Numerical Analysis of the Characteristic Chemical Timescale of a C2H4/O2 Non-Premixed Rotating Detonation Engine
Abstract
1. Introduction
2. Numerical Methodology
2.1. Quasi-Global (QG) Chemistry
2.2. Validation
2.3. Geometrical Configuration
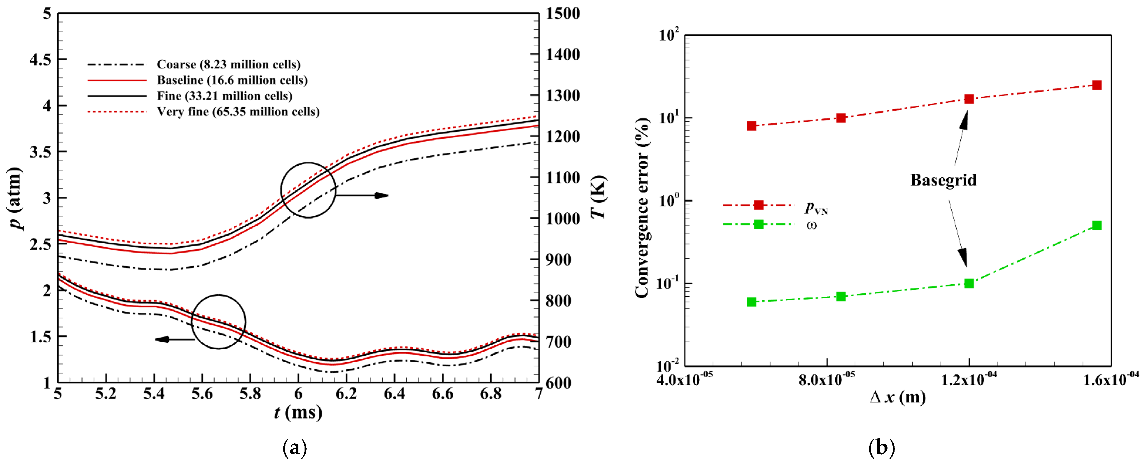
2.4. Grid Convergence
3. Results and Discussion
3.1. Macroscopic Flow-Field Comparison
3.2. Instantaneous Flow-Field
3.3. Axial Pressure Distribution
3.4. Injector Flow Profiles and Its Dynamics
3.5. Chemical Reaction Timescale
3.6. Chemical Induction Timescale
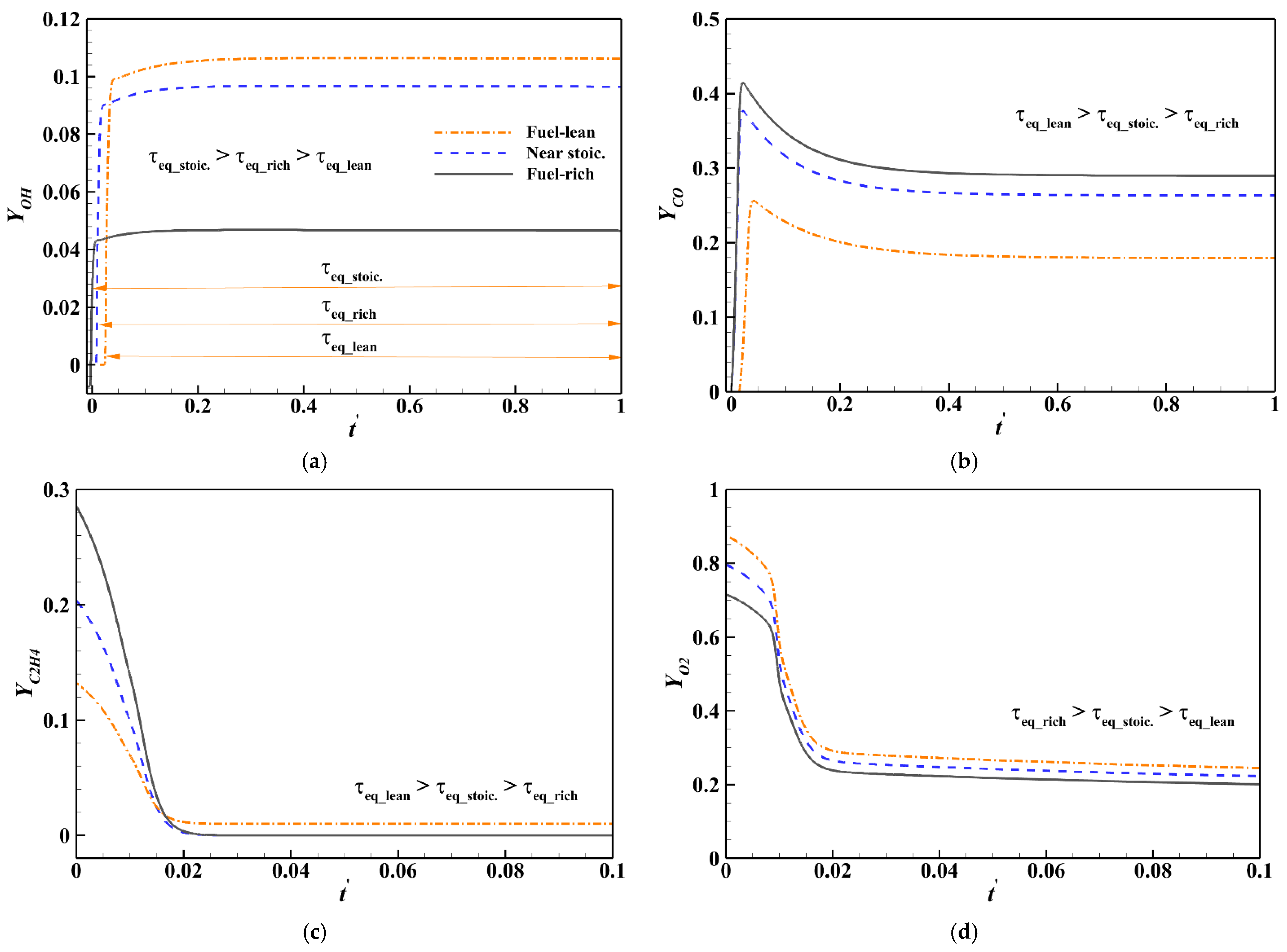
3.7. Chemical Equilibrium Timescale
4. Conclusions
Author Contributions
Funding
Data Availability Statement
Conflicts of Interest
Abbreviations
| p | pressure, atm |
| T | temperature, K |
| τ | timescale |
| t | cycle time |
| Y | mass fraction |
| Θ | thermicity, 1/s |
| u, v, w | velocity vectors, m/s |
| ρ | density, kg/m3 |
| e | total energy per unit volume, J/m3 |
| R | universal gas constant, J/kg.mol |
| M | molecular weight, kg/mol |
| h | enthalpy, J |
| c | specific heat capacity, J/kg·K |
| ∆ | grid size |
| ϕ | equivalence ratio |
| U | velocity, m/s |
| ω | detonation wave speed, m/s |
| ns | nanosecond |
| µs | microsecond |
| ms | millisecond |
| Subscripts | |
| c | characteristics |
| ind. | induction time, s |
| rxn. | chemical reaction, s |
| eq. | chemical equilibrium, s |
| res. | chamber residence, s |
| mix. | reactant mixing, s |
| avail. | available mixing, s |
| inj.rec. | injector recovery, s |
| inj.rev. | injector flow reversal, s |
| acoustic. | acoustic, s |
| s | species |
| i | partial |
| 0 | chamber |
| VN | von Neumann |
| p | constant pressure, atm |
References
- Ma, F.; Choi, J.-Y.; Yang, V. Propulsive performance of airbreathing pulse detonation engines. J. Propuls. Power 2006, 22, 1188–1203. [Google Scholar] [CrossRef]
- Frolov, S.; Aksenov, V.; Ivanov, V.; Shamshin, I. Large-scale hydrogen–air continuous detonation combustor. Int. J. Hydrogen Energy 2015, 40, 1616–1623. [Google Scholar] [CrossRef]
- Anand, V.; George, A.S.; Driscoll, R.; Gutmark, E. Investigation of rotating detonation combustor operation with H2-air mixtures. Int. J. Hydrogen Energy 2016, 41, 1281–1292. [Google Scholar] [CrossRef]
- Rankin, B.A.; Richardson, D.R.; Caswell, A.W.; Naples, A.G.; Hoke, J.L.; Schauer, F.R. Chemiluminescence imaging of an optically accessible non-premixed rotating detonation engine. Combust. Flame 2017, 176, 12–22. [Google Scholar] [CrossRef]
- Athmanathan, V.; Braun, J.; Ayers, Z.M.; Fugger, C.A.; Webb, A.M.; Slipchenko, M.N.; Paniagua, G.; Roy, S.; Meyer, T.R. On the effects of reactant stratification and wall curvature in non-premixed rotating detonation combustors. Combust. Flame 2022, 240, 112013. [Google Scholar] [CrossRef]
- Sato, T.; Chacon, F.; White, L.; Raman, V.; Gamba, M. Mixing and detonation structure in a rotating detonation engine with an axial air inlet. Proc. Combust. Inst. 2021, 38, 3769–3776. [Google Scholar] [CrossRef]
- Salvadori, M.; Panchal, A.; Menon, S. Simulation of liquid droplets combustion in a rotating detonation engine. Proc. Combust. Inst. 2022, 39, 3063–3072. [Google Scholar] [CrossRef]
- Pal, P.; Demir, S.; Som, S. Numerical analysis of combustion dynamics in a full-scale rotating detonation rocket engine using large eddy simulations. J. Energy Resour. Technol. 2023, 145, 021702. [Google Scholar] [CrossRef]
- Nejaamtheen, M.N.; Kim, T.Y.; Pavalavanni, P.K.; Ryu, J.; Choi, J.Y. Effects of the dimensionless radius of an annulus on the detonation propagation characteristics in circular and non-circular rotating detonation engines. Shock Waves 2021, 31, 703–715. [Google Scholar] [CrossRef]
- Iyer, M.; Ivin, K.; Singh, A.V. Exploring critical detonation parameters in Ethylene-oxygen detonations. In AIP Conference Proceedings; AIP Publishing: New York, NY, USA, 2023; Volume 2584, p. 030019. [Google Scholar] [CrossRef]
- Law, C.K. A compilation of experimental data on laminar burning velocities. In Reduced Kinetic Mechanisms for Applications in Combustion Systems; Peters, N., Rogg, B., Eds.; Springer: Berlin/Heidelberg, Germany, 1993; pp. 15–26. [Google Scholar]
- Powers, J.M. Review of multiscale modeling of detonation. J. Propuls. Power 2006, 22, 1217–1229. [Google Scholar] [CrossRef]
- Wolański, P. Rotating detonation wave stability. In Proceedings of the 23rd ICDERS, Irvine, CA, USA, 24–29 July 2011; pp. 1–6. [Google Scholar]
- Stechmann, D.P.; Heister, S.D.; Harroun, A.J. Rotating detonation engine performance model for rocket applications. J. Spacecr. Rockets 2019, 56, 887–898. [Google Scholar] [CrossRef]
- Fievisohn, R.T.; Hoke, J.; Schumaker, S.A. Product recirculation and incipient autoignition in a rotating detonation engine. In Proceedings of the AIAA Scitech, Orlando, FL, USA, 6–10 January 2020; p. 2286. [Google Scholar] [CrossRef]
- Bennewitz, J.W.; Burr, J.R.; Lietz, C.F. Characteristic timescales for rotating detonation rocket engines. In Proceedings of the AIAA Propulsion and Energy 2021 Forum, Virtual Event, 9–11 August 2021; p. 3671. [Google Scholar] [CrossRef]
- Dave, R.T.; Burr, J.R.; Branch, R.C.D.; Ross, M.C.; Bennewitz, J.W. Timescale Analysis for a Standard Rotating Detonation Rocket Engine. In Proceedings of the 29th ICDERS, Seoul, Republic of Korea, 23–28 July 2023. [Google Scholar]
- Wang, Y.; Qiao, W.; Le, J. Combustion characteristics in rotating detonation engines. J. Aerosp. Eng. 2021, 2021, 8839967. [Google Scholar] [CrossRef]
- Burke, R. Characteristics of Rotating Detonation Engines for Propulsion and Power Generation Power Generatio. Ph.D. Thesis, University of Central Florida, Central, FL, USA, 2020. [Google Scholar]
- Koch, J.; Kutz, J.N. Modeling thermodynamic trends of rotating detonation engines. Phys. Fluids 2020, 32, 126102. [Google Scholar] [CrossRef]
- Wilke, C.R. A viscosity equation for gas mixtures. J. Chem. Phys. 1950, 18, 517–519. [Google Scholar] [CrossRef]
- Chase, M., Jr.; Curnutt, J.; Downey, J., Jr.; McDonald, R.; Syverud, A.; Valenzuela, E. JANAF thermochemical tables, 1982 supplement. J. Phys. Chem. Ref. Data 1982, 11, 695–940. [Google Scholar] [CrossRef]
- Mathur, S.; Tondon, P.; Saxena, S. Thermal conductivity of binary, ternary and quaternary mixtures of rare gases. Mol. Phys. 1967, 12, 569–579. [Google Scholar] [CrossRef]
- Singh, D.; Jachimowski, C.J. Quasiglobal reaction model for ethylene combustion. AIAA J. 1994, 32, 213–216. [Google Scholar] [CrossRef]
- Noh, J.; Choi, J.-Y.; Yang, V. Numerical Simulation of Ethylene Fueled Scramjet Combustor with Air Throttling, Part 1: Auto-Ignition. J. Propuls. Energy 2020, 1, 32–43. [Google Scholar]
- Gay, I.; Glass, G.; Kern, R.; Kistiakowsky, G. Ethylene—Oxygen reaction in shock waves. J. Chem. Phys. 1967, 47, 313–320. [Google Scholar] [CrossRef]
- Baker, J.A.; Skinner, G.B. Shock-tube studies on the ignition of ethylene-oxygen-argon mixtures. Combust. Flame 1972, 19, 347–350. [Google Scholar] [CrossRef]
- Jachimowski, C.J. An experimental and analytical study of acetylene and ethylene oxidation behind shock waves. Combust. Flame 1977, 29, 55–66. [Google Scholar] [CrossRef]
- Dagaut, P.; Boettner, J.C.; Cathonnet, M. Ethylene pyrolysis and oxidation: A kinetic modeling study. Int. J. Chem. Kinet. 1990, 22, 641–664. [Google Scholar] [CrossRef]
- Brown, C.; Thomas, G. Experimental studies of shock-induced ignition and transition to detonation in ethylene and propane mixtures. Combust. Flame 1999, 117, 861–870. [Google Scholar] [CrossRef]
- Varatharajan, B.; Williams, F. Ethylene ignition and detonation chemistry, part 1: Detailed modeling and experimental comparison. J. Propuls. Power 2002, 18, 344–351. [Google Scholar] [CrossRef]
- USC Mech Version II. High-Temperature Combustion Reaction Model of H2/CO/C1-C4 Compounds. Available online: https://ignis.usc.edu:80/Mechanisms/USC-Mech%20II/USC_Mech_ver_II.txt (accessed on 1 May 2007).
- Browne, S.; Ziegler, J.; Shepherd, J.E. Numerical solution methods for shock and detonation jump conditions. GALCIT Rep. FM2006 2008, 6, 90. [Google Scholar]
- Goodwin, D.G.; Speth, R.L.; Moffat, H.K.; Weber, B.W. Cantera: An object-oriented software toolkit for chemical kinetics, thermodynamics, and transport processes. Zenodo 2018. [Google Scholar] [CrossRef]
- Strehlow, R.A. Cell Width vs. Initial Pressure; C2H4-O2-Ar. 1969. Available online: https://shepherd.caltech.edu/detn_db/html/C2H4-Ox1.html (accessed on 1 May 2007).
- Wang, C.; Xu, S.; Guo, C. Gaseous detonation propagation in a bifurcated tube. J. Fluid Mech. 2008, 599, 81–110. [Google Scholar] [CrossRef]
- Han, H.-S.; Lee, E.S.; Choi, J.-Y. Experimental Investigation of Detonation Propagation Modes and Thrust Performance in a Small Rotating Detonation Engine Using C2H4/O2 Propellant. Energies 2021, 14, 1381. [Google Scholar] [CrossRef]
- Koo, I.-H.; Lee, K.-H.; Kim, M.-S.; Han, H.-S.; Kim, H.; Choi, J.-Y. Effects of Injector Configuration on the Detonation Characteristics and Propulsion Performance of Rotating Detonation Engine (RDE). Aerosp 2023, 10, 949. [Google Scholar] [CrossRef]
- Frolov, S.; Smetanyuk, V.; Ivanov, V.; Basara, B. The influence of the method of supplying fuel components on the characteristics of a rotating detonation Engine. Combust. Sci. Technol. 2021, 193, 511–538. [Google Scholar] [CrossRef]
- Sato, T.; Van Beck, C.; Raman, V. Numerical and boundary condition effects on the prediction of detonation engine behavior using detailed numerical simulations. Front. Aerosp. Eng. 2023, 2, 1123249. [Google Scholar] [CrossRef]
- Prakash, S.; Bielawski, R.; Raman, V.; Ahmed, K.; Bennewitz, J. Three-dimensional Numerical Simulations of a Liquid RP-2/O2 based Rotating Detonation Engine. Combust. Flame 2024, 259, 113097. [Google Scholar] [CrossRef]
- Salvadori, M.; Panchal, A.; Menon, S. Simulation of wave mode switching in a rotating detonation engine with gaseous and liquid fuel. Aerosp. Sci. Technol. 2024, 147, 109008. [Google Scholar] [CrossRef]

















| No. | Reaction b | Pre-Exponential Factor (A) | Exponent of T (n) | Activation Energy (E) |
|---|---|---|---|---|
| 1 | C2H4 + O2 ⇄ 2CO + 2H2 | 1.80 × 1014 | 0.00 | 35,500 |
| 2 | CO + O ⇄ CO2 + M | 5.30 × 1013 | 0.00 | −4540 |
| 3 | CO + OH ⇄ CO2 + H | 4.40 × 1006 | 1.50 | −740 |
| 4 | H2 + O2 ⇄ OH + OH | 1.70 × 1013 | 0.00 | 48,000 |
| 5 | H + O2 ⇄ OH + O | 2.60 × 1014 | 0.00 | 16,800 |
| 6 | OH + H2 ⇄ H2O + H | 2.20 × 1013 | 0.00 | 5150 |
| 7 | O + H2 ⇄ OH + H | 1.80 × 1010 | 1.00 | 8900 |
| 8 | OH + OH ⇄ H2O + O | 6.30 × 1013 | 0.00 | 1090 |
| 9 | H + H ⇄ H2 + M | 6.40 × 1017 | −1.00 | 0.00 |
| 10 | H + OH ⇄ H2O + M | 2.20 × 1022 | −2.00 | 0.00 |
| Parameters | RDE Chamber (Initial Conditions) | Fuel-Lean Mixture (ϕ = 0.9) | Near-Stoichiometric Mixture (ϕ = 1.01) | Fuel-Rich Mixture (ϕ = 1.1) | |||
|---|---|---|---|---|---|---|---|
| Case 01 | Case 02 | Case 03 | |||||
| C2H4 Plenum | O2 Plenum | C2H4 Plenum | O2 Plenum | C2H4 Plenum | O2 Plenum | ||
| Mach | 0.01 | choked | choked | choked | |||
| T0 (K) | 300 | 300 | 300 | 300 | |||
| P0 (atm) | 1.973 | 2.269 | 3.792 | 2.305 | 4.116 | 2.549 | 5.311 |
| O2 mixture (%) | 75 | - | 100 | - | 100 | - | 100 |
| C2H4 mixture (%) | 25 | 100 | - | 100 | - | 100 | - |
Disclaimer/Publisher’s Note: The statements, opinions and data contained in all publications are solely those of the individual author(s) and contributor(s) and not of MDPI and/or the editor(s). MDPI and/or the editor(s) disclaim responsibility for any injury to people or property resulting from any ideas, methods, instructions or products referred to in the content. |
© 2025 by the authors. Licensee MDPI, Basel, Switzerland. This article is an open access article distributed under the terms and conditions of the Creative Commons Attribution (CC BY) license (https://creativecommons.org/licenses/by/4.0/).
Share and Cite
Nejaamtheen, M.N.; Sung, B.-K.; Choi, J.-Y. Numerical Analysis of the Characteristic Chemical Timescale of a C2H4/O2 Non-Premixed Rotating Detonation Engine. Energies 2025, 18, 989. https://doi.org/10.3390/en18040989
Nejaamtheen MN, Sung B-K, Choi J-Y. Numerical Analysis of the Characteristic Chemical Timescale of a C2H4/O2 Non-Premixed Rotating Detonation Engine. Energies. 2025; 18(4):989. https://doi.org/10.3390/en18040989
Chicago/Turabian StyleNejaamtheen, Mohammed Niyasdeen, Bu-Kyeng Sung, and Jeong-Yeol Choi. 2025. "Numerical Analysis of the Characteristic Chemical Timescale of a C2H4/O2 Non-Premixed Rotating Detonation Engine" Energies 18, no. 4: 989. https://doi.org/10.3390/en18040989
APA StyleNejaamtheen, M. N., Sung, B.-K., & Choi, J.-Y. (2025). Numerical Analysis of the Characteristic Chemical Timescale of a C2H4/O2 Non-Premixed Rotating Detonation Engine. Energies, 18(4), 989. https://doi.org/10.3390/en18040989

