Droplet Vaporization/Combustion Stability-Based Design of Pre-Combustion Chambers for Hybrid Propellant Rocket Motors †
Abstract
1. Introduction
- coupled an adapted form of Priem’s 1-D vaporization model with a Summerfield-type feed-system stability map, yielding a single algorithm that guarantees both complete oxidizer vaporization and low-frequency stability;
- derived an engineering window, , that reduces inert mass and the stored-gas enthalpy required in self-pressurized/inert-gas feed systems.
- quantified how the residual uncertainty in predicted propagates to characteristic-velocity efficiency and overall energy demand, a metric of growing importance for cleaner, more resource-efficient access-to-space applications; and
- calculated the emissions variation as a function of the pre-combustion chamber length.
2. Injection System
2.1. Aspects of Design
2.2. Aspects of Two-Phase Oxidizer Injection
3. Impact on Combustion Stability
3.1. Feed-System Coupled Instability
3.2. Pre-Chamber Impact
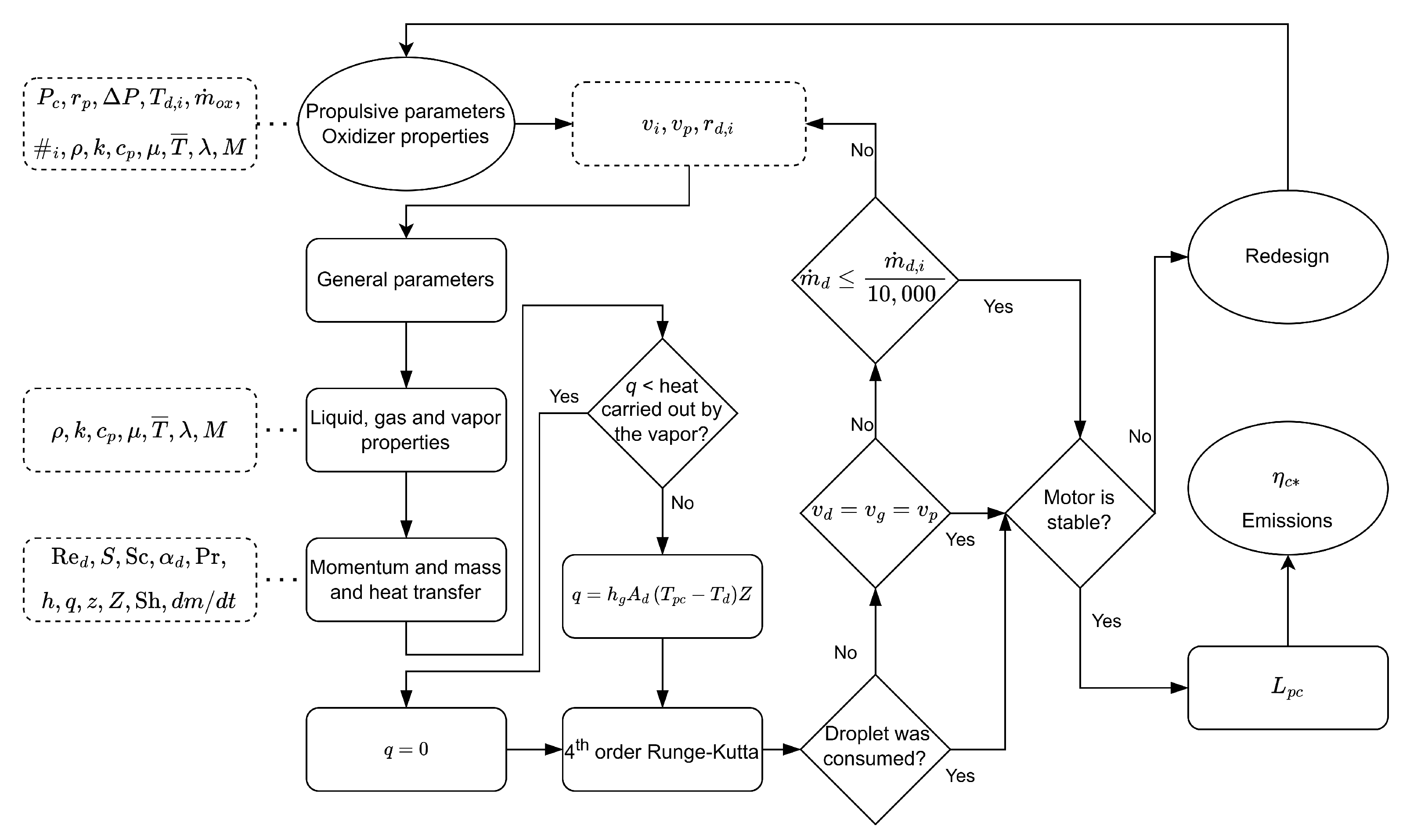
4. Design Methodology
- No combustion and chemical reactions, since there is no fuel in the pre-chamber;
- No breakup processes (atomized section of Figure 1) and no thermal decomposition;
- Droplets remain spherical;
- Constant thermophysical properties of the gas inside the pre-chamber;
- One-dimensional model;
- Turbulence effects are neglected;
- No droplet interactions;
- Only convective heat transfer is considered;
- Transient model in a steady-state motor operation;
- Use of liquid oxidizers; and
- Cavitating/choked flow injectors are not considered.

- Droplet consumption;
- Mass transfer; and
- Gas and droplet velocities.
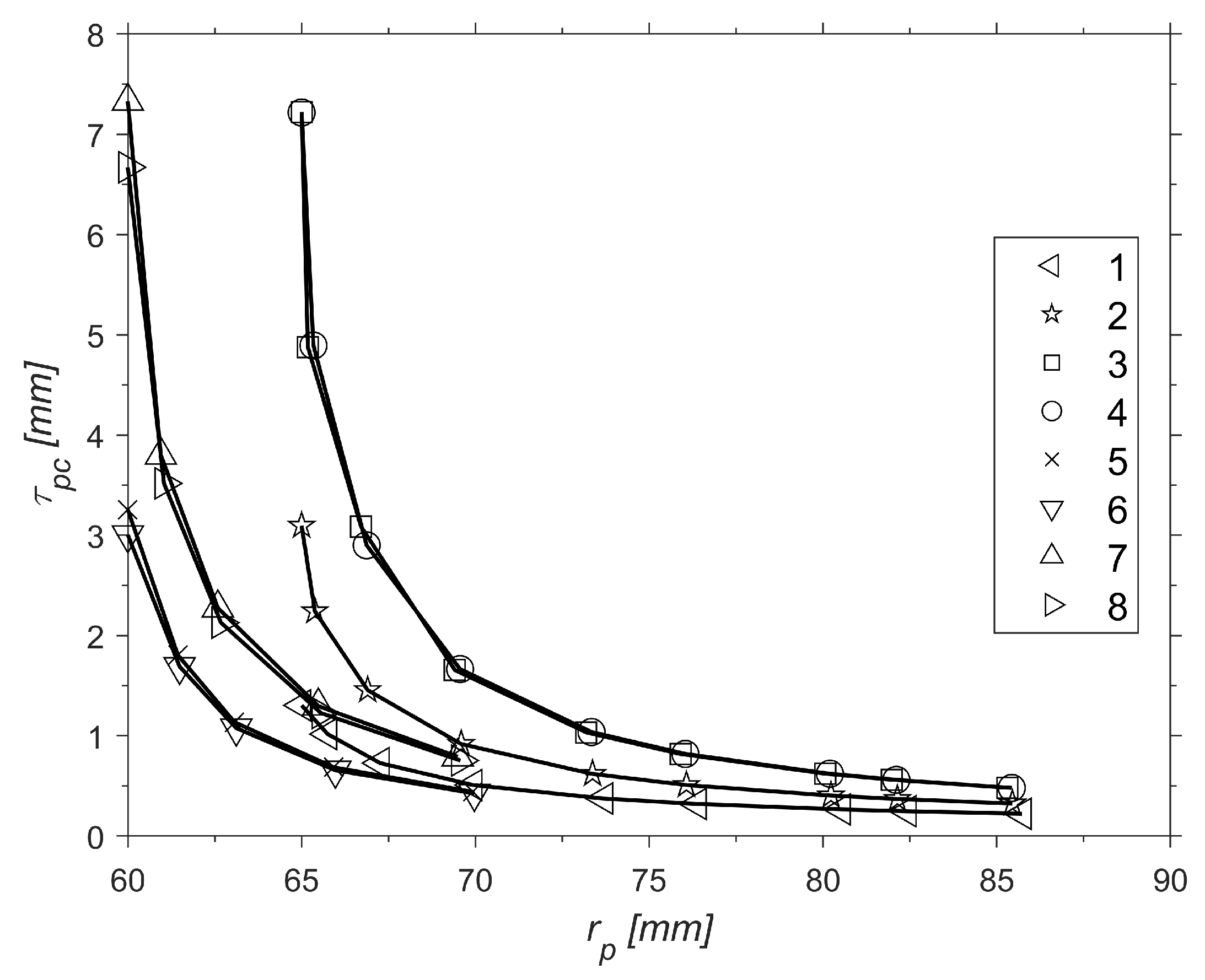
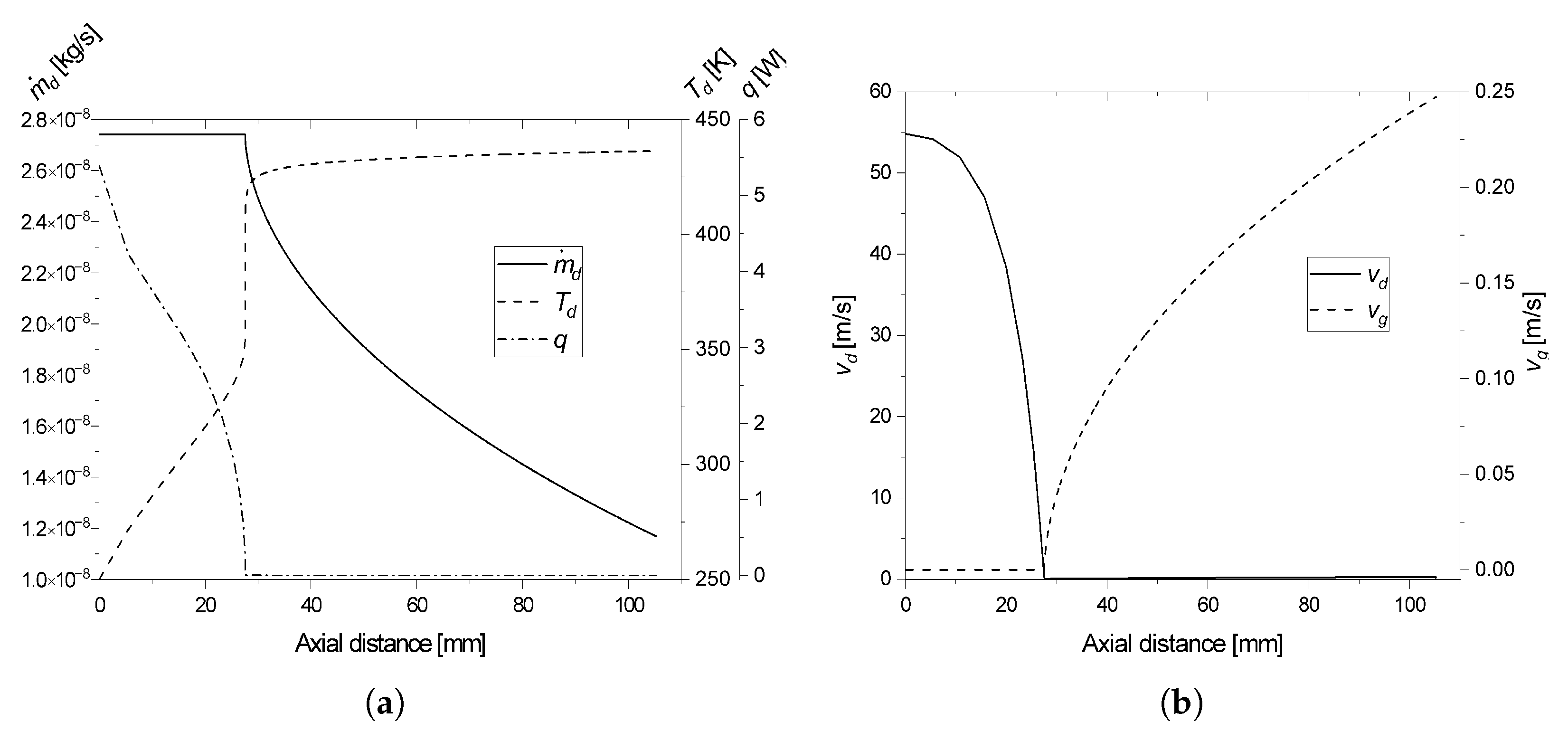
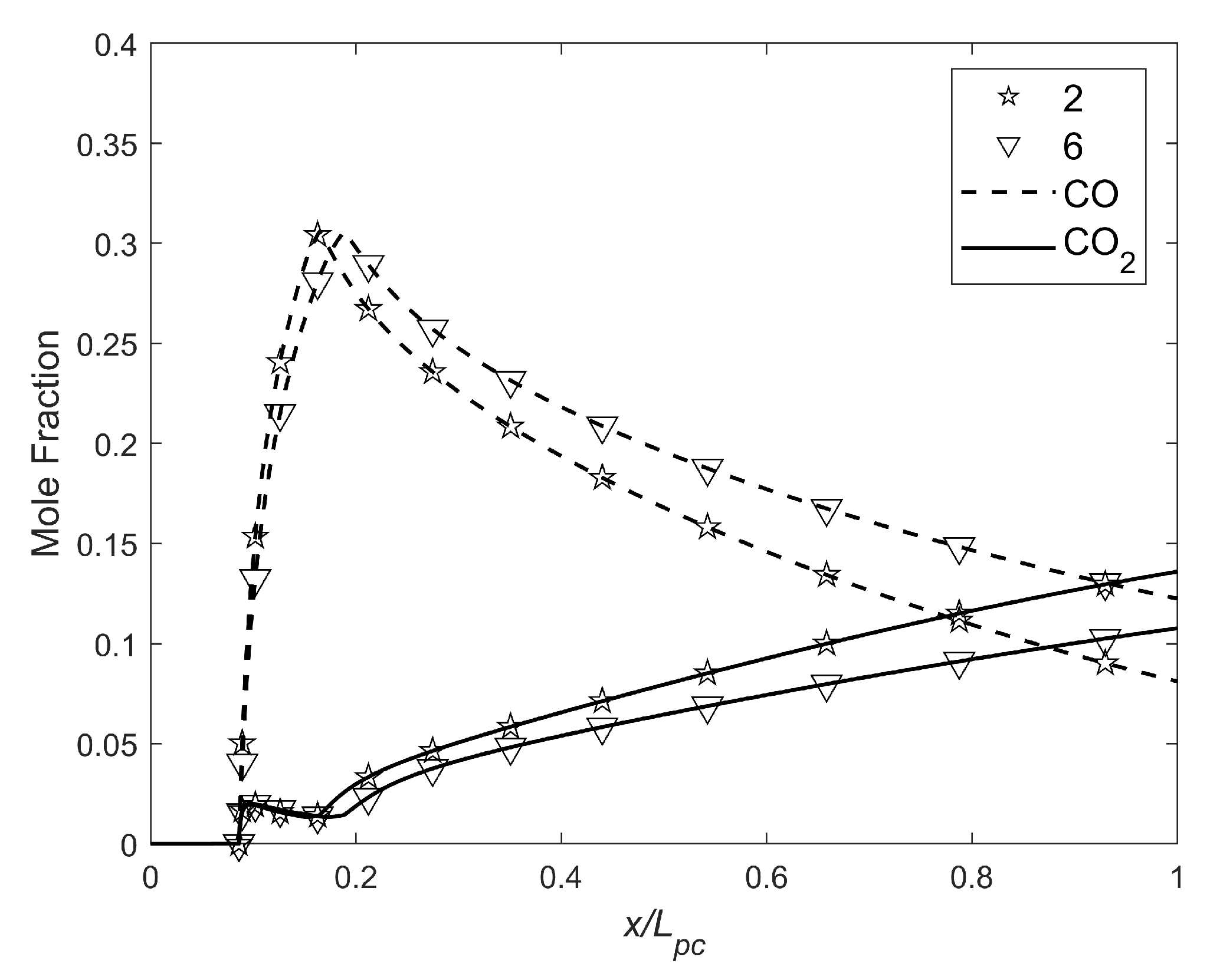
5. Results, Validation, and Discussions
- to use the theory presented in this work (vaporization + stability);
- molecular dynamics for droplet scale validation;
- CFD for engine validation; and
- cold and hot experimental testing verification.
6. Conclusions
Author Contributions
Funding
Data Availability Statement
Acknowledgments
Conflicts of Interest
Abbreviations
| CEA | Chemical Equilibrium with Applications |
| CFD | Computational Fluid Dynamics |
| CV | Control volume |
| HEM | Homogeneous Equilibrium Model |
| HPRM | Hybrid Propellant Rocket Motor |
| LPRE | Liquid Propellant Rocket Engine |
| LOX | Liquid Oxygen |
| MAPE | Mean Absolute Percentage Error |
| MMD | Mass Mean Diameter |
| NHNE | Nonhomogeneous Nonequilibrium |
| NIST | National Institute of Standards and Technology |
| SMD | Sauter Mean Diameter |
| SPI | Single Phase Incompressible |
| ULB | Université Libre de Bruxelles |
| UnB | University of Brasilia |
| HEM | Homogeneous Equilibrium Model |
References
- Humble, R.W.; Henry, C.N.; Larson, W.J. Space Propulsion Analysis and Design; Wiley J: Hoboken, NJ, USA, 1995. [Google Scholar]
- Sutton, G.P.; Biblarz, O. Rocket Propulsion Elements, 9th ed.; Wiley: Hoboken, NJ, USA, 2016. [Google Scholar]
- Chiaverini, M.J.; Kuo, K.K. Fundamentals of Hybrid Rocket Combustion and Propulsion; Progress in Astronautics and Aeronautics; AIAA: Reston, VA, USA, 2007; Volume 218. [Google Scholar]
- Lee, J.; Bertoldi, A.E.M.; Andrianov, A.; Borges, R.A.; Veras, C.A.G. The Role of Pre-Combustion Chamber Design in the Feed-System Coupled Instability of Hybrid Rocket. J. Propuls. Power 2020, 36, 796–805. [Google Scholar] [CrossRef]
- Bertoldi, A.E.M. Study of Combustion Instability in Hybrid Propellant Rocket Motor (in Portuguese). Ph.D. Thesis, University of Brasília, Brasília, Brazil, July 2018. [Google Scholar]
- Sporschill, G. Numerical Approach of a Hybrid Rocket Engine Behaviour—Modelling the Liquid Oxidizer Injection Using a Lagrangian Solver. Master’s Thesis, Polytechnic Institute of Paris, Palaiseau, France, 2017. [Google Scholar]
- Dequick, B.; Lefebvre, M.; Hendrick, P. CFD Simulation of a 1kN Paraffin-Fueled Hybrid Rocket Engine. In Proceedings of the AIAA Propulsion and Energy Forum, Virtual, 24–28 August 2020. [Google Scholar]
- Paccagnella, E.; Gelain, R.; Barato, F.; Pavarin, D.; Berg, P.v.d.; Barreiro, F. CFD Simulations of Self-Pressurized Nitrous Oxide Hybrid Rocket Motors. In Proceedings of the AIAA Propulsion and Energy Forum, Cincinnati, OH, USA, 9–11 July 2018. [Google Scholar]
- Balasubramanian, A.K.; Kumar, V.; Nakod, P.; Schütze, J.; Rajan, A. Multiscale Modelling of a Doublet Injector Using Hybrid VOF-DPM Method. In Proceedings of the AIAA Scitech Forum, Orlando, FL, USA, 6–10 January 2020. [Google Scholar]
- Costa, F.; Vieira, R. Preliminary Analysis of Hybrid Rockets for Launching Nanosats into LEO. J. Braz. Soc. Mech. Sci. Eng. 2010, 32, 502–509. [Google Scholar] [CrossRef]
- Gamper, E.; Hink, R. Design and Test of Nitrous Oxide Injectors for a Hybrid Rocket Engine. In Proceedings of the Deutscher Luft-und Raumfahrtkongress, Stuttgart, Germany, 10–12 September 2013. [Google Scholar]
- Consolini, L.; Aggarwal, S.K.; Sohail, M.T. A Molecular Dynamics Simulation of Droplet Evaporation. Int. J. Heat Mass Transf. 2003, 46, 3179–3188. [Google Scholar] [CrossRef]
- Turns, S.R. An Introduction to Combustion: Concepts and Applications, 3rd ed.; McGraw-Hill: New York, NY, USA, 2011. [Google Scholar]
- Spalding, D.B. Combustion in Liquid-Fuel Rocket Motors. Aeronaut. Q. 1959, 10, 1–27. [Google Scholar] [CrossRef]
- Spalding, D.B. A One-Dimensional Theory of Liquid-Fuel Rocket Combustion; Aeronautical Research Council: London, UK, 1959. [Google Scholar]
- Adler, J. A One-Dimensional Theory of Liquid-Fuel Rocket Combustion. Part II. The Influence of Chemical Reaction; Aeronautical Research Council: London, UK, 1959. [Google Scholar]
- Priem, R.J.; Heidmann, M.F. Vaporization of Propellants in Rocket Engines. ARS J. 1959, 29, 836–842. [Google Scholar] [CrossRef]
- Priem, R.J. Propellant Vaporization as a Criterion for Rocket Engine Design; Calculations of Chamber Length to Vaporize a Single n-Heptane Drop; Technical Note 3985; NACA: Washington, DC, USA, 1957. [Google Scholar]
- Priem, R.J. Propellant Vaporization as a Criterion for Rocket Engine Design; Calculations Using Various Log-Probability Distributions of Heptane Drops; Technical Note 4098; NACA: Washington, DC, USA, 1957. [Google Scholar]
- Priem, R.J. Propellant Vaporization as a Criterion for Rocket Engine Design; Calculations of Chamber Length to Vaporize Various Propellants; Technical Note 3883; NACA: Washington, DC, USA, 1958. [Google Scholar]
- Priem, R.J.; Borman, G.L.; Walkil, M.M.E.; Uyehara, O.A.; Myers, P.S. Experimental and Calculated Histories of Vaporizing Fuel Drops; Technical Note 3988; NACA: Washington, DC, USA, 1957. [Google Scholar]
- Khan, T.; Qamar, I.; Shah, F.; Akhtar, K.; Akhtar, R. Model for Fuel Droplet Evaporation in Combustion Chamber of Liquid Propellant Rocket Engines. J. Eng. Appl. Sci. 2018, 37, 1–10. [Google Scholar]
- Khan, T.; Qamar, I. Factors Affecting Characteristic Length of the Combustion Chamber of Liquid Propellant Rocket Engines. Mehran Univ. Res. J. Eng. Technol. 2019, 38, 729–744. [Google Scholar] [CrossRef]
- Salvador, C.A.V. Mathematical Model of Bipropellant Combustion Chambers (in Portuguese). Master’s Thesis, National Institute for Space Research, São Paulo, Brazil, 2004. [Google Scholar]
- Wang, Z.G. Internal Combustion Process of Liquid Rocket Engines: Modeling and Numerical Simulations; John Wiley & Sons: Singapore, 2016. [Google Scholar]
- Hegazy, M.; Belal, H.M.; Makled, A.; Al-Sanabawy, M.A. Validation of a Simplified Model for Liquid Propellant Rocket Engine Combustion Chamber Design. In Proceedings of the 19th International Conference on Applied Mechanics and Mechanical Engineering (AMME-19), Cairo, Egypt, 7–9 April 2020; Volume 973. [Google Scholar]
- Belal, H.M. Vaporization-Controlled Simplified Model for Liquid Propellant Rocket Engine Combustion Chamber Design. In Proceedings of the 18th International Conference on Aerospace Sciences & Aviation Technology, Cairo, Egypt, 9–11 April 2019; Volume 610. [Google Scholar]
- Belal, H.M. Numerical Simulation of Spray Combustion. Master’s Thesis, Military Technical College, Cairo, Egypt, 2010. [Google Scholar]
- Gontijo, M.S.; Fischer, G.A.A.; Costa, F.S. Evaluation of SMD Effects on Characteristic Lengths of Liquid Rocket Engines Using Ethanol/LOX and RP-1/LOX. In Proceedings of the 18th Brazilian Congress of Thermal Sciences and Engineering, Bento Gonçalves, Brazil, 16–20 November 2020. [Google Scholar]
- Karabeyoglu, A.; Dyer, J.; Stevens, J.; Cantwell, B. Modeling of N2O Decomposition Events. In Proceedings of the 44th AIAA/ASME/SAE/ASEE Joint Propulsion Conference & Exhibit, Hartford, CT, USA, 21–23 July 2008. [Google Scholar]
- Bouziane, M.; Bertoldi, A.E.M.; Hendrick, P.; Lefebvre, M. Experimental Investigation of the Axial Oxidizer Injectors Geometry on A 1-kN Paraffin-Fueled Hybrid Rocket Motor. FirePhysChem 2021, 1, 231–243. [Google Scholar] [CrossRef]
- Andrianov, A.; Shynkarenko, O.; Bertoldi, A.E.M.; Barcelos, M.N.D.J.; Veras, C.A.G. Concept and Design of the Hybrid Test-Motor for Development of a Propulsive Decelerator of SARA Reentry Capsule. In Proceedings of the 51st AIAA/SAE/ASEE Joint Propulsion Conference, Orlando, FL, USA, 27–29 July 2015. [Google Scholar]
- Lefebvre, A.H.; McDonell, V.G. Atomization and Sprays, 2nd, ed.; Taylor & Francis Group: Abingdon, UK, 2007. [Google Scholar]
- Waxman, B.S. Investigation of Injectors for Use with High Vapor Pressure Propellants with Applications to Hybrid Rockets. Ph.D. Thesis, Stanford University, Stanford, CA, USA, 2014. [Google Scholar]
- Saeedipour, M.; Schneiderbauer, S.; Pirker, S.; Bozorgi, S. A Numerical and Experimental Study of Flow Behavior in High Pressure Die Casting. Magnes. Technol. 2014, 2016, 185–190. [Google Scholar]
- Schimdt, P.; Walzel, P. Zerstäuben von Flüssigkeiten. Phys. Unserer Zeit 1984, 15, 113–120. [Google Scholar] [CrossRef]
- Qian, J.; Law, C.K. Regimes of Coalescence and Separation in Droplet Collision. J. Fluid Mech. 1997, 31, 59–80. [Google Scholar] [CrossRef]
- Gontijo, M.S. Investigation of Pressure-Swirl Injectors Sprays Interaction in Liquid Propellant Rocket Engines. Master’s Thesis, Aeronautics Institute of Technology, Sao Jose dos Campos, Brazil, 2024. [Google Scholar]
- Nurick, W.H. Orifice Cavitation and Its Effect on Spray Mixing. J. Fluids Eng. 1976, 98, 681. [Google Scholar] [CrossRef]
- Whitmore, S.A.; Chandler, S.N. Engineering Model for Self-Pressurizing Saturated-N2O-Propellant Feed Systems. J. Propuls. Power 2010, 26, 706–714. [Google Scholar] [CrossRef]
- Dyer, J.; Doran, E.; Dunn, Z.; Lohner, K.; Zilliac, G.; Cantwell, B. Modeling Feed System Flow Physics for Self-Pressurizing Propellants. In Proceedings of the 43rd AIAA/ASME/SAE/ASEE Joint Propulsion Conference & Exhibit, Cincinnati, OH, USA, 8–11 July 2007. [Google Scholar]
- Solomon, B.J. Engineering Model to Calculate Mass Flow Rate of a Two-Phase Saturated Fluid Through an Injector Orifice. Master’s Thesis, Utah State University, Logan, UT, USA, 2011. [Google Scholar]
- Linstrom, P.J. A Guide to the NIST Chemistry WebBook; National Institute of Standards and Technology (NIST): Gaithersburg, MD, USA, 2022. [Google Scholar]
- Zimmerman, J.E.; Waxman, B.S.; Cantwell, B.J.; Zilliac, G.G. Review and Evaluation of Models for Self-Pressurizing Propellant Tank Dynamics. In Proceedings of the 49th AIAA/ASME/SAE/ASEE Joint Propulsion Conference & Exhibit, San Jose, CA, USA, 14–17 July 2013. [Google Scholar]
- Zilliac, G.G.; Karabeyoglu, A. Modeling of Propellant Tank Pressurization. In Proceedings of the 41st AIAA/ASME/SAE/ASEE Joint Propulsion Conference & Exhibit, Tucson, AZ, USA, 11–13 July 2005. [Google Scholar]
- Niño, E.V.; Razavi, M.R. Design of Two-Phase Injectors Using Analytical and Numerical Methods with Application to Hybrid Rockets. In Proceedings of the AIAA Propulsion and Energy Forum, Indianapolis, IN, USA, 19–22 August 2019. [Google Scholar]
- Summerfield, M.A. A Theory of Unstable Combustion in Liquid Propellant Rocket Systems. J. Am. Rocket. Soc. 1951, 21, 108–114. [Google Scholar] [CrossRef]
- Bouziane, M.; Bertoldi, E.A.M.; Lee, D.; Milova, P.; Hendrick, P.; Lefebvre, M. Design and Experimental Evaluation of Liquid Oxidizer Injection System for Hybrid Rocket Motors. In Proceedings of the 7th European Conference for Aeronautics and Space Sciences, Milan, Spain, 3–6 July 2017. [Google Scholar]
- Karabeyoglu, A.M.; Zilwa, S.; Cantwell, B.; Zilliac, G. Modeling of Hybrid Rocket Low Frequency Instabilities. J. Propuls. Power 2005, 21, 1107–1116. [Google Scholar] [CrossRef]
- Sirignano, W.A. Fluid Dynamics and Transport of Droplets and Sprays, 2nd ed.; Cambridge University Press: New York, NY, USA, 2012. [Google Scholar]
- Ranz, W.E.; Marshall, W.R. Evaporation from Drops. Chem. Eng. Prog. 1952, 48, 141–146. [Google Scholar]
- Chapman, S.; Cowling, T.G. Mathematical Theory of Non-Uniform Gases, 3rd ed.; Cambridge University Press: New York, NY, USA, 1991. [Google Scholar]
- Ingebo, R.D. Vaporization Rates and Drag Coefficients for Isooctane Sprays in Turbulent Air Streams; Technical Note 3265; NACA: Washington, DC, USA, 1954. [Google Scholar]
- Abramzon, B.; Sirignano, W.A. Droplet Vaporization Model for Spray Combustion Calculations. Int. J. Heat Mass Transf. 1989, 32, 1605–1618. [Google Scholar] [CrossRef]
- Gontijo, M.S.; Filho, R.B.N.; Domingos, C.H.F.L. Design of Pre-Combustion Chambers for Hybrid Propellant Rocket Motors and Related Aspects. In Proceedings of the AIAA Scitech Forum, National Harbor, MD, USA & Online, 23–27 January 2023. [Google Scholar]
- Gordon, S.; McBride, B.J. Computer Program for Calculation of Complex Chemical Equilibrium Compositions and Applications—I. Analysis; NASA-RP-1311; NASA: Washington, DC, USA, 1994. [Google Scholar]












| Motor # | [mm] | [bar] | [bar] | [kg/s] | [ms] | [ms] | [ms] |
|---|---|---|---|---|---|---|---|
| 1 | 56.6 | 25.2 | 24.7 | 0.211 | 7.5 | 6.1 | 26.7 |
| 2 | 157.6 | 39.0 | 15.2 | 0.396 | 11.9 | 4.3 | 38.2 |
| 3 | 56.6 | 42.4 | 9.5 | 0.379 | 4.5 | 4.9 | 22.8 |
| 4 | 56.6 | 40.7 | 10.3 | 0.432 | 3.9 | 4.2 | 19.4 |
| 5 | 102.5 | 16.5 | 30.0 | 0.380 | 4.0 | 2.5 | 36.5 |
| 6 | 102.5 | 16.8 | 30.7 | 0.390 | 3.9 | 2.5 | 37.1 |
| 7 | 102.5 | 24.0 | 21.6 | 0.540 | 5.1 | 2.4 | 36.5 |
| 8 | 102.5 | 22.7 | 23.1 | 0.576 | 4.8 | 2.1 | 32.3 |
| # | [mm] | [mm] | Difference [%] |
|---|---|---|---|
| (Real) | (Simulated) | ||
| 1 | 56.6 | 44.3 | 21.73 ↓ |
| 2 | 157.6 | 105.2 | 33.25 ↓ |
| 3 | 56.6 | 245.5 | 333.74 ↑ |
| 4 | 56.6 | 245.3 | 333.39 ↑ |
| 5 | 102.5 | 97.6 | 4.78 ↓ |
| 6 | 102.5 | 90.1 | 12.07 ↓ |
| 7 | 102.5 | 219.9 | 114.53 ↑ |
| 8 | 102.5 | 200.1 | 95.22 ↑ |
| Parameter | Value |
|---|---|
| Mean | 0.53 |
| Median | 0.38 |
| Interval | / |
Disclaimer/Publisher’s Note: The statements, opinions and data contained in all publications are solely those of the individual author(s) and contributor(s) and not of MDPI and/or the editor(s). MDPI and/or the editor(s) disclaim responsibility for any injury to people or property resulting from any ideas, methods, instructions or products referred to in the content. |
© 2025 by the authors. Licensee MDPI, Basel, Switzerland. This article is an open access article distributed under the terms and conditions of the Creative Commons Attribution (CC BY) license (https://creativecommons.org/licenses/by/4.0/).
Share and Cite
Gontijo, M.S.; Shynkarenko, O.; Bertoldi, A.E.M. Droplet Vaporization/Combustion Stability-Based Design of Pre-Combustion Chambers for Hybrid Propellant Rocket Motors. Energies 2025, 18, 3123. https://doi.org/10.3390/en18123123
Gontijo MS, Shynkarenko O, Bertoldi AEM. Droplet Vaporization/Combustion Stability-Based Design of Pre-Combustion Chambers for Hybrid Propellant Rocket Motors. Energies. 2025; 18(12):3123. https://doi.org/10.3390/en18123123
Chicago/Turabian StyleGontijo, Maurício Sá, Olexiy Shynkarenko, and Artur E. M. Bertoldi. 2025. "Droplet Vaporization/Combustion Stability-Based Design of Pre-Combustion Chambers for Hybrid Propellant Rocket Motors" Energies 18, no. 12: 3123. https://doi.org/10.3390/en18123123
APA StyleGontijo, M. S., Shynkarenko, O., & Bertoldi, A. E. M. (2025). Droplet Vaporization/Combustion Stability-Based Design of Pre-Combustion Chambers for Hybrid Propellant Rocket Motors. Energies, 18(12), 3123. https://doi.org/10.3390/en18123123

