Analyzing the Causal Relationships Among Socioeconomic Factors Influencing Sustainable Energy Enterprises in India
Abstract
1. Introduction
- 1.
 - To identify and examine the interdependence among the socioeconomic factors influencing sustainable energy enterprises;
 - 2.
 - To examine the driving power and dependence among the socioeconomic factors influencing sustainable energy enterprises.
 
2. Literature Review
2.1. Regulatory Policies and Institutional Support (RP&IS)
2.2. Financial Accessibility and Investment Climate (FA&IC)
2.3. Market Demand, Consumer Awareness, and Adoption (MDCA&A)
2.4. Technological Advancements and Innovation Ecosystem (TA&IE)
2.5. Resource Availability and Infrastructure Readiness (RA&IR)
2.6. Sociocultural Attitudes and Acceptance (SCA&A)
2.7. Human Capital, Skills, and Entrepreneurial Capacity (HCS&EC)
3. Methods
3.1. Research Design
3.2. Identification of Factors
3.2.1. Identification
- Search period: No limit. The search was performed on 18 August 2024.
 - Keywords: “sustainable energy enterprise*”; “sustainable energy entrepreneur*”; “sustainable energy enterprise*”; “sustainable energy business model*”; “sustainable energy startup*”; “sustainable energy innovation”.
 
3.2.2. Screening
- Language: All these papers were published in the English language. Hence, no other criteria were followed.
 - Document Types: The 54 publications from Scopus included articles (35), conference papers (8), notes (3), reviews (3), and book chapters (1). Likewise, in WoS, articles (11), review articles (3), and proceeding papers (2) were identified. To maintain high quality, only the articles and review papers were considered and included. Hence, 38 from Scopus and 14 from WoS were selected.
 - Duplications: Six duplicate studies were found.
 
3.2.3. Eligibility
3.2.4. Included
3.3. Preliminary Interview
3.4. Structured Interviews
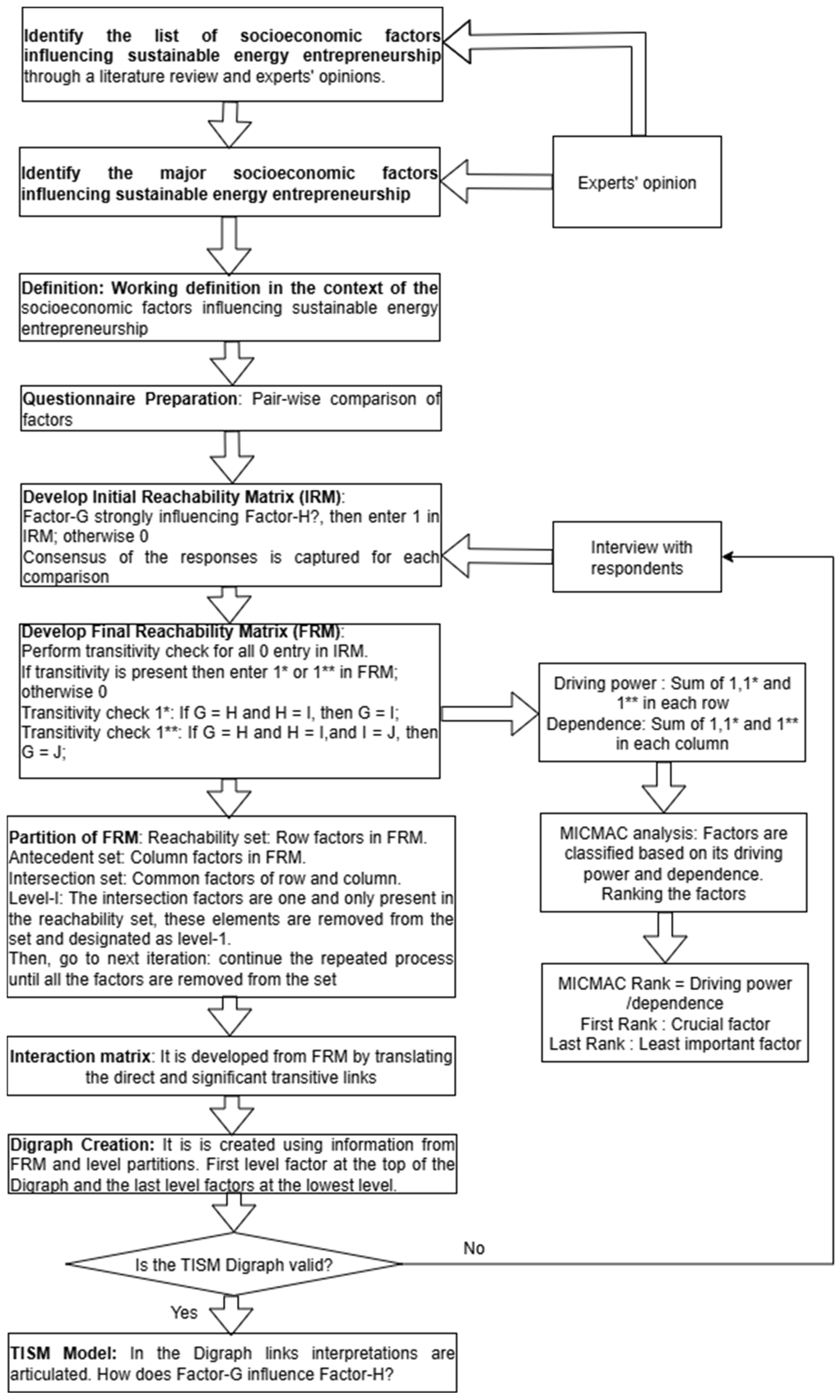
3.5. TISM Approach
- Identification of the factors: The SEFs are identified through a systematic literature review and further validated based on experts’ views through preliminary interviews before the data collection is discussed in the literature review.
 - Interconnectedness among the identified factors: The contextual relationships among the seven factors are established to obtain the initial reachability matrix (IRM). Eleven experts’ opinions are collected on the SEFs in the SEEs. The IRM is illustrated in Table 2 on the basis of the pair-based assessment by entering “1” (influencing) and “0” (not influencing).
 - Interpretation of the relationships among factors: The answers to the question of how the factors are related are identified and presented through comprehensive interpretations. This is the phase where the major difference between the ISM and TISM is revealed. The interpretation of the influence of one factor on another promotes the understanding and basis for creating a conceptual model [37], e.g., how RP&IS influences FA&IC.
 - Final reachability matrix (FRM) development after checking transitivity: The FRM is a matrix developed after the direct and transitivity links are considered. The transitivity check is the indirect relationship among the factors [70]. Table 3 contains the FRM. The transitivity is denoted with an asterisk [37]. For example, 1*. This means that if “X” influences “Y,” “Y” influences “Z,” then “X” also influences “Z.” Likewise, if the transitivity is 1**, “W” influences “X,” “X” influences “Y,” “Y” influences “Z,” and “W” influences “Z.”
 - Partitioning of the factors from the FRM into levels: The partition reachability matrix (PRM) was developed from the FRM [71].
 - Creating the digraph and the TISM model: All the relationships are portrayed in the directed graph or digraph (Figure 5) designed from the PRM and the interaction matrix [72]. The relationships among the factors are presented in the diagram at different levels. The top of the model is the first-level factor, and then the remaining levels are ranked in ascending order. The digraph nodes and links present the relationships. The arrows connecting the factors represent the relationship directions among the factors.
 
3.6. MICMAC Analysis
- Zone/Quadrant II: Dependent factors: This zone represents factors that have high dependence and less driving power [74]. In simple terms, the factors that are non-independent and depend on others but do not create change or influence the rest of the factors are called dependent factors. The ideal characteristics of the factors that fall in this zone are factors that depend on others and do not create changes in the other factors.
 - Zone/Quadrant III: Linkage factors: Factors with high driving power and dependence fall in this zone [76]. They are focused mainly on developing links with driving and dependent factors.
 - Zone/Quadrant IV: Driving or independent factors: This is the opposite of Zone 1. The factors that highlight driving but are less dependent on other factors are associated with this zone [77].
 
4. Results
4.1. Interpretation of the TISM Digraph
- RP&IS influencing FA&IC: Regulatory policies and institutional frameworks influence financial accessibility and investment in SEEs because the government and institutions provide financial support, subsidies, and benefits in the form of taxes and incentives and attract investors to invest in ventures. These policies primarily help reduce investment risk and fund accessibility to early SSEs and establish existing SSEs for their scalability. The current focus on the increasing support of the government for renewable energy ventures also encourages banks and financial institutions to support or provide seed and angel funds to SEEs. This phenomenon was examined by Musah et al. [78] in the case where feed-in tariffs help increase investment. The Indian government introduced the following schemes for supporting sustainable energy entrepreneurs: the Production Linked Incentive Scheme, the Solar Park Scheme, the Viability Gap Funding Scheme, and the National Hydrogen Mission.
 - RP&IS influencing MDCA&A: Well-structured, clear policies on energy transition, reporting, and green and sustainable energy are mandated, and Renewable Portfolio Standards (RPS) increase the demand for clean energy in the market. The next important element is increasing the awareness of customers, especially the net-zero energy rates for sustainability. The subsidies offered by the government for the installation of solar panels and support for energy auditors enhance consumers’ adoption of sustainable energy solutions. Supportive policy frameworks encourage the adoption of sustainable energy solutions by the public, increasing market demand [79].
 - RP&IS influencing TA&IE: Supportive policies for research and development, innovation encouragement, and technology development increase sustainable energy transitions. The government supports R&D grants and collaboration among universities and industries for energy technology advancements, patents, and other intellectual property-supportive actions to increase the development of innovations. The “Ministry of New and Renewable Energy” introduced the “Research and Technology Development Program” to support R&D in the new and renewable energy sector with the aim of sustainable energy transition. The nations that have innovation support will develop new and sustainable energy technologies. Germany’s Energiewende policy is an example of this [11].
 - RP&IS influencing RA&IR: Energy storage is one of the major issues faced in the sustainable energy sector. The availability of infrastructure and resources is dependent on the supportive policy environment. Energy policies that cover restrictions on land usage, grid accessibility, etc., influence the operations of SEEs. The feasibility is determined on the basis of energy policies. The proper regulation of land consumption encourages the development of wind and solar farms by enterprises. Grid integration aimed at energy strength leads to better infrastructure development, and investment in the grid increases energy efficiency. Investment in smart grids encourages the development of SEEs.
 - RP&IS influencing SCA&A: Policy plays a major role in the development of social attitudes. Decentralized energy solutions through community solar initiatives increase community engagement. This also opens the door for SEEs. Policy assistance in community-based energy investment through subsidies and national policies encourages the acceptance of sustainable energy. Germany’s strong pro-renewable stance vs. that of fossil-fuel-reliant economies is the best example of this. This creates the demand for SEEs to focus on communities and develop sustainable energy solutions across communities to increase acceptance.
 - RP&IS influencing HCS&EC: Educational institution initiatives, training, and development programs encourage awareness of and demand for sustainable energy solutions. The policy support for incubation through institutions, including educational institutions and pitching and startup assistance, has encouraged more entrepreneurs to join sustainable energy initiatives. The establishment and scalability of the product support an important driver for sustainable energy change. The development of training programs and workshops by the government and institutions creates responsible and developing skills, identifying and increasing the capacity of entrepreneurs.
 
- FA&IC influencing MDCA&A: Access to finance and a favorable investment climate help sustainable energy entrepreneurs innovate new solutions that meet customer requirements and cover triple-bottom-line lenses. Innovative solutions with novelty increase demand in the market, and increasing customer awareness and adoption leads to customer satisfaction. Affordable financing options also increase accessibility, and marketing can be enhanced to reach a wider market with strong economic backing. SSEs provide microfinancing options, subsidized loans for energy-efficient appliances, and solar panels that make sustainable energy affordable for customers. Investment in green bonds also reduces the high costs. The feed-in tariffs in Europe and renewable energy credits increase the rate of adoption of solar and wind energy.
 - FA&IC influences TA&IE: Finance and investment also promote research and development (R&D), technological development, and development in the overall ecosystem. Well-equipped financial infrastructure is a pathway to sustainable energy research and innovations. Investors such as venture capitalists and angel investors support sustainable energy startups, and government R&D funds for battery storage advancement, solar, wind, and additional financial assistance for scaling activities in the growth stage address how financing in the form of capital and investment creates cutting-edge innovations. Germany and the U.S. have increased their innovations, which are technology-oriented in terms of smart grid advancements, storage facilities, and hydrogen energy [11].
 - FA&IC influencing RA&IR: Infrastructure development and the accessibility of resources depend on finance and investment. Capital investment is required for SEEs in innovation in terms of grid technologies and integration, the development of energy storage systems, and large-scale installations. Government support for smart grids, electric vehicle charging points, and decentralized systems of energy is influenced by the financial and investment climate. The increase in financial investment leads to the accessibility of resources and the development of innovations. Investment with financial incentives in energy infrastructure creates portions of the total energy mix, which can be seen in the context of Chinese infrastructure initiatives [11].
 - FA&IC influences HCS&EC: The development of human capacity, skills, and entrepreneurial skills is based on the element of finances. The dynamic energy sector needs skilled, sustainable energy entrepreneurs to develop innovations. Finance and investment encourage training, the development of the workforce, and the enhancement of the overall capacity of entry entrepreneurs, attracting institutions and investors for scalable investments. Adequate financing and investment in SEEs promote development initiatives and research and development activities, which increase innovative solutions and demand in the market. Denmark and the Netherlands are the countries that are investing more in developing the workforce and enhancing the entrepreneurship capacity in renewable sources of energy and loans for innovations [79].
 
- MDCA&A influences TA&IE: The demand for sustainable energy increases SEE investment in R&D to improve existing products, promote innovation, and increase energy efficiency in energy technologies. The increase in customers’ awareness of climate change issues, the need to depend on renewable energy sources, and the importance of energy efficiency increase SEE innovations to enable enterprises to survive in competitive markets. The innovation ecosystem consists of major players such as investors’ and entrepreneurs’ partnerships, and research on new solutions has focused mainly on capturing the demand in the market. The demand for solar panels has increased, and technology development and cost-efficient, innovative battery technologies are the result of this increasing demand. It also requires infrastructure, such as storage systems, to store energy to meet demand during nonpeak times.
 - MDCA&A influences RA&IR: Market demand and consumer preference toward sustainable energy sources lead to the need for resources in the form of humans, machines, finance, entrepreneurial skills, and infrastructure support to develop innovative, consumer-demanded, cost-effective energy solutions. Energy efficiency distribution systems and the availability of customer services, such as charging stations and battery technologies, should be developed on the basis of market demand. The demand for solar energy increases grid system development, and energy storage and distribution networks are enhanced through the high demand for green energy. The demand for more decentralized energy systems also increases infrastructure readiness and resource requirements. The best example is the modernization of infrastructure and investment in infrastructure enhancement in Germany and China due to the large-scale addition of wind and solar energy [79].
 - MDCA&A influences HCS&EC: Demand in the market develops skills, entrepreneurial capacity through training, a well-trained and skilled workforce, and the development of human skills in a full-fledged manner to develop innovations. The market expansion for SEEs also opens the door to creating employment opportunities and, at the same time, increasing the skills of the existing workforce. These skills are related primarily to technology development, expansion, maintenance, installation, etc. Training programs and educational programs to increase innovations in renewable or sustainable energy technologies can be used to enrich the skilled workforce and increase the current capacity.
 - RA&IR influencing MDCA&A: SEEs with good infrastructure and resources that are capable of innovation and optimizing at maximum efficiency increase positive customer perceptions of their solutions. EV charging stations and smart grids facilitate adoption, and proper energy storage systems lead to the wider adoption of solutions by customers and increasing demand in the market. Accessibility and expanded charging networks increase electric vehicle adoption. The best example is electric vehicle charging in Norway, revealing that infrastructure development leads to increased market demand [11].
 - RA&IR influencing TA&IE: Technological development and R&D activities rely on supportive infrastructure and available resources. The infrastructure includes storage system platforms for pilot projects, test beds, and simulated experiences with real-world application of sustainable energy technologies, called test marketing before market entry, to check the feasibility of sustainable energy technologies. Smart grid systems and storage solutions help in the testing of renewable energy solutions such as wind, solar, and bioenergy in technology development. The infrastructure also reduces costs, which helps early-stage startups reduce their costs for technology development and the overall costs in the innovation ecosystem. The developed infrastructure support in California enhances innovations in batteries and grids [78].
 - RA&IR influencing HCS&EC: The infrastructure and resources are ready, and SEEs can focus on developing human skills, capacity, and development through training and development initiatives for the workforce in sustainable energy innovations. Skill development programs with existing infrastructure for offering training to the workforce in grid management, enhancing battery storage systems, and innovations for capturing the market from competitors are needed. The testing of solutions at a large scale is only possible for startups with supportive infrastructure and the availability of resources. A well-trained workforce with entrepreneurial capacity and the resources and infrastructure developed by startups and enterprises attract investors and lead to game changers in the market through innovations in sustainable energy solutions.
 
- HCS&EC influences TA&IE: The required skilled workforce and entrepreneurship with high-level capacity can lead to the development of existing energy technologies and the development of innovative new technologies. The entrepreneurship ecosystem consists of different actors. Human capital and a skilled and trained workforce, driven by sustainable innovation in energy, ensure the long-term sustainability of SEEs. This will contribute to the innovation, adoption, and development of technopoles. Human capital, skills, and entrepreneurship capacity are essential for ventures in the energy sector because of the continuous innovation and adaptation in terms of technical expertise, leading innovation hubs, and perpetual R&D culture. A skilled workforce and the capacity of entrepreneurs create pathways for development. Germany and the USA have innovations in technology in the energy sector. Similarly, Silicon Valley Cleantech is another example of a startup ecosystem-driven pool of talent and entrepreneurial capacity [78].
 
- TA&IE influences SCA&A: Social and cultural acceptance is influenced by the wide adoption of sustainable energy technologies. Accessible, affordable, efficient, and cost-friendly energy technologies help with community and social acceptance. Innovative technologies such as smart grids, solar solutions, and electric vehicles are desirable and accepted sustainable energy solutions. The customer’s awareness of advanced technologies and the innovation ecosystem for demand-based solutions encourage the customer’s trust and confidence. The development of grid technology reduces renewable intermittency, increases recognition, and promotes a positive societal attitude. Sustainable energy has become the norm rather than just an alternative to nonrenewable sources. The best example of this is the adoption of solar panels in rural India to increase social acceptance of cost-effective energy solutions [79].
 
4.2. Interpretation Based on MICMAC
- 1.
 - Autonomous factors (Quadrant I): Here, no factors fall into this zone. This means that there is no factor with low dependence and low driving power.
 - 2.
 - Dependent factors (Quadrant II): The factors with low driving power and high dependence on the other factors are HCS&EC, TA&IE, and SCA&A.
 - 3.
 - Linkage factors (Quadrant III): This quadrant shows the factors that can drive other factors and are highly dependent on other factors. The results show that MDCA&A and RA&IR are linkage factors.
 - 4.
 - Driving or independent factors (Quadrant IV): Factors that have high independent or driving power and less dependence or weaker levels depending on other SEFs belong to this quadrant. The results indicate that the two most independent factors are RP&IS and FA&IC. Hence, these two factors are the major driving factors.
 
5. Discussion
6. Implications
6.1. Implications for Energy Entrepreneurship Theory
6.2. Implications for Policymakers, Practitioners, and Entrepreneurs
7. Future Directions Using the ADO Framework
7.1. Antecedents (Drivers)
- How do regulatory policies and institutional frameworks influence the formation and evolution of sustainable energy enterprises in emerging economies?
 - In what ways do financial accessibility and investment mechanisms drive technological advancement and infrastructure development in the context of sustainable energy transitions?
 
7.2. Decisions (Strategic Choices)
- How do government-led investments and policy incentives shape the strategic decisions of sustainable energy enterprises in adopting advanced technologies and infrastructure?
 - In what ways do collaboration between educational institutions and energy enterprises influence workforce development and entrepreneurial capacity in the renewable energy sector?
 
7.3. Outcomes (Effects of Decisions)
- What are the measurable impacts of strategic investments in technology and infrastructure on the scalability and performance of sustainable energy enterprises?
 - How do innovation-driven decisions contribute to improved energy access, social acceptance, and the achievement of long-term sustainability goals such as SDG 7 and SDG 13?
 
8. Conclusions
Author Contributions
Funding
Data Availability Statement
Acknowledgments
Conflicts of Interest
Abbreviations
| SEEs | Sustainable Energy Enterprises | 
| REN21 | Renewable Energy Policy Network for the 21st Century | 
| TISM | Total Interpretive Structural Modeling | 
| MICMAC | Cross-Impact Matrix Multiplication Applied To Classification | 
| ADO | Antecedents–Decisions–Outcomes | 
| SDGs | Sustainable Development Goals | 
| RP&IS | Regulatory Policies and Institutional Support | 
| FA&IC | Financial Accessibility and Investment Climate | 
| MDCA&A | Market Demand, Consumer Awareness, and Adoption | 
| TA&IE | Technological Advancements and Innovation Ecosystem | 
| RA&IR | Resource Availability and Infrastructure Readiness | 
| SCA&A | Sociocultural Attitudes and Acceptance | 
| HCS&EC | Human Capital, Skills, and Entrepreneurial Capacity | 
| PRISMA | Preferred Reporting Items for Systematic Reviews and Meta-Analyses | 
| WoS | Web of Science | 
| MCDM | Multi-Criteria Decision-Making | 
| ISM | Interpretive Structural Modeling | 
| IRM | Initial Reachability Matrix | 
| FRM | Final Reachability Matrix | 
| PRM | Partition Reachability Matrix | 
| RPS | Renewable Portfolio Standards | 
| NGOs | Nongovernmental Organizations | 
| CSR | Corporate Social Responsibility | 
| SEM | Structural Equation Modeling | 
| PSEEF | Pacific, the Sustainable Energy Entrepreneurship Facility | 
References
- Aridi, R.; Aridi, M.; Pannier, M.L.; Lemenand, T. Eco-environmental, and social impacts of producing electricity with various renewable energy sources. Energy 2025, 320, 135139. [Google Scholar] [CrossRef]
 - Su, C.W.; Song, X.Y.; Dou, J.; Qin, M. Fossil fuels or renewable energy? The dilemma of climate policy choices. Renew. Energy 2025, 238, 121950. [Google Scholar] [CrossRef]
 - Ullah, A.; Pinglu, C.; Khan, S.; Qian, N. Transition Toward Climate-Resilient Low-Carbon and Net-Zero Future Pathways: Investigating the Influence of Post-Paris Agreement and G-7 Climate Policies on Climate Actions in G-20 Using Quasi-Natural Experiments. In Sustainable Development; ERP Environment and John Wiley & Sons Ltd.: Hoboken, NJ, USA, 2025. [Google Scholar]
 - Raman, R.; Gunasekar, S.; Dávid, L.D.; Rahmat, A.F.; Nedungadi, P. Aligning sustainable aviation fuel research with sustainable development goals: Trends and thematic analysis. Energy Rep. 2024, 12, 2642–2652. [Google Scholar] [CrossRef]
 - Wang, J.; Duan, K.; Zheng, Y. Green supply chain management, green technology innovation and firms’ energy consumption intensity. Energy Econ. 2025, 141, 108133. [Google Scholar] [CrossRef]
 - Khezri, M.; Hasan, Q.M. Exploring the impacts of entrepreneurship indices on renewable energy mix: A cross-country study. Renew. Sustain. Energy Rev. 2024, 199, 114539. [Google Scholar] [CrossRef]
 - Atici, K.B.; Boz Semerci, A.; Kabakcı, H.; Shrestha, P. Introduction: A Comprehensive Look at Energy Entrepreneurship. In Energy Entrepreneurship, Sustainability, Innovation and Financing: Practical Applications and Future Directions; Springer Nature: Cham, Switzerland, 2025; pp. 1–7. [Google Scholar]
 - Bendig, D.; Brüss, L.; Degen, F. Entrepreneurship in the renewable energy sector: A systematic literature review of types, characteristics, and sustainability impacts. Renew. Sustain. Energy Rev. 2025, 212, 115337. [Google Scholar] [CrossRef]
 - Karimi, M.S.; Doostkouei, S.G.; Shaiban, M.; Easvaralingam, Y.; Khan, Y.A. Investigating the role of entrepreneurship in advancing renewable energy for sustainable development: Evidence from a System-GMM panel data approach. Sustain. Dev. 2024, 32, 3329–3343. [Google Scholar] [CrossRef]
 - Mahajan, R.; Bandyopadhyay, K.R. Women entrepreneurship and sustainable development: Select case studies from the sustainable energy sector. J. Enterprising Communities People Places Glob. Econ. 2021, 15, 42–75. [Google Scholar] [CrossRef]
 - Wijnker, M.; Van Kasteren, H.; Romijn, H. Fostering sustainable energy entrepreneurship among students: The business oriented technological system analysis (BOTSA) program at Eindhoven university of technology. Sustainability 2015, 7, 8205–8222. [Google Scholar] [CrossRef]
 - Peng, H.; Pan, Y. The effects of environmental regulations on the sustainable entrepreneurship from the perspective of dynamic capabilities: A study based on Chinese new energy enterprises. Front. Energy Res. 2024, 11, 1295448. [Google Scholar] [CrossRef]
 - Samantarai, M.; Dutta, S. Katherine Lucey and Solar Sister: Empowering women in sub-Saharan Africa to create clean energy businesses. CASE J. 2024, 20, 1368–1397. [Google Scholar] [CrossRef]
 - Basílio, M. Renewable energy and energy efficiency: An exploratory study in EU countries. Sustain. Futures 2025, 9, 100514. [Google Scholar] [CrossRef]
 - Özkan, O.; Ahmed, S.; Destek, M.A. Unearthing the importance of energy transition, political globalization, and natural resources on environmental degradation for Turkey: The role of economic growth and urbanization. Sustain. Futures 2024, 8, 100320. [Google Scholar] [CrossRef]
 - Franco, D.; Segers, J.P.; Herlaar, R.; Hannema, A.R. Trends in sustainable energy innovation: Transition teams. J. Innov. Manag. 2022, 10, 22–46. [Google Scholar] [CrossRef]
 - Pata, S.K.; Pata, U.K.; Wang, Q. Ecological power of energy storage, clean fuel innovation, and energy-related research and development technologies. Renew. Energy 2025, 241, 122377. [Google Scholar] [CrossRef]
 - Dash, A.K.; Agasti, N.R.; Kumar, V.; Behera, R.R.; Dash, R.K. Sustainable energy entrepreneurship in India: The transformative role of education. Agathos 2022, 13, 115–130. [Google Scholar]
 - Brockway, P.E.; Sorrell, S.; Semieniuk, G.; Heun, M.K.; Court, V. Energy efficiency and economy-wide rebound effects: A review of the evidence and its implications. Renew. Sustain. Energy Rev. 2021, 141, 110781. [Google Scholar] [CrossRef]
 - Heng, H.L.S. The influence of perceived role of government on energy efficiency improvement: Evidence from manufacturing firms in Malaysia. Margin J. Appl. Econ. Res. 2022, 16, 309–326. [Google Scholar] [CrossRef]
 - Sun, J. How does digital finance encourage the use of renewable energy in China? Inverse relationships from green finance. Environ. Sci. Pollut. Res. 2023, 30, 120576–120589. [Google Scholar] [CrossRef] [PubMed]
 - Shahzad, K.; Lu, B.; Abdul, D. Entrepreneur barrier analysis on renewable energy promotion in the context of Pakistan using Pythagorean fuzzy AHP method. Environ. Sci. Pollut. Res. 2022, 29, 54756–54768. [Google Scholar] [CrossRef] [PubMed]
 - Haldar, S.; Tripathi, T. What besets entrepreneurs in renewable energy sector?–Insights from the Indian state of Gujarat. Int. J. Energy Sect. Manag. 2022, 17, 209–226. [Google Scholar] [CrossRef]
 - Heiskanen, E.; Kivimaa, P.; Lovio, R. Promoting sustainable energy: Does institutional entrepreneurship help? Energy Res. Soc. Sci. 2019, 50, 179–190. [Google Scholar] [CrossRef]
 - Chikh-Amnache, S.; Mekhzoumi, L. The influence of socioeconomic factors on female entrepreneurship in Southeast Asian countries. J. Entrep. Emerg. Econ. 2024, 16, 33–70. [Google Scholar] [CrossRef]
 - Demir, S.C.; Boz Semerci, A.; Ulucan, A. A Review of Research on Energy Entrepreneurship. In Energy Entrepreneurship, Sustainability, Innovation and Financing; Springer: Berlin/Heidelberg, Germany, 2025; pp. 11–32. [Google Scholar]
 - Aparisi-Cerdá, I.; Ribó-Pérez, D.; García-Melón, M.; D’Este, P.; Poveda-Bautista, R. Drivers and barriers to the adoption of decentralized renewable energy technologies: A multicriteria decision analysis. Energy 2024, 305, 132264. [Google Scholar] [CrossRef]
 - Suriyankietkaew, S. Effects of key leadership determinants on business sustainability in entrepreneurial enterprises. J. Entrep. Emerg. Econ. 2023, 15, 885–909. [Google Scholar] [CrossRef]
 - Dall-Orsoletta, A.; Romero, F.; Ferreira, P. Open and collaborative innovation for the energy transition: An exploratory study. Technol. Soc. 2022, 69, 101955. [Google Scholar] [CrossRef]
 - Tang, Y.; Zhu, J.; Ma, W.; Zhao, M. A study on the impact of institutional pressure on carbon information disclosure: The mediating effect of enterprise peer influence. Int. J. Environ. Res. Public Health 2022, 19, 4174. [Google Scholar] [CrossRef] [PubMed]
 - Zhang, Y.; Lim, W. Sustainable strategy: Encouraging implementation in small enterprises. Manag. Decis. 2024, 63, 2202–2222. [Google Scholar] [CrossRef]
 - Nayak, R.; Pillai, K.R. Sustainable entrepreneurship research in emerging economies: An evidence from systematic review. J. Entrep. Emerg. Econ. 2024, 16, 495–517. [Google Scholar] [CrossRef]
 - Singh, U.; Rout, R.; Dutta, G.; Patel, M. Role of Technology Innovations in Providing Cutting Edge-Entrepreneurial Opportunities in India. J. Inform. Educ. Res. 2024, 4, 1–8. [Google Scholar]
 - Raihan, A.; Sarker, T.; Zimon, G. An investigation on the prospects, challenges and policy consequences of renewable energy technology development for India’s environmental sustainability. WSEAS Trans. Environ. Dev. 2024, 20, 365–390. [Google Scholar] [CrossRef]
 - Gielen, D.; Boshell, F.; Saygin, D.; Bazilian, M.D.; Wagner, N.; Gorini, R. The role of renewable energy in the global energy transformation. Energy Strategy Rev. 2019, 24, 38–50. [Google Scholar] [CrossRef]
 - Gayen, D.; Chatterjee, R.; Roy, S. A review on environmental impacts of renewable energy for sustainable development. Int. J. Environ. Sci. Technol. 2024, 21, 5285–5310. [Google Scholar] [CrossRef]
 - Kharb, R.; Shri, C.; Singh, P.; Bhatia, S.; Saini, N. Modeling the barriers of green financing in achieving environmental sustainability: An analysis using TISM. In Environment, Development and Sustainability; Springer: Berlin/Heidelberg, Germany, 2024; pp. 1–34. [Google Scholar]
 - Paul, J.; Khatri, P.; Kaur Duggal, H. Frameworks for developing impactful systematic literature reviews and theory building: What, Why and How? J. Decis. Syst. 2024, 33, 537–550. [Google Scholar] [CrossRef]
 - Alka, T.A.; Raman, R.; Suresh, M. Research trends in innovation ecosystem and circular economy. Discov. Sustain. 2024, 5, 323. [Google Scholar] [CrossRef]
 - Gatto, A.; Drago, C. When renewable energy, empowerment, and entrepreneurship connect: Measuring energy policy effectiveness in 230 countries. Energy Res. Soc. Sci. 2021, 78, 101977. [Google Scholar] [CrossRef]
 - Chatzinikolaou, D.; Vlados, C.M. On a New Sustainable Energy Policy: Exploring a Macro-Meso-Micro Synthesis. Energies 2025, 18, 260. [Google Scholar] [CrossRef]
 - Samajdar, S.; Bera, S.; Das, P.S.; Finch, H.; Dhanak, V.R.; Chakraborty, S.; Maiyalagan, T.; Annapurna, K.; Ghosh, S. Exploration of 1D–2D LaFeO3/RGO S-scheme heterojunction for photocatalytic water splitting. Int. J. Hydrogen Energy 2023, 48, 17838–17851. [Google Scholar] [CrossRef]
 - Mondal, S.; Jain, A.; Maity, S. Exploring the potential of tin-based perovskite-silicon tandem solar cells through numerical analysis: A pathway to sustainable energy innovation. Sol. Energy Mater. Sol. Cells 2024, 271, 112869. [Google Scholar] [CrossRef]
 - Guo, X. Exploring the synergy of blockchain technology and low-carbon innovation for enterprise sustainability for unlocking a sustainable energy. Front. Energy Res. 2023, 11, 1273267. [Google Scholar] [CrossRef]
 - Raman, R.; Pattnaik, D.; Kumar, C.; Nedungadi, P. Advancing sustainable energy systems: A decade of SETA research contribution to sustainable development goals. Sustain. Energy Technol. Assess. 2024, 71, 103978. [Google Scholar] [CrossRef]
 - Kassouri, Y.; Bilgili, F.; Peter Majok Garang, A. Are government energy technology research, development, and demonstration budgets converging or diverging? Insights from OECD countries. Technol. Anal. Strateg. Manag. 2022, 34, 563–577. [Google Scholar] [CrossRef]
 - Sapkota, S.; Hummel, M.; Zahan, M.; Karanam, S.P.; Bathi, J.; Shrestha, N.; Gu, Z.; Gadhamshetty, V. Graphene-Infused Hybrid Biobattery–Supercapacitor Powered by Wastewater for Sustainable Energy Innovation. Inorganics 2024, 12, 84. [Google Scholar] [CrossRef]
 - Yun, S.; Lee, J. Advancing societal readiness toward renewable energy system adoption with a sociotechnical perspective. Technol. Forecast. Soc. Change 2015, 95, 170–181. [Google Scholar] [CrossRef]
 - Falcke, L.; Zobel, A.K.; Comello, S.D. How firms realign to tackle the grand challenge of climate change: An innovation ecosystems perspective. J. Prod. Innov. Manag. 2024, 41, 403–427. [Google Scholar] [CrossRef]
 - Page, M.J.; McKenzie, J.E.; Bossuyt, P.M.; Boutron, I.; Hoffmann, T.C.; Mulrow, C.D.; Shamseer, L.; Tetzlaff, J.M.; Akl, E.A.; Brennan, S.E.; et al. The PRISMA 2020 statement: An updated guideline for reporting systematic reviews. BMJ 2021, 372, n71. [Google Scholar] [CrossRef] [PubMed]
 - Raman, R.; Sreenivasan, A.; Kulkarni, N.V.; Nedungadi, P. Analyzing the Contributions of Biofuels, Biomass, and Bioenergy to Sustainable Development Goals. iScience 2025, 28, 112157. [Google Scholar] [CrossRef] [PubMed]
 - Moher, D.; Liberati, A.; Tetzlaff, J.; Altman, D.G. PRISMA group. Prefer. Report. Items Syst. Rev. Meta-Anal. 2009, 2009, 151. [Google Scholar]
 - Raman, R.; Kowalski, R.; Achuthan, K.; Iyer, A.; Nedungadi, P. Navigating artificial general intelligence development: Societal, technological, ethical, and brain-inspired pathways. Sci. Rep. 2025, 15, 8443. [Google Scholar] [CrossRef] [PubMed]
 - Kain, D.; Findlater, A.; Lightfoot, D.; Maxim, T.; Kraemer, M.U.; Brady, O.J.; Watts, A.; Khan, K.; Bogoch, I.I. Factors affecting pretravel health seeking behavior and adherence to pretravel health advice: A systematic review. J. Travel Med. 2019, 26, taz059. [Google Scholar] [CrossRef] [PubMed]
 - Lim, W.M.; Yap, S.F.; Makkar, M. Home sharing in marketing and tourism at a tipping point: What do we know, how do we know, and where should we be heading? J. Bus. Res. 2021, 122, 534–566. [Google Scholar] [CrossRef] [PubMed]
 - Kotzampasakis, M. Maritime Emissions Trading in the EU: Systematic Literature Review and Policy Assessment. Transp. Policy 2025, 165, 28–41. [Google Scholar] [CrossRef]
 - Agrawal, R.; Agrawal, S.; Samadhiya, A.; Kumar, A.; Luthra, S.; Jain, V. Adoption of green finance and green innovation for achieving circularity: An exploratory review and future directions. Geosci. Front. 2024, 15, 101669. [Google Scholar] [CrossRef]
 - Sushil. Interpreting the interpretive structural model. Glob. J. Flex. Syst. Manag. 2012, 13, 87–106. [Google Scholar] [CrossRef]
 - Agarwal, S.; Kant, R.; Shankar, R. Modeling the enablers of humanitarian supply chain management: A hybrid group decision-making approach. Benchmarking Int. J. 2021, 28, 166–204. [Google Scholar] [CrossRef]
 - Zhao, L.; Wang, Q.E.; Hwang, B.G.; Chang-Richards, A.Y. Analysis of critical factors influencing sustainable infrastructure vulnerabilities using an ISM-MICMAC approach. Eng. Constr. Archit. Manag. 2024, 31, 3622–3652. [Google Scholar] [CrossRef]
 - Sreenivasan, A.; Suresh, M. Agile readiness for sustainable operations in start-ups. Int. J. Innov. Sci. 2024, 16, 166–192. [Google Scholar] [CrossRef]
 - Brodny, J.; Tutak, M.; Grebski, W.W. A Holistic Assessment of Sustainable Energy Security and the Efficiency of Policy Implementation in Emerging EU Economies: A Long-Term Perspective. Energies 2025, 18, 1767. [Google Scholar] [CrossRef]
 - Kaur, I.; Shri, C.; Mital, K.M. Modeling enhancement of team emotional intelligence. Vision 2016, 20, 184–198. [Google Scholar] [CrossRef]
 - Dalvi-Esfahani, M.; Nilashi, M.; Abumalloh, R.A.; Thurasamy, R.; Ahmad, M.S. Investigating the interrelationships between the barriers of green computing adoption: TISM-MICMAC-DEMATEL method. Qual. Quant. 2024, 59, 507–570. [Google Scholar] [CrossRef]
 - Gupta, L.; Sarkar, B.D.; Shankar, R. Strategic modeling for sustainable power grids: A comprehensive study on energy storage integration in India. In Journal of Modeling in Management; Emerald Publishing: Leeds, UK, 2025. [Google Scholar]
 - Kazançoğlu, Y.; Gozacan, N.; Luthra, S.; Kumar, A. Are we truly addressing the roadblocks to adoption of renewable and sustainable energy technologies? Total interpretive structural modeling approach. Environ. Sci. Pollut. Res. 2024, 31, 16846–16864. [Google Scholar] [CrossRef] [PubMed]
 - Chillayil, J.; PK, V.; Mahapatra, S.K.; Kottayil, S.K. Industrial energy behavior model: An analysis using the TISM approach. J. Sci. Technol. Policy Manag. 2023, 14, 74–97. [Google Scholar] [CrossRef]
 - Paridhi; Saini, N.; Shri, C. Environmental, social, and governance reporting adoption factors for sustainable development at the country level. Environ. Dev. Sustain. 2024, 27, 8003–8042. [Google Scholar] [CrossRef]
 - Jena, J.; Sidharth, S.; Thakur, L.S.; Kumar Pathak, D.; Pandey, V.C. Total interpretive structural modeling (TISM): Approach and application. J. Adv. Manag. Res. 2017, 14, 162–181. [Google Scholar] [CrossRef]
 - Suresh, M.; Arun Ram Nathan, R.B. Readiness for lean procurement in construction projects. Constr. Innov. 2020, 20, 587–608. [Google Scholar] [CrossRef]
 - Kushwaha, J.; Singh, P.; Sharma, A. Modeling the enablers of work-family balance among working single mothers integrating expert-mining and TISM-MICMAC. J. Organ. Eff. People Perform. 2023, 10, 501–526. [Google Scholar]
 - Poduval, A.; Ayyagari, M.S.; Malinda, M.; Kek, V.; Kumar, A.; Kandasamy, J. Barriers in repurposing an existing manufacturing plant: A total interpretive structural modeling (TISM) approach. Oper. Manag. Res. 2022, 15, 1315–1340. [Google Scholar] [CrossRef]
 - Ahmad, N. SmartISM 2.0: A Roadmap and System to Implement Fuzzy ISM and Fuzzy MICMAC. Sustainability 2024, 16, 8873. [Google Scholar] [CrossRef]
 - Bianco, D.; Godinho Filho, M.; Osiro, L.; Ganga, G.M.D.; Tortorella, G.L. The driving and dependence power between Lean leadership competencies: An integrated ISM/fuzzy MICMAC approach. Prod. Plan. Control 2023, 34, 1037–1061. [Google Scholar] [CrossRef]
 - Arantes, A.; Ferreira, L.M.D. Development of delay mitigation measures in construction projects: A combined interpretative structural modeling and MICMAC analysis approach. Prod. Plan. Control 2024, 35, 1164–1179. [Google Scholar] [CrossRef]
 - Suresh, M.; Dharunanand, R. Factors influencing sustainable maintenance in manufacturing industries. J. Qual. Maint. Eng. 2023, 29, 94–113. [Google Scholar] [CrossRef]
 - Menon, S.; Suresh, M. Modeling the enablers of sustainability in higher education institutions. J. Model. Manag. 2022, 17, 405–439. [Google Scholar] [CrossRef]
 - Musah, M.; Onifade, S.T.; Ankrah, I.; Gyamfi, B.A.; Amoako, G.K. Achieving net-zero emission target in Africa: Are sustainable energy innovations and financialization crucial for environmental sustainability of sub-Saharan African state? Appl. Energy 2024, 364, 123120. [Google Scholar] [CrossRef]
 - Barykin, S.E.; Sergeev, S.M.; Mottaeva, A.B.; De La Poza Plaza, E.; Baydukova, N.V.; Gubenko, A.V. Evaluating energy financing considerations and sustainable energy innovation with the role of financial development and energy development. Environ. Sci. Pollut. Res. 2023, 30, 6849–6863. [Google Scholar] [CrossRef] [PubMed]
 - Lu, J.; Ren, L.; Qiao, J.; Yao, S.; Strielkowski, W.; Streimikis, J. Corporate social responsibility and corruption: Implications for the sustainable energy sector. Sustainability 2019, 11, 4128. [Google Scholar] [CrossRef]
 - Alka, T.A.; Raman, R.; Suresh, M. Critical success factors for successful technology innovation development in sustainable energy enterprises. Sci. Rep. 2025, 15, 14138. [Google Scholar] [CrossRef] [PubMed]
 - Paul, J.; Benito, G.R. A review of research on outward foreign direct investment from emerging countries, including China: What do we know, how do we know and where should we be heading? Asia Pac. Bus. Rev. 2018, 24, 90–115. [Google Scholar] [CrossRef]
 - Khatri, P.; Duggal, H.K. Well-being of higher education consumers: A review and research agenda. Int. J. Consum. Stud. 2022, 46, 1564–1593. [Google Scholar] [CrossRef]
 - Thomas, A.; Gupta, V. Tacit knowledge in organizations: Bibliometrics and a framework-based systematic review of antecedents, outcomes, theories, methods and future directions. J. Knowl. Manag. 2022, 26, 1014–1041. [Google Scholar] [CrossRef]
 - Aggarwal, S.; Dsouza, S.; Joshi, M.; Antoun, R.; Phan, D.H.T. Environmental, social and governance investing: Systematic literature review using ADO model. J. Account. Lit. 2025. ahead-of-print. [Google Scholar] [CrossRef]
 - Yumnam, G.; Gyanendra, Y.; Singh, C.I. A systematic bibliometric review of the global research dynamics of United Nations Sustainable Development Goals 2030. Sustain. Futures 2024, 7, 100192. [Google Scholar] [CrossRef]
 - Ansari, M.A.A.; Sajid, M.; Khan, S.N.; Antohi, V.M.; Fortea, C.; Zlati, M.L. Unveiling the effect of renewable energy and financial inclusion toward sustainable environment: Does interaction of digital finance and institutional quality matter? Sustain. Futures 2024, 7, 100196. [Google Scholar] [CrossRef]
 - Aldieri, L.; Ioppolo, G.; Vinci, C.P.; Yigitcanlar, T. Waste recycling patents and environmental innovations: An economic analysis of policy instruments in the USA, Japan and Europe. Waste Manag. 2019, 95, 612–619. [Google Scholar] [CrossRef] [PubMed]
 - Hájek, P.; Stejskal, J. R&D cooperation and knowledge spillover effects for sustainable business innovation in the chemical industry. Sustainability 2018, 10, 1064. [Google Scholar] [CrossRef]
 - Badi, S.M.; Pryke, S.D. Assessing the quality of collaboration toward the achievement of Sustainable Energy Innovation in PFI school projects. Int. J. Manag. Proj. Bus. 2015, 8, 408–440. [Google Scholar] [CrossRef]
 - Smink, M.M.; Hekkert, M.P.; Negro, S.O. Keeping sustainable innovation on a leash? Exploring incumbents’ institutional strategies. Bus. Strategy Environ. 2015, 24, 86–101. [Google Scholar] [CrossRef]
 - Reijonen, S.; Croisel, R.P. The dynamics of innovation drivers: Client requirements and sustainable energy innovation uptake. J. Mod. Proj. Manag. 2017, 4. [Google Scholar] [CrossRef]
 - Grotenbreg, S.; Van Buuren, A. Facilitation as a governance strategy: Unraveling governments’ facilitation frames. Sustainability 2017, 9, 160. [Google Scholar] [CrossRef]
 - Spandagos, C.; Reanos, M.A.T.; Lynch, M.Á. Public acceptance of sustainable energy innovations in the European Union: A multidimensional comparative framework for national policy. J. Clean. Prod. 2022, 340, 130721. [Google Scholar] [CrossRef]
 - Carayannis, E.G.; Draper, J.; Crumpton, C.D. Democratic Engagement in Sustainable Energy Innovation: Applying the Quintuple Innovation Helix to Manage Accelerating Fusion Energy Through an IEA-Backed Global Commission. IEEE Trans. Eng. Manag. 2024, 71, 14293–14306. [Google Scholar] [CrossRef]
 - Raman, R.; Kautish, P.; Siddiqui, A.; Siddiqui, M.; Nedungadi, P. The role of metaverse technologies in energy systems toward sustainable development goals. Energy Rep. 2025, 13, 4459–4476. [Google Scholar] [CrossRef]
 - Dutta, S. Promoting Women’s Entrepreneurship in Distribution of Energy Technologies: Lessons from ENERGIA’s WEE Programme; Institute of Development Studies: Brighton, UK, 2020. [Google Scholar]
 - Pseef. Available online: https://www.pcreee.org/content/pcreee-sustainable-energy-entrepreneurship-facility-pseef (accessed on 22 March 2025).
 






| Sl. No | Designation | Total Years of Experience | 
|---|---|---|
| E1 | Senior Project Research Scientist–Energy | 1 year, 1 month | 
| E2 | Senior Energy Consultant | 8 years, 3 months | 
| E3 | General Secretary–Society of Energy Engineers and Managers | 1 year, 2 months | 
| E4 | Principal Energy Consultant, Co-founder & Professor | 3 years | 
| E5 | Accredited Energy Auditor | 5 years, 5 months | 
| E6 | Accredited Energy Auditor | 36 years, 4 months | 
| E7 | Founder | 4 years, 2 months | 
| E8 | Senior Associate in Energy | 7 years | 
| E9 | Engineer in Energy Systems | 1 year, 10 months | 
| E10 | Founder & Professor | I year, 8 months | 
| E11 | CEO | 12 years | 
| E12 | Certified Energy Auditor & Professor | 5 years | 
| RP&IS | FA&IC | MDCA&A | TA&IE | RA&IR | SCA&A | HCS&EC | |
|---|---|---|---|---|---|---|---|
| RP&IS | 1 | 1 | 1 | 1 | 1 | 1 | 1 | 
| FA&IC | 0 | 1 | 0 | 1 | 1 | 0 | 1 | 
| MDCA&A | 0 | 0 | 1 | 1 | 1 | 0 | 0 | 
| TA&IE | 0 | 0 | 0 | 1 | 0 | 1 | 0 | 
| RA&IR | 0 | 0 | 1 | 0 | 1 | 0 | 1 | 
| SCA&A | 0 | 0 | 0 | 0 | 0 | 1 | 0 | 
| HCS&EC | 0 | 0 | 0 | 1 | 0 | 0 | 1 | 
| RP&IS | FA&IC | MDCA&A | TA&IE | RA&IR | SCA&A | HCS&EC | |
|---|---|---|---|---|---|---|---|
| RP&IS | 1 | 1 | 1 | 1 | 1 | 1 | 1 | 
| FA&IC | 0 | 1 | 1 * | 1 | 1 | 1 * | 1 | 
| MDCA&A | 0 | 0 | 1 | 1 | 1 | 1 * | 1 * | 
| TA&IE | 0 | 0 | 0 | 1 | 0 | 1 | 0 | 
| RA&IR | 0 | 0 | 1 | 1 * | 1 | 1 ** | 1 | 
| SCA&A | 0 | 0 | 0 | 0 | 0 | 1 | 0 | 
| HCS&EC | 0 | 0 | 0 | 1 | 0 | 1 * | 1 | 
| RP&IS | FA&IC | MDCA&A | TA&IE | RA&IR | SCA&A | HCS&EC | |
|---|---|---|---|---|---|---|---|
| RP&IS | 1 | 1 | 1 | 1 | 1 | 1 | 1 | 
| FA&IC | 0 | 1 | 1 * | 1 | 1 | 1 * | 1 | 
| MDCA&A | 0 | 0 | 1 | 1 | 1 | 1 * | 1 * | 
| TA&IE | 0 | 0 | 0 | 1 | 0 | 1 | 0 | 
| RA&IR | 0 | 0 | 1 | 1 * | 1 | 1 ** | 1 | 
| SCA&A | 0 | 0 | 0 | 0 | 0 | 1 | 0 | 
| HCS&EC | 0 | 0 | 0 | 1 | 0 | 1 * | 1 | 
| Factor | Driving Power | Dependence | Driving Power/Dependence | MICMAC Rank | 
|---|---|---|---|---|
| RP&IS | 7 | 1 | 7.000 | 1 | 
| FA&IC | 6 | 2 | 3.000 | 2 | 
| MDCA&A | 5 | 4 | 1.250 | 3 | 
| TA&IE | 2 | 6 | 0.333 | 5 | 
| RA&IR | 5 | 4 | 1.250 | 3 | 
| SCA&A | 1 | 7 | 0.143 | 6 | 
| HCS&EC | 3 | 5 | 0.600 | 4 | 
| Component | Key Elements | Related SDGs | 
|---|---|---|
| Antecedents (A) | Regulatory policies and institutional support  Financial accessibility and investment Market demand Infrastructure readiness Technological advancements Skill development and human capital Social and cultural acceptance  | ![]()  | 
| Decisions (D) | Policy and investment strategies  Infrastructure and technology planning Skills and education alignment Community engagement and awareness initiatives  | ![]()  | 
| Outcomes (O) | Improved investment climate  Technological innovation and efficiency Expanded energy access and equity Social acceptance and sustainability adoption  | ![]()  | 
Disclaimer/Publisher’s Note: The statements, opinions and data contained in all publications are solely those of the individual author(s) and contributor(s) and not of MDPI and/or the editor(s). MDPI and/or the editor(s) disclaim responsibility for any injury to people or property resulting from any ideas, methods, instructions or products referred to in the content.  | 
© 2025 by the authors. Licensee MDPI, Basel, Switzerland. This article is an open access article distributed under the terms and conditions of the Creative Commons Attribution (CC BY) license (https://creativecommons.org/licenses/by/4.0/).
Share and Cite
Alka, T.A.; Raman, R.; Suresh, M. Analyzing the Causal Relationships Among Socioeconomic Factors Influencing Sustainable Energy Enterprises in India. Energies 2025, 18, 4373. https://doi.org/10.3390/en18164373
Alka TA, Raman R, Suresh M. Analyzing the Causal Relationships Among Socioeconomic Factors Influencing Sustainable Energy Enterprises in India. Energies. 2025; 18(16):4373. https://doi.org/10.3390/en18164373
Chicago/Turabian StyleAlka, T. A., Raghu Raman, and M. Suresh. 2025. "Analyzing the Causal Relationships Among Socioeconomic Factors Influencing Sustainable Energy Enterprises in India" Energies 18, no. 16: 4373. https://doi.org/10.3390/en18164373
APA StyleAlka, T. A., Raman, R., & Suresh, M. (2025). Analyzing the Causal Relationships Among Socioeconomic Factors Influencing Sustainable Energy Enterprises in India. Energies, 18(16), 4373. https://doi.org/10.3390/en18164373
        

       

