Investigation of Waves’ Impact on Floating Objects Using Numerical Simulations and Experiments
Abstract
1. Introduction
2. Materials and Methods
2.1. CFD Method
- it equals 0 if the first fluid is not present in the cell;
- it equals 1 if a cell is entirely filled with the first fluid;
- it is a value between 0 and 1 when the interface between fluids exists in the cell.
- Fluid domain size was set to avoid the influence of boundary conditions on the flow over the buoy and allow full development of waves before they reached the buoy; the fluid domain varied depending on wavelength;
- A Multiphase flow of air and water with a VOF approach was implemented;
- The fluid domain included a damping zone at the end to avoid backflow;
- A transient Multiphase flow of air and water with a VOF approach was implemented;
- There was no mass or heat transfer between both fractions;
- Both fractions were homogeneous fluids with constant properties;
- Air properties were used for normal ambient temperature, while water was used for seawater at a normal ambient temperature;
- The k– turbulence model was implemented;
- The solver used PISO algorithm;
- The surface tension was omitted;
- The time step was adjusted to flow conditions and cell size; a maximum of 20 iterations was used for a time step;
- The inlet and outlet used an open channel boundary condition, whose details were adjusted to the wave pattern.
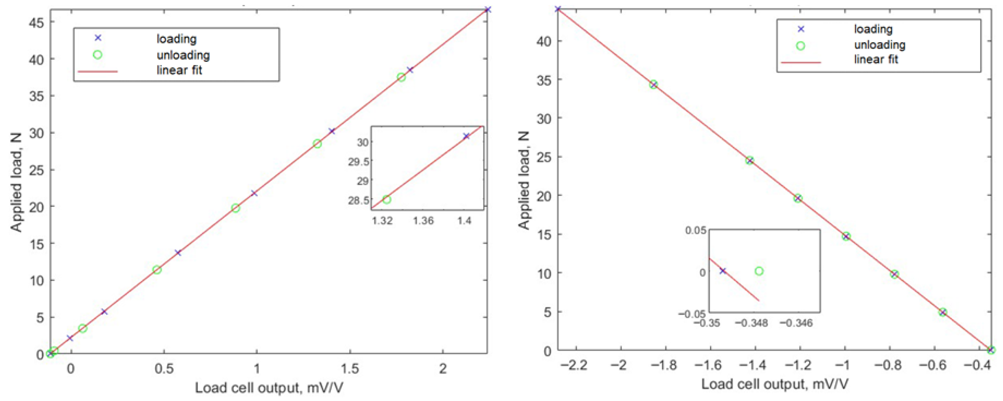
2.2. Experimental Test
- Load cells, DBBSM-003-000 type with accuracy of 0.03% by Applied Measurements LTD, Reading, UK;
- Data acquisition DAQ unit in LabView by National Instruments, Austin, TX, USA;
- Wave gauges WG8USB by Edinburgh Designs, Loanhead, UK;
- Spherical buoy with a diameter of 0.25 [m].
3. Results
3.1. Experimental Results
- Case 1 wave parameters: height 0.8 [m] and frequency 0.3 [Hz];
- Case 2 wave parameters: height 0.12 [m] and frequency 0.4 [Hz];
- Case 3 wave parameters: height 0.16 [m] and frequency 0.5 [Hz].
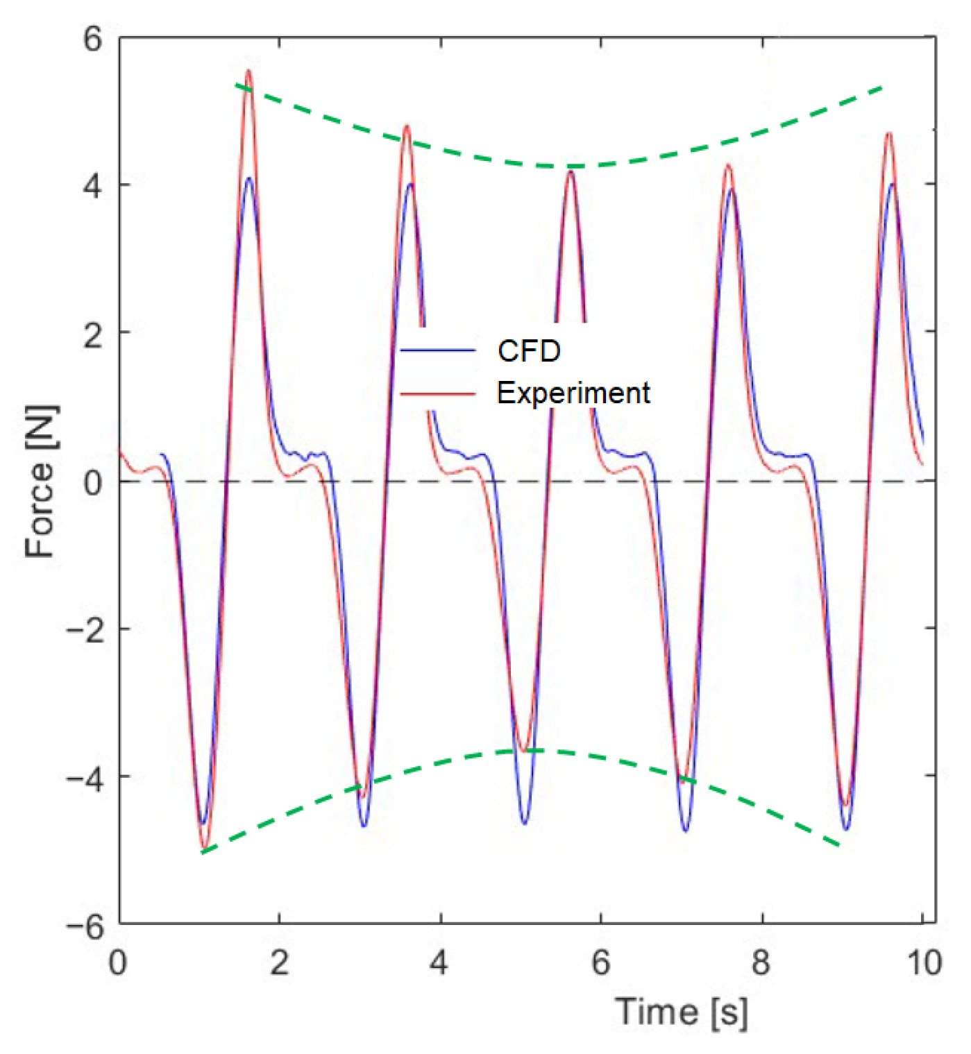
3.2. Comparison of Experimental Test and CFD Simulation
4. Discussion
5. Conclusions
- The CFD model uses the RANS approach along with the k– turbulence model, and the VOF technique can evaluate drag and lift forces for a spherical buoy with a good approximation.
- The usability of the model is limited to the size of the spherical buoy and wave height. The wave height should be smaller than the buoy diameter.
- The obtained drag and lift forces can be used for the calculation of wave energy extracted by a floating object, i.e., a spherical object.
Author Contributions
Funding
Data Availability Statement
Acknowledgments
Conflicts of Interest
Abbreviations
| CFD | Computational Fluid Dynamics |
| NS | Navier–Stokes equations |
| RANS | Reynolds Averaged Navier–Stokes equations |
| VOF | Volume of Fluid |
References
- Bihs, H.; Kamath, A.; Chella, M.A.; Aggarwal, A.; Arntsen, Ø.A. A new level set numerical wave tank with improved density interpolation for complex wave hydrodynamics. Comput. Fluids 2016, 140, 191–208. [Google Scholar] [CrossRef]
- Bai, W.; Taylor, R.E. Numerical simulation of fully nonlinear regular and focused wave diffraction around a vertical cylinder using domain decomposition. Appl. Ocean Res. 2007, 29, 55–71. [Google Scholar] [CrossRef]
- Mo, W.; Jensen, A.; Liu, P.L.-F. Plunging solitary wave and its interaction with a slender cylinder on a sloping beach. Ocean Eng. 2013, 74, 48–60. [Google Scholar] [CrossRef]
- Vested, M.V.; Carstensen, S.; Christensen, E.D. Experimental study of wave kinematics and wave load distribution on a vertical circular cylinder. Coast. Eng. 2020, 157, 103660. [Google Scholar] [CrossRef]
- Mockutė, A.; Marino, E.; Lugni, C.; Borri, C. Comparison of hydrodynamic loading models for vertical cylinders in nonlinear waves. Procedia Eng. 2017, 199, 3224–3229. [Google Scholar] [CrossRef]
- Ha, Y.-J.; Nam, B.W.; Kim, K.-H.; Hong, S.Y. CFD Simulations of Wave Impact Loads on a Truncated Circular Cylinder by Breaking Waves. Int. J. Offshore Polar Eng. 2019, 199, 306–314. [Google Scholar] [CrossRef]
- Chang, S.; Huang, W.; Sun, H.; Li, L. Numerical investigation of secondary load cycle and ringing response of a vertical cylinder. Appl. Ocean Res. 2019, 91, 101872. [Google Scholar] [CrossRef]
- Ha, Y.-J.; Kim, K.-H.; Nam, B.W.; Hong, S.Y. Experimental investigation for characteristics of wave impact loads on a vertical cylinder in breaking waves. Ocean Eng. 2020, 209, 107470. [Google Scholar] [CrossRef]
- Lee, S.; Kim, M.; Ko, K.; Hong, J.-W. Nondimensionalized semi-empirical equation to predict secondary load cycles on vertical cylinders of different diameters. Ocean Eng. 2021, 230, 108968. [Google Scholar] [CrossRef]
- Renaud, P.; Martin, M.B.; Hulin, F.; Harris, J.C.; Filipot, J.-F.; Scolan, Y.-M. Semi-analytical load models describing the progressive immersion of a fixed vertical cylinder in a breaking wave. Ocean Eng. 2023, 276, 114116. [Google Scholar] [CrossRef]
- Batlle Martin, M.; Harris, J.C.; Filipot, J.-F.; Hulin, F.; Tassin, A.; Renaud, P. Deep water focused breaking wave loads on a fixed cylinder. Coast. Eng. 2023, 186, 104397. [Google Scholar] [CrossRef]
- Xin, Z.; Li, X.; Li, Y. Coupled effects of wave and depth-dependent current interaction on loads on a bottom-fixed vertical slender cylinder. Coast. Eng. 2023, 183, 104304. [Google Scholar] [CrossRef]
- Chaplin, J.R.; Teigen, P. Steady flow past a vertical surface-piercing circular cylinder. J. Fluids Struct. 2003, 18, 271–285. [Google Scholar] [CrossRef]
- Gonçalves, R.T.; Franzini, G.R.; Rosetti, G.F.; Meneghini, J.R.; Fujarra, A.L.C. Flow around circular cylinders with very low aspect ratio. J. Fluids Struct. 2014, 54, 122–141. [Google Scholar] [CrossRef]
- Ren, H.; Xu, Y.; Zhang, M.; Deng, S.; Li, S.; Fu, S.; Sun, H. Hydrodynamic forces on a partially submerged cylinder at high Reynolds number in a steady flow. Appl. Ocean Res. 2019, 88, 160–169. [Google Scholar] [CrossRef]
- Ageorges, V.; Peixinho, J.; Perret, G.; Lartigue, G.; Moureau, V. Experiments and Simulations of Free-Surface Flow behind a Finite Height Rigid Vertical Cylinder. Fluids 2021, 6, 367. [Google Scholar] [CrossRef]
- Wu, T.-R.; Liu, P.-L.-F. Numerical Study on the Three-dimensional Dambreak Bore Interacting with a Square Cylinder. In Nonlinear Wave Dynamics; World Scientific: Singapore, 2009. [Google Scholar] [CrossRef]
- Lader, P.; Enerhaug, B.; Fredheim, A.; Klebert, P.; Pettersen, B. Forces on a cruciform/sphere structure in uniform current. Ocean Eng. 2014, 82, 180–190. [Google Scholar] [CrossRef]
- Banks, M.; Abdussamie, N. The response of a semisubmersible model under focused wave groups: Experimental investigation. J. Ocean Eng. Sci. 2017, 2, 161–171. [Google Scholar] [CrossRef]
- Chen, H.; Christensen, E.D. Simulating the hydrodynamic response of a floater–net system in current and waves. J. Fluids Struct. 2018, 79, 50–75. [Google Scholar] [CrossRef]
- Liu, B.; Fu, D.; Zhang, Y.; Chen, X. Experimental and numerical study on the wave force calculation of a partially immersed horizontal cylindrical float. Int. J. Nav. Archit. Ocean Eng. 2020, 12, 733–742. [Google Scholar] [CrossRef]
- Pestana, R.G.; Fonseca de Carvalho e Silva, D.; Do Nascimento Gomes, C.; De Oliveira Carvalho, L.; Vileti, V.; De Tarso Themistocles Esperança, P.; Kim, M. Subsea manifold installation: Operational windows estimation based on hydrodynamic model testing. Ocean Eng. 2020, 219, 108364. [Google Scholar] [CrossRef]
- Liang, X.; Liu, Z.; Huang, D.; Wang, T.; Wang, C. Experimental and numerical investigation of the drag coefficients of subsea tree. Ocean Eng. 2021, 238, 109701. [Google Scholar] [CrossRef]
- Domagala, M.; Larsson Aga, H.; Bikass, S.; Momeni, H.; Stenfelt, G. CFD Estimation of a Resistance Coefficient for an Egg-Shaped Geometric Dome. Appl. Sci. 2022, 12, 10780. [Google Scholar] [CrossRef]
- Xiang, G.; Guedes Soares, C. A CFD approach for numerical assessment of hydrodynamic coefficients of an inclined prism near the sea bottom. Ocean Eng. 2022, 252, 111140. [Google Scholar] [CrossRef]
- Cheng, Y.; Duan, D.; Liu, X.; Yang, X.; Zhang, H.; Han, Q. Numerical study on hydrodynamic performance of underwater manipulator in the subcritical region. Ocean Eng. 2022, 262, 112214. [Google Scholar] [CrossRef]
- Chen, L.F.; Zang, J.; Hillis, A.J.; Morgan, G.C.J.; Plummer, A.R. Numerical investigation of wave–structure interaction using OpenFOAM. Ocean Eng. 2014, 88, 91–109. [Google Scholar] [CrossRef]
- Liu, Z.; Zhao, W.; Wan, D. CFD study of wave interaction with single and two tandem circular cylinders. Ocean Eng. 2021, 239, 109855. [Google Scholar] [CrossRef]
- Islam, H.; Guedes Soares, C. Assessment of uncertainty in the CFD simulation of the wave-induced loads on a vertical cylinder. Mar. Struct. 2021, 80, 103088. [Google Scholar] [CrossRef]
- Tang, T.; Ryan, G.; Ding, H.; Chen, X.; Zang, J.; Taylor, P.H.; Adcock, T.A. A new Gaussian Process based model for non-linear wave loading on vertical cylinders. Coast. Eng. 2021, 188, 104427. [Google Scholar] [CrossRef]
- James, M.; Forrester, A.; Hudson, D.; Taunton, D.; Turnock, S. Experimental study of the transitional flow of a sphere located at the free surface. In Proceedings of the 9th International Workshop on Ship and Marine Hydrodynamics, Glasgow, UK, 25–26 August 2015. [Google Scholar]
- Batchelor, G.K. An Introduction to Fluid Dynamics; Cambridge University Press: Cambridge, UK, 1967. [Google Scholar]
- Son, H.A.; Lee, S.; Lee, J. Numerical Analysis of Drag Force Acting on 2D Cylinder Immersed in Accelerated Flow. Water 2020, 12, 1790. [Google Scholar] [CrossRef]
- Hasselmann, K.; Barnett, T.P.; Bouws, E.; Carlson, H.; Cartwright, D.E.; Enke, K.; Ewing, J.A.; Gienapp, H.; Hasselmann, D.E.; Kruseman, P.; et al. Measurements of Wind-Wave Growth and Swell Decay during the Joint North Sea Wave Project (JONSWAP). Dtsch. Hydrogr. Z. 1973, 12, 1–95. [Google Scholar]
- Bretschneider, C.L.; Crutcher, H.L.; Darbyshire, J.; Neumann, G.; Pierson, W.J.; Walden, H.; Wilson, B.W. Data for High Wave Conditions Observed by the OWS WEATHER REPORTER in December 1959. Dtsch. Hydrogr. Z. 1962, 15, 243–255. [Google Scholar] [CrossRef]
- Moskowitz, L. Estimates of the power spectrums for fully- developed seas for wind speeds of 20 to 40 knots. J. Geophys. Res. 1964, 69, 5161–5179. [Google Scholar] [CrossRef]
- Pierson, W.J. The interpretation of wave spectrum in terms of the wind profile instead of the wind measured at a constant height. J. Geophys. Res. 1964, 69, 5191–5203. [Google Scholar] [CrossRef]
- ITTC. Recommended Procedures and Guidelines 7.6-02-09. Work Instructions, Calibration of Load Cells; ITTC: Singapore, 2002. [Google Scholar]
- International Towing Tank Conference (ITTC). Resistance Test. In Recommended Procedures and Guidelines; 7.5-02-02-01; ITTC: Singapore, 2021; Available online: https://www.ittc.info/media/9595/75-02-02-01.pdf (accessed on 15 September 2025).
- Sun, Z.; Yao, Q.; Jin, H.; Xu, Y.; Hang, W.; Chen, H.; Li, K.; Shi, L.; Gu, J.; Zhang, Q.; et al. A novel in-situ sensor calibration method for building thermal systems based on virtual samples and autoencoder. Energy 2024, 297, 131314. [Google Scholar] [CrossRef]














| Grid Version | g1 | g2 | g3 | g4 |
|---|---|---|---|---|
| Number of cells on sphere | 590 | 1167 | 2128 | 2558 |
| Normalized force | 1 | 1.059 | 1.074 | 1.079 |
| Max Error % | Range of Max Error [N] | |
|---|---|---|
| Load cell for drag force | 0.135 | 28.5–30.1 |
| Load cell for lift force | 0.03 | 0–5 |
| CFD | Experiment | Difference | ||||
|---|---|---|---|---|---|---|
| min | max | min | max | % | ||
| Case 1 | −0.7 | 0.8 | −0.7 | 0.7 | 4.8 | 0.9 |
| Case 2 | −1.9 | 1.9 | −2.1 | 1.9 | 2.8 | 8.9 |
| Case 3 | −4.6 | 4.1 | −4.3 | 4.6 | 5.0 | 12.3 |
| CFD | Experiment | Difference | ||||
|---|---|---|---|---|---|---|
| min | max | min | max | % | ||
| Case 1 | −10.9 | 10.8 | −10.4 | 10.7 | 4.8 | 0.9 |
| Case 2 | −13.9 | 13.3 | −14.3 | 14.6 | 2.8 | 8.9 |
| Case 3 | −15.1 | 15.0 | −15.9 | 17.1 | 5.0 | 12.3 |
Disclaimer/Publisher’s Note: The statements, opinions and data contained in all publications are solely those of the individual author(s) and contributor(s) and not of MDPI and/or the editor(s). MDPI and/or the editor(s) disclaim responsibility for any injury to people or property resulting from any ideas, methods, instructions or products referred to in the content. |
© 2025 by the authors. Licensee MDPI, Basel, Switzerland. This article is an open access article distributed under the terms and conditions of the Creative Commons Attribution (CC BY) license (https://creativecommons.org/licenses/by/4.0/).
Share and Cite
Dolve, E.C.; Bikass, S.; Domagala, M.; Momeni, H. Investigation of Waves’ Impact on Floating Objects Using Numerical Simulations and Experiments. Energies 2025, 18, 5091. https://doi.org/10.3390/en18195091
Dolve EC, Bikass S, Domagala M, Momeni H. Investigation of Waves’ Impact on Floating Objects Using Numerical Simulations and Experiments. Energies. 2025; 18(19):5091. https://doi.org/10.3390/en18195091
Chicago/Turabian StyleDolve, Erling Calvert, Saeed Bikass, Mariusz Domagala, and Hassan Momeni. 2025. "Investigation of Waves’ Impact on Floating Objects Using Numerical Simulations and Experiments" Energies 18, no. 19: 5091. https://doi.org/10.3390/en18195091
APA StyleDolve, E. C., Bikass, S., Domagala, M., & Momeni, H. (2025). Investigation of Waves’ Impact on Floating Objects Using Numerical Simulations and Experiments. Energies, 18(19), 5091. https://doi.org/10.3390/en18195091

