Abstract
Taconis oscillations represent spontaneous excitation of acoustic modes in tubes with large temperature gradients in cryogenic systems. In this study, Taconis oscillations in hydrogen and helium systems are enhanced with a porous material resulting in a standing-wave thermoacoustic engine. A theoretical model is developed using the thermoacoustic software DeltaEC, version v6.4b2.7, to predict system performance, and an experimental apparatus is constructed for engine characterization. The low-amplitude thermoacoustic model predicts the pressure amplitude, frequency, and temperature gradient required for excitation of the standing-wave system. Experimental measurements, including the onset temperature ratio, acoustic pressure amplitudes, and frequencies, are recorded for different stack materials and geometries. The findings indicate that, independent of stack, hydrogen systems excite at smaller temperature differentials than helium (because of different properties such as lower viscosity for hydrogen), and the stack geometry and material affect the onset temperature ratio. However, pressure amplitude in the excited states varies minimally. Initial measurements are also conducted in a cooling setup with an added regenerator. The configuration with stainless-steel mesh screens produces a small cryogenic refrigeration effect with a decrease in temperature of about 1 K. The reported characterization of a Taconis-based thermoacoustic engine can be useful for the development of novel thermal management systems for cryogenic storage vessels, including refrigeration and pressurization.
1. Introduction
Thermoacoustic instabilities involve self-excited sound waves associated with the Raleigh criterion, stating that acoustic motion of the fluid is encouraged when heat is added to the fluid during compression and removed when the fluid is rarified [1]. Early experimental studies of these instabilities include the work of Higgins [2], producing oscillations using a hydrogen flame inside a tube, and Sondhauss [3], exploring oscillations in geometries that generated sound observed during the process of glass blowing. Rijke qualitatively analyzed acoustic fluctuations in a vertical tube with a heated screen [4]. Theoretical analyses of thermoacoustic instabilities began with Lehmann [5] and Merk [6]. Rott [7] expanded upon early theories and established the fundamental low-amplitude approximations for quantitative analysis of these phenomena. Later, Swift [8] supplemented Rott’s theory to account for different elements and geometries in thermoacoustic systems. This has enabled modeling of a broad range of operational conditions and configurations.
Additionally, cryogenic-specific Taconis oscillations are also classified as a thermoacoustic phenomenon. These oscillations represent acoustic waves spontaneously appearing inside piping networks of low-temperature fluid systems. These are named after Taconis, who discovered oscillations in a tube inserted into a liquid helium dewar [9,10]. Taconis phenomena are generally detrimental and a concern for cryogenic dewars, due to augmented heat leaks from the warm environment to the cryogenic space, resulting in increased boil-off rates of cryogenic fluids such as helium and hydrogen. Research by Yazaki et al. [11] reported experimental measurements of the temperature ratios required for oscillations in helium systems and found good agreement with the calculated limits provided by Rott [12]. A doctoral dissertation by Gu [13] under the direction of Timmerhaus and associated studies [14,15,16] present experimental data and analysis of Taconis oscillations with helium and continuous temperature profiles from ambient to cryogenic conditions in setups rather than previous studies with step-change profiles. A recent comprehensive experimental study by Shenton et al. [17] investigated Taconis oscillations in geometries with hydrogen (as well as helium). This work discussed the prevalence of oscillations in hydrogen systems and agreed with Rott and Swift’s theoretical framework for predicting the onset conditions. Matveev [18] numerically analyzed the addition of porous inserts and compact resonators in piping networks with hydrogen. It was found that these elements either dampen or excite Taconis oscillations depending on the dimensions and positions of these elements. With the rapid development of liquid hydrogen systems for a variety of applications (stationary storage, fuel tanks for transportation means, etc.), there will be many different cryogenic piping arrangements introduced, which could be prone to oscillations [19].
Taconis oscillations can be augmented to produce a cryogenic thermoacoustic engine. Thermoacoustic engines use porous matrices to enhance the acoustic power produced due to large temperature gradients [8]. Carter and Feldman [20] measured the increase in acoustic amplitude with a porous matrix in a Sondhauss tube. Arnott et al. [21,22] measured the acoustic impedance at the open end of these preliminary thermoacoustic engines and developed formulations for arbitrarily shaped pores. Several prototype engines have been developed by Los Alamos National Laboratory and summarized in Swift’s textbook [8]. These prototypes usually employ a heating block and a porous stack to generate (often with helium as the working fluid) useful acoustic power output [23,24]. Thermoacoustic engines are usually classified as either standing-wave or traveling-wave. A standing-wave system is similar in principle to the Sondhauss tube, where the pressure and velocity waves are out of phase, relying on imperfect thermal contact between the gas particles and the porous material to convert thermal energy to acoustic energy. A traveling-wave system utilizes in-phase pressure and velocity waves. Ceperley et al. [25] discussed initial ideas for traveling-wave engines and identified thermodynamic similarities to Stirling cycles. A few additional studies have looked at engines driven by cryogenic temperature gradients. Zinovyev et al. [26] simulated a traveling-wave system with helium as the working fluid using cryogenic temperatures to produce oscillations. They calculated a reduction in the required temperature gradient for oscillations when using cryogenic temperatures rather than heating the system. Wang et al. [27] modeled a traveling-wave engine with helium as the working fluid using liquid natural gas in flow-through heat exchangers to produce the temperature gradient required for oscillations. Sun et al. [28] simulated and experimentally verified a three-stage coupled traveling-wave engine using liquid nitrogen to achieve the required temperature gradient.
Thermoacoustic oscillations produced by engines can also be inverted to pump heat from cold to hot reservoirs. In this case, acoustic power is supplied, while the porous insert in a resonator serves as the media where heat is removed from the cold space. High-frequency pulse tube refrigerators rely on thermoacoustic processes as the working principle [29]. Recent reviews by Jin et al. [30] and Huang et al. [31] discuss different thermoacoustic engines, refrigerators, and working fluids. These works also mention hydrogen mixtures as the working fluid. However, no thermoacoustic system has been developed for enhancing Taconis oscillations in cryogenic hydrogen systems to perform as a thermoacoustic engine or refrigerator.
Long-term storage solutions for liquid hydrogen are imperative for the commercialization of hydrogen as a clean and renewable energy carrier. The present study is motivated by the increasing importance of reducing or eliminating boil-off losses in liquid hydrogen storage vessels [32], as well as pressurizing tanks by deliberately streaming heat into the cryogenic space without the use of internal heaters. A possible robust and potentially efficient cooling solution is to use a thermoacoustic engine outside a cryogenic tank while transferring acoustic power into a regenerator at the cryostat boundary to remove heat from the cold space. Additionally, enhancing Taconis oscillations with the use of a porous matrix and a controlled acoustic network outside the tank can be used for tank pressurization [33].
The current study is relevant to both applications, but of a more fundamental nature than practical devices. Here, we aim to characterize the enhancement of Taconis oscillations as an acoustic driving mechanism in the form of a standing-wave thermoacoustic engine using hydrogen and helium as working fluids and operating between ambient and cryogenic temperatures. The development of a theoretical model to analyze the system performance, including acoustic amplitude, frequency, and oscillation onset cold temperature is given in Section 2. The experimental apparatus is discussed in Section 3. The obtained measurements using different insert materials with both hydrogen and helium are presented and compared to the theoretical predictions in Section 4. Preliminary results for a combined standing-wave engine and refrigerator are also discussed.
2. Modeling of Thermoacoustic System
2.1. Governing Equations
Primary modeling of the engine and refrigerator is carried out using the program DeltaEC (Design Environment for Low-amplitude Thermoacoustic Energy Conversion), version v6.4b2.7, developed at Los Alamos National Laboratory [34,35]. This simulation package numerically solves the governing equations shown below for a wide range of geometries and components.
A thermoacoustic device portrayed in DeltaEC consists of several elements (ducts, heat exchangers, stacks, etc.) that are represented as an acoustic circuit. These elements are discretized into a set of nodes along the tubing geometry. Spatial variations in the acoustic pressure and volumetric velocity amplitudes, and , oscillating with angular frequency , and total enthalpy flow are calculated using one-dimensional thermoacoustic equations [7,8,35],
where is the axial coordinate along an element, is imaginary unity, and is the cross-sectional area occupied by gas (while index corresponds to the tubing material properties). Thermodynamic variables , , and are the mean temperature, density, and pressure of the fluid, is the specific heat ratio, is the thermal expansion coefficient of the fluid, and is the Prandtl number. Since all properties fluctuate in time due to acoustic oscillations and vary over cross-sectional areas, the mean values for properties in the fluid are averaged over both the acoustic cycle and the cross-sectional area. The variables , , and are the viscosity, specific heat, and thermal conductivity of the fluid. The correction factor accounts for temperature fluctuations in the tube wall material. and are the real and imaginary component of a parameter and the (~) represents the complex conjugate. These one-dimensional equations are low-amplitude conservation equations using the ideal gas equation of state to couple thermodynamic and acoustic properties. The thermal and viscous thermoacoustic functions and depend on the geometry of the element. The following equations are given for circular tubes [8],
where is the tube radius, and are the viscous and thermal penetration depths (indices and correspond to viscous and thermal quantities), scales with the ratio of tube radius to the respective penetration depth, and and are Bessel functions of the zero and first order, respectively. To approximately account for thermal fluctuations in a tube wall, the expression for can be utilized [35],
where the parameter is the thermal penetration depth of the tube calculated using solid material properties, and parameters , , , and are the thermal conductivity, density, specific heat, and thickness of the tube wall, respectively.
The thermodynamic properties of helium and hydrogen are given by the ideal gas equation of state with empirical data for transport properties. Material properties are calculated using fitted equations. These values are inherently implemented into DeltaEC and can be found in the manual [35]. It can be noted that in the case of hydrogen, no ortho-parahydrogen conversion was considered, as natural conversion is very slow, and no catalyst was used in this work, so only normal hydrogen was used in the model. After the system geometric configuration is created and properties are defined, the shooting method is applied to find solutions for the one-dimensional equations, while satisfying boundary conditions defined by the user. More details on the solver can be found in [34,35].
The process for creating a thermoacoustic model is shown in Figure 1. In general, manipulating an existing robust file is more efficient than creating an entirely new model, but new models are needed for unique thermoacoustic systems. When starting a new model, it is useful to produce an initial calculation for frequency [34,35]. In DeltaEC, the ‘BEGIN’ segment specifies initial parameters such as the working fluid, mean pressure, frequency, and temperature of the system. When creating a new model, these parameters can be initially left as constant values. Each geometric element is added separately into the system with the correct dimensions, and the simulation is run to check at values before and after the new element. Once all geometric constraints are imposed and the simulation calculates values of variables, then the guesses and targets feature can be utilized to implement desired boundary conditions. It is advisable to have the simulation converge for each new boundary condition individually before introducing the next one. After convergence with all boundary conditions, the model has predicted the performance of the system and can be used for parametric studies.
Figure 1.
Flowchart for recommended simulation process using DeltaEC.
2.2. Models for Thermoacoustic Engine and Refrigerator
The thermoacoustic simulation developed in this study has been implemented with 16 total elements, including the use of four heat exchangers, an engine stack and regenerator, and elements for the resonator network (Figure 2).
Figure 2.
Block diagram utilized in DeltaEC.
The geometric model of the system starts at the warm duct for the working fluid, designated as the ‘BEGIN’ block for acoustic parameters. The ‘SURFACE’ block designates the solid wall at the ambient end of the system. The next few blocks describe the duct and the ambient heat exchanger. A ‘DUCT’ segment assumes that the temperature is constant along the length of the pipe, which resembles the experimental tubing network in the ambient environment. The core of the thermoacoustic engine consists of two circular-pore (‘TX’) heat exchangers with a stack (STK’) between them. The busbar heat exchanger is connected to the cryocooler to create the temperature gradient. The ‘MINOR’ blocks account for non-linear acoustic losses with coefficients found through calibration against experimental data, as discussed in Section 4. DeltaEC utilizes a stack element (called ‘STK-’ in Figure 2) to model different stack configurations, computing the temperature profile along the segment. The end of the engine stack attaches to the busbar cold heat exchanger. After the cold heat exchanger, another ‘STK-’ segment appears to model a cooling regenerator (in the refrigerator configuration). When characterizing just the thermoacoustic engine, a duct was used in the system by utilizing ‘STKDUCT’ instead of the regenerator. The rest of the model consists of the resonator network, including the inertance tube and compliance volume. The compliance is also connected to the thermal busbar to keep the temperature similar to that of the thermal busbar. The heat exchanger next to the compliance is used to simulate the heat removed from the compliance to the thermal busbar. A ‘HARDEND’ boundary condition is implemented after the compliance to balance the energy transfer through the system and ensure zero velocity at the compliance wall.
DeltaEC utilizes user input targets and guesses (Table 1) for the model that dictate the initial and boundary conditions. For the studied thermoacoustic device, the guesses include frequency, pressure amplitude, and heat transfer rates through the heat exchangers. The ‘BEGIN’ segment before the initial ducting of the system initializes the ambient temperature and zero velocity at the beginning of the system. The targets include the zero-velocity condition at the rigid ends, a constant thermal busbar temperature, and no energy transfer at the end of the system. All power flow is dissipated by the end of the resonator and is represented as no enthalpy transport in the compliance segment. The rigid-wall condition after the compliance is set by enforcing the zero-inverse impedance, ensuring zero velocity, as impedance is defined as . The final target includes the temperature of the thermal busbar and is set by the user as the value at the compliance for temperature continuity. Theoretical predictions for the temperature profile located at the thermal busbar and below the regenerator section, along with the pressure amplitude at the ‘BEGIN’ segment, are compared to the experimental measurements.
Table 1.
DeltaEC model inputs.
3. Experimentation
A standing-wave thermoacoustic engine with an add-on regenerator segment is constructed to investigate four stack materials and two fluids (helium and hydrogen) using cryogenic temperatures at the cold heat exchanger. The highest pressure-amplitude and lowest temperature gradient required for thermoacoustic oscillations in the engine are the primary metrics of interest in this work.
3.1. Experimental Design
3.1.1. Standing-Wave Engine and Refrigerator
A closed cryostat using a Sumitomo RDK415D2 cryocooler (Allentown, PA, USA) with a cooling capacity of 20 W at 20 K is utilized to create the cryogenic environment. The construction and performance of this cryostat is described by Shenton et al. [36]. The system is shown in Figure 3 which allows for cold temperature control, regulation of the mean pressure inside the experimental tube, and temperature measurements at key components (shown by red diamonds in Figure 3). The cryostat reaches vacuum levels near Pa. This apparatus is designed as a thermal dead end so that energy must be transferred out of the system via the thermal busbar and cryocooler.
Figure 3.
Experimental cryostat diagram with thermoacoustic engine and add-on refrigerator segment. Diamond symbols indicate temperature sensor locations.
In the ambient environment, a heat exchanger and inlet duct are mounted to the roof of the cryostat. This heat exchanger is insulated, and a cartridge heater supplies energy to the fluid maintaining an ambient temperature of approximately 300 K measured by two type-K thermocouples. Inside the vacuum chamber, a set of connected pipes form the thermoacoustic system. The acoustic driving segment, also serving as a stainless-steel thermal standoff, is filled with stack material and connected to the copper thermal busbar, acting as a heat sink. The copper thermal busbar is attached to the cryocooler first stage creating the temperature differential between ambient and cryogenic states. Two cartridge heaters are mounted in the thermal busbar to control the temperature gradient along the engine stack. Another stainless-steel thermal standoff is connected below the thermal busbar. In refrigeration tests, this tube is filled with regenerator material. This standoff is followed by the acoustic network consisting of an inertance tube and a compliance volume. Indium metal is utilized as a sealant at connections between the engine and refrigerator sections and the thermal busbar. The inertance tube and the compliance are welded together. The compliance is connected back to the thermal busbar using a thermal strap to minimize transfer of dissipated acoustic energy from the compliance into the refrigerator stack. A copper and multi-layered insulation (MLI) shield (32 layers) is wrapped around the experimental components to reduce radiative heat transfer from the walls of the cryostat. Several temperature sensors are mounted on the thermal busbar and the bottom of the refrigerator stack to determine the temperature profile associated with the refrigerator. Table 2 summarizes the main dimensions of the thermoacoustic system.
Table 2.
Geometry of thermoacoustic system.
3.1.2. Stacks
Different materials and pore sizes are tested as stacks, including two stainless-steel mesh screens, two porous Celcor® ceramic blocks, and stainless-steel pellets. The details of these materials are given in Table 3, and their physical representation is shown in Figure 4. Porosity and hydraulic radius of the mesh screens is calculated using the following equations from Swift’s textbook [8]:
where is porosity, is mesh size, is diameter of the wire and is the hydraulic radius. The acoustic equations used to account for tortuous mesh media use empirical constants that assume penetration depths much larger than the hydraulic radius [35]. The porosity for the ceramic stacks is calculated using the equation for rectangular channels given in the manual for DeltaEC [35] and is given as
where is the thickness of material between channels, is the width of the channel, and is the height of the channel. The porosity of the spherical pellets is given by the volume of the void space due to the spheres over the total volume of the tube, which is calculated [37] as
where and are the diameters of the pellet and tube, respectively.
Table 3.
Material parameters for the engine stack and regenerator.
Figure 4.
Stack materials in the thermoacoustic engine and refrigerator.
3.1.3. Instrumentation
The instrumentation for measuring the acoustic pressure, frequency, and temperature profile is summarized in Table 4. Two Omega™ (Swedesboro, NJ, USA) type K thermocouples (sensors 1 and 2) are inserted into the copper hot heat exchanger. These temperatures are recorded utilizing an Omega™ datalogger. Cernox® sensors from Lakeshore™ (Westerville, OH, USA) are installed on the thermal busbar and the regenerator tube (sensors 3 and 4). Sensors 5 and 6 are calibrated silicon diodes acquired from Lakeshore™.
Table 4.
Instrumentation used in experimental studies.
A PCB™ (Depew, NY, USA) model 11b321 dynamic pressure transducer records the acoustic pressure oscillations at the inlet duct. The mean pressure is measured by a digital pressure transducer. A 50 W and 100 W Lakeshore™ cartridge heaters, connected to an external power supply, are embedded into the thermal busbar to maintain a desired cold temperature, while another 50 W cartridge heater is inserted into the hot heat exchanger to maintain consistent ambient conditions.
3.2. Experimental Processes
Each experimental study started with achieving the desired mean pressure of the system. The inlet valve on the top of the system is open, allowing gas to enter the tube. Ultra-high purity (99.999%) helium and hydrogen are sourced for experimental measurements. The working fluid is regulated to the desired pressure from gaseous cylinders connected to the system. The inlet valve is closed after reaching the desired pressure. This introduced mass is held constant during the experimental runs. After pressurizing the system, the cryocooler is started and cooling occurs on the thermal busbar. The temperature difference between the thermal busbar and the ambient environment is adjusted using the cartridge heaters. A power supply introduces a constant amperage, and the voltage is measured in a 4-lead arrangement described in Ekin et al. [38].
The recorded data consists of the temperature values, acoustic pressure amplitude, and acoustic frequency. A Labview™ program is created using the Tone Measurements library [39,40] to determine the acoustic pressure and dominant frequency using a Fast Fourier Transform.
3.2.1. Thermoacoustic Engine
The onset temperature (when acoustic oscillations appear), frequency, and amplitude are the main parameters selected to characterize the performance of the thermoacoustic engine. The cryocooler is turned on to cool down the system. After the system temperature drops below 120 K, the cartridge heaters are activated to maintain the cold temperature of the system at desired values using a proportional, integral, derivative (PID) algorithm. The main parameters are continuously measured and recorded in the Labview™ program. Once the system has reached a steady state at a given cold temperature, determined by consistent temperature readings within the sensor uncertainty for a period of 15 min, the thermal busbar is set to decrease by 10 K increments, reducing power supplied to the heaters embedded in the thermal busbar. This process continues until no external heat from the cartridge heater is applied to the system. After the system has reached equilibrium with no external heat applied, the temperature of the thermal busbar is increased by 10 K increments using heaters until the thermal busbar reaches 120 K. The oscillation onset temperature and corresponding acoustic frequency are determined when the pressure amplitude registers above the noise level of the dynamic pressure transducer.
3.2.2. Thermoacoustic Refrigerator
Several additional tests were conducted with another stack placed in the tube segment below the thermal busbar, aiming to check if refrigeration can be attained in the present system. When quantifying these setups, the same procedure as for the engine-only system is followed until oscillations are excited. The important parameters in these studies are the acoustic amplitude, frequency, and the temperature difference between locations above and below the added stack (sensors 3 and 5 in Figure 3). When the refrigerator is actively removing energy from the colder space, the temperature at sensor 5 should be lower than the temperature at sensor 3. Once oscillations are present in the system, the temperature of the thermal busbar is allowed to equilibrate to determine the temperature difference across the cooling stack. Then, the temperature of the thermal busbar is decreased to the minimum limit without any external heat applied. The system is allowed to reach equilibrium again, and the temperature difference is recorded. After the system has equilibrated, the mean pressure is increased in the system to determine the cooling effect in relation to the mean pressure.
4. Results and Discussion
Several sets of experimental measurements have been collected to characterize self-excited acoustic oscillations in the cryogenic thermoacoustic engine. Comparisons of test results are made between different stack configurations, system mean pressures, with both helium and hydrogen as the working fluids. In addition, the best performing materials are tested in a configuration with the refrigerating stack to determine the potential for thermoacoustic heat pumping.
4.1. Cryogenic Thermoacoustic Engine
4.1.1. Engine Performance with Different Stack Configurations
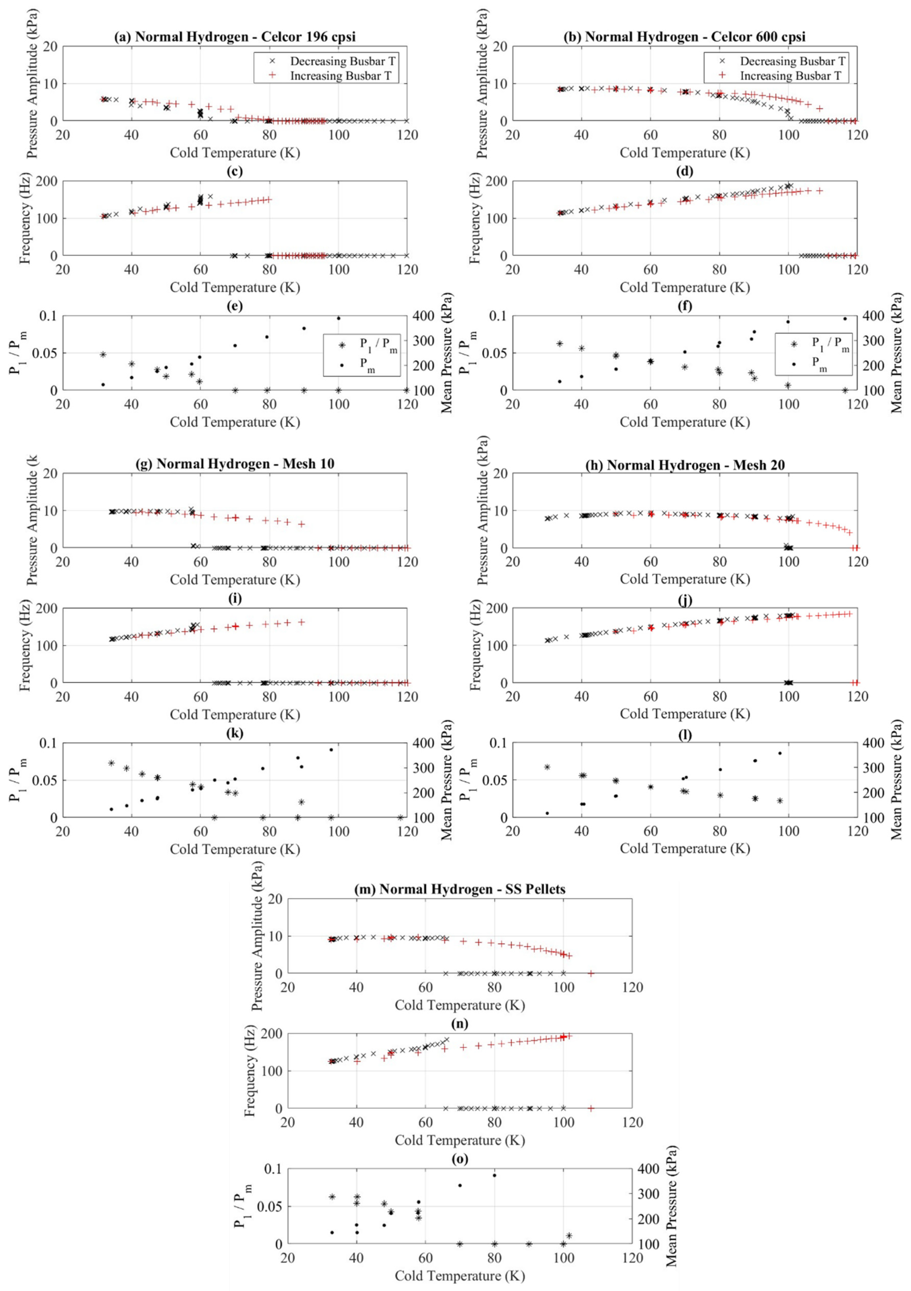
Five stack types are tested to explore performance in the thermoacoustic device. The measured parameters, including the onset temperature, frequency, and pressure amplitude, are shown in Figure 5. During experiments, it is noted that there is significant hysteresis in the temperature measurements depending on thermal busbar manipulation. When the thermal busbar is cooling and no oscillations exist, a larger temperature gradient is required to excite the oscillations. When heating the thermal busbar with present oscillations, the acoustic mode continues to be excited above the initial cold onset temperature before attenuating out at a smaller temperature gradient. The primary reported metric is the onset condition when the thermal busbar (cold) temperature is decreasing. In Figure 5, experimental measurements are shown for both the decreasing (black x) and increasing (red +) cold temperature. The measured frequencies of the system are very similar for all configurations, as the resonator network is consistent through each trial except for the stainless-steel pellets, which have a higher frequency at onset. Both the mean pressure and acoustic pressure ratio are given, as the fluid mass was kept constant in the system to ensure accurate comparisons between stacks. All stacks were at a mean pressure of approximately 400 kPa at 120 K for the presented experimental data in Figure 5.
Figure 5.
Experimental measurements of acoustic pressure amplitude, acoustic frequency, and non-dimensional pressure amplitude with normal hydrogen for (a,c,e) Celcor 196 cpsi, (b,d,f) Celcor 600 cpsi, (g,i,k) mesh 10, (h,j,l) mesh 20, and (m,n,o) SS pellets. Black crosses (x) and red crosses (+) in (a-d), (g-j) and (m,n) correspond to decreasing and increasing cold temperature, respectively. Stars (*) and dots (.) in (e,f), (k,l), and (o) correspond to relative acoustic pressure amplitude and mean pressure, respectively.
The first two stacks are Celcor® with different sizes of square pore channels. The larger pore size (less pores per square centimeter) resulted in an onset temperature near 63 K while the smaller pore size (more pores per square centimeter) has an onset temperature near 100 K (Figure 5a,b). The maximum amplitude for the larger pore size is the lowest out of all the configurations, near 6 kPa, which almost hits 5% of the mean pressure (Figure 5e). The smaller pore size has a larger amplitude of 8 kPa, approximately 6% of the mean pressure (Figure 5f). The second pair of stacks are the stainless-steel mesh screens of mesh numbers 10 and 20. The larger pore size has an onset temperature close to the larger pore size of the ceramic, near 57 K. The smaller pore size has an onset temperature close to 100 K, following the same trend as the ceramic (Figure 5g,h). The maximum acoustic amplitude of the mesh with a larger pore size is 10 kPa, and a mesh with the smaller pore size reaches an amplitude of 9 kPa, which equates to 7% and 6% of the respective mean pressure (Figure 5k,l).
The final stack used in the engine consisted of stainless-steel pellets with 2.5 mm diameter randomly packed into the tube. Two stainless-steel screens are utilized next to the heat exchangers to prevent the pellets from migrating into other parts of the system. The onset temperature for the system is approximately 65 K (Figure 5m). The pellets also affected the frequency of the system. The frequency (Figure 5n) at the onset temperature is 180 Hz, higher than for the other stack configurations at a similar temperature. The maximum amplitude for the system is similar to the other configurations at approximately 6% of the mean pressure in the system (Figure 5o).
The ratio between the hydraulic radius and the thermal penetration depth is calculated and compared between the different stack configurations shown in Table 5. Relative sizing of the porous stack can be compared to the thermal penetration depth to calculate approximate dimensions for optimal performance. A standing-wave engine stack [8] should have a thermal penetration depth of a similar order to the hydraulic radius ( to achieve optimal performance. From Table 5, the mesh 20 and Celcor 600 cpsi stacks have the smallest overall ratio, with mesh 20 equaling 2.7 and Celcor 600 at 1.8. This ratio is calculated per Equation (12) at the onset conditions for each stack material. The mesh 10 stack had the highest ratio at 6.1. The stacks with the ratio closest to unity with the hydraulic radius show better performance. The thermal boundary layer is approximately the size of the pore to effectively compress and expand the working fluid.
Table 5.
Ratio of hydraulic radius to thermal penetration depth at the onset conditions for different stack materials.
The best performance for the thermoacoustic engine is considered through the maximum achieved pressure amplitude and the smallest warm-to-cold temperature ratio required for oscillations to occur. The lowest temperature ratio (Figure 6a) is approximately 2.9 for the Celcor® ceramic with a smaller pore size, while the smaller pore size stainless-steel mesh is similar with an onset temperature ratio of 3.0. The rest of the stack configurations have an onset temperature ratio above 4.5, with the larger pore size stainless-steel mesh having the largest temperature ratio at approximately 4.9. The larger stainless-steel mesh and the pellets have the highest amplitude at the coldest thermal busbar temperatures at approximately 9.5 kPa, while the smaller pore size mesh and ceramic reach amplitudes around 8.5 kPa (Figure 6b). The smaller pore-sized mesh and ceramic also have amplitudes near 7 and 8.5 kPa, respectively, at 80 K. The rest of the configurations did not have an amplitude, as the temperature ratio was not large enough to excite the system. Thus, the best-performing stack is regarded as the mesh 20 stainless-steel screens due to the low onset temperature ratio and high amplitude over the cold temperature range (higher than for Celcor 600 at 60–80 K cold temperature). This stack was selected as the driver core for the thermoacoustic refrigerator discussed below.
Figure 6.
Comparisons of (a) onset temperature ratio; (b) experimental acoustic pressure amplitudes for different stack materials.
4.1.2. Engine Performance at Different Mean Pressures
In addition to manipulating the stack materials, the mean pressure of the system is varied. Figure 7 shows an example utilizing the mesh 20 stainless-steel screens. The mean pressure in the system is increased by a factor of two from the initial test, with the mean pressure of the system near 800 kPa. The onset temperature of the system decreases with the increase in mean pressure from approximately 100 K to 80 K, as shown in Figure 7a,b, which is a consistent trend with the findings on Taconis oscillations from Shenton et al. [17]. Increasing mean pressure shrinks the thermal penetration depth, which increases the ratio, making it less favorable for acoustic excitation, as shown in Table 5. When oscillations are present in the system, the amplitude is near 17 kPa at higher pressure rather than 9 kPa at the lower pressure. Although the absolute value of the amplitude increases with mean pressure, both systems still exhibit oscillations at approximately 6% of the mean pressure in the system (Figure 7e,f). The frequency of the system is similar for both mean pressures, as the speed of sound varies little with pressure. This trend continues for the other stack configurations, where the amplitude of oscillations is greater with increased mean pressure, but each configuration has a similar ratio of amplitude to mean pressure regardless of mean pressure value.
Figure 7.
Comparisons of experimental data for acoustic pressure amplitude, acoustic frequency, and non-dimensional pressure amplitudes for (a,c,e) lower mean-pressure normal hydrogen. (b,d,f) higher mean-pressure normal hydrogen. Black crosses (x) and red crosses (+) in (a-d) correspond to decreasing and increasing cold temperature, respectively. Stars (*) and dots (.) in (e,f) correspond to relative acoustic pressure amplitude and mean pressure, respectively.
4.1.3. Engine Performance with Helium and Hydrogen
Acoustic characteristics for the Celcor® 600 cpsi ceramic stack are shown in Figure 8 to illustrate differences between helium and hydrogen. The onset temperature for both fluids using the ceramic structure is approximately 100 K, with hydrogen having a slightly higher onset temperature than helium (Figure 8a,b). The frequency of hydrogen at the onset condition is also higher than the frequency with helium at approximately 185 Hz rather than 138 Hz (Figure 8c,d), because of the higher speed of sound with hydrogen. The amplitude of oscillations followed the same curvature, increasing as the thermal busbar temperature decreased until the effect of the mean pressure reduced the overall amplitude of the system. The system with hydrogen has higher amplitudes than with helium. Both systems reach a maximum amplitude equal to 6% of the mean pressure (Figure 8e,f). For all other configurations, the engine performance was similar for both working fluids, with hydrogen outperforming helium in both amplitude and onset temperature by approximately 3%.
Figure 8.
Comparisons of experimental measurements for acoustic pressure, acoustic frequency, and non-dimensional pressure amplitude with Celcor 600 cpsi stack for (a,c,e) helium and (b,d,f) normal hydrogen. Black crosses (x) and red crosses (+) in (a-d) correspond to decreasing and increasing cold temperature, respectively. Stars (*) and dots (.) in (e,f) correspond to relative acoustic pressure amplitude and mean pressure, respectively.
4.1.4. Comparison with the Theoretical Model
Several experimental data points, selected with different mean pressure and temperature profiles, are utilized as inputs into the DeltaEC program discussed above. The pressure amplitude and frequency obtained experimentally are compared with theoretical predictions. The minor loss coefficients in the thermoacoustic engine model are calibrated utilizing test data for the system with the stainless-steel mesh 20. The chosen datapoints and results are shown in Table 6 and Table 7, respectively. The ambient temperature was about 300 K in both the model and experiments. The cold temperature in Table 6 is the cold busbar temperature, which was used as a user target in the DeltaEC simulation, making the temperature ratios the same in modeling and tests. Three different state points were used from the mesh 20 datasets, which had varying mean pressures and temperatures.
Table 6.
Experimental conditions of the thermoacoustic engine. is the cold heat exchanger temperature.
Table 7.
Comparison between experimental measurements and theoretical predictions.
The theoretical calculations are found to be within 10% for both amplitude and frequency, except for dataset (c), where the prediction deviated by approximately 29%. This deviation can be attributed to the state that is closer to the onset conditions, which may be more sensitive to transient temperature gradients and heat transfer processes through the experimental system. As pressure oscillations excite and increase, more complex non-linear temperature profiles and thermal energy transport can occur, which could affect the steady-state amplitudes calculated by the software. Additionally, the minor loss coefficients could be temperature dependent, as real-fluid properties can change thermal and viscous effects in the tube. Finally, the equations used in DeltaEC for mesh screens are semi-empirical and have not been rigorously validated.
Through numerical studies with different stack materials, it is found that the ceramic square channels produced the highest performing engine in both amplitude and onset temperature ratio. However, from the experimental results above there is significant deviation between the theoretical predictions and the measurements on the order of 50% for the amplitude, but only 10% for the frequency of the system.
4.2. Cryogenic Thermoacoustic Engine-Refrigerator Setup
To provide initial measurements on the refrigerating ability for the explored thermoacoustic engine, additional stack material is installed into the tube below the thermal busbar defined as the refrigeration segment. Different combinations of materials are tested to determine if the acoustic power generated by the thermoacoustic oscillations is sufficient to pump heat from the bottom of the refrigerator segment to the thermal busbar, as discussed in Section 3.2.2. The change in temperature is defined as , which are the sensors below the regenerator segment and on the thermal busbar, respectively, shown in Figure 2. The uncertainty for this measurement is consistent with the uncertainty of the temperature measurements and is approximately 0.03 K.
Two geometric stack configurations produced net refrigeration, and the recorded characteristics are shown in Table 8. The other combinations did not provide a lower temperature at the bottom of the refrigerator segment greater than the uncertainty of the measurement. The configuration that shows the largest amount of net heat pumping across the refrigerator segment is the combination of stainless-steel mesh screens with a small pore size. A change in temperature of −0.9 K across the stack is achieved with hydrogen and −0.7 K with helium. A combination of the ceramic square channel material with the smaller pore size in the thermoacoustic engine also produces net heat pumping when combined with the stainless-steel screens in the refrigeration segment. From the engine characterization, the ceramic had a slightly lower onset temperature ratio and pressure amplitude. This is shown in the refrigerator testing as the change in temperature for this configuration was approximately −0.35 K for hydrogen.
Table 8.
Experimental results for thermoacoustic heat pumping.
The current refrigeration capacity is limited due to inefficiencies of the standing wave system and the imperfect geometry of the resonator network due to space and manufacturing constraints. The theoretical calculations by DeltaEC for a system at 100 K produced −10 K across the refrigeration stack. Additional losses, non-linear acoustic effects, a more complex temperature field in the system, and real fluid effects are possible reasons contributing to the deviation between measurements and calculations [41,42]. As the minor loss coefficients were calculated using one configuration, there is an associated error with using those coefficients for different geometries. Below 100 K, the compressibility factor of hydrogen decreases noticeably below unity, which limits the ideal gas assumption used in DeltaEC. Non-linear effects at junctions between different segments in the system can also play a role [8,43]. Surface roughness and other defects in manufacturing and sealing at cryogenic temperatures can affect the acoustic wave through additional viscous dissipation and heat leak into the system. However, these initial measurements show that self-excited thermoacoustic oscillations can be utilized as the driving mechanism for active refrigeration but require further optimization and more complex modeling to become practical.
5. Conclusions
In this study, Taconis oscillations were augmented with porous inserts to create a standing-wave cryogenic thermoacoustic engine for investigating the onset of thermoacoustic instabilities and limit-cycle oscillations. Experimental measurements of the onset temperature ratio, pressure amplitude, and frequency for hydrogen and helium with different stack materials were obtained. These measurements determined the highest-performing stack materials for the given engine geometry and compared them against thermoacoustic theory predictions for the working system. The present study shows that (1) independent of stack, hydrogen systems excite at smaller temperature gradients than those with helium; (2) the onset temperature ratio depends on the stack geometry, but the amplitude of oscillations only slightly varies with stack geometry in this resonator configuration; and (3) enhanced Taconis oscillations can be utilized to produce a refrigeration effect in the presence of a regenerator. Smaller pore sizes decreased the required onset temperature ratio and produced a higher average amplitude than the larger pore stacks. The frequency of the entire system did not vary with different stack materials, as frequency was controlled by resonator geometry. Model predictions deviated upwards of 50% from experimental measurements, which can be caused by uncertainty in the calibrated minor loss coefficients, the ideal gas assumption for fluid properties, and low-amplitude thermoacoustic equations. The mesh screens of smaller pore size installed in the regenerator section demonstrated a small amount of cooling while being driven by augmented Taconis oscillations in the form of a thermoacoustic engine.
Future research directions can include system optimization and research into hydrogen compatible stack materials, geometries, and heat exchangers to increase efficiency and power output from the thermoacoustic engine. Additional studies with the refrigerator section can include different materials and geometries to achieve additional heat pumping in the standing wave system. Finally, more efficient traveling wave setups can be designed and constructed. On the modeling side, further studies need to be conducted with different stack materials due to the large discrepancies observed between the experimental measurements and the calculated predictions.
This study provides basic experimental data for the first cryogenic hydrogen thermoacoustic engine. With a better understanding of thermoacoustics and the advancement of models that can accurately capture the observed effects, more efficient thermoacoustic systems can be developed for zero boil-off storage and pressurization of liquid hydrogen storage vessels.
Author Contributions
Conceptualization, M.P.S., J.W.L. and K.I.M.; methodology, M.P.S., J.W.L. and K.I.M.; software, M.P.S. and K.I.M.; validation, M.P.S. and K.I.M.; formal analysis, M.P.S., J.W.L. and K.I.M.; investigation, M.P.S.; resources, J.W.L.; data curation, M.P.S.; writing—original draft preparation, M.P.S.; writing—review and editing, J.W.L. and K.I.M.; visualization, M.P.S.; supervision, J.W.L. and K.I.M.; project administration, J.W.L. and K.I.M.; funding acquisition, J.W.L. and K.I.M. All authors have read and agreed to the published version of the manuscript.
Funding
This research was funded in part by the U.S. National Science Foundation, grant number 2214235.
Data Availability Statement
The data presented in this study is available on request from the corresponding author.
Acknowledgments
We extend our gratitude to Nathan P. Jorgensen for his help in data collection and maintenance of the cryostat.
Conflicts of Interest
The authors declare no conflicts of interest.
References
- Rayleigh, J.W.S.B. The Theory of Sound; Macmillan: London, UK, 1896. [Google Scholar]
- Putnam, A.A.; Dennis, W.R. Survey of organ-pipe oscillations in combustion systems. J. Acoust. Soc. Am. 1956, 28, 246–259. [Google Scholar] [CrossRef]
- Sondhauss, C. Ueber die Schallschwingungen der Luft in erhitzten Glasröhren und in gedeckten Pfeifen von ungleicher Weite. Ann. Der Phys. 1850, 155, 1–34. [Google Scholar] [CrossRef]
- Rijke, P. Notiz über eine neue Art, die in einer an beiden Enden offenen Röhre enthaltene Luft in Schwingungen zu versetzen. Ann. Der Phys. 1859, 183, 339–343. [Google Scholar] [CrossRef]
- Lehmann, K.O. Über die Theorie der Netztöne (thermisch erregte Schallschwingungen). Ann. Der Phys. 1937, 421, 527–555. [Google Scholar] [CrossRef]
- Merk, H. Analysis of heat-driven oscillations of gas flows: II. On the mechanism of the Rijke-tube phenomenon. Appl. Sci. Res. Sect. A 1957, 6, 402–420. [Google Scholar] [CrossRef]
- Rott, N. Damped and thermally driven acoustic oscillations in wide and narrow tubes. Z. Für Angew. Math. Und Phys. ZAMP 1969, 20, 230–243. [Google Scholar] [CrossRef]
- Swift, G.W. Thermoacoustics: A Unifying Perspective for Some Engines and Refrigerators; Acoustical Society of America: Melville, NY, USA, 2003. [Google Scholar]
- Keesom, W.H. Helium; Elsevier: Amsterdam, The Netherlands, 1942. [Google Scholar]
- Taconis, K.; Beenakker, J.; Nier, A.; Aldrich, L. Measurements concerning the vapour-liquid equilibrium of solutions of He3 in He4 below 2.19 K. Physica 1949, 15, 733–739. [Google Scholar] [CrossRef]
- Yazaki, T.; Tominaga, A.; Narahara, Y. Experiments on thermally driven acoustic oscillations of gaseous helium. J. Low Temp. Phys. 1980, 41, 45–60. [Google Scholar] [CrossRef]
- Rott, N. Thermally driven acoustic oscillations. Part II: Stability limit for helium. Z. Für Angew. Math. Und Phys. ZAMP 1973, 24, 54–72. [Google Scholar]
- Gu, Y. Thermal Acoustic Oscillations in Cryogenic Systems; University of Colorado: Boulder, CO, USA, 1993. [Google Scholar]
- Gu, Y.; Timmerhaus, K.D. Damping of thermal acoustic oscillations in hydrogen systems. Adv. Cryog. Eng. 1991, 37B, 265–273. [Google Scholar]
- Gu, Y.; Timmerhaus, K. Thermal acoustic oscillations in triple point liquid hydrogen systems. Int. J. Refrig. 1991, 14, 282–291. [Google Scholar] [CrossRef]
- Gu, Y.; Timmerhaus, K.D. Experimental verification of stability characteristics for thermal acoustic oscillations in a liquid helium system. Adv. Cryog. Eng. 1994, 39, 1733–1740. [Google Scholar]
- Shenton, M.P.; Leachman, J.W.; Matveev, K.I. Investigating Taconis oscillations in a U-shaped tube with hydrogen and helium. Cryogenics 2024, 143, 103940. [Google Scholar] [CrossRef]
- Matveev, K.I. Influence of porous inserts and compact resonators on onset of Taconis oscillations. J. Vib. Acoust. 2024, 146, 014501. [Google Scholar] [CrossRef]
- Leachman, J.W.; Wilhelmsen, Ø.; Matveev, K.I. Cool Fuel: The Science and Engineering of Cryogenic Hydrogen; Oxford University Press: Oxford, UK, 2025. [Google Scholar]
- Feldman, K.T.; Carter, R. A study of heat driven pressure oscillations in a gas. J. Heat Mass Transf. 1970, 92, 536–540. [Google Scholar] [CrossRef]
- Arnott, W.P.; Bass, H.E.; Raspet, R. Specific acoustic impedance measurements of an air-filled thermoacoustic prime mover. J. Acoust. Soc. Am. 1992, 92, 3432–3434. [Google Scholar] [CrossRef]
- Arnott, W.P.; Bass, H.E.; Raspet, R. General formulation of thermoacoustics for stacks having arbitrarily shaped pore cross sections. J. Acoust. Soc. Am. 1991, 90, 3228–3237. [Google Scholar] [CrossRef]
- Swift, G.W. Analysis and performance of a large thermoacoustic engine. J. Acoust. Soc. Am. 1992, 92, 1551–1563. [Google Scholar] [CrossRef]
- Backhaus, S.; Swift, G.W. A thermoacoustic-Stirling heat engine: Detailed study. J. Acoust. Soc. Am. 2000, 107, 3148–3166. [Google Scholar] [CrossRef]
- Ceperley, P.H. A pistonless Stirling engine—The traveling wave heat engine. J. Acoust. Soc. Am. 1979, 66, 1508–1513. [Google Scholar] [CrossRef]
- Zinovyev, E.; Vorotnikov, G.; Nekrasova, S.; Sarmin, D. Onset characteristics of the thermoacoustic engine with cryogenic cooling. In Proceedings of the 7th Asia Conference on Power and Electrical Engineering (ACPEE), Hangzhou, China, 15–17 April 2022; pp. 1106–1110. [Google Scholar]
- Wang, K.; Dubey, S.; Choo, F.H.; Duan, F. Thermoacoustic Stirling power generation from LNG cold energy and low-temperature waste heat. Energy 2017, 127, 280–290. [Google Scholar] [CrossRef]
- Sun, D.; Zhang, J.; Pan, H.; Shen, Q.; Qi, Y.; Qiao, X. Numerical study on a three-stage traveling-wave thermoacoustic generator with a simplified structure simultaneously utilizing cold and low-grade thermal energy. Cryogenics 2021, 120, 103385. [Google Scholar] [CrossRef]
- Radebaugh, R. Pulse tube cryocoolers. Low Temp. Cryog. Refrig. 2003, 99, 415–434. [Google Scholar]
- Jin, T.; Huang, J.; Feng, Y.; Yang, R.; Tang, K.; Radebaugh, R. Thermoacoustic prime movers and refrigerators: Thermally powered engines without moving components. Energy 2015, 93, 828–853. [Google Scholar] [CrossRef]
- Huang, J.; Yang, R.; Yang, Y.; Zhou, Q.; Luo, E. Generalized thermoacoustic heat engines with unconventional working substances: A review. Appl. Energy 2023, 347, 121447. [Google Scholar] [CrossRef]
- Matveev, K.I.; Leachman, J.W. The effect of liquid hydrogen tank size on self-pressurization and constant-pressure venting. Hydrogen 2023, 4, 444–455. [Google Scholar] [CrossRef]
- Matveev, K.I.; Leachman, J.W. Taconis-Based Means for Transporting Heat into Cryogenic Tanks and Means for Suppressing Taconis Oscillations. United States Patent and Trademark Office, Provisional Patent Application No. 63491711, 22 March 2023. [Google Scholar]
- Clark, J.P.; Ward, W.C.; Swift, G.W. Design environment for low-amplitude thermoacoustic energy conversion (DeltaEC). J. Acoust. Soc. Am. 2007, 122, 3014. [Google Scholar] [CrossRef]
- Clark, J.P.; Ward, W.C.; Swift, G.W. Design Environment for Low-Amplitude Thermoacoustic Energy Conversion (DeltaEC): Users Guide; Version 6.4b2.7; Los Alamos National Laboratory: Los Alamos, NM, USA, 2017. [Google Scholar]
- Shenton, M.; Leachman, J.; Matveev, K. Development of a research cryostat for direct thermoacoustic cooling and conversion of hydrogen. IOP Conf. Ser. Mater. Sci. Eng. 2024, 1301, 012069. [Google Scholar] [CrossRef]
- Furnas, C.C. Grading aggregates-I.-Mathematical relations for beds of broken solids of maximum density. Ind. Eng. Chem. 1931, 23, 1052–1058. [Google Scholar] [CrossRef]
- Ekin, J. Experimental Techniques for Low-Temperature Measurements: Cryostat Design, Material Properties and Superconductor Critical-Current Testing. Oxford University Press: Oxford, UK, 2006.
- LabVIEW Sound and Vibration Toolkit User Manual, National Instruments Corporation. 2004. Available online: https://docsamples.wordpress.com/wp-content/uploads/2012/02/svt_um.pdf (accessed on 1 May 2024).
- Tone Measurements, National Instruments. 2024. Available online: https://www.ni.com/docs/en-US/bundle/labview-api-ref/page/vi-lib/express/express-analysis/toneblock-llb/ex-inst-tone-measurements-vi.html (accessed on 1 May 2024).
- Di Meglio, A.; Massarotti, N. CFD modeling of thermoacoustic energy conversion: A review. Energies 2022, 15, 3806. [Google Scholar] [CrossRef]
- Bhatti, U.N.; Bashmal, S.; Khan, S.; Ben-Mansour, R. Numerical modeling of standing wave thermoacoustic devices—A review. Int. J. Refrig. 2023, 146, 47–62. [Google Scholar] [CrossRef]
- Matveev, K.I.; Swift, G.W.; Backhaus, S. Temperatures near the interface between an ideal heat exchanger and a thermal buffer tube or pulse tube. Int. J. Heat Mass Transf. 2006, 49, 868–878. [Google Scholar] [CrossRef]
Disclaimer/Publisher’s Note: The statements, opinions and data contained in all publications are solely those of the individual author(s) and contributor(s) and not of MDPI and/or the editor(s). MDPI and/or the editor(s) disclaim responsibility for any injury to people or property resulting from any ideas, methods, instructions or products referred to in the content. |
© 2025 by the authors. Licensee MDPI, Basel, Switzerland. This article is an open access article distributed under the terms and conditions of the Creative Commons Attribution (CC BY) license (https://creativecommons.org/licenses/by/4.0/).







