shock absorbers. Mech. Syst. Signal Process. 2019, 127, 345–369. [Google Scholar] [CrossRef]
- Demirkol, Z.; Hasirci, U.; Demirci, R. Design, Implementation and Test of a Novel Cylindrical Permanent Magnet DC Linear Motor. Energies 2023, 16, 3491. [Google Scholar] [CrossRef]
- Sun, G.P.; Zhao, M.; Li, J.J.; Yao, T.; Zhang, H.Q. Design and Analysis of Tubular Transverse Flux Permanent Magnet Linear Motor. Energies 2024, 17, 6180. [Google Scholar] [CrossRef]
- Liu, X.; Gao, J.; Huang, S.D.; Lu, K.Y. Magnetic Field and Thrust Analysis of the U-Channel Air-Core Permanent Magnet Linear Synchronous Motor. IEEE Trans. Magn. 2017, 53, 8201504. [Google Scholar] [CrossRef]
- Zhang, X.Y.; Wang, Z.Q.; Liu, T. Anti-Disturbance Integrated Position Synchronous Control of a Dual Permanent Magnet Synchronous Motor System. Energies 2022, 15, 6697. [Google Scholar] [CrossRef]
- Tabassum, A.A.; Cho, H.M.; Mahmud, M.I. Essential Features and Torque Minimization Techniques for Brushless Direct Current Motor Controllers in Electric Vehicles. Energies 2024, 17, 4562. [Google Scholar] [CrossRef]
- Xu, Z.Y.; Li, T.; Zhang, F.G.; Zhang, Y.; Lee, D.H.; Ahn, J.W. A Review on Segmented Switched Reluctance Motors. Energies 2022, 15, 9212. [Google Scholar] [CrossRef]
- Jin, Y.C.; Liu, J.Z.; Xu, Z.J.; Yuan, S.Q.; Li, P.P.; Wang, J.Z. Development status and trend of agricultural robot technology. Int. J. Agric. Biol. Eng. 2021, 14, 1–19. [Google Scholar] [CrossRef]
- Yang, S.; Zhai, C.Y.; Gao, Y.Y.; Dou, H.J.; Zhao, X.G.; He, Y.K.; Wang, X. Planting uniformity performance of motor-driven maize precision seeding systems. Int. J. Agric. Biol. Eng. 2022, 15, 101–108. [Google Scholar] [CrossRef]
- Gysen, B.L.J.; Janssen, J.L.G.; Paulides, J.J.H.; Lomonova, E.A. Design Aspects of an Active Electromagnetic Suspension System for Automotive Applications. IEEE Trans. Ind. Appl. 2009, 45, 1589–1597. [Google Scholar] [CrossRef]
- Wang, R.L.; Zhang, L.; Shi, C.Y.; Zhao, C.Q.; Yang, K. Analysis and Optimization of a Moving Magnet Permanent Magnet Synchronous Planar Motor with Split Halbach Arrays. Energies 2025, 18, 1388. [Google Scholar] [CrossRef]
- Sun, Z.L.; Jia, G.Y.; Huang, C.B.; Zhou, W.C.; Mao, Y.H.; Lei, Z.R. Accurate Modeling and Optimization of Electromagnetic Forces in an Ironless Halbach-Type Permanent Magnet Synchronous Linear Motor. Energies 2023, 16, 5785. [Google Scholar] [CrossRef]
- Li, H.F.; Cui, L.F.; Ma, Z.G.; Li, B. Multi-Objective Optimization of the Halbach Array Permanent Magnet Spherical Motor Based on Support Vector Machine. Energies 2020, 13, 5704. [Google Scholar] [CrossRef]
- Xu, C.; Wu, H.; Shi, Y.C.; Wang, N.; Song, L.W. Study on the Influences of an Outer-Coreless-Rotor Permanent Magnet Synchronous Machine Using Halbach Magnet Array. Energies 2024, 17, 3108. [Google Scholar] [CrossRef]
- Wang, R.C.; Ding, R.K.; Chen, L. Application of hybrid electromagnetic suspension in vibration energy regeneration and active control. J. Vib. Control 2018, 24, 223–233. [Google Scholar] [CrossRef]
- Ding, R.K.; Wang, R.C.; Meng, X.P.; Chen, L. Energy consumption sensitivity analysis and energy-reduction control of hybrid electromagnetic active suspension. Mech. Syst. Signal Process. 2019, 134, 106301. [Google Scholar] [CrossRef]
- Ding, R.K.; Wang, R.C.; Meng, X.P.; Chen, L. Study on coordinated control of the energy regeneration and the vibration isolation in a hybrid electromagnetic suspension. Proc. Inst. Mech. Eng. Part D-J. Automob. Eng. 2017, 231, 1530–1539. [Google Scholar] [CrossRef]
- Ding, R.K.; Wang, R.C.; Meng, X.P. Energy-saving control strategy design and structure realization for electromagnetic active suspension. Proc. Inst. Mech. Eng. Part C-J. Eng. Mech. Eng. Sci. 2019, 233, 3060–3075. [Google Scholar] [CrossRef]
- Wei, W.; Yu, S.J.; Li, B.Z. Research on Magnetic Characteristics and Fuzzy PID Control of Electromagnetic Suspension. Actuators 2023, 12, 203. [Google Scholar] [CrossRef]
- Kou, F.R.; Li, M.X.; He, J.J.; Xu, J.N.; Wu, J.H. Layered coordinated control of self-powered electromagnetic hybrid suspension based on energy analysis. J. Vib. Shock 2023, 42, 98–108. [Google Scholar] [CrossRef]
- Kou, F.R.; He, J.J.; Li, M.X.; Xu, J.N.; Wu, D.P. Adaptive fuzzy control of an electromagnetic hybrid suspension based on road recognition. J. Vib. Shock 2023, 42, 303–311. [Google Scholar] [CrossRef]
- Chen, C.; Liao, W.H. A self-sensing magnetorheological damper with power generation. Smart Mater. Struct. 2012, 21, 025014. [Google Scholar] [CrossRef]
- Wang, R.C.; Jiang, Y.; Ding, R.K.; Liu, W.; Meng, X.P.; Sun, Z.Y. Design and experimental verification of self-powered electromagnetic vibration suppression and absorption system for in-wheel motor electric vehicles. J. Vib. Control 2022, 28, 2544–2555. [Google Scholar] [CrossRef]
- Zhang, X.Y.; Chen, R.W.; Ren, L.; Ren, S.M.; Wang, L.P. Design and test of hybrid electromagnetic regenerative suspension damper. Chin. J. Sci. Instrum. 2019, 40, 132–139. [Google Scholar] [CrossRef]
- Hu, Y.Q.; Wang, X.L.; Qin, Y.C.; Li, Z.H.; Wang, C.F.; Wu, H. A robust hybrid generator for harvesting vehicle suspension vibration energy from random road excitation. Appl. Energy 2022, 309, 118506. [Google Scholar] [CrossRef]
- Suda, Y.; Nakadai, S.; Nakano, K. Hybrid suspension system with skyhook control and energy regeneration (development of self-powered active suspension). Veh. Syst. Dyn. 1998, 29, 619–634. [Google Scholar] [CrossRef]
- Li, C.C.; Zhou, C.Y.; Xiong, J.Y. New Method to Coordinate Vibration Energy Regeneration and Dynamic Performance of In-Wheel Motor Electrical Vehicles. Energies 2023, 16, 2968. [Google Scholar] [CrossRef]
- Wang, R.C.; Liu, W.; Cai, Y.F.; Chen, L. Hybrid-Electromagnetic Suspension Capable of Self-Powering and Control Method Thereof. U.S. Patent 12,054,023, 6 August 2024. [Google Scholar]
- Yang, X.F.; Zhang, T.Y.; Shen, Y.J.; Liu, Y.L.; Bui, V.; Qiu, D.D. Tradeoff analysis of the energy-harvesting vehicle suspension system employing inerter element. Energy 2024, 308, 132841. [Google Scholar] [CrossRef]
- Shen, Y.J.; Shi, D.H.; Chen, L.; Liu, Y.L.; Yang, X.F. Modeling and experimental tests of hydraulic electric inerter. Sci. China-Technol. Sci. 2019, 62, 2161–2169. [Google Scholar] [CrossRef]
- Shen, Y.J.; Liu, Y.L.; Chen, L.; Yang, X.F. Optimal design and experimental research of vehicle suspension based on a hydraulic electric inerter. Mechatronics 2019, 61, 12–19. [Google Scholar] [CrossRef]
- Hu, J.B. Nonlinear Evolution and Predictive Control of Vehicle Hydro-electric Coupling ISD Suspension. Master’s Thesis, Jiangsu University, Zhenjiang, China, 2018. [Google Scholar]
- He, L.D.; Liu, Y.Z.; Han, S.L. Comparative Study between Two Schemes of Active-Control-Based Mechatronic Inerter. In Proceedings of the 3rd International Conference on Mechatronics and Mechanical Engineering (ICMME), Shanghai, China, 21–23 October 2016; pp. 1–8. [Google Scholar] [CrossRef]
- Gonzalez-Buelga, A.; Clare, L.R.; Neild, S.A.; Jiang, J.Z.; Inman, D.J. An electromagnetic inerter-based vibration suppression device. Smart Mater. Struct. 2015, 24, 055015. [Google Scholar] [CrossRef]
- Rakshith, M.; Kumar, Y.; Vikas, S.G. Bose automotive suspension. Int. J. Recent Technol. Eng. 2014, 3, 13–18. [Google Scholar]
- Fang, Y.J. In-depth Analysis of BYD’s DiSus-Z Electromagnetic Suspension Technology. Auto Maint. Repair 2024, 11, 71–73. [Google Scholar] [CrossRef]
- Lee, S.; Kim, W.J. Active Suspension Control With Direct-Drive Tubular Linear Brushless Permanent-Magnet Motor. IEEE Trans. Control Syst. Technol. 2010, 18, 859–870. [Google Scholar] [CrossRef]
- Wang, J.B.; Wang, W.Y.; Atallah, K. A Linear Permanent-Magnet Motor for Active Vehicle Suspension. IEEE Trans. Veh. Technol. 2011, 60, 55–63. [Google Scholar] [CrossRef]
- Tang, N.Q.; Sun, J.; Yao, K.S.; Zhou, X.; Tian, Y.; Cao, Y.; Nirere, A. Identification of Lycium barbarum varieties based on hyperspectral imaging technique and competitive adaptive reweighted sampling-whale optimization algorithm-support vector machine. J. Food Process Eng. 2021, 44, e13603. [Google Scholar] [CrossRef]
- Zhang, H.W.; Ji, W.; Xu, B.; Yu, X.W. Optimizing Contact Force on an Apple Picking Robot End-Effector. Agriculture 2024, 14, 996. [Google Scholar] [CrossRef]
- Yang, H.T.; Sun, Y.; Xia, C.G.; Zhang, H.D. Research on Energy Management Strategy of Fuel Cell Electric Tractor Based on Multi-Algorithm Fusion and Optimization. Energies 2022, 15, 6389. [Google Scholar] [CrossRef]
- Tang, X.D.; Lin, T.; Zuo, L. Design and Optimization of a Tubular Linear Electromagnetic Vibration Energy Harvester. IEEE-ASME Trans. Mechatron. 2014, 19, 615–622. [Google Scholar] [CrossRef]
- Gysen, B.L.J.; van der Sande, T.P.J.; Paulides, J.J.H.; Lomonova, E.A. Efficiency of a Regenerative Direct-Drive Electromagnetic Active Suspension. IEEE Trans. Veh. Technol. 2011, 60, 1384–1393. [Google Scholar] [CrossRef]
- Gysen, B.L.J.; Paulides, J.J.H.; Janssen, J.L.G.; Lomonova, E.A. Active Electromagnetic Suspension System for Improved Vehicle Dynamics. IEEE Trans. Veh. Technol. 2010, 59, 1156–1163. [Google Scholar] [CrossRef]
- Tang, X.D.; Liu, Y.L.; Cui, W.; Zuo, L. Analytical Solutions to H2 and H∞ Optimizations of Resonant Shunted Electromagnetic Tuned Mass Damper and Vibration Energy Harvester. J. Vib. Acoust.-Trans. ASME 2016, 138, 011018. [Google Scholar] [CrossRef]
- Asadi, E.; Ribeiro, R.; Khamesee, M.B.; Khajepour, A. A new adaptive hybrid electromagnetic damper: Modelling, optimization, and experiment. Smart Mater. Struct. 2015, 24, 075003. [Google Scholar] [CrossRef]
- Asadi, E.; Ribeiro, R.; Khamesee, M.B.; Khajepour, A. Analysis, Prototyping, and Experimental Characterization of an Adaptive Hybrid Electromagnetic Damper for Automotive Suspension Systems. IEEE Trans. Veh. Technol. 2017, 66, 3703–3713. [Google Scholar] [CrossRef]
- Xu, J.A.; Kou, F.R.; Zhang, X.Q.; Chen, C. Multi-mode switching control of electromagnetic hybrid suspension based on human subjective sensation. Proc. Inst. Mech. Eng. Part D-J. Automob. Eng. 2024, 238, 3092–3108. [Google Scholar] [CrossRef]
- Wang, R.C.; Zeng, K.Y.; Chen, L.; Ding, R.K.; Cai, Y.F. Thermal-electromagnetic analysis and optimization design of linear motor for active suspension. J. Chongqing Univ. Technol. (Nat. Sci.) 2024, 38, 20–29. [Google Scholar] [CrossRef]
- Zhu, Y.B. Research on Multi-Physical Field Coupling Optimization Design of Composite Electromagnetic Linear Actuator. Master’s Thesis, Jiangsu University of Science and Technology, Zhenjiang, China, 2024. [Google Scholar]
- Ling, H.P.; Zhang, X.Y.; Sun, X.M.; Yao, Y.; Zhang, F. Suspension Device and Vehicle with the Same. CN Patent ZL117656742B, 16 July 2024. [Google Scholar]
- Zeng, R.; Ma, B.Q.; Tan, G.D.; Qi, W.M. A Primary Assembly, Linear Motor, Electromagnetic Damper, and Vehicle. CN Patent ZL117674463B, 29 October 2024. [Google Scholar]
- Jin, Y.Z.; Ma, B.Q.; Tan, G.D.; Qi, W.M. A Primary Assembly, Linear Motor, Electromagnetic Suspension System, and Vehicle. CN Patent ZL117674509B, 11 March 2025. [Google Scholar]
- Lin, J.H.; Liao, Y.S.; Zhao, G.M.; Sun, X.M.; Zhang, F. Center Shaft, Stator, Linear Motor, Electromagnetic Damper, Suspension System, and Vehicle. CN Patent ZL117879200B, 29 October 2024. [Google Scholar]
- Liao, Y.S.; Sun, X.M.; Jia, Z.H.; Zhang, L.; Li, S. A Linear Motor, Electromagnetic Suspension System, and Vehicle. CN Patent 120200442A, 24 June 2025. [Google Scholar]
- Fernandez, D.; Reigosa, D.; Tanimoto, T.; Kato, T.; Briz, F. Wireless Permanent Magnet Temperature & Field Distribution Measurement System for IPMSMs. In Proceedings of the IEEE Energy Conversion Congress and Exposition (ECCE), Montreal, QC, Canada, 18–24 September 2015; pp. 3996–4003. [Google Scholar] [CrossRef]
- Wallscheid, O. Thermal monitoring of electric motors: State-of-the-art review and future challenges. IEEE Open J. Ind. Appl. 2021, 2, 204–223. [Google Scholar] [CrossRef]
- Yang, Y.; Bilgin, B.; Kasprzak, M.; Nalakath, S.; Sadek, H.; Preindl, M.; Cotton, J.; Schofield, N.; Emadi, A.J.I.E.S.i.T. Thermal management of electric machines. IET Electr. Syst. Transp. 2017, 7, 104–116. [Google Scholar] [CrossRef]
- Boglietti, A.; Cavagnino, A.; Staton, D.; Shanel, M.; Mueller, M.; Mejuto, C. Evolution and Modern Approaches for Thermal Analysis of Electrical Machines. IEEE Trans. Ind. Electron. 2009, 56, 871–882. [Google Scholar] [CrossRef]
- Lu, Q.F.; Zhang, X.M.; Chen, Y.; Huang, X.Y.; Ye, Y.Y.; Zhu, Z.Q. Modeling and Investigation of Thermal Characteristics of a Water-Cooled Permanent-Magnet Linear Motor. IEEE Trans. Ind. Appl. 2015, 51, 2086–2096. [Google Scholar] [CrossRef]
- Chow, J.H.; Zhong, Z.W.; Lin, W.; Khoo, L.P. A study of thermal deformation in the carriage of a permanent magnet direct drive linear motor stage. Appl. Therm. Eng. 2012, 48, 89–96. [Google Scholar] [CrossRef]
- Chow, J.H.; Zhong, Z.W.; Lin, W.; Khoo, L.P.; Kiew, C.M. A finite-difference thermal model of a three-phase coreless linear motor as a heat source. Appl. Therm. Eng. 2015, 87, 605–614. [Google Scholar] [CrossRef]
- Huang, X.Z.; Yu, H.C.; Zhou, B.; Li, L.Y.; Gerada, D.; Gerada, C.; Qian, Z.Y.Y. Detent-Force Minimization of Double-Sided Permanent Magnet Linear Synchronous Motor by Shifting One of the Primary Components. IEEE Trans. Ind. Electron. 2020, 67, 180–191. [Google Scholar] [CrossRef]
- Shin, K.H.; Kim, K.H.; Hong, K.; Choi, J.Y. Detent Force Minimization of Permanent Magnet Linear Synchronous Machines Using Subdomain Analytical Method Considering Auxiliary Teeth Configuration. IEEE Trans. Magn. 2017, 53, 4. [Google Scholar] [CrossRef]
- Wang, S.P.; Wang, Y.H.; Liu, C.C.; Lei, G.; Zhu, J.G.; Guo, Y.G. Detent Force Minimization of a Tubular Flux-Switching Permanent Magnet Motor Using Un-Equal Width Stator Slots Based on Taguchi Method. IEEE Trans. Appl. Supercond. 2020, 30, 5. [Google Scholar] [CrossRef]
- Han, X.Y.; Qi, K.; Zhang, Z.; Jia, J.G. Analysis and Suppression Measures of Magnetic Resistance Force in Permanent Magnet Linear Synchronous Motors. Trans. China Electrotech. Soc. 2015, 30, 70–76. [Google Scholar] [CrossRef]
- Hu, H.Z.; Liu, X.D.; Zhao, J.; Guo, Y.G. Analysis and Minimization of Detent End Force in Linear Permanent Magnet Synchronous Machines. IEEE Trans. Ind. Electron. 2018, 65, 2475–2486. [Google Scholar] [CrossRef]
- Inoue, M.; Sato, K. An approach to a suitable stator length for minimizing the detent force of permanent magnet linear synchronous motors. IEEE Trans. Magn. 2000, 36, 1890–1893. [Google Scholar] [CrossRef]
- Zhang, C.; Zhang, L.W.; Huang, X.J.; Yang, J.J.; Shen, L. Research on the Method of Suppressing the End Detent Force of Permanent Magnet Linear Synchronous Motor Based on Stepped Double Auxiliary Pole. IEEE Access 2020, 8, 112539–112552. [Google Scholar] [CrossRef]
- Hidaka, Y.; Takahashi, S.; Kondo, S.; Iezawa, M. Maintaining Average Torque and Suppressing Torque Ripple With T-Shaped Auxiliary Pole for Spoke Type Multi-Consequent-Pole Motor. IEEE Trans. Energy Convers. 2025, 40, 1400–1410. [Google Scholar] [CrossRef]
- Makki, M.; Hemmati, S. Optimum design of a double-sided permanent magnet linear synchronous motor to minimize the detent force. Energy Equip. Syst. 2017, 5, 1–11. [Google Scholar] [CrossRef]
- Wu, Q.L.; Yang, G.L.; Tang, E.L.; Wang, L.Q.; Wang, X.Y.; Wang, Z.F. A Slotted Double-Primaries Permanent Magnet Synchronous Linear Motor With a Low Thrust Ripple. IEEE-ASME Trans. Mechatron. 2024, 29, 3786–3798. [Google Scholar] [CrossRef]
- Wu, Q.L.; Wang, L.Q.; Yang, G.L.; Tang, E.L.; Wang, X.Y. Ramming Mechanism Based on Permanent Magnet Synchronous Linear Motor. IEEE Trans. Transp. Electrif. 2024, 10, 122–134. [Google Scholar] [CrossRef]
- Zhang, C.; Sang, N.; Qiu, S.H.; Chen, S.L.; Li, R.; Yang, M.; Yang, G.L. A Dual-Sided Hybrid Excitation Eddy Current Damper with High-Conductivity and High-Permeability Secondary Plate for Vibration Suppression Enhancement. J. Vib. Eng. Technol. 2023, 11, 1229–1240. [Google Scholar] [CrossRef]
- Zhang, C.; Chen, F.X.; Qiu, S.H.; Pei, T.Y.; Gao, W.W.; Chen, J.H.; Zhang, J.; Yang, G.L. A Low Detent Force DS-PMSLM Based on the Modulation of Cogging and End Forces. IEEE Trans. Ind. Electron. 2023, 70, 721–730. [Google Scholar] [CrossRef]
- Li, X.S.; Cui, H.S.; Hu, C.F.; Liu, X.; Huang, S.D. Optimal Design of Thrust Characteristics of Flat-Type Permanent Magnet Linear Synchronous Motor. Trans. China Electrotech. Soc. 2021, 36, 916–923. [Google Scholar] [CrossRef]
- Xu, X.Z.; Sun, Z.; Wang, X.D.; Feng, H.C.; Du, B.Y. Characteristic of a Novel Permanent Magnet Linear Synchronous Motor with Halbach Array Consequent-Pole. Trans. China Electrotech. Soc. 2019, 34, 1825–1833. [Google Scholar] [CrossRef]
- Tavana, N.R.; Shoulaie, A. Pole-shape optimization of permanent-magnet linear synchronous motor for reduction of thrust ripple. Energy Conv. Manag. 2011, 52, 349–354. [Google Scholar] [CrossRef]
- Shin, K.H.; Park, H.I.; Kim, K.H.; Jang, S.M.; Choi, J.Y. Magnet pole shape design for reduction of thrust ripple of slotless permanent magnet linear synchronous motor with arc-shaped magnets considering end-effect based on analytical method. AIP Adv. 2017, 7, 056656. [Google Scholar] [CrossRef]
- Sheykhvazayefi, H.; Mousavi-Aghdam, S.R.; Feyzi, M.R. Thrust Ripple Reduction of Permanent Magnet Linear Synchronous Motor Based on Improved Pole Shape for Electromagnetic Launcher System. Iran. J. Electr. Electron. Eng. 2019, 15, 545–555. [Google Scholar] [CrossRef]
- Cheng, Y.X. Study on Optimal Design of Thrust Ripple for Permanent Magnet Synchronous Linear Motors. Ph.D. Thesis, Huazhong University of Science & Technology, Wuhan, China, 2011. [Google Scholar]
- Lu, Q.F.; Cheng, C.Y.; Ye, Y.Y.; Fang, Y.T. Slot/Pole Number Combination Research of PM Linear Motors with Fractional Slots per Pole. Proc. CSEE 2012, 32, 68–74. [Google Scholar] [CrossRef]
- Zhao, J.; Wang, L.; Dong, F.; He, Z.; Song, J. Robust high bandwidth current regulation for permanent magnet synchronous linear motor drivers by using two-degree-of-freedom controller and thrust ripple observer. IEEE T. Ind. Electron. 2019, 67, 1804–1812. [Google Scholar] [CrossRef]
- Tang, L.D.; Wang, W.; Zhang, C.J.; Wang, Z.Y.; Ge, Z.Y.; Yuan, S.Q. Linear Active Disturbance Rejection Control System for the Travel Speed of an Electric Reel Sprinkling Irrigation Machine. Agriculture 2024, 14, 1544. [Google Scholar] [CrossRef]
- Zhang, S.C.; Xue, X.Y.; Chen, C.; Sun, Z.; Sun, T. Development of a low-cost quadrotor UAV based on ADRC for agricultural remote sensing. Int. J. Agric. Biol. Eng. 2019, 12, 82–87. [Google Scholar] [CrossRef]
- Zhao, X.Y.; Wang, L.M. Adaptive Fractional-Order Terminal Sliding Mode Control for Permanent Magnet Linear Synchronous Motor. Trans. China Electrotech. Soc. 2023, 38, 5434–5443. [Google Scholar] [CrossRef]
- Wang, Z.T.; Li, S.; Cheng, W.S. Fixed Structure Sliding Mode Position Tracking Control for Permanent Magnet Linear Synchronous Motor Based on Extended Sliding Mode Disturbance Observer. Trans. China Electrotech. Soc. 2022, 37, 2503–2512. [Google Scholar] [CrossRef]
- Yang, R.; Li, L.; Wang, M.; Zhang, C.J.I.J.o.E.; Electronics, S. Force ripple compensation and robust predictive current control of PMLSM using augmented generalized proportional–integral observer. IEEE J. Emerg. Sel. Top. Power Electron. 2019, 9, 302–315. [Google Scholar] [CrossRef]
- Liu, H.; Yan, S.C.; Shen, Y.; Li, C.H.; Zhang, Y.F.; Hussain, F. Model predictive control system based on direct yaw moment control for 4WID self-steering agriculture vehicle. Int. J. Agric. Biol. Eng. 2021, 14, 175–181. [Google Scholar] [CrossRef]
- Zhang, X.; Zhang, L.; Zhang, Y. Model predictive current control for PMSM drives with parameter robustness improvement. IEEE T. Power Electr. 2019, 34, 1645–1657. [Google Scholar] [CrossRef]
- Wang, L.M.; Sun, L.; Chu, S. Iterative Learning Control of Permanent Magnet Linear Synchronous Motor Based on Empirical Mode Decomposition Algorithm. Trans. China Electrotech. Soc. 2017, 32, 164–171. [Google Scholar] [CrossRef]
- Luo, Y.; Chen, Y.Q.; Ahn, H.S.; Pi, Y. Dynamic high order periodic adaptive learning compensator for cogging effect in permanent magnet synchronous motor servo system. IET Control Theory Appl. 2011, 5, 669–680. [Google Scholar] [CrossRef]
- Cho, K.; Nam, K. Periodic learning disturbance observer based precision motion control in PMLSM motion systems considering long-term instability problem. Int. J. Precis. Eng. Manuf. 2016, 17, 1101–1112. [Google Scholar] [CrossRef]
- Kim, M.; Kim, J.; Lee, M.G. Design of Feedforward Controller to Reduce Force Ripple for Linear Motor using Halbach Magnet Array with T Shape Magnet. Phys. Procedia 2011, 19, 352–356. [Google Scholar] [CrossRef]
- Zhang, G.Q.; Zhao, X.R.; Zhang, H.; Wang, G.L.; Xu, D.G. Proportional Resonant Internal Model Extended State Observer Based Thrust Ripple Suppression Strategy of PMLSM Drives. Trans. China Electrotech. Soc. 2024, 39, 2449–2458. [Google Scholar] [CrossRef]
- Gupta, A.; Jendrzejczyk, J.A.; Mulcahy, T.M.; Hull, J.R. Design of electromagnetic shock absorbers. Int. J. Mech. Mater. Des. 2006, 3, 285–291. [Google Scholar] [CrossRef]
- Halbach, K. Permanent magnets for production and use of high energy particle beams. In Proceedings of the 8th International Workshop on Rare Earth Magnets and Their Applications, Dayton, OH, USA, 6–8 May 1985; pp. 1–25. [Google Scholar]
- Zhu, D.B.; Beeby, S.; Tudor, J.; Harris, N. Vibration energy harvesting using the Halbach array. Smart Mater. Struct. 2012, 21, 075020. [Google Scholar] [CrossRef]
- Zhu, D.B.; Beeby, S.; Tudor, J.; Harris, N. Increasing output power of electromagnetic vibration energy harvesters using improved Halbach arrays. Sens. Actuator A-Phys. 2013, 203, 11–19. [Google Scholar] [CrossRef]
- Dai, Y. Research on Optimal Design and Control of a Hybrid Electromagnetic Active Suspension Actuator. Master’s Thesis, Jiangsu University, Zhenjiang, China, 2019. [Google Scholar]
- Xiong, X.; Liu, C.; Fan, L.C.; Xu, F. Design and performance analysis of an energy harvesting suspension system utilizing Halbach-like permanent magnet arrays. Proc. Inst. Mech. Eng. Part D-J. Automob. Eng. 2024, 239, 4909–4923. [Google Scholar] [CrossRef]
- Kopylov, S.; Chen, Z.B.; Abdelkareem, M.A.A. Implementation of an Electromagnetic Regenerative Tuned Mass Damper in a Vehicle Suspension System. IEEE Access 2020, 8, 110153–110163. [Google Scholar] [CrossRef]
- Hasani, M.; Rahaghi, M.I. The optimization of an electromagnetic vibration energy harvester based on developed electromagnetic damping models. Energy Conv. Manag. 2022, 254, 115271. [Google Scholar] [CrossRef]
- Abdelkareem, M.A.A.; Eldaly, A.B.M.; Ali, M.K.A.; Youssef, I.M.; Xu, L. Monte Carlo sensitivity analysis of vehicle suspension energy harvesting in frequency domain. J. Adv. Res. 2020, 24, 53–67. [Google Scholar] [CrossRef]
- Li, Y.N.; Zhu, Z.W.; Zheng, L.; Hu, Y.M. Multi-mode control and optimization of active energy-regenerative suspension based on road recognition. J. Traffic Transp. Eng. 2021, 21, 129–137. [Google Scholar] [CrossRef]
- Azmi, R.; Mirzaei, M.; Habibzadeh-Sharif, A. A novel optimal control strategy for regenerative active suspension system to enhance energy harvesting. Energy Conv. Manag. 2023, 291, 117277. [Google Scholar] [CrossRef]
- Wu, K.W.; Ren, C.B.; Atay, F.M. Enhancing energy recovery in automotive suspension systems by utilizing time-delay. Energy 2024, 300, 131578. [Google Scholar] [CrossRef]
- Zhao, S.G.; Jiao, T.H.; Adade, S.; Zhen, W.; Qin, O.Y.; Chen, Q.S. Digital twin for predicting and controlling food fermentation: A case study of kombucha fermentation. J. Food Eng. 2025, 393, 112467. [Google Scholar] [CrossRef]
- Zhang, R.X.; Zhu, H.T.; Chang, Q.L.; Mao, Q.R. A Comprehensive Review of Digital Twins Technology in Agriculture. Agriculture 2025, 15, 903. [Google Scholar] [CrossRef]
- Zhang, K.; Qing, J.T.; Jin, H.P.; Jin, H.P. Digital Twin-Enabled Predictive Thermal Modeling for Stator Temperature Monitoring in Induction Motors. Electronics 2025, 14, 2814. [Google Scholar] [CrossRef]
- Dos Santos, J.F.; Tshoombe, B.K.; Santos, L.H.B.; Araujo, R.C.F.; Manito, A.R.A.; Fonseca, W.S.; Silva, M.O. Digital Twin-Based Monitoring System of Induction Motors Using IoT Sensors and Thermo-Magnetic Finite Element Analysis. IEEE Access 2023, 11, 1682–1693. [Google Scholar] [CrossRef]
- Wang, J.L.; Zhang, C.W.; Yang, Z.; Dang, M.; Gao, P.; Feng, Y.S. Research on Digital Twin Vehicle Stability Monitoring System Based on Side Slip Angle. IEEE Trans. Intell. Transp. Syst. 2024, 25, 3074–3089. [Google Scholar] [CrossRef]
- Zhang, L.X.; Yang, C.; Yan, Y.; Cai, Z.; Hu, Y.G. Automated guided vehicle dispatching and routing integration via digital twin with deep reinforcement learning. J. Manuf. Syst. 2024, 72, 492–503. [Google Scholar] [CrossRef]
- Yu, G.; Ye, X.M.; Xia, X.H.; Chen, Y.Q. Digital twin enabled transition towards the smart electric vehicle charging infrastructure: A review. Sust. Cities Soc. 2024, 108, 105479. [Google Scholar] [CrossRef]
- Prusa, R.; Huzlik, R.; Vlach, R. Complex drive model of linear synchronous motor with variable load. MM Sci. J. 2023, 2023, 6398–6406. [Google Scholar] [CrossRef]
- Luo, Y.; Wang, L.G.; Sidorov, D.; Dreglea, A.; Chistyakova, E. An Approach to Estimate the Temperature of an Induction Motor under Nonlinear Parameter Perturbations Using a Data-Driven Digital Twin Technique. Energies 2024, 17, 4996. [Google Scholar] [CrossRef]
- Antonelli, M.G.; Brunetti, J.; D’Ambrogio, W.; Fregolent, A.; Nataletti, P. Development of a Digital Twin for a Hydraulic, Active Seat Suspension System. Machines 2023, 11, 708. [Google Scholar] [CrossRef]
- Li, H.H.; Geng, W.H.; Hassan, M.M.; Zuo, M.; Wei, W.Y.; Wu, X.Y.; Ouyang, Q.; Chen, Q.S. Rapid detection of chloramphenicol in food using SERS flexible sensor coupled artificial intelligent tools. Food Control 2021, 128, 108186. [Google Scholar] [CrossRef]
- Chen, J.; Zhang, M.; Xu, B.; Sun, J.; Mujumdar, A.S. Artificial intelligence assisted technologies for controlling the drying of fruits and vegetables using physical fields: A review. Trends Food Sci. Technol. 2020, 105, 251–260. [Google Scholar] [CrossRef]
- Zhang, L.; Liao, B.; Liu, D.; Jiang, Q.; Sun, Q. Artificial Intelligence empowered evolution in medicine food homology: Innovations, Challenges, and Future Prospects. Food Biosci. 2025, 69, 106928. [Google Scholar] [CrossRef]
- El-Mesery, H.S.; Qenawy, M.; Ali, M.; Rostom, M.; Elbeltagi, A.; Salem, A.; Elwakeel, A.E. Optimization of dried garlic physicochemical properties using a self-organizing map and the development of an artificial intelligence prediction model. Sci. Rep. 2025, 15, 3105–3124. [Google Scholar] [CrossRef]
- Chen, C.; Zhu, W.X.; Steibel, J.; Siegford, J.; Han, J.J.; Norton, T. Classification of drinking and drinker-playing in pigs by a video-based deep learning method. Biosyst. Eng. 2020, 196, 1–14. [Google Scholar] [CrossRef]
- Zhou, X.; Zhao, C.J.; Sun, J.; Cao, Y.; Yao, K.S.; Xu, M. A deep learning method for predicting lead content in oilseed rape leaves using fluorescence hyperspectral imaging. Food Chem. 2023, 409, 135251. [Google Scholar] [CrossRef]
- Liu, R.Y.; Wu, J.H.; Lu, W.Y.; Miao, Q.G.; Zhang, H.; Liu, X.Z.; Lu, Z.X.; Li, L. A Review of Deep Learning-Based Methods for Road Extraction from High-Resolution Remote Sensing Images. Remote Sens. 2024, 16, 2056. [Google Scholar] [CrossRef]
- Botezatu, A.P.; Burlacu, A.; Orhei, C. A Review of Deep Learning Advancements in Road Analysis for Autonomous Driving. Appl. Sci. 2024, 14, 4705. [Google Scholar] [CrossRef]
- Iwata, K.; Sasaki, H. Design-LIME: An Interpretable Visualization Method for Electric Motor Design Based on Deep Learning. IEEE Access 2025, 13, 73697–73708. [Google Scholar] [CrossRef]
- Khan, A.; Mohammadi, M.H.; Ghorbanian, V.; Lowther, D. Efficiency Map Prediction of Motor Drives Using Deep Learning. IEEE Trans. Magn. 2020, 56, 2957162. [Google Scholar] [CrossRef]
- Kim, M.H.; Park, J.; Choi, S. Road Type Identification Ahead of the Tire Using D-CNN and Reflected Ultrasonic Signals. Int. J. Automot. Technol. 2021, 22, 47–54. [Google Scholar] [CrossRef]
- Liu, L.X.; Guo, X.R.; Yang, X.Y.; Liu, L.J. Combined Identification of Vehicle Parameters and Road Surface Roughness Using Vehicle Responses. Appl. Sci. 2024, 14, 10310. [Google Scholar] [CrossRef]
- Abulizi, N.; Kawamura, A.; Tomiyama, K.; Fujita, S. Measuring and evaluating of road roughness conditions with a compact road profiler and ArcGIS. J. Traffic Transp. Eng. (Engl. Ed.) 2016, 3, 398–411. [Google Scholar] [CrossRef]
- Babu, A.; Baumgartner, S.; Krieger, G. Approaches for Road Surface Roughness Estimation Using Airborne Polarimetric SAR. IEEE J. Sel. Top. Appl. Earth Obs. Remote Sens. 2022, 15, 3444–3462. [Google Scholar] [CrossRef]
- Liu, J.Z.; Liu, J.; Li, M.; Zhang, X.J. Vehicle speed decoupling road identification method based on least squares. J. Jilin Univ. (Eng. Technol. Ed.) 2024, 54, 1821–1830. [Google Scholar] [CrossRef]
- Sabery, S.M.; Bystrov, A.; Gardner, P.; Stroescu, A.; Gashinova, M. Road Surface Classification Based on Radar Imaging Using Convolutional Neural Network. IEEE Sens. J. 2021, 21, 18725–18732. [Google Scholar] [CrossRef]
- Ward, C.C.; Iagnemma, K. Speed-independent vibration-based terrain classification for passenger vehicles. Veh. Syst. Dyn. 2009, 47, 1095–1113. [Google Scholar] [CrossRef]
- Fares, A.; Zayed, T. Industry- and Academic-Based Trends in Pavement Roughness Inspection Technologies over the Past Five Decades: A Critical Review. Remote Sens. 2023, 15, 2941. [Google Scholar] [CrossRef]
- Kavianipour, O.; Montazeri-Gh, M.; Moazamizadeh, M. Road profile measurement using the two degrees of freedom response-type mechanism. Proc. Inst. Mech. Eng. Part C J. Mech. Eng. Sci. 2015, 229, 1074–1087. [Google Scholar] [CrossRef]
- Guo, X.X.; Xu, Z.; Li, M.L.; Yang, B.; Wang, B. A Review of Road Roughness Measurement Techniques. J. China Foreign Highw. 2009, 29, 47–51. [Google Scholar] [CrossRef]
- Lushnikov, N.; Lushnikov, P. Methods of Assessment of Accuracy of Road Surface Roughness Measurement with Profilometer. Transp. Res. Procedia 2017, 20, 425–429. [Google Scholar] [CrossRef]
- Imine, H.; Delanne, Y.; M’Sirdi, N.K. Road profile input estimation in vehicle dynamics simulation. Veh. Syst. Dyn. 2006, 44, 285–303. [Google Scholar] [CrossRef]
- ASTM E1274-18; Standard Test Method for Measuring Pavement Roughness Using a Profilograph. American Society for Testing and Materials: West Conshohocken, PA, USA, 2008. Available online: https://store.astm.org/e1274-18.html (accessed on 8 August 2025).
- Zhao, J.H.; Wang, Z.R.; Guan, Z.L. Performance and Measurement Methodology of Multi-Wheel Profilometer with Moving Reference. In Road Roughness: Measurement, Analysis, and Applications; Beijing Institute of Technology Press: Beijing, China, 2000; pp. 126–127. ISBN 978-7-8104-5728-6. [Google Scholar]
- Zhu, F.H.; Chen, J.; Guan, Z.H.; Zhu, Y.H.; Shi, H.; Cheng, K. Development of a combined harvester navigation control system based on visual simultaneous localization and mapping-inertial guidance fusion. J. Agric. Eng. 2024, 55, 1538. [Google Scholar] [CrossRef]
- Gao, Q.; Fan, L.; Wei, S.Y.; Li, Y.S.; Du, Y.C.; Liu, C.L. Differences Evaluation of Pavement Roughness Distribution Based on Light Detection and Ranging Data. Appl. Sci. 2023, 13, 8080. [Google Scholar] [CrossRef]
- Kumar, P.; Angelats, E. An automated road roughness detection from mobile laser scanning data. Int. Arch. Photogramm. Remote Sens. Spat. Inf. Sci. 2017, 42, 91–96. [Google Scholar] [CrossRef]
- De Blasiis, M.R.; Di Benedetto, A.; Fiani, M.; Garozzo, M. Assessing of the Road Pavement Roughness by Means of LiDAR Technology. Coatings 2021, 11, 17. [Google Scholar] [CrossRef]
- Khalifeh, V.; Golroo, A.; Ovaici, K. Application of an Inexpensive Sensor in Calculating the International Roughness Index. J. Comput. Civ. Eng. 2018, 32, 04018022. [Google Scholar] [CrossRef]
- Aleadelat, W.; Aledealat, K.; Ksaibati, K. Estimating pavement roughness using a low-cost depth camera. Int. J. Pavement Eng. 2022, 23, 4923–4930. [Google Scholar] [CrossRef]
- Yadav, M.; Singh, A.K.; Lohani, B. Extraction of road surface from mobile LiDAR data of complex road environment. Int. J. Remote Sens. 2017, 38, 4655–4682. [Google Scholar] [CrossRef]
- Liu, W.; Wang, R.C.; Ding, R.K.; Meng, X.P.; Yang, L. On-line estimation of road profile in semi-active suspension based on unsprung mass acceleration. Mech. Syst. Signal Process. 2020, 135, 106370. [Google Scholar] [CrossRef]
- Ngwangwa, H.M.; Heyns, P.S. Application of an ANN-based methodology for road surface condition identification on mining vehicles and roads. J. Terramech. 2014, 53, 59–74. [Google Scholar] [CrossRef]
- Im, S.J.; Oh, J.S.; Kim, G.W. Simultaneous Estimation of Unknown Road Roughness Input and Tire Normal Forces Based on a Long Short-Term Memory Model. IEEE Access 2022, 10, 16655–16669. [Google Scholar] [CrossRef]
- Guo, K.H.; Yu, W.H.; Zhang, X.J.; Ma, F.W.; Zhao, F.Q. Semi-active Suspension Adaptive Control Strategy. J. Hunan Univ. (Nat. Sci.) 2013, 40, 39–44. [Google Scholar] [CrossRef]
- Gong, M.D.; Yan, X. A Control Strategy for Active Suspension of Heavy Rescue Vehicles Based on Road Level Estimation. J. Xi’an Jiaotong Univ. 2019, 53, 32–39. [Google Scholar] [CrossRef]
- Kang, S.W.; Kim, J.S.; Kim, G.W. Road roughness estimation based on discrete Kalman filter with unknown input. Veh. Syst. Dyn. 2019, 57, 1530–1544. [Google Scholar] [CrossRef]
- Kim, G.W.; Kang, S.W.; Kim, J.S.; Oh, J.S. Simultaneous estimation of state and unknown road roughness input for vehicle suspension control system based on discrete Kalman filter. Proc. Inst. Mech. Eng. Part D-J. Automob. Eng. 2020, 234, 1610–1622. [Google Scholar] [CrossRef]
- Li, J.; Guo, W.C.; Zhao, Q.; Gu, S.F. Study on Road Roughness Identification Based on Four Typical Neural Networks. Automot. Eng. 2020, 42, 100–107. [Google Scholar] [CrossRef]
- Wang, G.Q.; Qu, W.T.; Chen, C.S.; Chen, Z.R.; Fang, Y. A road level identification method for all-terrain crane based on Support Vector Machine. Measurement 2022, 187, 110319. [Google Scholar] [CrossRef]
- Liu, W.; Hu, J.P.; Liu, J.X.; Yue, R.C.; Zhang, T.F.; Yao, M.J.; Li, J. Method for the navigation line recognition of the ridge without crops via machine vision. Int. J. Agric. Biol. Eng. 2024, 17, 230–239. [Google Scholar] [CrossRef]
- Liu, Q.; Sun, J.W.; Zhang, H.; Hu, X.; Gu, L. Road Identification and Semi-active Suspension Control Based on Convolutional Neural Network. Acta Armamentarii 2020, 41, 1483–1493. [Google Scholar] [CrossRef]
- Zhao, T.; Guo, P.L.; Wei, Y.T. Road friction estimation based on vision for safe autonomous driving. Mech. Syst. Signal Process. 2024, 208, 111019. [Google Scholar] [CrossRef]
- Zou, J.Y.; Guo, W.B.; Wang, F. A Study on Pavement Classification and Recognition Based on VGGNet-16 Transfer Learning. Electronics 2023, 12, 3370. [Google Scholar] [CrossRef]
- Sabanovic, E.; Zuraulis, V.; Prentkovskis, O.; Skrickij, V. Identification of Road-Surface Type Using Deep Neural Networks for Friction Coefficient Estimation. Sensors 2020, 20, 612. [Google Scholar] [CrossRef]
- Wang, Y. Research on Classification Method of Vehicle Driving Pavement Characteristics Based on Intelligent Perception. Master’s Thesis, Liaoning University of Technology, Jinzhou, China, 2019. [Google Scholar]
- Jia, W.K.; Zheng, Y.J.; Zhao, D.A.; Yin, X.; Liu, X.Y.; Du, R.C. Preprocessing method of night vision image application in apple harvesting robot. Int. J. Agric. Biol. Eng. 2018, 11, 158–163. [Google Scholar] [CrossRef]
- Zhang, Z.; Yang, M.Y.; Pan, Q.M.; Jin, X.T.; Wang, G.Q.; Zhao, Y.Q.; Hu, Y.G. Identification of tea plant cultivars based on canopy images using deep learning methods. Sci. Hortic. 2025, 339, 113908. [Google Scholar] [CrossRef]
- Liu, X.Y.; Jia, W.K.; Ruan, C.Z.; Zhao, D.A.; Gu, Y.W.; Chen, W. The recognition of apple fruits in plastic bags based on block classification. Precis. Agric. 2018, 19, 735–749. [Google Scholar] [CrossRef]
- Yang, N.; Qian, Y.; El-Mesery, H.S.; Zhang, R.B.; Wang, A.Y.; Tang, J. Rapid detection of rice disease using microscopy image identification based on the synergistic judgment of texture and shape features and decision tree-confusion matrix method. J. Sci. Food Agric. 2019, 99, 6589–6600. [Google Scholar] [CrossRef] [PubMed]
- Zhu, Y.L.; Ma, Z.; Han, M.; Li, Y.M.; Xing, L.C.; Lu, E.; Gao, H.Y. Quantitative damage detection of direct maize kernel harvest based on image processing and BP neural network. Food Sci. Technol. 2022, 42, e54322. [Google Scholar] [CrossRef]
- Wang, Y.F.; Yang, N.; Ma, G.X.; Taha, M.F.; Mao, H.P.; Zhang, X.D.; Shi, Q. Detection of spores using polarization image features and BP neural network. Int. J. Agric. Biol. Eng. 2024, 17, 213–221. [Google Scholar] [CrossRef]
- Wang, Y.; Liang, G.Q.; Wei, Y.T. Road Identification Algorithm of Intelligent Tire Based on Support Vector Machine. Automot. Eng. 2020, 42, 1671–1679. [Google Scholar] [CrossRef]
- Yang, F.; Lin, G.Y.; Zhang, W.G. Terrain classification for terrain parameter estimation based on a dynamic testing system. Sens. Rev. 2015, 35, 329–339. [Google Scholar] [CrossRef]
- Zhao, J.; Liu, Y.C.; Zhu, B.; Li, Y.; Li, Y.X.; Kong, D.C.; Jiang, H.Y. Research on road recognition algorithm of off-road vehicle based on SHAP-RF framework. Chin. J. Theor. Appl. Mech. 2022, 54, 2922–2935. [Google Scholar] [CrossRef]
- Alonso, J.; López, J.M.; Pavón, I.; Recuero, M.; Asensio, C.; Arcas, G.; Bravo, A. On-board wet road surface identification using tyre/road noise and Support Vector Machines. Appl. Acoust. 2014, 76, 407–415. [Google Scholar] [CrossRef]
- Paulo, J.P.; Coelho, J. Identification of Road Pavement Types Using Bayesian Analysis and Neural Networks. Int. J. Acoust. Vib. 2017, 22, 289–295. [Google Scholar] [CrossRef]
- Kalliris, M.; Kanarachos, S.; Kotsakis, R.; Haas, O.; Blundell, M. Machine learning algorithms for wet road surface detection using acoustic measurements. In Proceedings of the IEEE International Conference on Mechatronics (ICM), Tech Univ Ilmenau, Ilmenau, Germany, 18–20 March 2019; pp. 265–270. [Google Scholar] [CrossRef]
- Wang, S.F.; Du, K.Y.; Meng, Y.; Wang, R. Machine Learning-based Road Terrain Recognition for Land Vehicles. Acta Armamentarii 2017, 38, 1642–1648. [Google Scholar] [CrossRef]
- Liu, J.; Li, X.W.; Wang, Z.H.; Zhang, Y. Modelling and Experimental Study on Active Energy-Regenerative Suspension Structure with Variable Universe Fuzzy PD Control. Shock Vib. 2016, 2016, 6170275. [Google Scholar] [CrossRef]
- Zhan, L.; Xu, X.W.; Guo, X.F.; Deng, M.X.; Zou, J.Y.; Li, W.H.; Du, H.P.; Li, Z. Deep reinforcement learning-based smart vibration control for magnetorheological suspension considering nonlinear dynamics. Smart Mater. Struct. 2025, 34, 065012. [Google Scholar] [CrossRef]
- Wang, T.C.; Li, Y.M. Neural-Network Adaptive Output-Feedback Saturation Control for Uncertain Active Suspension Systems. IEEE Trans. Cybern. 2022, 52, 1881–1890. [Google Scholar] [CrossRef] [PubMed]
- Qu, Z.L.; Liu, J.Z.; Li, Y.; Yang, F.Z.; Liu, J. Study on Multi-Mode Switching Control of Intelligent Suspension under Full Road Section. Processes 2023, 11, 1776. [Google Scholar] [CrossRef]
- Wang, B.Z.; Chen, S.R.; Wang, G.Q.; Tang, Z.; Ding, H.T. Damping Optimization Method of Combine Harvester Frame Undergoing Multi-Source Excitation. Agriculture 2024, 14, 815. [Google Scholar] [CrossRef]
- Gao, Y.Y.; Yang, Y.F.; Hu, Y.Y.; Han, X.; Feng, K.Y.; Li, P.Y.; Wei, X.H.; Zhai, C.Y. Study on Operating Vibration Characteristics of Different No-Tillage Planter Row Units in Wheat Stubble Fields. Agriculture 2024, 14, 1878. [Google Scholar] [CrossRef]
- Karnopp, D.; Crosby, M.J.; Harwood, R.A. Vibration control using semi-active force generators. J. Eng. Iindustry 1974, 96, 619–626. [Google Scholar] [CrossRef]
- Hong, K.S.; Sohn, H.C.; Hedrick, J.K. Modified skyhook control of semi-active suspensions: A new model, gain scheduling, and hardware-in-the-loop tuning. J. Dyn. Syst. Meas. Control-Trans. ASME 2002, 124, 158–167. [Google Scholar] [CrossRef]
- Ding, R.K.; Wang, R.C.; Meng, X.P.; Chen, L. A modified energy-saving skyhook for active suspension based on a hybrid electromagnetic actuator. J. Vib. Control 2019, 25, 286–297. [Google Scholar] [CrossRef]
- Ding, R.K.; Wang, R.C.; Meng, X.P.; Chen, L. A new hybrid electromagnetic actuator for a modified skyhook control strategy with energy reduction. Proc. Inst. Mech. Eng. Part D-J. Automob. Eng. 2020, 234, 2025–2037. [Google Scholar] [CrossRef]
- Wang, Y.S.; Dong, L.; Chen, Z.Q.; Sun, M.W.; Long, X.Y. Integrated skyhook vibration reduction control with active disturbance rejection decoupling for automotive semi-active suspension systems. Nonlinear Dyn. 2024, 112, 6215–6230. [Google Scholar] [CrossRef]
- Jiang, Y.; Wang, R.C.; Sun, D.; Ding, R.K.; Yang, L. Hybrid damping control of magnetorheological semi-active suspension based on feedback linearization Kalman observer. Meccanica 2024, 59, 1087–1102. [Google Scholar] [CrossRef]
- Kou, F.R.; Jing, Q.Q.; Chen, C.; Wu, J.H. Endocrine Composite Skyhook-Groundhook Control of Electromagnetic Linear Hybrid Active Suspension. Shock Vib. 2020, 2020, 3402168. [Google Scholar] [CrossRef]
- Li, J.Y.; Nie, Z.Y.; Chen, Y.F.; Ge, D.Q.; Li, M.Q. Development of Boom Posture Adjustment and Control System for Wide Spray Boom. Agriculture 2023, 13, 2162. [Google Scholar] [CrossRef]
- Tang, Z.; Wang, H.; Liu, S.; Lu, D.; Tang, Y. Development of Structure and Control System of Self-Propelled Small Green Vegetables Combine Harvester. J. Agric. Sci. Technol. 2023, 25, 1045–1058. [Google Scholar] [CrossRef]
- Wang, L.; Zhao, Y.Y.; Liu, J.X. A Kriging-based decoupled non-probability reliability-based design optimization scheme for piezoelectric PID control systems. Mech. Syst. Signal Process. 2023, 203, 110714. [Google Scholar] [CrossRef]
- Xu, F.F.; Wang, B.; Hong, C.; Telebielaigen, S.; Nsor-Atindana, J.; Duan, Y.Q.; Zhong, F. Optimization of spiral continuous flow-through pulse light sterilization for Escherichia coli in red grape juice by response surface methodology. Food Control 2019, 105, 8–12. [Google Scholar] [CrossRef]
- Ayim, I.; Ma, H.L.; Alenyorege, E.A. Optimizing and predicting degree of hydrolysis of ultrasound assisted sodium hydroxide extraction of protein from tea (Camellia sinensis L.) residue using response surface methodology. J. Food Sci. Technol.-Mysore 2018, 55, 5166–5174. [Google Scholar] [CrossRef]
- Bhatti, K.A.; Asghar, S.; Rauf, B.; Qureshi, I.A. A multi-objective integrated PID controller combined with NSGA-III for minimizing congestion in WSNs. Wirel. Netw. 2024, 30, 1423–1439. [Google Scholar] [CrossRef]
- Koç, M.A. A new expert system for active vibration control (AVC) for high-speed train moving on a flexible structure and PID optimization using MOGA and NSGA-II algorithms. J. Braz. Soc. Mech. Sci. Eng. 2022, 44, 151. [Google Scholar] [CrossRef]
- Shi, R.C.; Han, X.B.; Guo, W.Z. Uncertain multi-objective programming approach for planning supplementary irrigation areas in rainfed agricultural regions. Irrig. Drain. 2025, 74, 1193–1214. [Google Scholar] [CrossRef]
- Ab Talib, M.H.; Darus, I.Z.M.; Samin, P.M.; Yatim, H.M.; Hadi, M.S.; Shaharuddin, N.M.R.; Mazali, I.I.; Ardani, M.I.; Yamin, A.H.M. Experimental evaluation of ride comfort performance for suspension system using PID and fuzzy logic controllers by advanced firefly algorithm. J. Braz. Soc. Mech. Sci. Eng. 2023, 45, 132. [Google Scholar] [CrossRef]
- Zhu, S.J.; Wang, B.; Pan, S.Q.; Ye, Y.T.; Wang, E.G.; Mao, H.P. Task Allocation of Multi-Machine Collaborative Operation for Agricultural Machinery Based on the Improved Fireworks Algorithm. Agronomy 2024, 14, 710. [Google Scholar] [CrossRef]
- Sun, L.M.; Liu, M.N.; Wang, Z.P.; Wang, C.Q.; Luo, F.Q. Research on Load Spectrum Reconstruction Method of Exhaust System Mounting Bracket of a Hybrid Tractor Based on MOPSO-Wavelet Decomposition Technique. Agriculture 2023, 13, 1919. [Google Scholar] [CrossRef]
- Wei, W.; Li, B.Z.; Yu, S.J. Research on structure optimization and control simulation of linear motor active suspension. J. Vib. Shock 2024, 43, 305–317. [Google Scholar] [CrossRef]
- Ahmed, H.; As’arry, A.; Hairuddin, A.A.; Hassan, M.K.; Liu, Y.Y.; Onwudinjo, E.C.U. Online DE Optimization for Fuzzy-PID Controller of Semi-Active Suspension System Featuring MR Damper. IEEE Access 2022, 10, 129125–129138. [Google Scholar] [CrossRef]
- Li, G.; Xu, H.; Ruan, Z.Y.; Liu, Q.J.; Gan, Y.; Yu, L.F.; Zhu, W.C.; Hu, G.L. Design and performance evaluation of a novel fractional order PID control strategy for vehicle semi-active suspension. Adv. Mech. Eng. 2024, 16. [Google Scholar] [CrossRef]
- Chai, X.Y.; Hu, J.P.; Ma, T.L.; Liu, P.; Shi, M.L.; Zhu, L.J.; Zhang, M.; Xu, L.Z. Construction and Characteristic Analysis of Dynamic Stress Coupling Simulation Models for the Attitude-Adjustable Chassis of a Combine Harvester. Agronomy 2024, 14, 1874. [Google Scholar] [CrossRef]
- Yu, Y.; Hao, S.H.; Guo, S.B.; Tang, Z.; Chen, S.R. Motor Torque Distribution Strategy for Different Tillage Modes of Agricultural Electric Tractors. Agriculture 2022, 12, 1373. [Google Scholar] [CrossRef]
- Lu, E.; Ma, Z.; Li, Y.M.; Xu, L.Z.; Tang, Z. Adaptive backstepping control of tracked robot running trajectory based on real-time slip parameter estimation. Int. J. Agric. Biol. Eng. 2020, 13, 178–187. [Google Scholar] [CrossRef]
- Hu, J.P.; Pan, J.H.; Dai, B.W.; Chai, X.Y.; Sun, Y.X.; Xu, L.Z. Development of an Attitude Adjustment Crawler Chassis for Combine Harvester and Experiment of Adaptive Leveling System. Agronomy 2022, 12, 717. [Google Scholar] [CrossRef]
- Sun, J.L.; Wang, Z.; Ding, S.H.; Xia, J.; Xing, G.Y. Adaptive disturbance observer-based fixed time nonsingular terminal sliding mode control for path-tracking of unmanned agricultural tractors. Biosyst. Eng. 2024, 246, 96–109. [Google Scholar] [CrossRef]
- Cai, Q.L.; Hua, Y.Y.; Zhu, S.Y. Energy-Harvesting Adaptive Vibration Damping in High-Speed Train Suspension Using Electromagnetic Dampers. Int. J. Struct. Stab. Dyn. 2021, 21, 2140002. [Google Scholar] [CrossRef]
- Basaran, S.; Basaran, M. Vibration Control of Truck Cabins With the Adaptive Vectorial Backstepping Design of Electromagnetic Active Suspension System. IEEE Access 2020, 8, 173056–173067. [Google Scholar] [CrossRef]
- Li, Y.N.; Zheng, L.; Liang, Y.X.; Yu, Y.H. Adaptive compensation control of an electromagnetic active suspension system based on nonlinear characteristics of the linear motor. J. Vib. Control 2020, 26, 1873–1885. [Google Scholar] [CrossRef]
- Gu, C.F.; Tan, C.; Li, B.; Lu, J.Y.; Wang, G.; Chi, X.W. Data-driven model-free adaptive sliding mode control for electromagnetic linear actuator. J. Micromech. Microeng. 2022, 32, ac6205. [Google Scholar] [CrossRef]
- Chen, S.A.; He, R.; Liu, H.G.; Yao, M. Probe into necessity of active suspension based on LQG control. Phys. Procedia 2012, 25, 932–938. [Google Scholar] [CrossRef]
- Wu, T.Y.; Chen, C.Y. Active vibration isolation on electromechanical coupling suspension system of a quarter-vehicle via modal space controller design. J. Vib. Control 2025, 31, 1978–1992. [Google Scholar] [CrossRef]
- Chen, Z.M.; Wang, H.; Chen, Y.; Fu, L.J. Hierarchical control strategy for active suspension system of automobile powertrain. J. Vib. Shock 2020, 39, 200–206. [Google Scholar] [CrossRef]
- Wu, L.P.; Zhou, R.; Bao, J.S.; Yang, G.; Sun, F.; Xu, F.C.; Jin, J.J.; Zhang, Q.; Jiang, W.K.; Zhang, X.Y. Vehicle Stability Analysis under Extreme Operating Conditions Based on LQR Control. Sensors 2022, 22, 9791. [Google Scholar] [CrossRef]
- Lu, J.Y.; Wu, H.D.; Li, B.; Fu, C.Z.; Tan, C.; Wei, W.K.; Sun, B.B.; Xie, X.X. Optimal design of an integrated electromagnetic linear energy regenerative suspension system based on a hybrid optimization objective. Energy 2025, 327, 136176. [Google Scholar] [CrossRef]
- Sun, F.; Xing, D.Z.; Zhou, R.; Jin, J.J.; Xu, F.C. LQR Control Strategy for Electromagnetic Active Suspension Considering Energy Consumption. J. Southwest Jiaotong Univ. 2023, 58, 754–761. [Google Scholar] [CrossRef]
- Bazios, P.; Khoshnoud, F.; Esat, I. Energy harvesting from suspension system and self-powered vibration control for a seven degree of freedom vehicle model. Proc. Inst. Mech. Eng. Part K-J. Multi.-Body Dyn. 2018, 232, 342–356. [Google Scholar] [CrossRef]
- Lu, E.; Xue, J.L.; Chen, T.T.; Jiang, S. Robust Trajectory Tracking Control of an Autonomous Tractor-Trailer Considering Model Parameter Uncertainties and Disturbances. Agriculture 2023, 13, 869. [Google Scholar] [CrossRef]
- Sun, Y.X.; Xu, L.Z.; Jing, B.; Chai, X.Y.; Li, Y.M. Development of a four-point adjustable lifting crawler chassis and experiments in a combine harvester. Comput. Electron. Agric. 2020, 173, 105416. [Google Scholar] [CrossRef]
- Wang, R.C.; Zhang, K.Q.; Ding, R.K.; Jiang, Y.; Jiang, Y.Y. A Novel Hydraulic Interconnection Design and Sliding Mode Synchronization Control of Leveling System for Crawler Work Machine. Agriculture 2025, 15, 137. [Google Scholar] [CrossRef]
- Li, J.Y.; Shang, Z.J.; Li, R.F.; Cui, B.B. Adaptive Sliding Mode Path Tracking Control of Unmanned Rice Transplanter. Agriculture 2022, 12, 1225. [Google Scholar] [CrossRef]
- Hu, Y.M.; Li, Y.N.; Zheng, L. Hybrid Control of Electromagnetic Active Suspensions Based on Nonlinear Actuator. China Mech. Eng. 2022, 33, 134–142. [Google Scholar] [CrossRef]
- Wu, H.; Zheng, L.; Li, Y.N.; Zhang, Z.D.; Yu, Y.H. Robust Control for Active Suspension of Hub-Driven Electric Vehicles Subject to in-Wheel Motor Magnetic Force Oscillation. Appl. Sci. 2020, 10, 3929. [Google Scholar] [CrossRef]
- Van der Sande, T.P.J.; Gysen, B.L.J.; Besselink, I.J.M.; Paulides, J.J.H.; Lomonova, E.A.; Nijmeijer, H. Robust control of an electromagnetic active suspension system: Simulations and measurements. Mechatronics 2013, 23, 204–212. [Google Scholar] [CrossRef]
- Chen, X.B.; Wu, L.X.; Yin, J.; Li, J.Q.; Luo, J. Robust H∞ control design of an electromagnetic actuated active suspension considering the structure non-linearity. Proc. Inst. Mech. Eng. Part D-J. Automob. Eng. 2019, 233, 1008–1022. [Google Scholar] [CrossRef]
- Xie, P.S.; Che, Y.S.; Liu, Z.B.; Wang, G.Q. Research on Vibration Reduction Performance of Electromagnetic Active Seat Suspension Based on Sliding Mode Control. Sensors 2022, 22, 5916. [Google Scholar] [CrossRef]
- Zhang, D.D.; Qiang, H.Y.; Sun, Y.G.; Xu, J.Q. Model-Independent Robust Control for Electromagnetic Suspension Systems of Maglev Vehicles. IEEE Trans. Appl. Supercond. 2024, 34, 3420213. [Google Scholar] [CrossRef]
- Zhou, X.; Sun, J.; Tian, Y.; Lu, B.; Hang, Y.Y.; Chen, Q.S. Hyperspectral technique combined with deep learning algorithm for detection of compound heavy metals in lettuce. Food Chem. 2020, 321, 126503. [Google Scholar] [CrossRef]
- Ren, Y.S.; Xie, X.P.; Sun, J.Y.; Nguyen, A.T. Enhanced Fuzzy Control of Active Vehicle Suspension Systems Based on a Novel HPPD-Type Non-PDC Control Scheme. IEEE-ASME Trans. Mechatron. 2025, 30, 226–235. [Google Scholar] [CrossRef]
- Cui, B.B.; Cui, X.Y.; Wei, X.H.; Zhu, Y.Y.; Ma, Z.; Zhao, Y.; Liu, Y.F. Design and Testing of a Tractor Automatic Navigation System Based on Dynamic Path Search and a Fuzzy Stanley Model. Agriculture 2024, 14, 2136. [Google Scholar] [CrossRef]
- Chen, J.; Ning, X.B.; Li, Y.M.; Yang, G.J.; Wu, P.; Chen, S. A fuzzy control strategy for the forward speed of a combine harvester based on KDD. Appl. Eng. Agric. 2017, 33, 15–22. [Google Scholar] [CrossRef]
- Wu, X.H.; Wu, B.; Sun, J.; Yang, N. Classification of apple varieties using near infrared reflectance spectroscopy and fuzzy discriminant c-means clustering model. J. Food Process Eng. 2017, 40, e12355. [Google Scholar] [CrossRef]
- Kou, F.R.; Jing, Q.Q.; Gao, Y.W.; Wu, J.H. A Novel Endocrine Composite Fuzzy Control Strategy of Electromagnetic Hybrid Suspension. IEEE Access 2020, 8, 211750–211761. [Google Scholar] [CrossRef]
- Min, X.; Li, Y.M.; Tong, S.C. Adaptive fuzzy optimal control for a class of active suspension systems with full-state constraints. IET Intell. Transp. Syst. 2020, 14, 371–381. [Google Scholar] [CrossRef]
- Deng, Z.; Shi, B.; Wei, D.; Wang, S. Research on energy reclaiming active suspension control strategy based on linear motor and hydraulic hybrid system. In Proceedings of the International Conference on Computer Application in Transportation Engineering (CATE 2021), Ningbo, China, 5–6 June 2021; pp. 1–12. [Google Scholar] [CrossRef]
- Yin, T.Y. Research on Composite Electromagnetic Energy Regenerative Suspension Control. Master’s Thesis, Liaoning University of Technology, Jinzhou, China, 2023. [Google Scholar]
- Soudani, M.S.; Aouiche, A.; Ghanai, M.; Chafaa, K. Advanced active suspension control: A three-input fuzzy logic approach with jerk feedback for enhanced performance and robustness. Measurement 2024, 229, 114326. [Google Scholar] [CrossRef]
- Ren, Y.S.; Xie, X.P.; Sun, J.Y.; Wu, X.M. A Novel HPPD-Type Fuzzy Switching Control Scheme of Active Vehicle Suspension Systems. IEEE Trans. Fuzzy Syst. 2024, 32, 6512–6522. [Google Scholar] [CrossRef]
- Huan, J.; Cao, W.J.; Liu, X.Q. A dissolved oxygen prediction method based on k-means clustering and the elm neural network: A case study of the Changdang Lake, China. Appl. Eng. Agric. 2017, 33, 461–469. [Google Scholar] [CrossRef]
- Wang, Y.F.; Zhang, X.D.; Ma, G.X.; Du, X.X.; Shaheen, N.; Mao, H.P. Recognition of weeds at asparagus fields using multi-feature fusion and backpropagation neural network. Int. J. Agric. Biol. Eng. 2021, 14, 190–198. [Google Scholar] [CrossRef]
- Pan, Y.Z.; Jin, H.; Gao, J.C.; Rauf, H.T. Identification of Buffalo Breeds Using Self-Activated-Based Improved Convolutional Neural Networks. Agriculture 2022, 12, 1386. [Google Scholar] [CrossRef]
- Liu, J.; Li, X.J.; Zhang, X.L.; Chen, X.F. Modeling and Simulation of Energy-Regenerative Active Suspension Based on BP Neural Network PID Control. Shock Vib. 2019, 2019, 4609754. [Google Scholar] [CrossRef]
- Zhang, M.H.; Jing, X.J.; Wang, G. Bioinspired Nonlinear Dynamics-Based Adaptive Neural Network Control for Vehicle Suspension Systems With Uncertain/Unknown Dynamics and Input Delay. IEEE Trans. Ind. Electron. 2021, 68, 12646–12656. [Google Scholar] [CrossRef]
- Li, Y.M.; Ma, S.; Li, K.; Tong, S.C. Adaptive fuzzy output feedback fault-tolerant control for active suspension systems. IEEE Trans. Intell. Veh. 2023, 9, 2469–2478. [Google Scholar] [CrossRef]
- Homayoun, B.; Arefi, M.M.; Vafamand, N.; Yin, S. Neural minimal learning backstepping control of stochastic active suspension systems with hydraulic actuator saturation. J. Frankl. Inst. 2020, 357, 13687–13706. [Google Scholar] [CrossRef]
- Jiang, H.; Xu, W.D.; Chen, Q.S. Evaluating aroma quality of black tea by an olfactory visualization system: Selection of feature sensor using particle swarm optimization. Food Res. Int. 2019, 126, 108605. [Google Scholar] [CrossRef] [PubMed]
- Adade, S.; Lin, H.; Haruna, S.A.; Johnson, N.A.N.; Barimah, A.O.; Afang, Z.; Chen, Z.Y.; Ekumah, J.N.; Fuyun, W.; Li, H.H.; et al. Multicomponent prediction of Sudan dye adulteration in crude palm oil using SERS—Based bimetallic nanoflower combined with genetic algorithm. J. Food Compos. Anal. 2024, 125, 105768. [Google Scholar] [CrossRef]
- Bonah, E.; Huan, X.Y.; Yi, R.; Aheto, J.H.; Osae, R.; Golly, M. Electronic nose classification and differentiation of bacterial foodborne pathogens based on support vector machine optimized with particle swarm optimization algorithm. J. Food Process Eng. 2019, 42, 13236. [Google Scholar] [CrossRef]
- Hu, Y.M.; Li, Y.N.; Li, Z.; Yang, C. Multi-objective particle swarm optimization linear quadratic regulator controller base on integrated suspension. Control Theory Appl. 2020, 37, 574–583. [Google Scholar] [CrossRef]
- Kou, F.R.; Wu, D.P.; Xu, J.N.; Gao, J.; Zhang, H.; Wu, J.H. Multi-mode Coordinated Switching Control of Electromagnetic Hybrid Active Suspension. J. Vib. Meas. Diagn. 2023, 43, 467–477. [Google Scholar] [CrossRef]
- Liu, J.Z.; Abbas, I.; Noor, R.S. Development of deep learning-based variable rate agrochemical spraying system for targeted weeds control in strawberry crop. Agronomy 2021, 11, 1480. [Google Scholar] [CrossRef]
- Wang, J.W.; Guo, H.R.; Deng, X.H. Deep Reinforcement Learning–Based Control Strategy for Electro-Hydrostatic Active Suspension. SAE Int. J. Passeng. Veh. Syst. 2025, 18. [Google Scholar] [CrossRef]

























| Type | Underlying Mechanism | Core Characteristics | Application Status in Suspension Field |
|---|---|---|---|
| Electrostatic | Changes in the capacitor electrode separation induced by vibration, then generating charge variation and forming current in the external circuit | Advantages: High output voltage, adjustable electromechanical coupling coefficient, compact size, etc. Limitations: High operating frequency requirement, limited load-bearing capacity, etc. | No documented applications |
| Piezoelectric | Deformation of piezoelectric semiconductors induced by vibration, then generating charge and forming current in the external circuit | Advantages: High output voltage, electromechanical coupling coefficient, and energy density, small space requirement, etc. Limitations: Narrow displacement range, limited load-bearing capacity, etc. | Extremely limited engineering applications |
| Triboelectric | Contact sliding induced by vibration, then generating electrostatic charge and forming current in the external circuit | Advantages: Low material cost, simple structural design, high energy-feedback efficiency at low frequencies, etc. Limitations: Lower energy density, reliability and durability challenges, etc. | No documented applications |
| Electromagnetic | Relative motion between magnets and coils induced by vibration, then generating induced electromotive force and forming current in the external circuit | Advantages: High power output, strong environmental adaptability, high reliability, long service life, compatibility with active control implementation Limitations: Higher cost, larger weight and volume | Already assembled in mass-production models |
| Type | Advantages | Limitations | Application Fields |
|---|---|---|---|
| Cylindrical | High winding utilization, absence of transverse end effects, high thrust density, superior servo performance, etc. | Limited stroke, stringent manufacturing requirements, inefficient heat dissipation, etc. | Short-stroke high-acceleration systems such as automotive suspensions and electromagnetic catapults |
| Flat-plate (with iron core) | Excellent heat dissipation, high power density, exceptional control precision, etc. | Significant thrust ripple, low lateral force resistance, etc. | Long-stroke high-precision positioning systems such as precision machine tools, photolithography machines, and medical imaging devices |
| U-channel | Minor thrust ripple, simplified installation process, etc. | Low thrust density, limited positioning accuracy, higher cost, etc. | Long-stroke high-speed heavy-load systems such as high-speed conveyors and vibration testing platforms |
| Index | PMSM | ACIM | BLDC | SRM |
|---|---|---|---|---|
| Operating temperature | ★★★★★ | ★★★☆☆ | ★★★★★ | ★☆☆☆☆ |
| Control complexity | ★★☆☆☆ | ★☆☆☆☆ | ★★★☆☆ | ★★★★★ |
| Compactness | ★★★★★ | ★★★☆☆ | ★★★★★ | ★★★★☆ |
| Noise emission | ★★★★★ | ★★★☆☆ | ★★★★★ | ★☆☆☆☆ |
| Manufacturing cost | ★☆☆☆☆ | ★★★★★ | ★★☆☆☆ | ★★★★★ |
| Reliability | ★★★★☆ | ★★★★★ | ★★★★★ | ★★★★★ |
| Thrust ripple | ★★★★★ | ★★★★★ | ★★★☆☆ | ★★★☆☆ |
| Efficiency | ★★★★★ | ★★★☆☆ | ★★★☆☆ | ★★★☆☆ |
| Response speed | ★★★★★ | ★★★★★ | ★★★★☆ | ★★★★★ |
| Comprehensive score | 37/45★ | 33/45★ | 35/45★ | 32/45★ |
| Arrangement Scheme | Advantages | Limitations | |
|---|---|---|---|
| Relative position | Moving-coil | Low moving inertia, lower cost, etc. | Low thrust density, poor heat dissipation, cable fatigue susceptibility, etc. |
| Moving-magnet | High power density, reliable electrical connections, efficient heat dissipation, etc. | Significant copper loss, low mechanical reliability of PMs, etc. | |
| Magnetization orientation | Radial | Minimal manufacturing cost | Significant thrust ripple, minimum air-gap magnetic flux density |
| Axial | Minimal thrust ripple, moderate air-gap magnetic flux density | Higher manufacturing cost | |
| Halbach | Maximum air-gap magnetic flux density | Highest manufacturing complexity, maximal cost, severe thrust ripple | |
| Coil core structural form | Slotless | Low thrust ripple | Reduced air-gap magnetic flux density |
| Slotted | Significant air-gap magnetic flux density | High thrust ripple | |
| Method | Real-Time Performance | Accuracy | Model Dependency | Exemplary Cases |
|---|---|---|---|---|
| Dynamic inverse | ★★★★☆ | ★★★☆☆ | Medium | [155,172] |
| State observer | ★★★☆☆ | ★★★☆☆ | High | [177,178] |
| Data-driven | ★★☆☆☆ | ★★★★☆ | Low | [173,174,179,180] |
| Type | Advantages | Limitations | Application Fields |
|---|---|---|---|
| Direct measurement | High accuracy, technologically mature, etc. | Poor transplant ability and real-time capability, sensitive to road surface conditions, etc. | Road maintenance |
| Non-contact measurement | Good real-time capability, relatively high accuracy, high efficiency, etc. | High cost, poor environmental adaptability, substantial computational load, etc. | Intelligent automotive chassis control |
| System state response-based estimation | Low cost, excellent environmental adaptability, strong robustness, etc. | Sensitive to vehicle parameters, poor performance on discontinuous random roads, etc. | Traditional automotive suspension control |
| Strategy | Characteristics |
|---|---|
| Skyhook control | Implementation of damping control via velocity feedback
|
| PID control | Linear combination of proportional, integral, and differential actions
|
| Adaptive control | Real-time adjustment to control parameters according to road excitation variations
|
| LQR control | Optimal regulation of control objectives through controller model design
|
| Robust control | Design of control laws to actively counteract impacts of model errors and unknown disturbances
|
| Fuzzy control | Processing uncertain system control via “if-then” logic
|
| Neural network control | Data-driven-based deep learning, more applicable for switching decisions of LMEERS dual functionalities
|
| Key Technology | Main Findings |
|---|---|
| Configuration design |
|
| Performance optimization |
|
| Functionality switching criterion identification |
|
| Top-layer control strategies |
|
Disclaimer/Publisher’s Note: The statements, opinions and data contained in all publications are solely those of the individual author(s) and contributor(s) and not of MDPI and/or the editor(s). MDPI and/or the editor(s) disclaim responsibility for any injury to people or property resulting from any ideas, methods, instructions or products referred to in the content. |
© 2025 by the authors. Licensee MDPI, Basel, Switzerland. This article is an open access article distributed under the terms and conditions of the Creative Commons Attribution (CC BY) license (https://creativecommons.org/licenses/by/4.0/).
Share and Cite
Sun, D.; Ding, R.; Dong, R. A Review of Linear Motor Electromagnetic Energy Regenerative Suspension and Key Technologies. Energies 2025, 18, 5158. https://doi.org/10.3390/en18195158
Sun D, Ding R, Dong R. A Review of Linear Motor Electromagnetic Energy Regenerative Suspension and Key Technologies. Energies. 2025; 18(19):5158. https://doi.org/10.3390/en18195158
Chicago/Turabian StyleSun, Dong, Renkai Ding, and Rijing Dong. 2025. "A Review of Linear Motor Electromagnetic Energy Regenerative Suspension and Key Technologies" Energies 18, no. 19: 5158. https://doi.org/10.3390/en18195158
APA StyleSun, D., Ding, R., & Dong, R. (2025). A Review of Linear Motor Electromagnetic Energy Regenerative Suspension and Key Technologies. Energies, 18(19), 5158. https://doi.org/10.3390/en18195158
