Unsupervised Segmentation and Classification of Waveform-Distortion Data Using Non-Active Current
Abstract
1. Introduction
- control of power flow to improve the quality of service, in particular in terms of voltage fluctuations and transients [20];
- power-quality control encompassing both traditional harmonic distortion and disturbance at higher frequency, which are emerging today as possible threats to grid control and metering that directly affect power-line communication protocols [21,22,23,24]; past studies demonstrate that interference with the metering function can occur at various frequency ranges within the harmonic and supraharmonic domains, affecting not only the overall intensity, but also specific parts of the waveform, as in the case of pulsed disturbances [22];
- energy efficiency from a multitude of perspectives:
- −
- identification of energy-wasting devices or, in general, devices with less-than-ideal power profiles [25];
- −
- demand management and load balancing as part of grid control;
- −
- identification of power losses in susceptible grid elements (namely transformers and cables) and in the loads themselves that occur as a consequence of excessive distortion;
- −
- correct accounting for harmonic power losses in the estimation of power absorption and energy efficiency [26];
- fair tariffing and billing, associating variable tariffs with the level of load “virtuosity” as soon as a load is connected to the grid; this includes linking tariffs potentially disruptive events that may cause economic losses and also may incentivize improvements in energy efficiency and reduce associated losses. Conversely, at the user level, usage regulation encourages the use of low-price time slots, a change supported by the use of smart meters [25].
- Non-active current (NAC) provides good classification performance and characterization of waveform distortion (WD).
- Classification of unlabeled highly-dimensional WD data with a two-step method: first, dimension reduction using deep autoencoder (DAE) and clustering for OC characterization, labeling and anomaly detection (AD); second, cluster assignment based on Euclidean distance (ED) for segmentation of new unlabeled data (not clustered or trained); this classification is unsupervised and has diagnostic and interpretative uses.
- Alternatively, cluster categorization can be utilized for labeling the data, allowing supervised DL algorithms to train and perform monitoring tasks, since such methods depend on reliable labeling to perform well after training and validation. For that purpose, a 1-D CNN is employed as a benchmark for supervised DL in classification tasks, highlighting the potential of cluster-based labels.
- Clustering reveals patterns associated with WD characteristics and system dynamics, including anomalies, thus supporting the identification of outliers without the need for a specific prior criterion. This is a point of novelty with respect to the majority of previous studies and is demonstrated also by considering an additional example, specifically, charging of electric vehicles (EVs).
- Assessment of both classification methods using new unseen data from the same system that are not labeled, but are assigned an OC by inspection of data characteristics.
- Identification of informative waveform features to provide added value to the supervised classification, focusing on the 1-D CNN and using gradient-weighted class activation mapping (Grad-CAM).
2. Electric System and Related Power Theory
2.1. Time-Domain Non-Active Power
2.2. Description of the Electric Power System
3. Segmentation and Classification Method
- how to deal with variability or diversity within a cluster and how to use it to verify new unlabeled data;
- the shape and compactness around the clusters’ centroids may be used to identify anomalies and provide information for diagnostic purposes.
- one method is based on the ED of DAE features and predetermined clusters, evaluating the capacity for transferring segmentation knowledge from the unsupervised learning framework to new unlabeled data;
- the other method uses a more traditional 1-D CNN, ensuring that labeling can be explored with other DL techniques for independent validation.
3.1. DAE and Clustering for Data Segmentation and Labeling
3.2. Suitability of NAC for Fingerprinting
- Active power vs. frequency preserves the sign of power absorption, distinguishing between traction and braking conditions, and has good classification performance, although its performance is not always better than those of harmonic reactive power and harmonic current ;
- According to the results of Principal Component Analysis (PCA), a small number of the components of the active power spectrum account for the total energy, whereas the components of the reactive power spectrum are more dispersed: the amount of information contained in 20–28 components is equivalent to that contained in just 3 components;
- Partial Least Square Regression (PLSR) has in general better performance than PCA, although not in all cases;
- Classification based on harmonic current is consistently better than that based on components, as was also demonstrated by the calculation of the “variable importance in projection” parameter for PLSR.
3.3. ED for AD and Segmentation of New Data
3.4. 1-D Convolutional Neural Network (CNN)
- Unlike traditional machine learning methods (e.g., support vector machines, k-nearest neighbors, etc.), 1-D CNNs can capture relevant features automatically from raw data during training, which reduces the need for manual work and extensive signal processing for feature extraction.
- Its architecture facilitates learning of local and more abstract features in different steps of the learning process, which helps in identifying complex patterns in the data (human processes or traditional methods are not so effective).
- This leads to the possibility of applying classification to raw data, which is challenging but crucial for identifying waveform distortion patterns directly in the time domain.
4. Results
4.1. Diagnostic Results from an Unsupervised Learning Method
- all such waveforms show a significant amplitude of fundamental (see Figure 10a), ascribed to the reactive power, so they do not represent low-power transients, e.g., due to uncommon behavior of auxiliaries;
- low-order harmonics are almost absent, as expected for normal operation where the onboard four-quadrant converters (4QCs) follow a policy of cos minimization (see Figure 10b);
- high-order harmonics, instead, are characterized by the switching components of the onboard 4QCs nominally at 800 Hz, so corresponding to the 48th harmonic; their amplitude is in the order of 1 A, , as shown in Figure 10c);
- quite notably the same amplitude can be seen in the lower supraharmonic range, as allowed by the data sampling rate, showing two major peaks at about kHz and 10 kHz, that are only apparently harmonically related, and other minor peaks at kHz and kHz (see Figure 10d); all peaks are confirmed by more than one component coherently indicating amplitudes well above the background level;
- beyond 15 kHz there are no visible spectral signatures, providing an indication of the necessary bandwidth and sample rate.
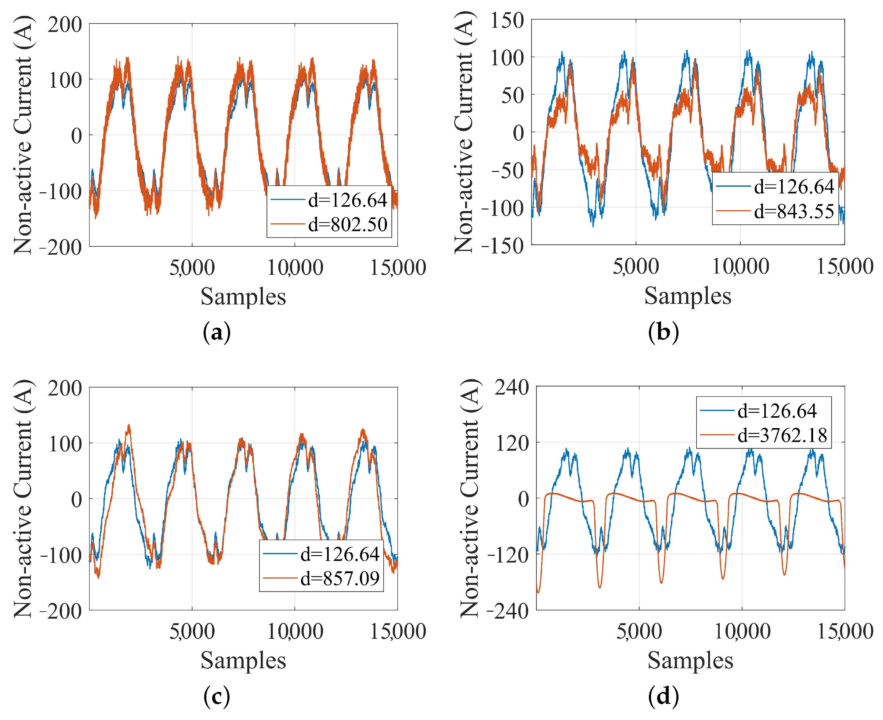
4.2. Classification Based on ED and Pre-Determined Clusters
4.3. Classification by 1-D CNN with Cluster-Based Labels
- Ref. [13] reports quite a variable accuracy for the various classes of the PLAID dataset, ending in 81% of balanced accuracy;
4.4. Noise and Noise Effect
4.5. Computational Times
4.6. Application with EV Charging Data for Validation
5. Conclusions
- Cluster-based labels are effective in capturing the operational states and load characteristics, enabling other classification algorithms to benefit from the structured data. However, the anomaly category should be used with caution, as it is based on previously known anomalies and may not represent new or previously unseen events. In such cases, the proposed ED-based classification method becomes important again, as it allows the identification of new anomalies that do not conform to existing cluster boundaries.
- Additionally, the success of cluster-based segmentation and labeling remains highly dependent on the clustering algorithm used, which in turn is determined by the data characteristics and the distribution of the data in the feature space.
- Other limitations can be noted regarding the WD signature used. NAC is more suitable for loads with strong non-linear behavior, so its performance may be limited in systems with low non-linearity and distortion. On examination of the results in the literature, it is easy to see that, currently, the category of distorting loads is much broader than that of linear loads, which are mostly limited to heating elements, some home appliances, and a few others.
Author Contributions
Funding
Institutional Review Board Statement
Informed Consent Statement
Data Availability Statement
Conflicts of Interest
References
- Shojaie, M.; Mokhtari, H. A method for determination of harmonics responsibilities at the point of common coupling using data correlation analysis. IET Gener. Transm. Distrib. 2014, 8, 142–150. [Google Scholar] [CrossRef]
- Safargholi, F.; Malekian, K.; Schufft, W. On the Dominant Harmonic Source Identification—Part I: Review of Methods. IEEE Trans. Power Deliv. 2018, 33, 1268–1277. [Google Scholar] [CrossRef]
- Bhende, C.; Mishra, S.; Panigrahi, B. Detection and classification of power quality disturbances using S-transform and modular neural network. Electr. Power Syst. Res. 2008, 78, 122–128. [Google Scholar] [CrossRef]
- Panigrahi, B.; Dash, P.; Reddy, J. Hybrid signal processing and machine intelligence techniques for detection, quantification and classification of power quality disturbances. Eng. Appl. Artif. Intell. 2009, 22, 442–454. [Google Scholar] [CrossRef]
- Li, P.; Ma, T.; Shi, J.; Jia, Q. Multi-dimensional feature multi-classifier synergetic classification method for power quality disturbances. Comput. Electr. Eng. 2024, 120, 109720. [Google Scholar] [CrossRef]
- Jain, S.K.; Singh, S.N. Fast Harmonic Estimation of Stationary and Time-Varying Signals Using EA-AWNN. IEEE Trans. Instrum. Meas. 2013, 62, 335–343. [Google Scholar] [CrossRef]
- Moradifar, A.; Akbari Foroud, A.; Fouladi, M. Identification of multiple harmonic sources in power system containing inverter—Based distribution generations using empirical mode decomposition. IET Gener. Transm. Distrib. 2019, 13, 1401–1413. [Google Scholar] [CrossRef]
- Katic, V.A.; Stanisavljevic, A.M. Smart Detection of Voltage Dips Using Voltage Harmonics Footprint. IEEE Trans. Ind. Appl. 2018, 54, 5331–5342. [Google Scholar] [CrossRef]
- de Aguiar, E.; Lazzaretti, A.; Mulinari, B.; Pipa, D. Scattering Transform for Classification in Non-Intrusive Load Monitoring. Energies 2021, 14, 6796. [Google Scholar] [CrossRef]
- Chen, Z.M.; Li, M.S.; Ji, T.Y.; Wu, Q.H. Detection and classification of power quality disturbances in time domain using probabilistic neural network. In Proceedings of the International Joint Conference on Neural Networks (IJCNN), Vancouver, BC, Canada, 24–29 July 2016; pp. 1277–1282. [Google Scholar] [CrossRef]
- Wang, S.; Chen, H. A novel deep learning method for the classification of power quality disturbances using deep convolutional neural network. Appl. Energy 2019, 235, 1126–1140. [Google Scholar] [CrossRef]
- Liu, F.; Zhou, F.; Ma, L. An Automatic Detection Framework for Electrical Anomalies in Electrified Rail Transit System. IEEE Trans. Instrum. Meas. 2023, 72, 3510313. [Google Scholar] [CrossRef]
- Zhou, Z.; Xiang, Y.; Xu, H.; Wang, Y.; Shi, D. Unsupervised Learning for Non-intrusive Load Monitoring in Smart Grid Based on Spiking Deep Neural Network. J. Mod. Power Syst. Clean Energy 2022, 10, 606–616. [Google Scholar] [CrossRef]
- Salles, R.S.; De Oliveira, R.A.; Rönnberg, S.K.; Mariscotti, A. Data-driven assessment of VI diagrams for inference on pantograph quantities waveform distortion in AC railways. Comput. Electr. Eng. 2024, 120, 109730. [Google Scholar] [CrossRef]
- Ur Rehman, A.; Tjing Lie, T.; Valles, B.; Rahman Tito, S. Comparative Evaluation of Machine Learning Models and Input Feature Space for Non-intrusive Load Monitoring. J. Mod. Power Syst. Clean Energy 2021, 9, 1161–1171. [Google Scholar] [CrossRef]
- Angelis, G.F.; Timplalexis, C.; Krinidis, S.; Ioannidis, D.; Tzovaras, D. NILM applications: Literature review of learning approaches, recent developments and challenges. Energy Build. 2022, 261, 111951. [Google Scholar] [CrossRef]
- Liu, Y.; Wang, Y.; Ma, J. Non-Intrusive Load Monitoring in Smart Grids: A Comprehensive Review. Available online: https://arxiv.org/abs/2403.06474 (accessed on 20 June 2025).
- Kerk, S.G.; Hassan, N.U.; Yuen, C. Smart Distribution Boards (Smart DB), Non-Intrusive Load Monitoring (NILM) for Load Device Appliance Signature Identification and Smart Sockets for Grid Demand Management. Sensors 2020, 20, 2900. [Google Scholar] [CrossRef]
- Stanescu, D.; Enache, F.; Popescu, F. Smart Non-Intrusive Appliance Load-Monitoring System Based on Phase Diagram Analysis. Smart Cities 2024, 7, 1936–1949. [Google Scholar] [CrossRef]
- Shen, Y.; Abubakar, M.; Liu, H.; Hussain, F. Power Quality Disturbance Monitoring and Classification Based on Improved PCA and Convolution Neural Network for Wind-Grid Distribution Systems. Energies 2019, 12, 1280. [Google Scholar] [CrossRef]
- Shklyarskiy, Y.; Hanzelka, Z.; Skamyin, A. Experimental Study of Harmonic Influence on Electrical Energy Metering. Energies 2020, 13, 5536. [Google Scholar] [CrossRef]
- Have, B.t.; Azpurua, M.A.; Hartman, T.; Pous, M.; Moonen, N.; Silva, F.; Leferink, F. Waveform Model to Characterize Time-Domain Pulses Resulting in EMI on Static Energy Meters. IEEE Trans. Electromagn. Compat. 2021, 63, 1542–1549. [Google Scholar] [CrossRef]
- Loschi, H.; Nascimento, D.; Smolenski, R.; Sayed, W.E.; Lezynski, P. Shaping of converter interference for error rate reduction in PLC based smart metering systems. Measurement 2022, 203, 111946. [Google Scholar] [CrossRef]
- Mariscotti, A.; Mingotti, A. The Effects of Supraharmonic Distortion in MV and LV AC Grids. Sensors 2024, 24, 2465. [Google Scholar] [CrossRef] [PubMed]
- Kommey, B.; Tamakloe, E.; Kponyo, J.J.; Tchao, E.T.; Agbemenu, A.S.; Nunoo-Mensah, H. An artificial intelligence-based non-intrusive load monitoring of energy consumption in an electrical energy system using a modified K-Nearest Neighbour algorithm. IET Smart Cities 2024, 6, 132–155. [Google Scholar] [CrossRef]
- Mariscotti, A. Impact of Harmonic Power Terms on the Energy Measurement in AC Railways. IEEE Trans. Instrum. Meas. 2020, 69, 6731–6738. [Google Scholar] [CrossRef]
- Mishra, M.; Nayak, J.; Naik, B.; Abraham, A. Deep learning in electrical utility industry: A comprehensive review of a decade of research. Eng. Appl. Artif. Intell. 2020, 96, 104000. [Google Scholar] [CrossRef]
- Sima, W.; Zhang, H.; Yang, M.; Yuan, T.; Sun, P.; Chen, Q.; Zhao, H. A framework for automatically cleansing overvoltage data measured from transmission and distribution systems. Int. J. Electr. Power Energy Syst. 2018, 102, 381–392. [Google Scholar] [CrossRef]
- Oliver, A.; Odena, A.; Raffel, C.A.; Cubuk, E.D.; Goodfellow, I. Realistic evaluation of deep semi-supervised learning algorithms. Adv. Neural Inf. Process. Syst. 2018, 31, 3239–3325. [Google Scholar]
- Zhang, C.; Bengio, S.; Hardt, M.; Recht, B.; Vinyals, O. Understanding deep learning (still) requires rethinking generalization. Commun. ACM 2021, 64, 107–115. [Google Scholar] [CrossRef]
- Raygani, S.; Tahavorgar, A.; Fazel, S.; Moaveni, B. Load flow analysis and future development study for an AC electric railway. IET Electr. Syst. Transp. 2012, 2, 139. [Google Scholar] [CrossRef]
- Salles, R.S.; de Oliveira, R.A.; Ronnberg, S.K.; Mariscotti, A. Analytics of Waveform Distortion Variations in Railway Pantograph Measurements by Deep Learning. IEEE Trans. Instrum. Meas. 2022, 71, 2516211. [Google Scholar] [CrossRef]
- Hu, Z.; Han, Y.; Zalhaf, A.S.; Zhou, S.; Zhao, E.; Yang, P. Harmonic Sources Modeling and Characterization in Modern Power Systems: A Comprehensive Overview. Electr. Power Syst. Res. 2023, 218, 109234. [Google Scholar] [CrossRef]
- Mariscotti, A. Non-Intrusive Load Monitoring Applied to AC Railways. Energies 2022, 15, 4141. [Google Scholar] [CrossRef]
- Hassan, T.; Javed, F.; Arshad, N. An Empirical Investigation of V-I Trajectory Based Load Signatures for Non-Intrusive Load Monitoring. IEEE Trans. Smart Grid 2014, 5, 870–878. [Google Scholar] [CrossRef]
- de Oliveira, R.A.; Bollen, M.H. Deep learning for power quality. Electr. Power Syst. Res. 2023, 214, 108887. [Google Scholar] [CrossRef]
- Mulinari, B.M.; da Silva Nolasco, L.; Oroski, E.; Lazzaretti, A.E.; Linhares, R.R.; Renaux, D.P.B. Feature Extraction of V–I Trajectory Using 2-D Fourier Series for Electrical Load Classification. IEEE Sens. J. 2022, 22, 17988–17996. [Google Scholar] [CrossRef]
- Han, Y.; Li, K.; Feng, H.; Zhao, Q. Non-intrusive load monitoring based on semi-supervised smooth teacher graph learning with voltage–current trajectory. Neural Comput. Appl. 2022, 34, 19147–19160. [Google Scholar] [CrossRef]
- Salles, R.S.; Rönnberg, S.K. Review of Waveform Distortion Interactions Assessment in Railway Power Systems. Energies 2023, 16, 5411. [Google Scholar] [CrossRef]
- Fryze, S. Wirk, Blind, un Scheinleitung in elektrischen Stromkreisen mitnichtsinusoidalem Verlauf von Strom und Spanung. Elektrotechnischen Zeitschrift 1932, 25, 26, 29, 1–8. [Google Scholar]
- Späth, H. A general purpose definition of active current and non-active power based on German standard DIN 40110. Electr. Eng. 2005, 89, 167–175. [Google Scholar] [CrossRef]
- EN 50163; Railway Applications—Supply Voltages of Traction Systems. CENELEC: Brussels, Belgium, 2020.
- Mousavi Gazafrudi, S.M.; Tabakhpour Langerudy, A.; Fuchs, E.F.; Al-Haddad, K. Power Quality Issues in Railway Electrification: A Comprehensive Perspective. IEEE Trans. Ind. Electron. 2015, 62, 3081–3090. [Google Scholar] [CrossRef]
- EN 50388-1; Railway Applications—Fixed Installationsand Rolling Stock—Technical Criteria for the Coordination Between Electric Traction Power Supply Systems and Rolling Stock to Achieve Interoperability. CENELEC: Brussels, Belgium, 2022.
- Bongiorno, J.; Bhagat, S. Accuracy and Repeatability of Rolling Stock Current Distortion Tests for Interference to Signalling. Metrology 2025, 5, 17. [Google Scholar] [CrossRef]
- Liu, Q.; Zhang, W.; Cao, G.; Liu, J.; Ye, J.; Wu, M.; Yang, S. Influence of the Catenary Distributed Parameters on the Resonance Frequencies of Electric Railways Based on Quantitative Calculation and Field Tests. Energies 2022, 15, 3752. [Google Scholar] [CrossRef]
- He, F.; Li, Z.; Zhang, H.; Ai, L.; Hu, H. Parallel Harmonic Resonance Probability Identification of Traction Power Supply System Based on Measured Data. Dianwang Jishu/Power Syst. Technol. 2024, 48, 2084–2094. [Google Scholar] [CrossRef]
- Hinton, G.E.; Salakhutdinov, R.R. Reducing the Dimensionality of Data with Neural Networks. Science 2006, 313, 504–507. [Google Scholar] [CrossRef]
- Dong, G.; Liao, G.; Liu, H.; Kuang, G. A Review of the Autoencoder and Its Variants: A Comparative Perspective from Target Recognition in Synthetic-Aperture Radar Images. IEEE Geosci. Remote Sens. Mag. 2018, 6, 44–68. [Google Scholar] [CrossRef]
- Singhal, A. Modern information retrieval: A brief overview. IEEE Data Eng. Bull. 2001, 24, 35–43. [Google Scholar]
- Sugato, B.; Mikhail, B.; Arindam, B.; Raymond, M. Probabilistic Semi-Supervised Clustering with Constraints. In Semi-Supervised Learning; The MIT Press: Cambridge, MA, USA, 2006; pp. 73–102. [Google Scholar] [CrossRef]
- Yao, G.; Wu, Y.; Huang, X.; Ma, Q.; Du, J. Clustering of Typical Wind Power Scenarios Based on K-Means Clustering Algorithm and Improved Artificial Bee Colony Algorithm. IEEE Access 2022, 10, 98752–98760. [Google Scholar] [CrossRef]
- Sinaga, K.P.; Yang, M.S. Unsupervised K-Means Clustering Algorithm. IEEE Access 2020, 8, 80716–80727. [Google Scholar] [CrossRef]
- Islam, M.M.; Faruque, M.O.; Butterfield, J.; Singh, G.; Cooke, T.A. Unsupervised clustering of disturbances in power systems via deep convolutional autoencoders. In Proceedings of the IEEE Power & Energy Society General Meeting (PESGM), Orlando, FL, USA, 16–20 July 2023; pp. 1–5. [Google Scholar] [CrossRef]
- Calinski, T.; Harabasz, J. A dendrite method for cluster analysis. Commun. Stat. Theory Methods 1974, 3, 1–27. [Google Scholar] [CrossRef]
- Mariscotti, A. Behavior of single-point harmonic producer indicators in electrified AC railways. Metrol. Meas. Syst. 2020, 27, 641–657. [Google Scholar] [CrossRef]
- Ciancetta, F.; Bucci, G.; Fiorucci, E.; Mari, S.; Fioravanti, A. A New Convolutional Neural Network-Based System for NILM Applications. IEEE Trans. Instrum. Meas. 2021, 70, 1501112. [Google Scholar] [CrossRef]
- Teshome, D.; Huang, T.D.; Lian, K.L. A Distinctive Load Feature Extraction Based on Fryze’s Time-domain Power Theory. IEEE Power Energy Technol. Syst. J. 2016, 3, 60–70. [Google Scholar] [CrossRef]
- Mylona, D.N.; Bouhouras, A.S. A digital twin-based framework for load identification using odd harmonic current plots. Appl. Intell. 2025, 55, 635. [Google Scholar] [CrossRef]
- Pham-Gia, T.; Hung, T. The mean and median absolute deviations. Math. Comput. Model. 2001, 34, 921–936. [Google Scholar] [CrossRef]
- Miller, J. Short Report: Reaction Time Analysis with Outlier Exclusion: Bias Varies with Sample Size. Q. J. Exp. Psychol. Sect. A 1991, 43, 907–912. [Google Scholar] [CrossRef]
- Leys, C.; Ley, C.; Klein, O.; Bernard, P.; Licata, L. Detecting outliers: Do not use standard deviation around the mean, use absolute deviation around the median. J. Exp. Soc. Psychol. 2013, 49, 764–766. [Google Scholar] [CrossRef]
- Huang, D.; Li, S.; Qin, N.; Zhang, Y. Fault Diagnosis of High-Speed Train Bogie Based on the Improved-CEEMDAN and 1-D CNN Algorithms. IEEE Trans. Instrum. Meas. 2021, 70, 3508811. [Google Scholar] [CrossRef]
- Kiranyaz, S.; Avci, O.; Abdeljaber, O.; Ince, T.; Gabbouj, M.; Inman, D.J. 1D convolutional neural networks and applications: A survey. Mech. Syst. Signal Process. 2021, 151, 107398. [Google Scholar] [CrossRef]
- Mariscotti, A. Data sets of measured pantograph voltage and current of European AC railways. Data Brief 2020, 30, 105477. [Google Scholar] [CrossRef]
- Mariscotti, A.; Salles, R.S.; Rönnberg, S.K. Time-Domain Power Theory Applied to Waveform Distortion Assessment of AC Railways. In Proceedings of the IEEE 14th International Workshop on Applied Measurements for Power Systems (AMPS), Caserta, Italy, 18–20 September 2024; Volume 7, pp. 1–6. [Google Scholar] [CrossRef]
- Xu, W.; Huang, Z.; Xie, X.; Li, C. Synchronized Waveforms—A Frontier of Data-Based Power System and Apparatus Monitoring, Protection, and Control. IEEE Trans. Power Deliv. 2022, 37, 3–17. [Google Scholar] [CrossRef]
- Selvaraju, R.R.; Cogswell, M.; Das, A.; Vedantam, R.; Parikh, D.; Batra, D. Grad-CAM: Visual Explanations from Deep Networks via Gradient-Based Localization. In Proceedings of the IEEE International Conference on Computer Vision (ICCV), Venice, Italy, 22–29 October 2017; pp. 618–626. [Google Scholar] [CrossRef]
- Sharan, R.V.; Takeuchi, H.; Kishi, A.; Yamamoto, Y. Macro-Sleep Staging with ECG-Derived Instantaneous Heart Rate and Respiration Signals and Multi-Input 1D CNN-BiGRU. IEEE Trans. Instrum. Meas. 2024, 73, 2535212. [Google Scholar] [CrossRef]
- Chen, Q.; Lin, N.; Bu, S.; Wang, H.; Zhang, B. Interpretable Time-Adaptive Transient Stability Assessment Based on Dual-Stage Attention Mechanism. IEEE Trans. Power Syst. 2023, 38, 2776–2790. [Google Scholar] [CrossRef]
- Nakhodchi, N.; Bollen, M.H. Impact of modelling of MV network and remote loads on estimated harmonic hosting capacity for an EV fast charging station. Int. J. Electr. Power Energy Syst. 2023, 147, 108847. [Google Scholar] [CrossRef]
- 23IND06 Met4EVCS Project. Metrology for Electric Vehicle Charging Systems. 2024. Available online: https://www.vsl.nl/en/met4evcs/ (accessed on 15 May 2025).




















| Layer Type | Description |
|---|---|
| Input Layer | Input shape: (15,000) |
| Dense (Encoder) | 64 units, ReLU activation |
| Dense (Encoder) | 32 units, ReLU activation |
| Dense (Encoder) | 16 units, ReLU activation |
| Dense (Decoder) | 32 units, ReLU activation |
| Dense (Decoder) | 64 units, ReLU activation |
| Dense (Decoder) | 15,000 units, Linear activation |
| Hyperparameters | Optimizer: Adam; Epochs: 150; Learning Rate: 0.001 |
| Layer Type | Description |
|---|---|
| Sequence Input | Input sequence, 1 × 15,000 size |
| 1-D Convolution | 5 × 1 filter, 32 filters, causal padding |
| ReLU | Activation function |
| Normalization | Channel normalization |
| 1-D Convolution | 5 × 1 filter, 64 filters, causal padding |
| ReLU | Activation function |
| Normalization | Channel normalization |
| Global Avg Pooling | Pooling across time dimension |
| Fully Connected | Fully connected layer, 6 classes |
| Softmax | Softmax activation |
| Classification Output | Classification into 6 classes |
| Hyperparameters | Optimizer: Adam; Epochs: 30; Learning Rate: 0.01 |
Disclaimer/Publisher’s Note: The statements, opinions and data contained in all publications are solely those of the individual author(s) and contributor(s) and not of MDPI and/or the editor(s). MDPI and/or the editor(s) disclaim responsibility for any injury to people or property resulting from any ideas, methods, instructions or products referred to in the content. |
© 2025 by the authors. Licensee MDPI, Basel, Switzerland. This article is an open access article distributed under the terms and conditions of the Creative Commons Attribution (CC BY) license (https://creativecommons.org/licenses/by/4.0/).
Share and Cite
Mariscotti, A.; Salles, R.S.; Rönnberg, S.K. Unsupervised Segmentation and Classification of Waveform-Distortion Data Using Non-Active Current. Energies 2025, 18, 3536. https://doi.org/10.3390/en18133536
Mariscotti A, Salles RS, Rönnberg SK. Unsupervised Segmentation and Classification of Waveform-Distortion Data Using Non-Active Current. Energies. 2025; 18(13):3536. https://doi.org/10.3390/en18133536
Chicago/Turabian StyleMariscotti, Andrea, Rafael S. Salles, and Sarah K. Rönnberg. 2025. "Unsupervised Segmentation and Classification of Waveform-Distortion Data Using Non-Active Current" Energies 18, no. 13: 3536. https://doi.org/10.3390/en18133536
APA StyleMariscotti, A., Salles, R. S., & Rönnberg, S. K. (2025). Unsupervised Segmentation and Classification of Waveform-Distortion Data Using Non-Active Current. Energies, 18(13), 3536. https://doi.org/10.3390/en18133536

