Next Article in Journal
Overcoming Technical and Operational Barriers in Low-Voltage Mini-Grids: Two Decades of Research Trends, Progress, and Pathways for Accelerated Rural Electrification (2005–2025)
Previous Article in Journal
Public Acceptance of Renewable Energy in a Post-Socialist, Energy Import-Dependent Context: Evidence from Hungary
Previous Article in Special Issue
A Review of Linear Motor Electromagnetic Energy Regenerative Suspension and Key Technologies
 
 
Due to scheduled maintenance work on our servers, there may be short service disruptions on this website between 11:00 and 12:00 CEST on March 28th.
Font Type:
Arial Georgia Verdana
Font Size:
Aa Aa Aa
Line Spacing:
Column Width:
Background:
Article

Experimental and Numerical Investigation of Vibration-Based Piezoelectric Energy Harvesting Device

1
Department of Applied Mechanics, Lublin University of Technology, Nadbystrzycka 36, 20-618 Lublin, Poland
2
Institute of Mechanics, Bulgarian Academy of Sciences, 1113 Sofia, Bulgaria
*
Author to whom correspondence should be addressed.
Energies 2026, 19(4), 932; https://doi.org/10.3390/en19040932
Submission received: 30 December 2025 / Revised: 3 February 2026 / Accepted: 5 February 2026 / Published: 11 February 2026
(This article belongs to the Special Issue Vibration Energy Harvesting)

Abstract

A composite beam consisting of two layers is experimentally tested as an energy harvesting device. The substrate layer is made of aluminum and the piezoelectric layer is glued at 90% of the length of the alumina layer. The beam is clamped at one end and is free at the other. The cantilever is subjected to periodic kinematic excitation, and the tip acceleration as well as the generated electricity are measured. A 3D finite element model of the beam is created and the coupled mechanical and electrical fields are studied numerically. The results are compared with those obtained experimentally. A parametric study is conducted to investigate the influence of the loading parameters (frequency and amplitude of excitation) and the electric resistance in the circuit on the generated electricity. Conclusions about the optimal conditions with respect to energy harvesting are made. The importance of proper modelling of the contact between the PZT layer and the substrate is demonstrated.

1. Introduction

The energy crisis, global warming, and environmental pollution have been prominent topics in recent years, driving the search for alternative fuel sources. Renewable energy sources, particularly those that are sustainable and environmentally friendly, are increasingly being explored. Researchers have recently investigated technologies for harvesting energy from various sources, including kinetic, electromagnetic, and thermal energy, and converting them into electrical energy. Among these, kinetic energy, in the form of vibrations and random movements, is abundant in our environment. Devices that harvest kinetic energy operate based on principles such as piezoelectricity, electromagnetism, and electrostatics. Numerous articles have discussed the advantages and disadvantages of each type, with particular attention given to piezoelectricity due to its high energy density and simplicity. Such devices have gained popularity as alternatives for powering small devices like wireless sensors, transmitters, actuators, medical implants, etc. The electricity source is the mechanical work performed by the piezoelectric material while being deformed, eliminating the need for external electrical sources or battery replacements in some cases.
Piezoelectric energy harvesting systems have been the subject of modeling and investigation by a huge number of authors. The variety of such systems, their theoretical modelling, experimental validation, and optimization, and many different aspects of piezoelectric energy harvesters, are considered in monograph [1]. Huicong Liu et al. [2] explored the materials, mechanisms, and applications of piezoelectric energy harvesting technologies. Heung Soo Kim et al. [3] examined the key concepts and performance metrics of vibration-based piezoelectric energy harvesters. Sasa Zelenika et al. [4] focused on energy harvesting technologies tailored for structural health monitoring in airplane components. Abdul Aabid et al. [5] investigated piezoelectric material-based techniques for structural control and health monitoring in engineering structures, highlighting the challenges and opportunities in this domain.
Piezoelectric energy harvesting devices are predominantly designed with single-mode configurations, employing a single structural layer and a rectangular shape. However, several studies have explored alternative designs and mechanisms to broaden the scope of energy harvesting applications. For instance, X. Z. Jiang [6] developed an electromechanical model and conducted experimental analyses of a compression-based piezoelectric vibration energy harvester, highlighting a departure from the conventional bending-based approach.
Feng Iqna et al. [7] investigated a torsional piezoelectric vibration energy harvesting system, presenting theoretical modeling and experimental validation. Xiangyang Li [8] proposed an analytical model of a multi-mode piezoelectric energy harvester and validated it through experimental studies. Adhmad Paknejad et al. [9] focused on harvesting devices utilizing multilayer composite beams, while Yuteng Cao [10] designed and analyzed an L-shaped piezoelectric energy harvester, offering innovative geometrical alternatives.
Numerous researchers have explored piezoelectric energy harvesting systems through various modeling approaches. These include single-degree-of-freedom (SDOF), two-degree-of-freedom (2DOF), and multi-degree-of-freedom (MDOF) systems [11], as well as distributed systems [12,13]. Each modeling approach offers unique insights and advantages, contributing to a comprehensive understanding of the dynamics and optimization of piezoelectric energy harvesting technologies.
Nonlinear piezoelectric systems have been extensively studied to account for complex real-world dynamics. G. Venkateswara Rao et al. [14] addressed the nonlinear vibrations of beams, considering shear deformation and rotary inertia. Vahid Tajeddini and Anastasia Muliana [15] investigated the nonlinear deformations of piezoelectric composite beams, while Michael Stangl et al. [16] proposed an alternative approach for analyzing the nonlinear vibrations of pipes conveying fluid.
Research has also explored axial deformations in piezoelectric energy harvesting. Alper Erturk [12] developed models incorporating axial deformations.
While vibrating hosts are typically the primary source of energy for piezoelectric harvesters, alternative vibration sources have also been explored. For instance, Abhay Khalatkar et al. [17] investigated energy harvesting from engine-induced vibrations. D.-A. Wang and H.-H. Ko [18] examined piezoelectric energy harvesting from flow-induced vibrations. Feifei Pan et al. and H.-L. Dai [19,20] studied systems based on vortex-induced vibrations, offering insights into harvesting from fluid flows.
The effect of stoppers on vibration energy harvesting has been another area of significant interest. K. H. Mak et al. [21] investigated vibro-impact dynamics of piezoelectric energy harvesters. Karen J.L. Fegelman and Karl Grosh [22] analyzed the dynamics of flexible beams interacting with linear springs under low-frequency excitation. S. Stoykov et al. [23] studied vibration energy harvesting in Timoshenko beams equipped with tip masses and stoppers.
Many studies have focused on experimental investigations of piezoelectric energy harvesting systems. Zhiwei Zhang et al. [24] conducted experimental research on piezoelectric energy harvesting from vehicle-bridge coupling vibrations. Chaohui Wang et al. [25] carried out optimization design and experimental investigations of piezoelectric energy harvesting devices for pavement applications. D. W. Wang et al. [26] explored piezoelectric energy harvesting through experimental and numerical analyses of friction-induced vibrations.
R. M. Toyabur et al. [27] designed and experimentally tested a multimodal piezoelectric energy harvester for low-frequency vibrations. M. F. Lumentut and I. M. Howard [28] compared analytical and experimental results for the electromechanical vibration response of a piezoelectric bimorph. S. Rafique and P. Bonello [29] experimentally validated the distributed parameter modeling of piezoelectric bimorphs. S. Sunuthamani and P. Lakshmi [30] conducted an experimental study and analysis of unimorph piezoelectric energy harvesters, examining the effects of varying substrate thickness and proof mass shapes.
Because the field of energy harvesting is supported by extensive prior research, there is a clear need for a verified working model that accurately represents both the mechanical and electrical behavior of such systems. In order to develop such a model, the device must first be fully characterized experimentally—including its mechanical response, electrical output, and the influence of key parameters. Therefore, the main goal of this research is the construction and comprehensive testing of an energy-harvesting device, followed by the development of a predictive model.
Several studies are related to the modelling and analysis of thermoacoustic–piezoelectric energy harvesters. Chen et al. [31] investigated a thermoacoustic–piezoelectric energy harvester capable of converting standing-wave acoustic power into electricity, analysing its stability, onset conditions, and energy-conversion behaviour through linear theory, experiments, and the detailed characterization of acoustic and thermal losses. Nouh et al. [32] introduced optimal design strategies for thermoacoustic–piezoelectric harvesters and introduced a dynamically magnified configuration that enhances strain in the piezoelectric element to improve power output and efficiency. Lin et al. [33] performed high-fidelity, fully compressible Navier–Stokes simulations of a complete standing-wave thermoacoustic–piezoelectric engine, incorporating advanced impedance boundary-condition modelling to capture the interactions among the resonator, stack, and piezoelectric diaphragm.
In this work, for the first time, a three-dimensional numerical model of an existing energy-harvesting device is developed and validated, and its performance is thoroughly examined. The study identifies weaknesses in the modelling of the energy-harvesting device that could compromise the numerical study. Such an example is the proper modelling of the interface between the PZT element and the substrate. To the best of the authors’ knowledge, no spatial model of a piezoelectric device incorporating an interlayer representing the adhesive layer has been developed and experimentally validated. The numerical and experimental study demonstrates the influence of the loading parameters (amplitude and frequency of excitation) and the resistance on the generated energy. Such piezoelectric harvesters are well suited for powering low-consumption electronics, including structural health-monitoring systems, distributed sensor networks, and other self-powered devices. Their ability to operate without external electrical input makes them particularly valuable in locations where battery replacement is impractical or impossible. This enables long-term, maintenance-free operation in harsh or inaccessible environments.

2. Problem Formulation

2.1. Theoretical Analysis

In 1880, Pierre and Jacques Curie reported the discovery of piezoelectricity [1]. The phenomenon arises from the interaction between mechanical and electrical fields within specific classes of materials.
T i j = c i j k l E S k l e k i j E k
D i = e i k l S k l + ε i k S E k
The field variables correspond to the component of stress tensor T i j , the component of strain tensor S i j , the component of electric field vector E i , and the component of electric displacement vector D i , where c i j k l E , e k i j , and ε i j s denote the elastic, piezoelectric, and permittivity constants, respectively. The superscripts E and S indicate that these constants are evaluated at constant electric field and constant strain, respectively.
This expression corresponds to the linear constitutive equations for an unbounded piezoelectric continuum. The three subsequent pairs present alternative formulations of the piezoelectric constitutive relations, each applicable under specific limiting assumptions and commonly used when approximating the behavior of bounded piezoelectric media:
S i j = s i j k l E T k l + d k i j E k
D i = d i k l T k l + ε i j T E k
S i j = s i j k l D T k l + g k i j D k
E i = g i k l T k l + β i j T D k
T i j = c i j k l D S k l h k i j D k
E i = h i k l S k l + β i k s D k
where d k i j , g k i j , and h k i j represent alternative forms of the piezoelectric constants, s i j k l E and s i j k l D denote the elastic compliance constants, and β i k T and β i k S are the impermittivity constants. The superscripts D and T indicate that these constants are evaluated at constant electric displacement and constant stress, respectively. The relationships governing the transformation of elastic, piezoelectric, and dielectric constants under different electrical and mechanical boundary conditions are provided in the IEEE standard [34].
The piezoelectric material used in this experiment is SM118 (the equivalent of PZT-8), which is a transversely isotropic material. To be in agreement with the IEEE Standard on Piezoelectricity [35], the plane of isotropy is defined here as the 12-plane (or the x y -plane). The piezoelectric material therefore exhibits symmetry about the 3-axis (or the z-axis), which is the poling axis of the material.
The cantilever beam employs a monomorph configuration, consisting of a single layer of piezoelectric material and a single structural layer, as illustrated in Figure 1. The piezoelectric material operates in the d 31 -mode, where it is polarized in the 3-direction, and the generated electrical charge is discharged from the electrodes in the same direction. This configuration allows flexural vibration in the 3rd direction to couple with the strain developed along the 1st direction. The deformations of geometrically uniform thin beams are small, with the composite structure exhibiting linear-elastic behavior. The mechanical properties of the materials can be seen in Table 1.
The boundary conditions for the fixed end are:
u ( 0 , y , z , t ) = 0 , v ( 0 , y , z , t ) = 0 , w ( 0 , y , z , t ) = A f ( t )
The boundary conditions for the free end are:
Q x ( L , y , z , t ) = 0 , Q y ( L , y , z , t ) = 0 , Q z ( L , y , z , t ) = 0
M x ( L , y , z , t ) = 0 , M y ( L , y , z , t ) = 0 , M z ( L , y , z , t ) = 0
where L is the length of the beam. Here, M x , M y , and M z denote the bending moments about the x-, y-, and z-axes, respectively, while Q x , Q y , and Q z denote the shear forces along the corresponding axes.
The properties of the aluminium plate are provided by the supplier. The piezoelectric material used in the present study was identified by the manufacturer of the plates as SM118, according to the American standard classification. This designation corresponds to the widely used ceramic type PZT-8. Since the producer provides only the material type but not detailed numerical constants, the values of the piezoelectric coefficients employed in the simulations were adopted from the experimental characterization of PZT-8 reported by Zhang et al. in [36].
The relative permittivity in the Z direction is 1100. The piezoelectric constants are as follows: e 31 = 4.6 and e 33 = 14 . They are given in C/m2. The inverted elastic constants are as follows: c 11 E = 14.2 , c 12 E = 7.6 , c 13 E = 7.6 , c 33 E = 12.7 , and c 44 E = 3.0 . They are given in N/m2.
In experimental investigation, the cantilever beam is fixed at one end, constrained in all directions except for the z-axis. Kinematic excitation is applied in the z-direction, following a sinusoidal loading pattern. This excitation is intended to simulate real-world vibrational conditions and to evaluate the energy harvesting capabilities of the piezoelectric material.
The structural layer is fixed at the clamped end, providing the necessary rigidity and support. The piezoelectric layer, which is responsible for energy harvesting, begins just after the fixture. This design ensures that the piezoelectric material is not subjected to the clamping forces, which could otherwise cause damage or failure.
The sinusoidal loading is characterized by the following equation:
w ( t ) = A ( t ) sin ( 2 π f ( t ) t ) = A ( t ) sin [ Ω ( t 0 ) + α t ] t
where A ( t ) is the predefined amplitude of the excitation and f ( t ) is the predefined excitation frequency expressed in Hz. The excitation frequency starts at the initial value Ω ( t 0 ) and then sweeps over time according to the sweep rate coefficient α . When α is positive, the sweep is forward; when negative, it is backward. In both cases, the initial frequencies define the boundaries of the investigated interval. The amplitude and frequency of the excitation are controlled in a closed loop during the upcoming experimental tests, and the sweep rate is slow enough to ensure the system follows stable paths in both directions of the frequency sweep.

2.2. Numerical Modeling

The finite element model is built to reproduce the device’s mechanical and electrical behavior as measured in the experiments. The material properties, boundary conditions, and interfacial constraints were defined in accordance with the experimental setup to ensure fidelity between the numerical and physical models.
Figure 2 shows the geometry of the device together with the coordinate system. The two layers are clearly visible. The fixed end corresponds to the negative and zero values of x.
The numerical analyses are performed in the commercial ANSYS APDL (2022R2) software. Coupled structural–electric analyses are performed. In Figure 3, the beam is modeled in three dimensions using solid finite elements, with SOLID226 employed for the piezoelectric layer and SOLID186 for the structural layer. The connection between layers is modeled through shared nodes. The electrodes are modeled by assigning the same voltage to the nodes on the two surfaces of the piezoelectric layer. The electrical resistance between the electrodes is represented using the CIRCU94 element.
The mesh is refined systematically. Three configurations are considered—coarse, medium, and fine—whose views through the thickness are illustrated in Figure 4. The corresponding finite element models and the results of their modal analyses will be summarized in Table 2.

2.3. Experimental Analysis

The experiment was conducted at the Centre for Innovation and Advanced Technologies, Department of Applied Mechanics, Lublin University of Technology. The experimental setup (Figure 5) included an electromagnetic shaker, TIRA TGT MO 48XL (TIRA, Schalkau, Germany), with a maximum dynamic load of 35 kN, and the Siemens LMS SPM50 SCADAS (SIEMENS, Leuven, Belgium) data acquisition system, which was used to induce and control vibrations in the beam specimen.
The beam was securely clamped to the electromagnetic shaker using a bolted assembly, as illustrated on the right-hand side of Figure 5. The setup involved placing a thick steel bar on the shaker’s head expander, followed by positioning another steel bar on top of the beam. Between the steel bars, to isolate the conductivity between the beam and the holder, two 3 mm-thick aluminum sheets were used, which were embedded with a thin insulating tape across the contact surface with the steel bars. The entire assembly was tightened and secured using bolts, which not only clamped the beam between the metal plates, but also firmly attached the assembly to the head expander.
The dynamic response of the beam and the shaker was measured using two accelerometers attached to the free end of the cantilever (ICP Model 352B10 (PCB Piezotronics, New York, NY, USA) with a sensitivity 10.56 mV/g, output BIAS 10.3 VDC, frequency range 2–10,000 Hz, measuring range ± 500 g pk, non-linearty 1 % ) and at the head expander of the shaker (ICP Model 352A24 (PCB Piezotronics, New York, NY, USA) with a sensitivity 100.2 mV/g, output BIAS 11.0 VDC, frequency range 1–8000 Hz, measuring range ± 50 g pk, non-linearty 1 % ). A computer was used to drive predefined excitation profiles during the experiment and perform post-processing of the data. The DAQ system was configured with a frequency range of 50–1000 Hz, frequency resolution of 250 lines/oct, harmonic control estimator, average control strategy, compression factor 4, logarithmic sweep mode with a sweep rate 0.5 oct/min, and two sweep directions: forward and backward.
Electrical quantities were measured using a custom-built device. The resistance value was adjusted prior to each experiment and verified under static conditions using the built-in digital multimeter of the device. The measurement accuracy corresponds to the manufacturer specifications of the multimeter UT61C (1 Ω ). The resistance was not monitored during dynamic operation. The PZT can generate relatively high output voltages under dynamic excitation. To ensure compatibility with the data acquisition system input range, the output voltage was conditioned using a passive voltage divider with a fixed ratio of 1:5, integrated into the custom device. The divider ratio was assumed constant during the measurements. The internal circuit details of the divider are not accessible. The conditioned voltage signal was recorded using a standard voltage input channel of the LMS data acquisition system. The input voltage range was set to 10 V, which corresponds to 50 V on the custom-built device. These parameters ensure negligible electrical loading and sufficient bandwidth relative to the frequency range investigated in this study. All electrical measurements were performed using a common ground reference between the custom electrical device and the LMS system. Shielded cables were used for all voltage connections to reduce electromagnetic interference. The overall measurement uncertainty is dominated by the LMS input accuracy and the voltage divider ratio. The voltage measurement uncertainty is estimated as ± 0.001 V. All cables were insulated with adhesive tape at every point where there was contact between the cable and the electromagnetic shaker. Each test involves a constant-amplitude acceleration with sweeping the driving frequency profile. The measurement of the mechanical part has already been performed, and more details can be found in [37,38], while details of the custom-made energy harvesting devices are provided in [39,40,41].

3. Results

The experimental frequency response curves were constructed by performing frequency sweeps in both forward and backward directions within the range of 0 Hz to 1 kHz. In all subsequent plots within the resonance curves section, the data are presented in one of two formats—either as acceleration versus frequency, where acceleration refers to the response at the free end of the beam, or as voltage versus frequency, with voltage defined as the measured output in the electrical circuit.

3.1. Linear Responses

The natural frequencies identified during the analysis are shown in Figure 6. The first three natural frequencies corresponding to bending modes are at 141 Hz, 493 Hz and 959 Hz. All other peaks observed in the response curves between these values are associated with different types of vibrations.
It can be observed that the voltage generated by the structure is not directly proportional to the measured acceleration. This is attributed to the fact that the voltage is proportional to the system’s velocity rather than its acceleration. Furthermore, it is noted that the magnitude of the voltage measurement indications is approximately 60 times lower than those recorded by the acceleration sensor.
The first and third natural frequencies correspond to those measured experimentally and are associated with vibration in the x z -plane. The results presented in Table 2 demonstrate numerical convergence. Comparison of the three mesh configurations (coarse, medium, fine) shows that the differences are small, with less than 0.3 % deviation between the coarse and fine meshes. Moreover, the computed frequencies can be directly compared with the experimental values, and all three models provide results that remain close to the measurements. Therefore, the coarse mesh can be reliably used in further analyses, as it provides accurate results while reducing computational effort.
Another comparison is carried out to evaluate the influence of piezoelectric material properties on the modal analysis results. The results of the models that incorporate these properties are presented in Table 3. The influence of the additional transducer layer shifts the natural frequencies by less than 1.5% for all three natural frequencies considered.
The influence of the employed element type on the results of the modal analyses is examined as well. Table 4 presents the outcomes obtained from modeling the layers with different element types, varying numbers of nodes, and either full or reduced integration. The comparison shows that accurate results are achieved only when full integration is used, with the piezoelectric properties modeled by 20-node elements.

3.2. Moderate Amplitude Responses

Subsequent analysis is focused on the first natural frequency (145 Hz), using a frequency interval from 100 Hz to 200 Hz, during which both the kinematic excitation and electrical resistance are systematically varied.
Figure 7 presents the frequency–resonance curves for five different amplitudes of kinematic excitation while maintaining a constant electrical resistance. An increasing deflection of the curve to the left with an increasing response amplitude indicates the occurrence of a softening phenomenon.
Notably, similar curve patterns are observed when varying the electrical resistance, indicating that resistance has a minimal effect on tip acceleration. This is illustrated in Figure 8, which show resonance curves corresponding to a fixed level of kinematic excitation while varying the electrical resistance. For each resonance curve, there is a magnified view that is focused near the peak acceleration region, where the individual curves can be more clearly distinguished from each other.
The resonance curves for excitation amplitudes A = 2 g and A = 2.5 g are similar to those shown above, and for consistency, are not reported here.
When investigating the relationship between the acceleration of the free end and varying electrical resistance, no consistent pattern is observed. The sensitivity of the mechanical response to changes in resistance is smaller than the experimental error, making it difficult to draw definitive conclusions.
Table 5 presents the relationship between the base acceleration (for five input values investigated) and the corresponding maximum tip acceleration. A pattern is observed: a higher amplitude of kinematic excitation leads to larger tip acceleration, but the change is not proportional, indicating nonlinearities in the system.
Figure 9 present the resonance curves of the voltage generated during dynamic testing. Each set of four plots corresponds to the response of the system at five different levels of kinematic excitation, while the electrical resistance remains constant.
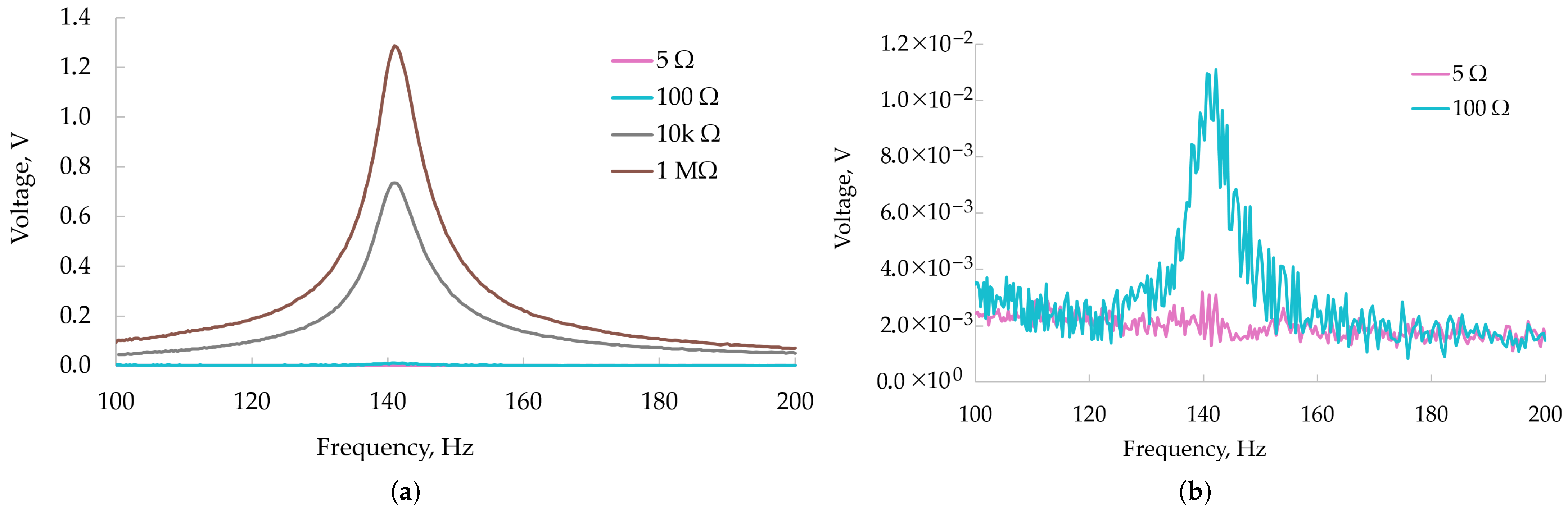
Observations on the relationship between electrical resistance, excitation and generated voltage reveal that when the resistance is very low—such as 5 Ω , which is close to a short circuit—a consistent pattern cannot be identified, unlike in other plots. Below a certain critical resistance value, the voltage response curves become irregular and lack smoothness. With increasing kinematic excitation, the generated voltage also increases. Additionally, a softening effect is observed: as kinematic excitation increases, the resonant frequency decreases across all resistance values (except for the case where the resistance is 5 Ω ).
Additional plots are reported in Figure 10 showing the resonance curves, corresponding to different values of electrical resistance, while maintaining a constant level of acceleration. Since two of the curves in the plot exhibit values that are negligible compared to the others, an additional plot is provided, allowing these smaller values to be clearly observed. The resonance curves for excitation amplitudes 1 g, 1.5 g, 2 g and 2.5 g are analogous to those shown below and for consistency are not reported here.
It can be clearly seen that with increasing kinematic excitation, the generated voltage also increases. Table 6 gathers the voltage generated by the device at various levels of kinematic excitation (listed in rows) and resistance values (listed in columns). Higher levels of kinematic excitations result in increased generated voltage, and greater resistance leads to higher voltage output.
Table 7 presents the power output of the device for each combination of resistance and kinematic excitation level. The expression for the power of the energy-harvesting device is the following:
P = V 2 R
The dependency is linear with respect to increasing base acceleration, but not with increasing resistance. The highest power is observed at a resistance of 10 k Ω and a base acceleration of 2.5 g. As the resistance increases, the power output also increases, reaching a peak at a critical resistance value. Beyond this point, further increases in resistance lead to a decrease in power. The maximum power is achieved at a resistance of 10 k Ω .

3.3. Time-History Analysis in ANSYS APDL

A time-history analysis was performed in ANSYS APDL by applying a kinematic excitation at the fixed end of the cantilever. The excitation was defined in terms of its acceleration amplitude and frequency. To validate the proposed numerical model, two cases were considered: an amplitude of 0.5 g at 100 Hz (Case 1) and an amplitude of 2.5 g at 140 Hz (Case 2), each evaluated for different values of the electrical resistance—Figure 7. The objective of the time-history analysis is to reproduce the experimental response under these loading conditions and thereby confirm the accuracy of the numerical model. In the model, all materials are assumed to behave linearly elastically under small deformations. Consequently, the resonance curves obtained from the numerical analysis exhibit the typical characteristics of linear systems, without any shift in the resonance frequency. This ensures that the model does not imply predictive capability in the nonlinear regime. The softening observed in the experimental resonance curves is therefore purely an experimental phenomenon and cannot be captured or predicted by the present linear model. The results from the two analyses are presented in Table 8.
It can be observed that the acceleration response at the free end of the cantilever is captured well by the numerical model. For Case 1, the simulated acceleration agrees closely with the experimental measurements. For Case 2, the deviation between the numerical and experimental acceleration reaches 28 % , which remains acceptable.
However, the predicted voltage output does not match the experimental results with the same level of accuracy. The maximum discrepancy in the voltage response reaches 33 times, clearly indicating that the current model is inadequate for reproducing the electro-mechanical behavior of the system.
The next step in the study involved modelling the glue interlayer of the device within the numerical model. It is located between the piezoelectric and aluminium layer and it is connected with them via shared nodes.
Both the mechanical response, expressed through the acceleration of the free end, and the electrical response, expressed through the generated voltages, are captured accurately by the simulations shown in Figure 11. The thickness ( 0.0002 m) and elastic modulus (6 MPa) of the glue interlayer are fitted parameters. Their values are selected such that the natural frequency obtained from the modal analysis matches the experimentally measured natural frequency of the beam. The comparison between the numerical and experimental resonance curves yields a peak-frequency error of 6.9 % , a peak-amplitude error of 4.5 % for acceleration, and a peak-amplitude error of 12.5 % for voltage.
The errors are acceptable for the specific objectives of this study. The adhesive interlayer exhibits complex behavior, and the goal of the present work is not to fully validate its response, but rather to demonstrate that even a simplified representation of the interlayer is crucial for obtaining reliable results. During the next stage, the research will focus on detailed characterization of the interlayer and on determining precise material constants in order to fully validate the numerical model against the experimental data.

4. Conclusions

The experimental investigation demonstrated that the piezoelectric energy harvesting device exhibits complex behavior under varying electrical resistance and kinematic excitation. The setup, which included an electromagnetic shaker with a maximum dynamic load of 35 kN, revealed that the first three bending-mode natural frequencies occur at 141 Hz, 493 Hz and 959 Hz. Across different resistance values, the tip acceleration showed minimal variation, indicating that the electrical resistance has a limited influence on the mechanical response. No consistent pattern was observed in the acceleration response as resistance varied, and the sensitivity of mechanical behavior was found to be smaller than the experimental error.
At very low resistance values (e.g., 5 Ω ), the voltage response became irregular and lacked smoothness, making it difficult to identify clear trends. However, with increasing kinematic excitation, the generated voltage consistently increased. A softening effect was also observed, where higher excitation levels led to a decrease in resonant frequency at all resistance values—except in the case of 5 Ω . The power output analysis showed that power increases with resistance up to a critical point, after which it begins to decline. The maximum power output was achieved at a resistance of 10 k Ω , highlighting the importance of optimizing load resistance for efficient energy harvesting.
In addition, several parameters used in the modal analyses in ANSYS APDL were systematically examined and their influence on the results was evaluated. The comparison between the numerical and experimental results demonstrated very good agreement, confirming the reliability of the developed model. The importance of proper modelling of the contact between the PZT layer and the substrate is demonstrated.

Author Contributions

Conceptualization, E.M., Z.Z. and L.K.; methodology, E.M., Z.Z. and L.K.; software, Z.Z. and L.K.; validation, Z.Z., L.K. and S.D.; formal analysis, Z.Z. and L.K.; investigation, Z.Z., L.K. and E.M.; resources, Z.Z. and L.K.; data curation, Z.Z. and L.K.; writing—original draft preparation, Z.Z. and L.K.; writing—review and editing, L.K., S.D. and E.M.; visualization, Z.Z. and L.K.; supervision, E.M.; project administration, L.K. and E.M.; and funding acquisition, E.M. All authors have read and agreed to the published version of the manuscript.

Funding

Authors ZZ, EM and SD acknowledge the support obtained by the Bulgarian research fund, grant KP-06-N72/7, 2023 and partial support by the Ministry of Education and Science—Bulgaria through Grant No. D01-98/26.06.2025. LK acknowledges that this research was funded in part by the National Science Centre, Poland (grant no. 2021/41/B/ST8/03190).

Data Availability Statement

The data presented in this study are available on request from the corresponding author.

Acknowledgments

The authors would like to thank Alexander Alexiev and Tsvetormir Borisov for constructing the device.

Conflicts of Interest

The authors declare no conflicts of interest.

References

  1. Erturk, A.; Inman, D. Piezoelectric Energy Harvesting; Wiley: Hoboken, NJ, USA, 2011. [Google Scholar]
  2. Liu, H.; Zhong, J.; Lee, C.; Lee, S.W.; Lin, L. A Comprehensive Review on Piezoelectric Energy Harvesting Technology: Materials, Mechanisms, and Applications. Appl. Phys. Rev. 2018, 5, 041306. [Google Scholar] [CrossRef]
  3. Kim, H.S.; Kim, J.H.; Kim, J. A Review of Piezoelectric Energy Harvesting Based on Vibration. Int. J. Precis. Eng. Manuf. 2011, 12, 1129–1141. [Google Scholar] [CrossRef]
  4. Zelenika, S.; Hadas, Z.; Bader, S.; Becker, T.; Gljušćić, P.; Hlinka, J.; Janak, L.; Kamenar, E.; Ksica, F.; Kyratsi, T.; et al. Energy Harvesting Technologies for Structural Health Monitoring of Airplane Components—A Review. Sensors 2020, 20, 6685. [Google Scholar] [CrossRef] [PubMed]
  5. Aabid, A.; Parveez, B.; Raheman, M.A.; Ibrahim, Y.E.; Anjum, A.; Hrairi, M.; Parveen, N.; Zayan, J.M. A Review of Piezoelectric Material-Based Structural Control and Health Monitoring Techniques for Engineering Structures: Challenges and Opportunities. Actuators 2021, 10, 101. [Google Scholar] [CrossRef]
  6. Jiang, X.Z.; Li, Y.C.; Wang, J.; Li, J.C. Electromechanical Modeling and Experimental Analysis of a Compression-Based Piezoelectric Vibration Energy Harvester. Int. J. Smart Nano Mater. 2014, 5, 152–168. [Google Scholar] [CrossRef]
  7. Qian, F.; Zhou, W.; Kaluvan, S.; Zhang, H.; Zuo, L. Theoretical Modeling and Experimental Validation of a Torsional Piezoelectric Vibration Energy Harvesting System. Smart Mater. Struct. 2018, 27, 045018. [Google Scholar] [CrossRef]
  8. Li, X.; Upadrashta, D.; Yu, K.; Yang, Y. Analtical Modeling and Validation of Multi-Mode Piezoelectrci Energy Harvesrer. Mech. Syst. Signal Process. 2019, 124, 613–631. [Google Scholar] [CrossRef]
  9. Paknejad, A.; Rahimi, G.; Farrokhabadi, A.; Khatibii, M.M. Analytical solution of piezoelectric energy harvester patch for various thin multilayer composite beams. Compos. Struct. 2016, 154, 694–706. [Google Scholar] [CrossRef]
  10. Cao, Y.; Cao, D.; He, G.; Ge, X.; Hao, Y. Vibration analysis and distributed piezoelectric energy harvester design for the L-shaped beam. Eur. J. Mech. A Solids 2021, 87, 104214. [Google Scholar] [CrossRef]
  11. Xiao, H.; Wang, X.; John, S. A Dimensionless Analysis of a 2DOF Piezoelectric Vibration Energy Harvester. Mech. Syst. Signal Process. 2015, 58, 355–375. [Google Scholar] [CrossRef]
  12. Erturk, A. Assumed-Modes Modeling of Piezoelectric Energy Harvesters: Euler-Bernoulli, Rayleigh, and Timoshenko Models with Axial Deformations. Comput. Struct. 2012, 106–107, 214–227. [Google Scholar] [CrossRef]
  13. Erturk, A.; Inman, D.J. A Distributed Parameter Electromechanical Model for Cantilevered Piezoelectric Energy Harvesters. J. Vib. Acoust. 2008, 130, 041002. [Google Scholar] [CrossRef]
  14. Rao, G.V.; Raju, I.S.; Raju, K.K. Nonlinear Vibrations of Beams Considering Shear Deformation and Rotary Inertia; Vikram Sarabhai Space Centre: Trivandrum, India, 1976. [Google Scholar]
  15. Tajeddini, V.; Muliana, A. Nonlinear Deformations of Piezoelectric Composite Beams. Compos. Struct. 2015, 132, 1085–1093. [Google Scholar] [CrossRef]
  16. Stangl, M.; Gerstmayr, J.; Irschik, H. An Alternative Approach for the Analysis of Nonlinear Vibrations of Pipes Conveying Fluid. J. Sound Vib. 2008, 310, 493–511. [Google Scholar] [CrossRef]
  17. Khalatkar, A.; Gupta, V.K.; Agrawal, A. Analytical, FEA, and Experimental Comparisons of Piezoelectric Energy Harvesting Using Engine Vibrations. Smart Mater. Res. 2014, 2014, 741280. [Google Scholar] [CrossRef]
  18. Wang, D.-A.; Ko, H.-H. Piezoelectric Energy Harvesting from Flow-Induced Vibration. J. Micromech. Microeng. 2010, 20, 025019. [Google Scholar] [CrossRef]
  19. Pan, F.; Xu, Z.; Jin, L.; Pan, P.; Gao, X. Designed Simulation and Experiment of a Piezoelectric Energy Harvesting System Based on Vortex-Induced Vibration. IEEE Trans. Ind. Appl. 2017, 53, 3890–3897. [Google Scholar] [CrossRef]
  20. Dai, H.L.; Abdelkefi, A.; Wang, L. Theoretical Modeling and Nonlinear Analysis of Piezoelectric Energy Harvesting from Vortex-Induced Vibrations. J. Intell. Mater. Syst. Struct. 2014, 25, 1861–1874. [Google Scholar] [CrossRef]
  21. Mak, K.H.; Mcwilliam, S.; Popov, A.A.; Fox, C.H.J. Vibro-Impact Dynamics of a Piezoelectric Energy Harvester. In Proceedings of the IMCA-XXVIII, Jackonsille, FL, USA, 1–4 February 2010. [Google Scholar]
  22. Fegelman, K.J.L.; Grosh, K. Dynamics of a Flexible Beam Contacting a Linear Spring at Low Frequency Excitation: Experiment and Analysis. J. Vib. Acoust. 2002, 124, 237–249. [Google Scholar] [CrossRef]
  23. Stoykov, S.; Litak, G.; Manoach, E. Vibration Energy Harvesting by a Timoshenko Beam Model and Piezoelectric Transducer. Eur. Phys. J. Spec. Top. 2015, 224, 2755–2770. [Google Scholar] [CrossRef]
  24. Zhang, Z.; Xiang, H.; Shi, Z.; Zhan, J. Experimental Investigation on Piezoelectric Energy Harvesting from Vehicle-Bridge Coupling Vibration. Energy Convers. Manag. 2018, 163, 169–179. [Google Scholar] [CrossRef]
  25. Wanga, C.; Zhaoa, J.; Lib, Q.; Li, Y. Optimization Design and Experimental Investigation of Piezoelectric Energy Harvesting Devices for Pavement. Appl. Energy 2018, 229, 18–30. [Google Scholar] [CrossRef]
  26. Wang, D.W.; Mo, J.L.; Wang, X.F.; Ouyang, H.; Zhou, Z.R. Experimental and Numerical Investigations of the Piezoelectric Energy Harvesting via Friction-Induced Vibration. Energy Convers. Manag. 2018, 171, 1134–1149. [Google Scholar] [CrossRef]
  27. Toyabur, R.M.; Salauddin, M.; Park, J.Y. Design and Experiment of Piezoelectric Multimodal Energy Harvester for low Frequency Vibration. Ceram. Int. 2017, 43, S675–S681. [Google Scholar] [CrossRef]
  28. Lumentut, M.F.; Howard, I.M. Analytical and Experimental Comparisons of Electromechanical Vibration Response of a Piezoelectric Bimorph Beam for Power Harvesting. Mech. Syst. Signal Process. 2013, 36, 66–86. [Google Scholar] [CrossRef]
  29. Rafique, S.; Bonello, P. Experimental Validation of a Distributed Parameter Piezoelectric Bimorph Cantilever Energy Harvester. Smart Mater. Struct. 2010, 19, 094008. [Google Scholar] [CrossRef]
  30. Sunithamani, S.; Lakshmi, P. Experimental Study and Analysis of Unimorph Piezoelectric Energy Harvester with Different Substrate Thickness and Different Proof Mass Shapes. Microsyst. Technol. 2017, 23, 2421–2430. [Google Scholar] [CrossRef]
  31. Chen, G.; Tang, L.; Mace, B. Modelling and analysis of a thermoacoustic-piezoelectric energy harvester. Appl. Therm. Eng. 2019, 150, 532–544. [Google Scholar] [CrossRef]
  32. Nouh, M.; Aldraihem, O.; Baz, A. Optimum design of thermoacoustic-piezoelectric systems with dynamic magnifiers. Eng. Optim. 2013, 46, 543–561. [Google Scholar] [CrossRef]
  33. Lin, J.; Scalo, C.; Hasselink, L. High-fidelity simulation of a standing-wave thermoacoustic–piezoelectric engine. J. Fluid Mech. 2016, 808, 19–60. [Google Scholar] [CrossRef]
  34. IEEE Standart on Piezoelectricity. IEEE Trans. Sonics Ultrason. 1984, 31, i. [CrossRef]
  35. 176-1978; IEEE Standard on Piezoelectricity: An Americal National Standard. American National Standarts Institute: New York, NY, USA; Institute of Electrical and Electronics Engineers: New York, NY, USA, 1988. [CrossRef]
  36. Zhang, Y.; Tang, L.; Tian, H.; Wang, J.; Cao, W.; Zhang, Z. Determination of temperature dependence of full matrix material constants of PZT-8 piezoceramics using only one sample. J. Alloys Compd. 2016, 714, 20–25. [Google Scholar] [CrossRef]
  37. Kloda, L.; Lenci, S.; Warminski, J. Hardening vs. softening dichotomy of a hinged-simply supported beam with one end axial linear spring: Experimental and numerical studies. Int. J. Mech. Sci. 2020, 178, 105588. [Google Scholar] [CrossRef]
  38. Latalski, J.; Kloda, L.; Dubicka-Nowak, J. Nonlinear dynamics of an axially preloaded hinged–hinged planar beam—Experimental insights, finite element modal analysis and analytical modeling. J. Sound Vib. 2026, 620, 119434. [Google Scholar] [CrossRef]
  39. Mitura, A.; Brunetti, M.; Kloda, L.; Romeo, F.; Warminski, J. Experimental nonlinear dynamic regimes for energy harvesting from cantilever bistable shells. Mech. Syst. Signal Process. 2024, 206, 110890. [Google Scholar] [CrossRef]
  40. Kloda, L. Pentastable composite shell for energy harvesting. Mech. Syst. Signal Process. 2026, 244, 113825. [Google Scholar] [CrossRef]
  41. Mitura, A. Modeling and Experimental Analysis of Hybrid Cantilever Structures with Embedded MFC Patch. Materials 2025, 18, 4610. [Google Scholar] [CrossRef] [PubMed]
Figure 1. Schematic diagram of the device mounted on a shaker with instrumentation and annotated dimensions: (a) side view and (b) isometric view.
Figure 1. Schematic diagram of the device mounted on a shaker with instrumentation and annotated dimensions: (a) side view and (b) isometric view.
Energies 19 00932 g001
Figure 2. Side and top views of the device geometry.
Figure 2. Side and top views of the device geometry.
Energies 19 00932 g002
Figure 3. Zoomed side view of the finite element model with indicated boundary conditions applied to the nodes and electrodes.
Figure 3. Zoomed side view of the finite element model with indicated boundary conditions applied to the nodes and electrodes.
Energies 19 00932 g003
Figure 4. Zoomed side view of mesh configurations: (a) coarse, (b) medium and (c) fine. The piezoelectric layer is indicated within the red dashed contour in the figure.
Figure 4. Zoomed side view of mesh configurations: (a) coarse, (b) medium and (c) fine. The piezoelectric layer is indicated within the red dashed contour in the figure.
Energies 19 00932 g004
Figure 5. Experimental setup of a kinematically excited beam, showing the signal distribution used for controlled excitation. The input signal consists of a constant acceleration with a varying frequency profile, while the output signals include the beam-tip acceleration and the instantaneous voltage induced across the electrodes for a given resistance.
Figure 5. Experimental setup of a kinematically excited beam, showing the signal distribution used for controlled excitation. The input signal consists of a constant acceleration with a varying frequency profile, while the output signals include the beam-tip acceleration and the instantaneous voltage induced across the electrodes for a given resistance.
Energies 19 00932 g005
Figure 6. Experimental frequency response curves for constant amplitude of acceleration A = 0.5 g and electrical resistance 1 M Ω : (a) acceleration of the beam tip and (b) induced voltage on the harvester. At the resonance peaks, the vibration modes from the numerical model are matched to the corresponding measured frequencies.
Figure 6. Experimental frequency response curves for constant amplitude of acceleration A = 0.5 g and electrical resistance 1 M Ω : (a) acceleration of the beam tip and (b) induced voltage on the harvester. At the resonance peaks, the vibration modes from the numerical model are matched to the corresponding measured frequencies.
Energies 19 00932 g006
Figure 7. Frequency response curves for constant electrical resistance 5 Ω and gradually varied amplitude of acceleration from A = 0.5 g to A = 2.5 g.
Figure 7. Frequency response curves for constant electrical resistance 5 Ω and gradually varied amplitude of acceleration from A = 0.5 g to A = 2.5 g.
Energies 19 00932 g007
Figure 8. Frequency response curves for gradually varied electrical resistance from 5 Ω to 1 M Ω and constant amplitude of excitation: (a) A = 0.5 g, (b) A = 1.0 g and (c) A = 1.5 g.
Figure 8. Frequency response curves for gradually varied electrical resistance from 5 Ω to 1 M Ω and constant amplitude of excitation: (a) A = 0.5 g, (b) A = 1.0 g and (c) A = 1.5 g.
Energies 19 00932 g008
Figure 9. Frequency response curves for gradually varied amplitude of acceleration A and constant resistance: (a) 5 Ω , (b) 100 Ω , (c) 10 k Ω , and (d) 5 M Ω .
Figure 9. Frequency response curves for gradually varied amplitude of acceleration A and constant resistance: (a) 5 Ω , (b) 100 Ω , (c) 10 k Ω , and (d) 5 M Ω .
Energies 19 00932 g009
Figure 10. Frequency voltage response curves for gradually varied resistance and constant amplitude of acceleration A = 0.5 g: (a) the full view and (b) zoomed view for small voltage indications corresponding to small resistance 5 Ω and 100 Ω .
Figure 10. Frequency voltage response curves for gradually varied resistance and constant amplitude of acceleration A = 0.5 g: (a) the full view and (b) zoomed view for small voltage indications corresponding to small resistance 5 Ω and 100 Ω .
Energies 19 00932 g010
Figure 11. Comparison of experimental and numerical frequency response curves: (a) induced voltage on the harvester and (b) acceleration of the beam tip.
Figure 11. Comparison of experimental and numerical frequency response curves: (a) induced voltage on the harvester and (b) acceleration of the beam tip.
Energies 19 00932 g011
Table 1. Mechanical properties of the materials.
Table 1. Mechanical properties of the materials.
MaterialDensity
kg/m3
Poisson’s Ratio
-
Modulus of Elasticity
GPa
SM118 (PZT-8)76000.3380.0
7075-T628100.3371.7
Table 2. Comparison of natural frequencies for different meshes.
Table 2. Comparison of natural frequencies for different meshes.
IndexTypeElements Through ThicknessFE Size, mm f 1 , Hz f 2 , Hz f 3 , Hz
1coarse30.5, 1144.7508.151021.1
2medium50.5144.8508.241021.3
3fine100.25145.24509.631024.9
-exp.--141493959
Table 3. Comparison of natural frequencies with and without piezoelectric properties modelled.
Table 3. Comparison of natural frequencies with and without piezoelectric properties modelled.
IndexMeshPiezo Properties Modelled f 1 , Hz f 2 , Hz f 3 , Hz
1coarseYes144.7508.151021.1
2coarseNo142.8504.551007.8
Table 4. Comparison of natural frequencies for different solid modeling approaches.
Table 4. Comparison of natural frequencies for different solid modeling approaches.
IndexMeshPiezo Prop.El. Type, PiezoEl. Type, Str. f 1 , Hz f 2 , Hz f 3 , Hz
1coarseyes226186144.7508.151021.1
2coarseyes5 (full int.)185 (full int.)---
3coarseno5 (full int.)185 (full int.)142.33502.611004.5
4coarseno5 (red. int.)185 (red. int.)---
Table 5. Acceleration response.
Table 5. Acceleration response.
Base acceleration, g0.511.522.5
Max. tip acceleration, g1220242833
Table 6. Generated voltage of the harvesting device.
Table 6. Generated voltage of the harvesting device.
Resistance,  Ω Acceleration, g
0.5 1 1.5 2 2.5
5 3.0 × 10 3 3.5 × 10 3 2.4 × 10 3 3.1 × 10 3 3.2 × 10 3
100 1.0 × 10 2 1.5 × 10 2 1.8 × 10 2 2.2 × 10 2 2.5 × 10 2
10,0000.81.11.41.61.8
1,000,0001.21.82.52.93.3
Table 7. Power of the piezoelectric harvesting device.
Table 7. Power of the piezoelectric harvesting device.
Resistance,  Ω Acceleration, g
0.5 1 1.5 2 2.5
5 1.8 × 10 6 2.5 × 10 3 1.2 × 10 6 2.1 × 10 6 1.9 × 10 6
100 1.0 × 10 6 2.3 × 10 6 3.2 × 10 6 4.8 × 10 6 6.3 × 10 6
10,000 6.4 × 10 5 1.2 × 10 4 1.96 × 10 4 2.6 × 10 4 3.24 × 10 4
1,000,000 1.44 × 10 6 3.3 × 10 6 6.3 × 10 6 8.4 × 10 6 1.1 × 10 5
Table 8. Results of time-history analyses: acceleration at the free end and generated voltage.
Table 8. Results of time-history analyses: acceleration at the free end and generated voltage.
Case 1: a = 0.5  g, f = 100  HzCase 2: a = 2.5  g, f = 136  Hz
Accelertion, g Voltage, V Accelertion, g Voltage, V
Resistance APDL Exp. APDL Exp. APDL Exp. APDL Exp.
5 Ω 1.171.01 7.5 × 10 5 2.5 × 10 3 23.232.4 1.6 × 10 3 3.0 × 10 3
100 Ω ----23.232.4 2.0 × 10 2 2.5 × 10 2
10 k Ω 1.171.010.120.05523.232.43.21.8
1 M Ω 1.171.010.830.12523.232.4163.2
Disclaimer/Publisher’s Note: The statements, opinions and data contained in all publications are solely those of the individual author(s) and contributor(s) and not of MDPI and/or the editor(s). MDPI and/or the editor(s) disclaim responsibility for any injury to people or property resulting from any ideas, methods, instructions or products referred to in the content.

Share and Cite

MDPI and ACS Style

Zhelev, Z.; Kloda, L.; Doneva, S.; Manoach, E. Experimental and Numerical Investigation of Vibration-Based Piezoelectric Energy Harvesting Device. Energies 2026, 19, 932. https://doi.org/10.3390/en19040932

AMA Style

Zhelev Z, Kloda L, Doneva S, Manoach E. Experimental and Numerical Investigation of Vibration-Based Piezoelectric Energy Harvesting Device. Energies. 2026; 19(4):932. https://doi.org/10.3390/en19040932

Chicago/Turabian Style

Zhelev, Zhan, Lukasz Kloda, Simona Doneva, and Emil Manoach. 2026. "Experimental and Numerical Investigation of Vibration-Based Piezoelectric Energy Harvesting Device" Energies 19, no. 4: 932. https://doi.org/10.3390/en19040932

APA Style

Zhelev, Z., Kloda, L., Doneva, S., & Manoach, E. (2026). Experimental and Numerical Investigation of Vibration-Based Piezoelectric Energy Harvesting Device. Energies, 19(4), 932. https://doi.org/10.3390/en19040932

Note that from the first issue of 2016, this journal uses article numbers instead of page numbers. See further details here.

Article Metrics

Back to TopTop