Next Article in Journal
Waste to Biofuel: Process Design and Optimisation for Sustainable Aviation Fuel Production from Corn Stover
Next Article in Special Issue
Numerical Investigation of Hydrogen Production via Methane Steam Reforming in Tubular Packed Bed Reactors Integrated with Annular Metal Foam Gas Channels
Previous Article in Journal
Flattened Power Converter Design with Improved Thermal Performance for High-Power-Density Energy Conversion
Previous Article in Special Issue
Morphology and Solidity Optimization of Freeform Surface Turbulators for Heat Exchangers Equipped with Narrow Channels
 
 
Font Type:
Arial Georgia Verdana
Font Size:
Aa Aa Aa
Line Spacing:
Column Width:
Background:
Article

Analysis of Aerodynamic Heating Modes in Thermochemical Nonequilibrium Flow for Hypersonic Reentry

1
School of Nuclear, Energy and Power Engineering, Shandong University, Jinan 250061, China
2
Shenzhen Research Institute, Shandong University, Shenzhen 518057, China
3
Department of Aeronautical and Aviation Engineering, The Hong Kong Polytechnic University, Hong Kong 999077, China
*
Author to whom correspondence should be addressed.
Energies 2025, 18(13), 3417; https://doi.org/10.3390/en18133417
Submission received: 4 June 2025 / Revised: 23 June 2025 / Accepted: 26 June 2025 / Published: 29 June 2025
(This article belongs to the Special Issue Computational Fluid Dynamics (CFD) Study for Heat Transfer)

Abstract

Thermochemical nonequilibrium significantly affects the accurate simulation of the aerothermal environment surrounding a hypersonic reentry vehicle entering Earth’s atmosphere during deep space exploration missions. The different heat transfer modes corresponding to each internal energy mode and chemical diffusion have not been sufficiently analyzed. The existing dimensionless correlations for stagnation point aerodynamic heating do not account for thermochemical nonequilibrium effects. This study employs an in-house high-fidelity solver PHAROS (Parallel Hypersonic Aerothermodynamics and Radiation Optimized Solver) to simulate the hypersonic thermochemical nonequilibrium flows over a standard sphere under both super-catalytic and non-catalytic wall conditions. The total stagnation point heat flux and different heating modes, including the translational–rotational, vibrational–electronic, and chemical diffusion heat transfers, are all identified and analyzed. Stagnation point aerodynamic heating correlations have been modified to account for the thermochemical nonequilibrium effects. The results further reveal that translational–rotational and chemical diffusion heat transfers dominate the total aerodynamic heating, while vibrational–electronic heat transfer contributes only about 5%. This study contributes to the understanding of aerodynamic heating principles and thermal protection designs for future hypersonic reentry vehicles.

1. Introduction

At hypersonic speeds, the sharp compression of freestream air generates a strong bow shock and extreme high temperature (~104 K) ahead of the reentry vehicle of deep space exploration missions, leading to harsh aerodynamic heating and threatening the reentry vehicle’s safety [1]. The high temperature excites the internal energy modes and causes the chemical reactions of air species, such as vibrational relaxation, dissociation, and ionization [2]. When the relaxation time of internal energy excitation of air molecule is comparable to the flow characteristic time, thermodynamic nonequilibrium occurs. When the chemical reaction time is comparable to the flow time, chemical nonequilibrium appears. The coupled thermochemical nonequilibrium effects are vital characteristics of hypersonic reentry flows [3], introducing remarkable uncertainty in predicting aerodynamic heating and designing thermal protection systems for hypersonic reentry. Therefore, it is of great importance to continuously investigate the impact of thermochemical nonequilibrium on hypersonic aerothermal problems.
Efficient and accurate prediction of aerodynamic heating on hypersonic aircraft represents a significant engineering design challenge [4]. Owing to the rapid development of computational power, computational fluid dynamics (CFD) has become a key technique for studying hypersonic aerodynamic heating with modelling thermochemical nonequilibrium effects [5,6]. Lee [7] and Gnoffo [8] first presented full governing equations for solving hypersonic flows in thermal and chemical nonequilibrium modelled with a three-temperature approximation or three-energy equations, in which one temperature, T, describes the distribution of air heavy particle translational and rotational energies, another temperature, Tv, describes the distribution of vibrational energies of air molecular species, and a third temperature, Te, characterizes the electronic and electron translational energies of all air species. For simplicity, Park [9,10] proposed a two-temperature model where Tv = Te = Tve and showed that it can characterize the principal features of nonequilibrium airflow by assessing it in detail with experimental data obtained in shock tubes, ballistic ranges, and flight tests. Even more elaborately, individual vibrational temperatures can also be employed to model the vibrational energy of each air molecular species [11]. Ghezali et al. [12] considered a three-temperature model incorporating rotational nonequilibrium effects, with three temperatures Tt, Tr, and Tve. Additionally, various chemical kinetic models have been proposed to calculate chemical reactions of air species, such as the Gupta model [13], Park model [14], and Dunn–Kang model [15] for eleven-species of air (N, O, N2, O2, NO, N+, O+, N 2 + , O 2 + , NO+, and e). Five-species (N, O, N2, O2, NO) or seven-species (N, O, N2, O2, NO, NO+, e) sets can be chosen from these models to simplify CFD simulations in certain velocity and altitude ranges [13]. The reaction rate coefficients in these models are generally fitted in the empirical Arrhenius formula, for which the control temperature of a specific reaction is calculated based on a combination of different internal energy temperatures accounting for the thermodynamic and chemical coupling effects. For example, the classical Park two-temperature model uses T T v to compute the rate coefficient of dissociation reaction of diatomic molecules [10]. All of the above-mentioned multi-temperature models and air chemical kinetic models have been widely integrated into compressible Navier–Stokes (N-S) equations, forming a foundation for CFD simulations of hypersonic thermochemical nonequilibrium flows in recent decades [16]. In addition, regarding rarefied hypersonic flows, Boyd [17,18] developed vibrational nonequilibrium and chemical kinetic models using the Direct Simulation Monte Carlo (DSMC) method. Yuan et al. [19] and Shuhua et al. [20] advanced the Nonlinear Coupled Constitutive Relations (NCCR) method, which has been successfully applied to simulate thermochemical nonequilibrium effects in rarefied hypersonic flows.
Kim et al. [21] used the three-temperature model combined with the Park chemical kinetic model to analyze plasma wind tunnels as well as RAM-C, ATV, and Stardust reentry cases, focusing on electron-impact ionization phenomena in hypersonic flows. Hao et al. [22] simulated hypersonic flows around the RAM-C and FIRE II reentry vehicles using the two-temperature model with the Park and Gupta chemical kinetic models, respectively. Their results indicate that both chemical models predict similar temperature distributions. Yang and Meng [23] employed the two-temperature model with the Gupta chemical kinetic model to simulate the thermochemical nonequilibrium flow over an atmospheric entry configuration, finding that ionization reduces wall heat flux while slightly increasing wall pressure. He et al. [24] established a two-temperature model with the modified Gupta chemical kinetic model to investigate the flow characteristics over hypersonic inflatable reentry vehicle, which indicated that aerodynamic force and heating should be considered simultaneously in the design of reentry vehicles. Yu et al. [25] integrated a four-temperature model and 54-chemical reaction model into N-S equations to simulate the hypersonic thermochemical nonequilibrium flows over Atmospheric Reentry Demonstrator and RAM-C configurations. They found that the electron number density in the wake region varies significantly with changes in flight altitude. Chen et al. [26] investigated the coupled effects of real gas effects and rarefied gas effects using Park’s two-temperature model with a five-species chemical kinetic model, concluding that rarefied gas effects diminish the impact of real gas effects on hypersonic flows. Hong et al. [27] analyzed hypersonic laminar flow over a double-wedge configuration using a five-species chemical kinetic model and two-temperature model. Their findings demonstrate that the global stability boundary criterion, initially developed for supersonic flow over compression corners in a calorically perfect gas and expressed via a scaled deflection angle, is applicable to high-enthalpy conditions as well. Zhao et al. [28] systematically evaluated the effects of different chemical kinetic models on the hypersonic aerodynamic heating. Their findings demonstrate that Gupta’s model provides the most conservative estimation of wall heat transfer; therefore, the Gupta chemical kinetic model is also employed in the present study. Additionally, the two-temperature model is essentially an empirical reduced-order approach, assuming Boltzmann distributions at different temperatures. While suitable for many cases, this assumption may lead to inaccuracies under extreme hypersonic conditions. A more detailed alternative, the state-to-state (StS) model [29], treats each energy level as a separate species and can capture non-Boltzmann distributions in high-temperature gases. However, due to its high computational cost and limited data availability, it has not been widely adopted and is therefore not discussed further in this study.
Despite significant advancements in CFD techniques, engineering methods remain widely used to predict the aerodynamic heating of hypersonic reentry vehicles. These methods include the classical Fay–Riddell formula [30] for calculating stagnation point heat transfer and the Lees formula [31] for laminar heat transfer over blunt-nosed body. Further, several simplified correlations have been developed by Scott et al. [32], Detra and Hidalgo [33], Zoby et al. [34], and Viviani [35] to quickly estimate the convective heat flux at the stagnation point of hypersonic blunt body vehicles based on freestream and geometry parameters. To provide insights into the trends of stagnation heat flux with freestream variables, Zhou et al. [36] and Du et al. [37] correlated extensive aerodynamic heating data with a wide range of Ma and Re based on the engineering formulas of Tauber [38] and Detra and Hidalgo [33], respectively. Although these engineering correlations account for chemical reactions, they do not consider thermochemical nonequilibrium effects, which can be further reevaluated using CFD simulations with thermochemical nonequilibrium models.
According to the above-mentioned multi-temperature model, the total heat flux in hypersonic thermochemical nonequilibrium flow can be divided into different modes: translational–rotational heat flux, vibrational–electronic heat flux, chemical diffusion heat flux, and radiative heat flux. Yang et al. [39] predicted the aerodynamic heating of the FIRE II vehicle, incorporating radiative and nonequilibrium effects, and found that radiative heating must be considered at very high speeds. However, this study will not focus on radiative heat flux. Lee [40] simulated aerodynamic heating with and without the shock-on-shock interactions for spheres and circular cylinders in hypersonic nonequilibrium flow. They extracted the translational–rotational, vibrational–electronic, and chemical diffusion heat fluxes corresponding to the two-temperature model but did not conduct further analysis. Systematically identifying and analyzing heat transfer modes from different mechanisms considering thermochemical nonequilibrium effects has been conducted in this study. This effort is significant for two reasons: on the one hand, it allows for an insightful investigation into the mechanisms of thermochemical nonequilibrium effects by identifying heat fluxes from different mechanisms; on the other hand, it enables the identification of the dominant heat transfer mode within the total heat flux, which should receive more attention in future heat flux predictions.
In the present study, the hypersonic flows of eight typical flight cases are firstly simulated with thermochemical nonequilibrium effects using the in-house code Parallel Hypersonic Aerothermodynamics and Radiation Optimized Solver (PHAROS) [41]. Then, all the aerodynamic heating modes including the translational–rotational, vibrational–electronic, and chemical diffusion heat transfers are identified, respectively. Finally, each heat transfer mode is evaluated in detail in relation with freestream Reynolds and Mach numbers based on CFD results. The dimensionless stagnation point aerodynamic heating correlations, corrected for nonequilibrium effects, provide a useful reference for preliminary heat flux estimation and thermal protection system design in engineering applications.

2. Mathematical and Physical Models

2.1. Governing Equations

In this work, the hypersonic thermochemical nonequilibrium flow is described by the N-S equations with the Park two-temperature model and Gupta eleven-species chemical kinetic model. The mass, momentum, and energy conservation equations are presented as follows [22]:
ρ s t + ρ s u j x j = J s , j x j + ω s , s = 1 , 2 , , N s
ρ u i t + ρ u i u j x j = p x i + τ i j x j
ρ e t + ρ h u j x j = τ i j u i x j q j x j x j s = 1 N s J s , j h s
ρ e v e t + ρ e v e u j x j = q v e , j x j x j s = 1 N s J s , j e v e , s + ω v e
where t is the time; xi is the ordinate variable in the i-th direction; ui is the velocity in the i-th direction; Ns is the total number of air species; Js,j is the mass diffusion flux of species s in the j-th direction; ρs, ωs, hs, and eve,s denote the density, mass production rate per unit volume, enthalpy, and vibrational–electronic energy of species s; ρ, p, and τij represent the total density, pressure, and viscous stress tensor; e, h, and eve are the total energy, total enthalpy, and vibrational–electronic energy; qj and qve,j are the total heat flux and vibrational–electronic heat flux; and ωve is the vibrational–electronic energy source term. The formulas for the mass production source term ωs and the vibrational–electronic energy source term ωve can be seen in the literature by Hao et al. [42] for further details. Park’s two-temperature model is employed to describe the coupling effects of vibration excitation and dissociation.

2.2. Thermodynamic Properties

At high temperatures, the excitation of molecular vibrational and electronic energy modes causes the specific heat of the thermally perfect gas to become temperature dependent. Consequently, internal energy and enthalpy no longer maintain a linear relationship with temperature, and thermodynamic state variables are calculated using theoretical formulas [43]. Assuming that each air species satisfies the ideal gas equation of state, the molar specific heat at a constant volume for species s in its translational, rotational, vibrational, and electronic modes can be expressed as follows:
C V , t s = 3 2 R
C V , r s = R , s = d i a .
C V , v s = R exp ( θ v s / T v e ) [ θ v s / T v e exp ( θ v s / T v e ) 1 ] 2 , s = d i a .
C V , e s = R g 0 g 1 exp ( θ e s / T v e ) [ θ e s / T v e g 0 exp ( θ e s / T v e ) + g 1 ] 2 , s e . 3 2 R , s = e .
In this framework, R is the universal gas constant, T is the temperature, “dia.” refers to diatomic species, and “e.” denotes electronic. The parameters g0 and g1 represent the degeneracies of the electronic ground state and the first excited state for species s, respectively. Additionally, θvs and θes correspond to the vibrational characteristic temperature and the electronic characteristic temperature of species s, respectively. The translational–rotational specific heat at constant volume, the vibrational–electronic specific heat at constant volume, the total specific heat at constant volume, and the total specific heat at constant pressure can be expressed as follows:
C V , t r = s = 1 n s 1 Y s M s ( C V , t r s + C V , r s )
C V , v e = s = d i a . Y s M s C V , v s + s = 1 n s Y s M s C V , e s
C V = C V , t r + C V , v e
C p = C V + R M
1 M = s = 1 n s Y s M s
where M is the effective molecular molar mass, Ys is the mass fraction of species s, and Ms is the molecular molar mass of species s.

2.3. Transport Properties

The air is regarded as a chemically reacting gas mixture in this study. The viscosity of each species s is obtained using Blottner’s fitted form [44] as follows:
μ s = 0.1 exp A s ( ln T ) 2 + B s ln T + C s
where As, Bs, and Cs are the fitting coefficients. Particularly, the translational–rotational temperature T in Equation (14) should be replaced by the vibrational–electronic temperature Tve for calculating the viscosity of free electron. Corresponding to the multiple internal energy modes for each species, the thermal conductivity is calculated using Eucken’s relation [13] as follows:
k t r s = 5 2 μ s C V , t s + μ s C V , r s
k v s = μ s C V , v s
k e s = μ s C V , e s
where CV,ts, CV,rs, CV,vs, and CV,es are the specific heats at constant volume corresponding to the translational, rotational, vibrational, and electron energy modes, respectively.
The total viscosity and thermal conductivity are calculated using Wilke’s semi-empirical formula [45]. The total viscosity follows the expression as follows:
μ = s = 1 N s X s μ s Φ s
Φ s = r = 1 N s X r 1 + μ s / μ r 1 / 2 M r / M s 1 / 4 2 8 1 + M s / M r 1 / 2
where Xs and Φs are mole fraction and partition function of species s, respectively. M is the molar mass, and r is the r-th species. The total thermal conductivities corresponding to different energy modes are calculated as follows:
k t r = s = 1 N s X s k t r s Φ s
k v = s = 1 N s X s k v s Φ s
k e = s = 1 N s X s k e s Φ s
k v e s = k v s + k e s
The equivalent mass diffusion coefficient of species s is given by the CLN (Constant Lewis Number) model [46] as follows:
D s = D = k t r Le ρ C p , t r
where Le is the Lewis number, and Cp,tr is the total translational–rotational specific heat at constant pressure.

2.4. Identification of Different Heat Transfer Modes

According to Fourier’s law, the translational–rotational and vibrational–electronic heat fluxes are calculated as follows:
q t w = k t r T t r n
q v w = k v e T v e n
The chemical diffusion heat flux is obtained as follows:
q d w = s = 1 N s ρ D s h s M s Y s n
The total heat flux is calculated as below:
q c w = q t w + q v w + q d w
where ktr and kve represent the thermal conductivities corresponding to the translational–rotational and vibrational–electronic energy modes, respectively; Ys is the mass fraction of species s and n represents the orientation normal to the wall.

2.5. Flow Solver

PHAROS is a multi-block parallel solver for solving hypersonic nonequilibrium flow using the finite volume method [42]. The inviscid flux is computed using the modified Steger–Warming scheme [47], which is expanded to high order by the MUSCL extrapolation [48] with minmod limiters. The viscous flux is calculated using the second-order center difference. A line relaxation method [49] is chosen for time marching. PHAROS has been successfully employed to study a variety of hypersonic aerothermodynamic problems [22,39,50], such as RAM-C, FIRE II, Mars Pathfinder, and AS-202.

3. Validation

A typical FIRE II flight case [51] and the HEG high-enthalpy shock tunnel experiment [52] are selected to validate the reliability of the PHAROS solver in predicting aerodynamic heating in hypersonic thermochemical nonequilibrium flow. The geometry and mesh of FIRE II are depicted in Figure 1. The freestream parameters of this case are u = 11.3 km/s, ρ = 8.57 × 10−5 kg/m3, T = 210 K, and Ma = 38.9, with the freestream air composed of N2 and O2 having mass fractions of YN2 = 0.77 and YO2 = 0.23, respectively. The FIRE II wall is configured to be non-catalytic, with a temperature of Tw = 810 K. Figure 2 illustrates the wall heat flux distribution predicted by PHAROS, comparing it with results calculated by DPLR and LAURA [51]. The agreement among the three curves demonstrates the reliability of PHAROS. The HEG test conditions included a total enthalpy of 13.4 MJ/kg, p = 687 Pa, u = 4.776 km/s, ρ = 0.00326 kg/m3, T = 694 K, and Ma = 8.78. The freestream air composition by mass fraction was YN2 = 0.73555, YO2 = 0.134, YNO = 0.0509, YN = 0, and YO = 0.07955. Figure 3 presents a comparison between the predicted surface heat flux by the PHAROS solver and the experiment data. A 10% error margin is indicated, and all CFD predictions lie within this range, indicating strong consistency with the experimental measurements.

4. Results and Analysis

This study employs PHAROS to simulate hypersonic flows over a standard sphere with a radius of R = 1 m. The freestream conditions correspond to the Apollo-4 trajectory [53], as listed in Table 1, where H denotes the flight altitude, and V, Re, and Ma represent the flight velocity, Reynolds number, and Mach number. T, p, and ρ are the freestream temperature, pressure, and density, respectively. The wall temperature is maintained at a constant value of Tw = 300 K. The freestream air is composed of nitrogen and oxygen, with mass fractions of YN2 = 0.77 and YO2 = 0.23. Both super-catalytic wall (scw) and non-catalytic wall (ncw) conditions are simulated. The mesh dimensions are 61 × 121 (circumferential × radial), as depicted in Figure 4. Since the wall heat flux is highly sensitive to the grid configuration, we selected different wall grid thicknesses of 5 × 10−5 m, 1 × 10−5 m, and 5 × 10−6 m to compute the flow field at Ma = 16.92. The resulting wall heat fluxes are shown in Figure 5. The stagnation point heat flux was extracted to evaluate the deviation between different meshes. The deviation between Mesh 1 and Mesh 2 is less than 1%, while that between Mesh 2 and Mesh 3 is 4.6%. Therefore, the heat flux obtained using Mesh 2 is considered sufficiently accurate for the present study. The spacing of the first grid layer perpendicular to the wall is set to 1 × 10−5 m to ensure that the cell Reynolds number is less than 1 for all cases, which meets the requirements for reliable wall heat transfer prediction [54].

4.1. Flow Characteristics

In this section, the key features of the hypersonic flow field over a spherical configuration are briefly analyzed based on the computed results. The results for Case 3, with a Mach number of Ma = 30.37, illustrate the characteristics of hypersonic reentry flow, which are consistent across other cases. Figure 6 presents the distributions of translational–rotational temperature, vibrational–electronic temperature, and pressure for both super-catalytic wall (scw) and non-catalytic wall (ncw) conditions at Ma = 30.37. A strong bow shock forms ahead of the sphere, causing sharp increases in temperature and pressure behind the shock. The shock standoff distance is minimal, approximately 1/15 of the sphere radius RN, resulting in a thin shock layer. Both super-catalytic and non-catalytic wall conditions have negligible effects on temperature and pressure distributions within the shock layer. For further analysis, Figure 7 depicts the temperature distribution along the stagnation line under the non-catalytic wall condition. Temperature peaks immediately behind the shock and then rapidly decreases downstream. Within the shock layer, the translational–rotational temperature is significantly higher than the vibrational–electronic temperature, indicating a remarkable thermodynamic nonequilibrium. This nonequilibrium effect is most prominent immediately behind the shock and transitions to equilibrium over a short distance. Comparing paired cases with different Mach numbers but the same altitude (Ma = 16.92 and 28.2, Ma = 23.33 and 32.44, Ma = 26.57 and 30.37), it is evident that nonequilibrium effects intensify with increasing Mach number, as expected.

4.2. Assessment on Engineering Correlations of Stagnation Point Heat Flux

During hypersonic reentry of blunt body vehicles, the stagnation point is subjected to the most severe aerodynamic heating and therefore requires particular attention. This section focuses on the total stagnation point heat flux. First, the CFD results are compared with predictions from existing engineering correlations to verify the accuracy of the simulations. Then, the stagnation point heat flux is converted into the dimensionless Stanton number (St), which is subsequently correlated with Mach and Reynolds numbers. Modified dimensionless correlations for aerodynamic heating that accounts for thermochemical nonequilibrium effects are then proposed. Simplified engineering correlations for calculating stagnation point heat transfer, derived from the Fay–Riddell formula, have been proposed by Scott et al. [32], Detra and Hidalgo [33], Viviani [35], and Zoby et al. [34]. This section applies these four engineering correlations to calculate stagnation point heat fluxes, with the results compared against CFD results from PHAROS, as illustrated in Figure 8. The CFD data for both catalytic wall conditions demonstrate strong agreement with the engineering results, both quantitatively and qualitatively. As expected, the heat flux at the stagnation point is higher under super-catalytic wall conditions than under non-catalytic wall conditions due to the enhanced atomic recombination into molecules, which releases additional heat at the wall. The four engineering relations are as follows:
Q Scott = 18,300 ρ R N V 10 4 3.05 W cm 2
Q Detra = 11,030 R N ρ ρ SL V V circ 3.15 W cm 2
Q Anderson = 1.83 × 10 4 ρ R N 1 H w H e V 3 W m 2
Q Zoby = 3.88 × 10 4 P w R N H e H w W m 2
where ρSL is the density at sea level, which is 1.23 kg/m3, and Vcirc denotes the circular orbit velocity of 7950 m/s. He and Hw refer to the stagnation point enthalpy and wall enthalpy, respectively, with Hw << He.
Figure 9 demonstrates that the stagnation heat flux initially decreases and subsequently increases as the Mach number rises. Aerodynamic heating is influenced by both flight speed (Mach number) and freestream parameters. To provide insight into the essential tendency of aerodynamic heating with the freestream conditions, the stagnation heat transfer results from engineering methods and CFD simulations are converted into the dimensionless Stanton number, defined as follows:
St = q c w ρ V C p T κ 1 2 M a 2
where Cp and κ are the specific heats at constant pressure and the ratio of specific heats of the freestream, respectively. All Stanton numbers are then correlated with the Mach and Reynolds numbers and compared with relations proposed by Zhou et al. [36] (Equation (34)) and Du et al. [37] (Equation (35)) as follows:
St = 1.740 Ma 0.5 Re 0.5   ( Zhou   et   al . )
St = 1.085 Ma 0.65 Re 0.5   ( Du   et   al . ) .
As shown in Figure 9, the predictions from engineering methods align more closely with the relations proposed by Zhou et al. [36] and Du et al. [37] compared to the CFD data from PHAROS. The Stanton numbers from PHAROS, which account for thermochemical nonequilibrium effects under both catalytic wall conditions, demonstrate approximately linear relationships with Re0.5/Ma0.5 or Re0.65/Ma0.5, with a goodness of fit exceeding 0.97. However, the proportional coefficients in Equations (34) and (35) should be modified as 2.000 (scw)/1.219 (ncw) and 1.237 (scw)/0.761 (ncw) to account for thermochemical nonequilibrium effects.

4.3. Super-Catalytic and Non-Catalytic Wall Heat Fluxes

Wall catalysis significantly affects heat flux prediction. This section compares results under super-catalytic and non-catalytic wall conditions. The vehicle surface promotes the recombination of single-atom molecules or ions near the wall. For non-catalytic wall (ncw) conditions, the gradient of the wall species is set to zero, denoted by ∂Ys/∂y = 0. For super-catalytic wall (scw) conditions, the mass fraction of a single-atom species at the wall is set to zero, expressed as Ya = 0, allowing complete recombination reactions. To analyze the impact of super-catalytic and non-catalytic walls on wall heat flux, Figure 10 presents the distributions of wall heat fluxes under both catalytic boundary conditions for eight cases. The heat flux reaches its maximum at the stagnation point and gradually decreases along the wall. In this study, the maximum heat flux reaches 480 W/cm2 at Ma = 30.37. A comparison of the solid and dashed lines of the same color in Figure 10 reveals that the heat flux at the super-catalytic wall is significantly higher than at the non-catalytic wall across all cases, with a maximum discrepancy of 48.9%. This discrepancy is a significant source of uncertainty in aerodynamic heating predictions [55]. The heat transfer predictions for super-catalytic and non-catalytic walls are generally regarded as the upper and lower bounds of actual aerodynamic heating in hypersonic reentry vehicle design. Therefore, a deeper understanding of wall heat flux composition, including the influence of wall catalysis, is essential for accurately assessing the aerothermal environment in hypersonic reentry.

4.4. Identification of Different Heat Transfer Modes

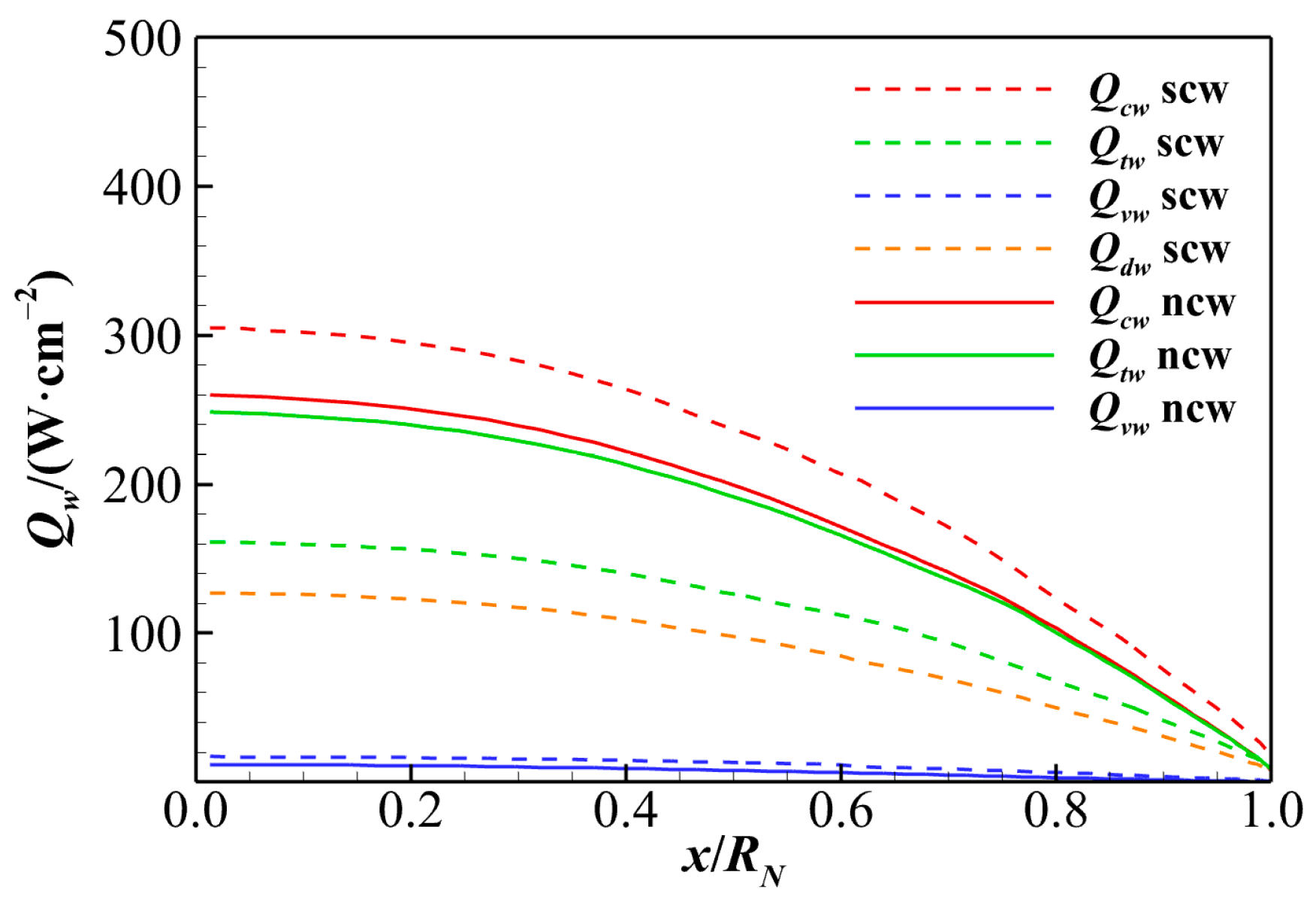
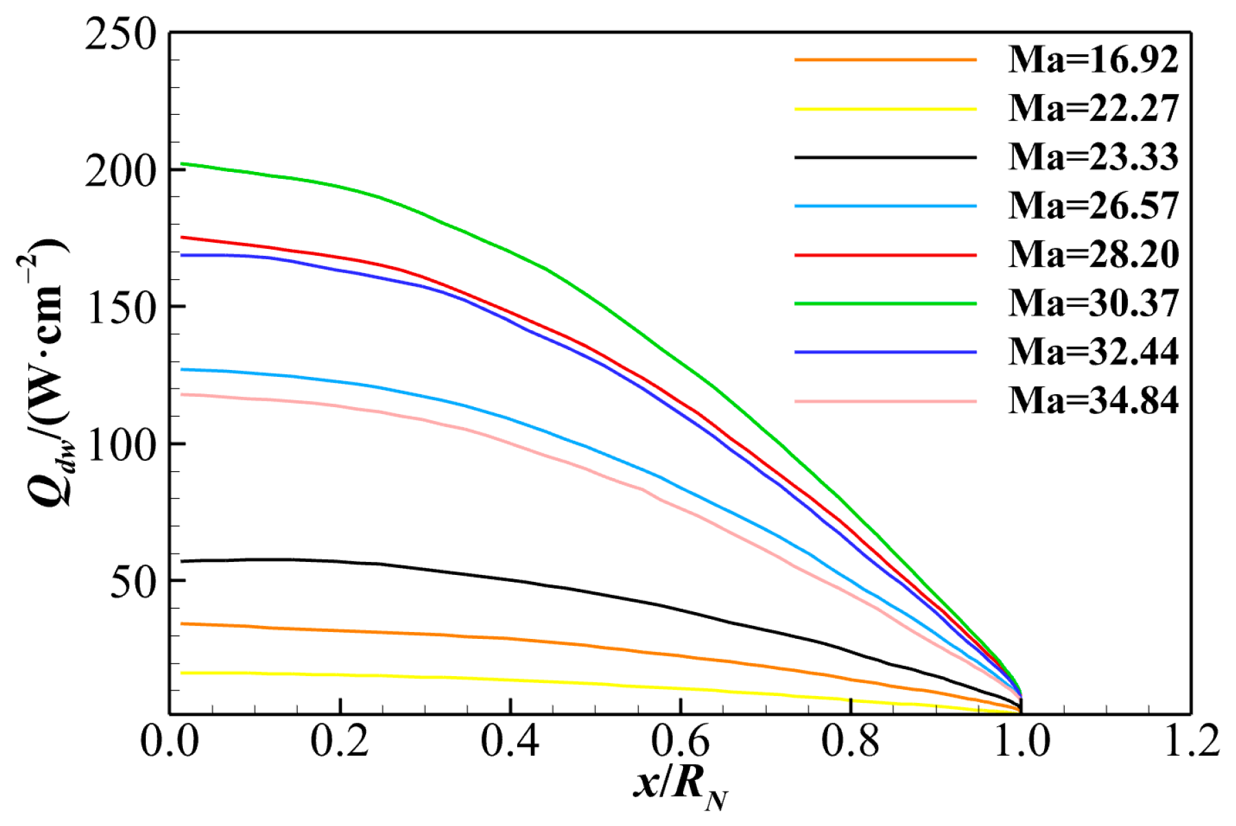
This section analyzes the mechanisms and contributions of translational–rotational heat flux, vibrational–electronic heat flux, and chemical diffusion heat. Each mode is nondimensionalized, and corresponding dimensionless correlations for stagnation point heat flux are proposed. According to the multi-temperature model and chemical kinetic model described in Section 2.4, the total aerodynamic heating can be decomposed into distinct heat transfer modes corresponding to various internal energy modes and chemical diffusion processes. Figure 11 illustrates the wall heat fluxes of different modes at Ma = 26.57 for both super-catalytic and non-catalytic wall conditions. Here, Qcw denotes the total wall heat flux, Qtw and Qvw represent the wall heat fluxes corresponding to the translational–rotational and vibrational–electronic energy modes, respectively, and Qdw is the chemical diffusion heat flux at the wall. For all heat transfer modes, the heat flux peaks at the stagnation point and gradually decreases downstream along the wall. Notably, under the non-catalytic wall condition, which imposes zero concentration gradients for all air species at the wall, there is no chemical diffusion heat flux, as described by Equation (27). However, the total wall heat flux under the non-catalytic wall condition is significantly greater than the sum of Qtw and Qvw under the super-catalytic wall condition. This indicates that chemical diffusion heat transfer redistributes aerodynamic heating among different modes, with Qdw playing a critical role. To further investigate this issue, the wall heat fluxes of different modes for all cases are presented in Figure 12 and Figure 13.
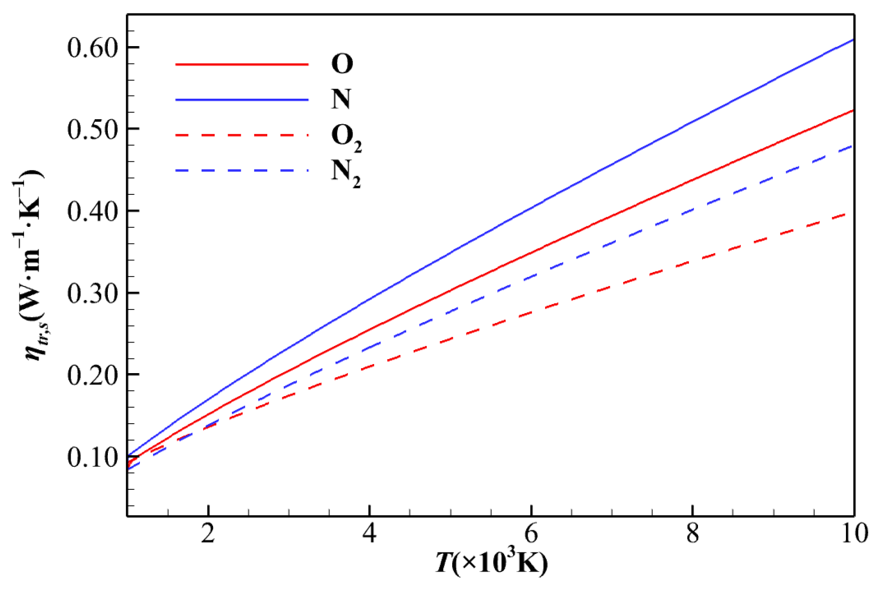
The translational–rotational heat flux Qtw under the super-catalytic wall condition is lower than that under the non-catalytic wall condition, while the vibrational–electronic heat flux Qvw exhibits the opposite trend. This suggests that recombination reactions near the surface reduce the translational–rotational heat flux but enhance the vibrational–electronic heat flux. According to Equations (25) and (26), the heat flux depends on both thermal conductivity and temperature gradient. Table 2 lists the temperature gradient between the first grid layer and the surface for both catalytic wall conditions, showing that the translational–rotational and vibrational–electronic temperature gradients are nearly identical for both conditions. This indicates that the significant difference in the heat fluxes between the two catalytic wall conditions primarily arises from variations in thermal conductivity. As shown in Figure 14, the thermal conductivity of diatomic molecules is lower than that of monatomic molecules for the same element. Due to the high percentage of diatomic molecules near the super-catalytic wall, the translational–rotational heat flux on the non-catalytic wall is larger than that on the super-catalytic wall. Since monatomic molecules are not considered in calculating vibrational–electronic thermal conductivity, the vibrational–electronic heat flux on the super-catalytic wall is higher than that on the non-catalytic wall. Figure 13 shows the distribution of chemical diffusion heat fluxes along the wall for all cases, with trends consistent with those of the total heat fluxes relative to Mach number.
The individual contributions of different heat transfer modes to total heat flux are also examined in detail, which is crucial for studying the aerothermal environment during hypersonic reentry. For all heat transfer modes, the stagnation point experiences the most intense aerothermal heating. As shown in Figure 12 and Figure 13, the heat flux along the entire wall follows a similar trend as the stagnation point heat flux, making it is reasonable to focus primarily on the variations of different stagnation heat transfer modes with freestream and flight parameters. Figure 11 demonstrates that, under the non-catalytic wall condition, the translational–rotational heat flux constitutes approximately 90% of the total heat flux, with the vibrational–electron heat flux contributing only a small portion. For the super-catalytic wall condition, the vibrational–electronic heat flux remains minimal, while the translational–rotational and chemical diffusion heat fluxes share the rest of total heat flux almost equally.
The contributions of different heat transfer modes to the total heat flux are further evaluated in dimensionless terms. Table 3 and Figure 15 show the percentage contributions of each heat transfer mode to the total heat flux under both catalytic wall conditions for all cases, where the x-axis is represented as Ma0.5/Re0.5 and Ma0.65/Re0.5, as referenced in Equations (34) and (35). It is observed that the proportion of each heat transfer mode to total aerodynamic heating remains essentially constant with variations in Ma and Re. For the non-catalytic wall, translational–rotational heat transfer is dominant, accounting for more than 95% of total aerodynamic heating. However, for the super-catalytic wall, the translational–rotational heat transfer accounts for 55%, while the chemical diffusion heat flux contributes approximately 40% of total aerodynamic heating. The vibrational–electronic heat transfer is only about 5% of total aerodynamic heating under both catalytic wall conditions. According to Equations (25) and (26), the translational–rotational and vibrational–electronic heat fluxes are calculated multiplying the corresponding thermal conductivities by temperature gradients perpendicular to the wall. As listed in Table 2, the wall temperature gradients are similar for both catalytic wall conditions, while the vibrational–electronic temperature gradient is greater than the translational–rotational temperature gradient. Therefore, the significant difference between the translation-rotational and the vibrational–electronic heat transfers likely arises from the considerable difference between their respective thermal conductivities.
To establish concise aerodynamic heating rules accounting for thermochemical nonequilibrium effects, Equations (34) and (35) are used to correlate the dimensionless Stanton numbers (St) of all stagnation point heat transfer modes with the Mach and Reynolds numbers. As shown in Figure 16, the St numbers of different modes remain well linearized with Ma0.5/Re0.5 and Ma0.65/Re0.5; however, the proportional coefficients need to be individually modified. The corresponding coefficients, accounting for thermochemical nonequilibrium effects, are provided in Table 4 based on CFD results.

5. Conclusions

This study simulates hypersonic flows over a standard sphere for eight typical reentry cases under both super-catalytic and non-catalytic wall conditions, incorporating thermochemical nonequilibrium effects using the in-house solver PHAROS. Different aerodynamic heating modes including the translational–rotational, vibrational–electronic and chemical diffusion heat transfers are identified based on the two-temperature model and Gupta eleven-species chemical kinetic model. The conclusions are summarized as follows:
(1)
A thin shock layer forms ahead of the sphere, leading to internal energy excitations and chemical reaction among air species. Significant thermochemical nonequilibrium effects occur within a short distance behind the shock. At the same flight altitude, the strength of the thermodynamic nonequilibrium effect increases with rising Mach number. The wall catalytic condition influences the reaction processes and species composition near the wall but has minimal impact on the main flow field.
(2)
The stagnation point heat transfers calculated using several simplified engineering correlations and the in-house solver PHAROS are compared, showing both quantitative and qualitative consistency. The stagnation point heat flux is then converted into a Stanton number and correlated with Reynolds and Mach numbers, referring to the relations proposed by Zhou et al. [36] and Du et al. [37]. All stagnation point Stanton numbers, whether from the engineering correlations or PHAROS, maintain a linear relationship with Re and Ma. However, when thermochemical nonequilibrium effects are included, the proportional coefficients should be adjusted as 2.000 (scw)/1.219 (ncw) and 1.237 (scw)/0.761 (ncw) in the Zhou et al. [36] and Du et al. [37] relations, respectively. Furthermore, the different heat transfer modes are also evaluated in the linear relations of St with Ma0.5/Re0.5 or Ma0.65/Re0.5, and the individual proportional coefficient for each mode are determined.
(3)
The contributions of different heat transfer modes to total heat flux are analyzed in dimensionless terms. Due to the extremely low vibrational–electronic thermal conductivity, the vibrational–electronic heat transfer constitutes only about 5% of the total heat flux under both catalytic wall conditions. The translational–rotational heat transfer accounts for approximately 95% of total aerodynamic heating under the non-catalytic wall condition. In the case of a super-catalytic wall, translational–rotational and chemical reaction heat transfers are roughly 55% and 40%, respectively. Therefore, special attention should be given to translational–rotational and chemical diffusion heat transfer modes when predicting aerodynamic heating for hypersonic reentry.
The identification of different heating modes provides a deeper understanding of the mechanisms underlying aerodynamic heating. Moreover, the dimensionless stagnation point aerodynamic heating correlation, corrected for thermochemical nonequilibrium effects, offers a valuable reference for linking a wide range of heat flux data to freestream conditions and for preliminary aerodynamic heating estimation. This study contributes new insights to both the physical understanding of hypersonic reentry heating mechanisms and their engineering applications. However, the current heat flux predictions are limited to super-catalytic and non-catalytic wall conditions. Future work should consider finite catalytic wall effects to better capture the underlying heating mechanisms.

Author Contributions

Conceptualization, S.H. and W.Z.; methodology, W.Z. and J.W.; software, J.W. and X.Y.; validation, X.D. and Z.Z.; formal analysis, S.H. and X.D.; investigation, J.W. and S.Z.; resources, J.W.; data curation, W.Z. and X.Y.; writing—original draft preparation, W.Z. and S.H.; writing—review and editing, W.Z. and S.H.; visualization, Z.Z. and X.D.; supervision, J.W. and S.Z.; project administration, J.H. and K.S.; funding acquisition, K.S. and J.H. All authors have read and agreed to the published version of the manuscript.

Funding

This research was funded by the Guangdong Basic and Applied Basic Research Foundation [grant number 2025A1515012081]; and National Natural Science Foundation of China [grant number 12002193]; and the “Xin Feng Xiang” Project of Key laboratory of hypersonic aerodynamic force and heat technology, AVIC Aerodynamics Research Institute [grant number XFX20220102].

Data Availability Statement

Dataset available on request from the authors.

Conflicts of Interest

The authors declare no conflicts of interest.

Abbreviations

The following abbreviations are used in this manuscript:
PHAROSParallel hypersonic aerothermodynamics and radiation optimized solver
CFDComputational fluid dynamics
N-SNavier–Stokes
DSMCDirect simulation Monte Carlo
NCCRNonlinear coupled constitutive relations
StSState to state
CLNConstant Lewis number
scwSuper-catalytic wall
ncwNon-catalytic wall

References

  1. Bertin, J.J.; Cummings, R.M. Critical Hypersonic Aerothermodynamic Phenomena. Annu. Rev. Fluid Mech. 2006, 38, 129–157. [Google Scholar] [CrossRef]
  2. Anderson, J.D. Hypersonic and High Temperature Gas Dynamics, 2nd ed.; AIAA: Reston, VA, USA, 2006; pp. 13–23. [Google Scholar]
  3. Candler, G.V. Rate Effects in Hypersonic Flows. Annu. Rev. Fluid Mech. 2019, 51, 379–402. [Google Scholar] [CrossRef]
  4. Knight, D.; Chazot, O.; Austin, J.; Badr, M.A.; Candler, G.; Celik, B.; de Rosa, D.; Donelli, R.; Komives, J.; Lani, A. Assessment of predictive capabilities for aerodynamic heating in hypersonic flow. Prog. Aerosp. Sci. 2017, 90, 39–53. [Google Scholar] [CrossRef]
  5. Massimi, H.S.; Shen, H.; Wen, C.-Y.; Chen, Y.-S.; Liang, S.-M. Numerical analysis of hypersonic flows around blunt-nosed models and a space vehicle. Aerosp. Sci. Technol. 2015, 43, 360–371. [Google Scholar] [CrossRef]
  6. Guo, J.; Wang, X.; Li, S. Investigation of high enthalpy thermochemical nonequilibrium flow over spheres. Phys. Fluids 2024, 36, 016122. [Google Scholar] [CrossRef]
  7. Lee, J.-H. Basic governing equations for the flight regimes of aeroassisted orbital transfer vehicles. In Proceedings of the 19th Thermophysics Conference, Snowmass, CO, USA, 25–28 June 1984; p. 1729. [Google Scholar]
  8. Gnoffo, P.A. Conservation Equations and Physical Models for Hypersonic Air Flows in Thermal and Chemical Nonequilibrium; NASA-TP-2867; NASA Langley Research Center: Washington, DC, USA, 1989. [Google Scholar]
  9. Park, C. Assessment of a two-temperature kinetic model for dissociating and weakly ionizing nitrogen. J. Thermophys. Heat Transf. 1988, 2, 8–16. [Google Scholar] [CrossRef]
  10. Park, C. Assessment of two-temperature kinetic model for ionizing air. J. Thermophys. Heat Transf. 1989, 3, 233–244. [Google Scholar] [CrossRef]
  11. Surzhikov, S.; Shang, J. Kinetic models analysis for super-orbital aerophysics. In Proceedings of the 46th AIAA Aerospace Sciences Meeting and Exhibit, Reno, Nevada, 7–10 January 2008; p. 1278. [Google Scholar]
  12. Ghezali, Y.; Haoui, R.; Chpoun, A. Effect of rotational nonequilibrium behind a normal shock wave in oxygen and nitrogen flow. Therm. Sci. Eng. Prog. 2020, 19, 100601. [Google Scholar] [CrossRef]
  13. Gupta, R.N.; Yos, J.M.; Thompson, R.A.; Lee, K.-P. A Review of Reaction Rates and Thermodynamic and Transport Properties for an 11-Species Air Model for Chemical and Thermal Nonequilibrium Calculations to 30,000 K; NASA-RP-1232; NASA Langley Research Center: Washington, DC, USA, 1990. [Google Scholar]
  14. Park, C. Review of chemical-kinetic problems of future NASA missions. I-Earth entries. J. Thermophys. Heat Transf. 1993, 7, 385–398. [Google Scholar] [CrossRef]
  15. Dunn, M.G.; Kang, S. Theoretical and Experimental Studies of Reentry Plasmas; NASA-CR-2232; NASA Langley Research Center: Washington, DC, USA, 1973. [Google Scholar]
  16. Zhenxun, G.; Chongwen, J.; Chun-Xuan, L. Review of numerical simulation methods for hypersonic and high-enthalpy non-equilibrium flow. Adv. Mech. 2023, 53, 561–591. [Google Scholar]
  17. Boyd, I. Nonequilibrium chemistry modeling in rarefied hypersonic flows. In Proceedings of the 33rd Thermophysics Conference, Norfolk, VA, USA, 28 June–1 July 1999; p. 3634. [Google Scholar]
  18. Boyd, I.D. Rotational and vibrational nonequilibrium effects in rarefied hypersonic flow. J. Thermophys. Heat Transf. 1990, 4, 478–484. [Google Scholar] [CrossRef]
  19. Yuan, Z.; Zhao, W.; Jiang, Z.; Chen, W. Numerical simulation of hypersonic reaction flows with nonlinear coupled constitutive relations. Aerosp. Sci. Technol. 2021, 112, 106591. [Google Scholar] [CrossRef]
  20. Shuhua, Z.; Zhenyu, Y.; Wenwen, Z.; Weifang, C. Numerical simulation of hypersonic thermochemical nonequilibrium flows using nonlinear coupled constitutive relations. Chin. J. Aeronaut. 2023, 36, 63–79. [Google Scholar]
  21. Kim, M.; Gülhan, A.; Boyd, I.D. Modeling of electron energy phenomena in hypersonic flows. J. Thermophys. Heat Transf. 2012, 26, 244–257. [Google Scholar] [CrossRef]
  22. Hao, J.; Wang, J.; Lee, C. Numerical study of hypersonic flows over reentry configurations with different chemical nonequilibrium models. Acta Astronaut. 2016, 126, 1–10. [Google Scholar] [CrossRef]
  23. Jianlong, Y.; Meng, L. Numerical analysis of hypersonic thermochemical non-equilibrium environment for an entry configuration in ionized flow. Chin. J. Aeronaut. 2019, 32, 2641–2654. [Google Scholar]
  24. He, Q.-S.; Sun, S.-R.; Cao, X.; Jia, H.; Du, Y.-W.; Wang, H.-X. Non-equilibrium modeling on the aerothermodynamic characteristics of hypersonic inflatable reentry vehicle. Aerosp. Sci. Technol. 2023, 141, 108524. [Google Scholar] [CrossRef]
  25. Yu, M.; Qiu, Z.; Zhong, B.; Takahashi, Y. Numerical simulation of thermochemical non-equilibrium flow-field characteristics around a hypersonic atmospheric reentry vehicle. Phys. Fluids 2022, 34, 126103. [Google Scholar] [CrossRef]
  26. Chen, S.; Hu, Y.; Sun, Q. Study of the coupling between real gas effects and rarefied effects on hypersonic aerodynamics. In AIP Conference Proceedings; American Institute of Physics: Melville, NY, USA, 2012; pp. 1515–1521. [Google Scholar]
  27. Hong, Q.; Hao, J.; Uy, K.C.K.; Wen, C.-Y.; Sun, Q. Thermochemical nonequilibrium effects on high-enthalpy double-wedge flows. Phys. Fluids 2022, 34, 063607. [Google Scholar] [CrossRef]
  28. Zhao, W.; Yang, X.; Wang, J.; Zheng, Y.; Zhou, Y. Evaluation of Thermodynamic and Chemical Kinetic Models for Hypersonic and High-Temperature Flow Simulation. Appl. Sci. 2023, 13, 9991. [Google Scholar] [CrossRef]
  29. Hao, J.; Wang, J.; Lee, C. State-specific simulation of oxygen vibrational excitation and dissociation behind a normal shock. Chem. Phys. Lett. 2017, 681, 69–74. [Google Scholar] [CrossRef]
  30. Fay, J.A.; Riddell, F.R. Theory of Stagnation Point Heat Transfer in Dissociated Air. J. Aerosp. Sci. 1958, 25, 73–85. [Google Scholar] [CrossRef]
  31. Lees, L. Laminar Heat Transfer Over Blunt-Nosed Bodies at Hypersonic Flight Speeds. J. Jet Propuls. 1956, 26, 259–269. [Google Scholar] [CrossRef]
  32. Scott, C.; Ried, R.; Maraia, R.; Li, C.-P.; Derry, S. An AOTV aeroheating and thermal protection study. In Proceedings of the 19th Thermophysics Conference, Snowmass, CO, USA, 25–28 June 1984; p. 1710. [Google Scholar]
  33. Detra, R.; Hidalgo, H. Generalized heat transfer formulas and graphs for nose cone re-entry into the atmosphere. ARS J. 1961, 31, 318–321. [Google Scholar] [CrossRef]
  34. Zoby, E.; Moss, J.; Sutton, K. Approximate convective-heating equations for hypersonic flows. J. Spacecr. Rocket. 1981, 18, 64–70. [Google Scholar] [CrossRef]
  35. Viviani, A.; Pezzella, G. Aerodynamic and Aerothermodynamic Analysis of Space Mission Vehicles; Springer: Berlin/Heidelberg, Germany, 2015. [Google Scholar]
  36. Zhou, B.; Yi, X.; Wang, Z.; Li, Z. Aerothermal Heating Correlations at Stagnation Point/Line in Low-Enthalpy Hypersonic Flow. AIAA J. 2023, 61, 1435–1439. [Google Scholar] [CrossRef]
  37. Du, T.; Chen, M.K.; Li, H.L.; Zhang, Y.L.; Shen, D. Suitability Analysis on Correlation Relation of Aerothermodynamics Entry Environment for Hypersonic Flying Vehicles. J. Astronaut. 2018, 39, 1039–1046. [Google Scholar]
  38. Tauber, M.E. A review of high-speed, convective, heat-transfer computation methods. In Proceedings of the Missile Aerodynamics Conference, Monterey, CA, USA, 31 October–2 November 1989. [Google Scholar]
  39. Yang, X.; Wang, J.; Zhou, Y.; Sun, K. Assessment of Radiative Heating for Hypersonic Earth Reentry Using Nongray Step Models. Aerospace 2022, 9, 219. [Google Scholar] [CrossRef]
  40. Lee, M.G. Numerical prediction of enhanced heat flux due to shock-on-shock interaction in hypersonic nonequilibrium flow. Int. J. Numer. Methods Heat Fluid Flow 1999, 9, 114–135. [Google Scholar] [CrossRef]
  41. Hao, J.; Wang, J.; Lee, C. Assessment of vibration–dissociation coupling models for hypersonic nonequilibrium simulations. Aerosp. Sci. Technol. 2017, 67, 433–442. [Google Scholar] [CrossRef]
  42. Hao, J.; Wang, J.; Lee, C. Development of a Navier—Stokes Code for Hypersonic Nonequilibrium Simulations. In Proceedings of the 21st AIAA International Space Planes and Hypersonics Technologies Conference, Xiamen, China, 6–9 March 2017; p. 2164. [Google Scholar]
  43. Vincenti, W.G.; Kruger, C.H., Jr.; Teichmann, T. Introduction to Physical Gas Dynamics; American Institute of Physics: Melville, NY, USA, 1966. [Google Scholar]
  44. Blottner, F.G.; Johnson, M.; Ellis, M. Chemically Reacting Viscous Flow Program for Multi-Component Gas Mixtures; Sandia National Lab.(SNL-NM): Albuquerque, NM, USA, 1971. [Google Scholar]
  45. Wilke, C.R. A viscosity equation for gas mixtures. J. Chem. Phys. 1950, 18, 517–519. [Google Scholar] [CrossRef]
  46. Gosse, R.; Candler, G. Diffusion flux modeling: Application to direct entry problems. In Proceedings of the 43rd AIAA Aerospace Sciences Meeting and Exhibit, Reno, Nevada, 10–13 January 2005; p. 389. [Google Scholar]
  47. MacCormack, R.W.; Candler, G.V. The solution of the Navier-Stokes equations using Gauss-Seidel line relaxation. Comput. Fluids 1989, 17, 135–150. [Google Scholar] [CrossRef]
  48. Van Leer, B. Towards the ultimate conservative difference scheme. J. Comput. Phys. 1997, 135, 229–248. [Google Scholar] [CrossRef]
  49. Wright, M.J.; Candler, G.V.; Bose, D. Data-Parallel Line Relaxation Method for the Navier-Stokes Equations. AIAA J. 1998, 36, 1603–1609. [Google Scholar] [CrossRef]
  50. Hao, J.; Wang, J.; Gao, Z.; Jiang, C.; Lee, C. Comparison of transport properties models for numerical simulations of Mars entry vehicles. Acta Astronaut. 2017, 130, 24–33. [Google Scholar] [CrossRef]
  51. Scalabrin, L.C. Numerical Simulation of Weakly Ionized Hypersonic Flow over Reentry Capsules; Citeseer: University Park, PA, USA, 2007. [Google Scholar]
  52. Chen, G.; Chen, W.; Lu, S.; Sun, M.; Song, R.; Sun, B. Study on the influence of high-temperature thermochemical nonequilibrium effects on the flow field characteristics around shaped wing. Phys. Fluids 2024, 36, 096129. [Google Scholar] [CrossRef]
  53. Surzhikov, S.T. Radiative gasdynamics of the nose surface of the Apollo-4 command module at its superobrital reentry. Fluid Dyn. 2018, 52, 815–831. [Google Scholar] [CrossRef]
  54. Papadopoulos, P.; Venkatapathy, E.; Prabhu, D.; Loomis, M.P.; Olynick, D. Current grid-generation strategies and future requirements in hypersonic vehicle design, analysis and testing. Appl. Math. Model. 1999, 23, 705–735. [Google Scholar] [CrossRef]
  55. Bose, D.; Brown, J.L.; Prabhu, D.K.; Gnoffo, P.; Johnston, C.O.; Hollis, B. Uncertainty Assessment of Hypersonic Aerothermodynamics Prediction Capability. J. Spacecr. Rocket. 2013, 50, 12–18. [Google Scholar] [CrossRef]
Figure 1. Geometry and axisymmetric computational grid of FIRE II.
Figure 1. Geometry and axisymmetric computational grid of FIRE II.
Energies 18 03417 g001
Figure 2. Heat fluxes along the wall predicted by different codes of FIRE II.
Figure 2. Heat fluxes along the wall predicted by different codes of FIRE II.
Energies 18 03417 g002
Figure 3. Heat fluxes along the wall of a cylinder in the HEG experiment.
Figure 3. Heat fluxes along the wall of a cylinder in the HEG experiment.
Energies 18 03417 g003
Figure 4. Grid for the hypersonic sphere.
Figure 4. Grid for the hypersonic sphere.
Energies 18 03417 g004
Figure 5. Wall heat flux of different grids.
Figure 5. Wall heat flux of different grids.
Energies 18 03417 g005
Figure 6. Distributions of translational–rotational temperature (a), vibrational–electronic temperature (b), and pressure (c) at Ma = 30.37 under both super-catalytic wall (scw) and non-catalytic wall (ncw) conditions.
Figure 6. Distributions of translational–rotational temperature (a), vibrational–electronic temperature (b), and pressure (c) at Ma = 30.37 under both super-catalytic wall (scw) and non-catalytic wall (ncw) conditions.
Energies 18 03417 g006
Figure 7. Translational–rotational temperature (T) and vibrational–electronic temperature (Tve) distributions along the stagnation line under non-catalytic wall conditions.
Figure 7. Translational–rotational temperature (T) and vibrational–electronic temperature (Tve) distributions along the stagnation line under non-catalytic wall conditions.
Energies 18 03417 g007
Figure 8. Stagnation point heat fluxes predicted by PHAROS and engineering correlations.
Figure 8. Stagnation point heat fluxes predicted by PHAROS and engineering correlations.
Energies 18 03417 g008
Figure 9. Stagnation point heat transfer correlated with Ma and Re based on relations proposed by Zhou et al. [36] (a) and Du et al. [37] (b).
Figure 9. Stagnation point heat transfer correlated with Ma and Re based on relations proposed by Zhou et al. [36] (a) and Du et al. [37] (b).
Energies 18 03417 g009
Figure 10. Wall heat fluxes predicted with super-catalytic wall (dashed line) and non-catalytic wall (solid line) conditions.
Figure 10. Wall heat fluxes predicted with super-catalytic wall (dashed line) and non-catalytic wall (solid line) conditions.
Energies 18 03417 g010
Figure 11. Wall heat fluxes of different modes at Ma = 26.57.
Figure 11. Wall heat fluxes of different modes at Ma = 26.57.
Energies 18 03417 g011
Figure 12. Translational–rotational heat flux (a) and vibrational–electronic heat flux (b) along the super-catalytic wall (dashed line) and non-catalytic wall (solid line).
Figure 12. Translational–rotational heat flux (a) and vibrational–electronic heat flux (b) along the super-catalytic wall (dashed line) and non-catalytic wall (solid line).
Energies 18 03417 g012
Figure 13. Chemical diffusion heat flux along the super-catalytic wall.
Figure 13. Chemical diffusion heat flux along the super-catalytic wall.
Energies 18 03417 g013
Figure 14. Translational–rotational thermal conductivities for different species.
Figure 14. Translational–rotational thermal conductivities for different species.
Energies 18 03417 g014
Figure 15. Proportions of different heat transfer modes to total aerodynamic heating at the stagnation point in dimensionless forms based on Zhou et al. [36] (a) and Du et al. [37] (b).
Figure 15. Proportions of different heat transfer modes to total aerodynamic heating at the stagnation point in dimensionless forms based on Zhou et al. [36] (a) and Du et al. [37] (b).
Energies 18 03417 g015
Figure 16. Stanton numbers of different heat transfer modes correlated with Ma and Re based on Zhou et al. [36] (a) and Du et al. [37] (b).
Figure 16. Stanton numbers of different heat transfer modes correlated with Ma and Re based on Zhou et al. [36] (a) and Du et al. [37] (b).
Energies 18 03417 g016
Table 1. Freestream conditions for the hypersonic sphere cases.
Table 1. Freestream conditions for the hypersonic sphere cases.
No.t/sH/kmV/(km∙s−1)ReMaT/Kp/Paρ/(kg·m−3)
15667.310.5082,033.434.842267.801.20 × 10−4
26361.010.20169,131.632.4424619.202.73 × 10−4
37356.49.76274,126.930.3725735.304.79 × 10−4
48254.99.15302,733.328.2026243.105.73 × 10−4
59356.48.54239,861.026.5725735.304.79 × 10−4
611861.07.32121,778.023.3324519.202.73 × 10−4
720973.26.5023,347.122.272123.185.23 × 10−5
842354.95.49182,274.016.9226243.105.75 × 10−4
Table 2. Temperature gradient at the first grid layer along the stagnation point line.
Table 2. Temperature gradient at the first grid layer along the stagnation point line.
Mascw ∆Ttr/∆xcellncw ∆Ttr/∆xcellscw ∆Tve/∆xcellncw ∆Tve/∆xcell
16.922.904 × 10−43.446 × 10−42.595 × 10−32.753 × 10−3
22.271.451 × 10−41.344 × 10−42.247 × 10−32.430 × 10−3
23.334.351 × 10−45.569 × 10−43.145 × 10−33.003 × 10−3
26.572.609 × 10−33.203 × 10−34.088 × 10−34.095 × 10−3
28.203.353 × 10−34.148 × 10−34.655 × 10−34.765 × 10−3
30.373.682 × 10−34.497 × 10−34.937 × 10−34.808 × 10−3
32.443.169 × 10−33.863 × 10−34.598 × 10−34.050 × 10−3
34.842.434 × 10−32.787 × 10−34.018 × 10−33.265 × 10−3
Table 3. Proportions of different heat transfer modes to total aerodynamic heating at the stagnation point (unit: %).
Table 3. Proportions of different heat transfer modes to total aerodynamic heating at the stagnation point (unit: %).
Ma16.9222.2723.3326.5728.2030.3732.4434.84
Sttw/Stcwncw95.494.996.595.595.195.596.797.9
Stvw/Stcw4.65.13.54.54.94.53.32.1
Sttw/Stcwscw56.456.553.552.852.852.351.952.4
Stvw/Stcw4.76.25.05.55.75.85.85.7
Stdw/Stcw38.937.341.541.741.541.942.341.9
Table 4. Proportional coefficients C for different heat transfer modes including thermochemical nonequilibrium effects.
Table 4. Proportional coefficients C for different heat transfer modes including thermochemical nonequilibrium effects.
RelationsCatalytic WallOriginalModifiedHeat Transfer Mode
QtwQvwQdw
St = C·Ma0.5 Re−0.5 (Zhou et al. [36])scw1.7402.0001.1400.1310.730
ncw1.7401.2191.1660.055\
St = C·Ma0.65 Re−0.5 (Du et al. [37]).scw1.0851.2370.7020.0810.455
ncw1.0850.7610.7300.033\
Disclaimer/Publisher’s Note: The statements, opinions and data contained in all publications are solely those of the individual author(s) and contributor(s) and not of MDPI and/or the editor(s). MDPI and/or the editor(s) disclaim responsibility for any injury to people or property resulting from any ideas, methods, instructions or products referred to in the content.

Share and Cite

MDPI and ACS Style

He, S.; Zhao, W.; Dong, X.; Zhang, Z.; Wang, J.; Yang, X.; Zhang, S.; Hao, J.; Sun, K. Analysis of Aerodynamic Heating Modes in Thermochemical Nonequilibrium Flow for Hypersonic Reentry. Energies 2025, 18, 3417. https://doi.org/10.3390/en18133417

AMA Style

He S, Zhao W, Dong X, Zhang Z, Wang J, Yang X, Zhang S, Hao J, Sun K. Analysis of Aerodynamic Heating Modes in Thermochemical Nonequilibrium Flow for Hypersonic Reentry. Energies. 2025; 18(13):3417. https://doi.org/10.3390/en18133417

Chicago/Turabian Style

He, Shuai, Wei Zhao, Xinyue Dong, Zhuzhu Zhang, Jingying Wang, Xinglian Yang, Shiyue Zhang, Jiaao Hao, and Ke Sun. 2025. "Analysis of Aerodynamic Heating Modes in Thermochemical Nonequilibrium Flow for Hypersonic Reentry" Energies 18, no. 13: 3417. https://doi.org/10.3390/en18133417

APA Style

He, S., Zhao, W., Dong, X., Zhang, Z., Wang, J., Yang, X., Zhang, S., Hao, J., & Sun, K. (2025). Analysis of Aerodynamic Heating Modes in Thermochemical Nonequilibrium Flow for Hypersonic Reentry. Energies, 18(13), 3417. https://doi.org/10.3390/en18133417

Note that from the first issue of 2016, this journal uses article numbers instead of page numbers. See further details here.

Article Metrics

Back to TopTop