Next Article in Journal
Microstructure-Driven Hygrothermal Behavior of Mycelium-Based Composites for Bio-Based Insulation
Next Article in Special Issue
Investigating the Effect of Thermal Pretreatment on Chalcopyrite Grinding for Comminution Energy Reduction
Previous Article in Journal
Study on Fracture Interference and Formation Mechanisms of Complex Fracture Networks in Continental Shale Oil Horizontal Well Staged Fracturing
 
 
Font Type:
Arial Georgia Verdana
Font Size:
Aa Aa Aa
Line Spacing:
Column Width:
Background:
Article

Pyrolysis Mechanism of Victorian Brown Coal Under Microwave and Conventional Conditions for Hydrogen-Rich Gas Production

by
Quan Sun
1,
Salman Khoshk Rish
1,
Jianglong Yu
2 and
Arash Tahmasebi
1,*
1
School of Engineering, University of Newcastle, Callaghan, NSW 2308, Australia
2
Suzhou Industrial Park Monash Research Institute of Science and Technology, Southeast University–Monash University Joint Graduate School, Suzhou 215000, China
*
Author to whom correspondence should be addressed.
Energies 2025, 18(11), 2863; https://doi.org/10.3390/en18112863
Submission received: 23 April 2025 / Revised: 26 May 2025 / Accepted: 28 May 2025 / Published: 30 May 2025
(This article belongs to the Special Issue Clean Utilization and Conversion Technologies of Coal)

Abstract

Fast microwave pyrolysis technology can effectively convert brown coal into hydrogen-rich syngas. However, the unique pyrolysis behaviour of brown coal under microwave conditions is not fully understood in comparison with conventional pyrolysis. This study used Victorian brown coal as a raw material to conduct pyrolysis experiments under conventional and microwave heating methods. The results demonstrate that the microwave-assisted pyrolysis of Victorian brown coal can selectively crack polar functional groups, enhancing H2 and CO production via radical-driven secondary reactions and gasification, while conventional heating favours the formation of tar containing phenols and fewer aromatic compounds. The result is a high-quality syngas (75.03 vol.%) with a hydrogen yield of 10.28 (mmol Gas/g Coal (daf)) at 700 °C under microwave heating, offering a scalable route for valorising low-rank coals.

1. Introduction

As one of the most important energy resources in the world, coal is found in a great number of reserves in amounts of nearly 1074 billion tons [1]. However, worldwide, a large proportion of coal reserves (30%) are sub-bituminous and lignite, and Australia shares 23% of the world’s brown coal reserves [2], which are of low heating value and produce many pollutants during utilisation. As a high-volatility and geologically young low-rank coal, Australian brown coal has high reactivity and conversion potential. These distinct properties set it apart from higher-rank coals and even other global brown coals. Pyrolysis is a promising thermochemical conversion method for Australian brown coal due to its unique properties and the advantages pyrolysis offer over other technologies (e.g., combustion and gasification). The high reactivity of Australian brown coal enables the conversion of coal into high-value-added products, such as carbon materials, chemicals in the tar, and H2 [3,4,5,6]. Among the pyrolysis products, hydrogen is widely used in the chemical industry, transportation, construction, and other fields, and it is increasingly in demand all over the world [7]. In comparison, the high moisture content of coal and the high operating temperature for combustion and gasification require costly pre-drying and are energy-inefficient [8,9]. In addition, the products of combustion and gasification, namely, heat and syngas, are relatively simple.
The heating sources used in pyrolysis are diverse, among which microwave heating has unique advantages over conventional heating. Dielectric loss is one of the main heating mechanisms of microwave heating, which is fundamental to understanding the interaction of coal and microwaves [10]. The complex permittivity depicts the dielectric properties of materials, and this also defines the ability of materials to absorb microwave energy and convert it into heat [11]. Moreover, the minerals embedded in the coal matrix, metal ions, and polarised molecules or atoms attached to carbon structures contribute to the formation of local hot spots. Compared with conventional heating, microwave-assisted pyrolysis also possesses the potential to make the temperature field more uniformly distributed and increase energy efficiency during microwave penetration because the heating of the material is from the inside out. The direction of mass transfer is the same as that of heat transfer, unlike in conventional pyrolysis. This mechanism increases the heating rate and volatile release, reducing the secondary pyrolytic reactions and leading to improved control over product distribution at high temperatures [12,13].
Microwave technology provides a unique method for transferring energy from the source to the material, which influences the characteristics of coal pyrolysis compared with conventional heating, particularly in terms of product distribution and the physical and chemical properties of the products. As indicated in [14], where the difference in char structure under microwave and conventional heating was compared, it was found that coal chars generated through microwave pyrolysis had a lower specific surface area than chars generated through conventional heating. A similar conclusion was also drawn by Liu et al. [15]. However, Abdelsayed et al. [16] examined the specific surface area and the pore volume of chars from 550 °C to 900 °C when using both heating methods, concluding that microwave-generated char had a more developed structure than char formed under conventional heating conditions. Ibraeva et al. [17] compared the conventional and microwave pyrolysis behaviour of several types of biomass, brown coal, and hard coal. Most fuels, except for hard coal, had a higher yield of tar under conventional heating, indicating the suppression of microwave heating to tar formation. Apart from the yield of tar, Ren et al. [18] reported that microwave-assisted pyrolysis, in comparison with conventional pyrolysis, increased the proportion of oxygen-containing functional groups in the tar at 500 °C. Similarly, Abdelsayed et al. [16] found that the concentration of oxygen-containing compounds in the tar, such as phenols, alkyl carboxylic acids, and ketones, decreased with temperature under both microwave and conventional heating, but the tar under microwave heating showed much lower concentrations of oxygen-containing compounds. When it came to gas products, compared with conventional pyrolysis, the H2 contents of coals and biomasses dramatically increased under microwave heating, accompanied by higher CO and lower CO2 concentrations [12,16,17]. The local overheating caused by local hot spots at lower temperatures promoted condensation reactions for H2 generation and intensified the decomposition of oxygen-containing functional groups (e.g., ether, ketone, and heterocyclic groups) to form O- and H-containing radicals [19]. Due to the selective heating resulting from the vibration of the polarised functional groups and dipoles in molecules, the behaviour of free radicals is quite different under microwave heating, which causes changes in reaction pathways, with less carbon being trapped in the char and more hydrogen being released into the gas phase [20]. The pyrolysis behaviour of coals under microwave and conventional heating needs to be further explored under the same conditions due to the diversity of coal types or properties, reactor types, etc.
Their distinct properties set Australian brown coals apart from other coals. Hence, it is necessary to conduct fundamental studies for their clean and efficient utilisation, which can enhance the understanding of the pyrolysis behaviour of low-rank coals. Currently, there is a lack of comparative studies on the product characteristics resulting from the microwave pyrolysis and conventional pyrolysis of brown coal, but this would be essential to reinforce the understanding of the differences in the reaction pathways and chemical transformations. A more fundamental understanding is required to optimise the reaction conditions and product distribution to maximise the yield of hydrogen gas during brown coal pyrolysis. This study explores the impacts of heating methods, i.e., conventional and microwave heating, and process parameters on the mechanism of conversion of brown coal into hydrogen-rich syngas by optimising process variables and conducting a detailed characterisation of pyrolysis products. Importantly, we investigated the mechanism of brown coal pyrolysis using in situ characterisation techniques, including TG-MS and DRIFTS, to offer a fundamental insight into primary and secondary pyrolysis reactions and impacts on product distribution. These results were used to explain the pyrolysis mechanism of brown coal under conventional and microwave pyrolysis. The outcomes of this comparative and systematic research can contribute to process design and technology development for the efficient conversion of Victorian brown coal into hydrogen-rich syngas.

2. Materials and Methods

2.1. Raw Materials

This study used Australian brown coal from Victoria. The proximate and ultimate analyses and ash elemental analysis results are provided in Table 1 based on the following ISO standards: moisture according to ISO-11722 [21], ash according to ISO-1171 [22], volatiles according to ISO-562 [23], elemental analysis according to ISO-19579 [24] and ISO-29541 [25], and ash composition analysis according to ISO-13605 [26]. The coal was stored at −18 °C for about 6 weeks before use to prevent oxidation. Before the experiments, the coal was dried at 105 °C and then crushed and sieved into a particle size range of 90–250 µm. This size range was selected to reduce mass and heat transfer resistance while also minimising energy consumption during crushing, thereby facilitating a more accurate investigation of the fundamental pyrolysis behaviour of low-rank coals. All prepared coal samples were sealed in plastic bags and stored in a freezer.

2.2. Pyrolysis Experiments

The pyrolysis experiments were conducted on the apparatuses shown in Figure 1. For the conventional pyrolysis experiments, which were performed on the rig in Figure 1A, the coal sample was loaded on the frit in a quartz reactor inside an electrical furnace. Before commencing the experiment, the reactors were purged with nitrogen for 10 min until the oxygen concentration in the outlet gas was zero. A nitrogen flow rate of 200 mL/min was used to carry the volatiles to the tar capture system. The reactors were positioned close to the furnace outlet to further decrease the transport time of volatiles in the high-temperature zone and suppress secondary reactions. The volumes of the quartz reactors used in the fixed-bed and microwave pyrolysis tests were 156 mL and 170 mL, respectively. A similar length of tubing from the exit of the reactors to the tar capture system was considered to minimise differences in gas transfer time. In both cases, this led to a total gas residence time of under 1 min. These designs help to reduce the effect of the residence time of evolved gases and tar in coal pyrolysis to a minimum. Three gas-washing bottles loaded with dichloromethane (DCM) were placed in an ice bath. Each bottle was packed with glass beads to allow for distributed gas flow and increase the contact surface and interaction time between tar and the solvent. Finally, the light gases were collected in a gas bag and analysed with a Micro-GC. As for the pyrolysis experiments conducted in the microwave oven, the main difference between this method and conventional electric heating lies in the heating mechanism, namely, the rig in Figure 1B is heated with microwave assistance using silicon carbide as the microwave absorbent because of the relatively poor microwave absorption ability of coals, which is further enhanced when they are converted into semi-char.
In the conventional pyrolysis experiments, 3g of the coal sample was loaded into the quartz reactor in a conventional electrical furnace and then heated at 10 °C/min to the target temperatures (500 °C and 700 °C) with a holding time of 30 min. After the reactor was cooled down, the char was collected and weighed. For the liquid fraction, the tar trapped in gas wash bottles, as well as the transfer lines and reactor, was washed and dissolved in dichloromethane (DCM) and filtered to remove any entrained char particles. DCM provides high solubility for tar and facilitates both the analytical operation and accurate identification of species in subsequent GC-MS analysis. The distillation of DCM was conducted at 40 °C before weighing the tar. The mass of the gas phase collected in the gas bag was determined by subtracting the combined weights of the char and tar from the initial sample weight. To prevent contamination or leakage, the storage time of the light gas typically did not exceed 24 h before gas chromatography analysis.
The microwave oven was equipped with two 1000 W magnetrons. The temperature of the coal sample was detected by the K-type armoured thermocouple (WRNK-191, Shanghai Songdao Heating Sensor Co., Ltd., Shanghai, China) inserted into the sample and controlled by adjusting the output power of the magnetrons through an automatically regulated PID algorithm. The experimental procedures for microwave-assisted pyrolysis followed similar operation procedures, except that a 6g coal sample was blended with silicon carbide (coal-to-silicon-carbide (SiC) ratio of 3:1), and the sample was heated at 10 °C/min to the target temperatures of 500 °C and 700 °C with a holding time of 30 min. This coal-to-SiC ratio was selected based on preliminary tests to allow a stable heating profile under microwave. In addition, a higher heating rate of 60 °C/min was also used in the microwave pyrolysis tests to explore the impact of the heating rate on the pyrolysis reaction. In the experiments, all of the tests under identical conditions were repeated at least twice to ensure reproducibility.
The yield of pyrolysis products was calculated via the equations below, where Mchar, Mcoal, and Mtar represent the mass of char, coal, and tar, respectively. The yield of volatiles is the sum of the yields of tar and gas.
Y c h a r = M c h a r M c o a l × 100 %
Y t a r = M t a r M c o a l × 100 %
Y g a s = 1 Y c h a r Y t a r

2.3. Analysis of Coal Sample and Pyrolysis Products

2.3.1. Thermogravimetric Analysis/Mass Spectrometry (TGA-MS)

A thin layer of coal powder (around 20 mg) was placed in a ceramic crucible in an STA 449 F5 Jupiter from NETZSCH (Selb, Germany) and heated according to the set programme. The evolved gas was directed into a QMS 403 Aëolos Quadro for mass spectrometry (NETZSCH, Selb, Germany) analysis. The coal sample was heated from room temperature to 120 °C at a heating rate of 10 °C/min and then held for 10 min to remove moisture. After that, the sample was heated to 800 °C at heating rates of 10, 20, and 30 °C/min. Under these conditions, the reactions are predominantly kinetically controlled, allowing for meaningful comparison of results with those from other studies conducted under similar conditions. To avoid gas condensation, the gas outlet of the TGA and the transfer line were both heated to 280 °C.

2.3.2. In Situ Diffuse Reflectance Infrared Fourier-Transform Spectroscopy (In Situ DRIFTS)

An in situ diffuse reflectance infrared Fourier-transform spectroscopy (DRIFTS) test was used to investigate the changes in the chemical structure of brown coal during pyrolysis. The coal sample was placed into a high-temperature chamber equipped with three potassium bromide windows. Prior to the test, the chamber was flushed with a high-purity argon gas at a flow of 90 mL/min for 5 min to obtain a background spectrum at room temperature. Sets of 16 DRIFTS spectra were collected at 10 °C increments from room temperature to 700 °C at a resolution of 4 cm−1 in the 4000–400 cm−1 range and with a 10 °C/min heating rate and 90 mL/min argon flow rate. The results were automatically generated following background subtraction. Attenuated total reflection–Fourier-transform infrared spectroscopy (ATR-FTIR) was used to investigate char samples’ surface functional group distribution under the same parameter settings but at room temperature.

2.3.3. Gas Chromatography (GC)

The non-condensable gaseous species, including H2, O2, N2, CO, CO2, and C1-C2, were analysed using an Agilent 490 Micro-GC (Agilent, Santa Clara, CA, USA) with a thermal conductivity detector. The Micro-GC has a 10m MS5A (Molecule sieve) column and a 10m PPU (Polar Plot U) column. Helium and argon were used as carrier gases. The MS and PPU columns were operated at temperatures of 72 °C and 80 °C and at pressures of 135 kPa and 120 kPa, respectively. The injection temperatures were set to 60 °C and 50 °C. Before measurement, the Micro-GC was calibrated using a standard gas mixture.

2.3.4. Gas Chromatography/Mass Spectrometry (GC-MS)

The liquid fraction collected from the gas wash bottles and transfer lines was distilled to remove the solvent. The remaining tar was analysed using an Agilent 6890 gas chromatograph and a single quadrupole Agilent 5973N mass spectrometer equipped with a capillary column and an electron impact (70 eV) quadruple analyser. Dichloromethane was used as the solvent in GC-MS sample preparation. The temperature of the GC oven was ramped from 40 °C to 280 °C at 10 °C/min with a holding time of 10 min. Helium was used as the carrier gas during the GC–MS measurements. The split ratio was 10:1, and the inlet temperature of the column was 270 °C. A mass range of 29–320 amu for mass spectrometry was applied. The chemical compounds in the tar were identified by comparing them with the NIST95 mass spectral library database. The GC–MS data allowed a semi-quantitative comparison of the composition of pyrolysis tar.

2.3.5. Elemental Analyser

The elemental composition of the pyrolysis tar and char products was measured using an Elementar Vario El Cube instrument. (Elementar, Frankfurt, Germany). The tar and char samples were combusted in the analyser at 1150 °C with tin foil boats, and tungsten oxide was added to each sample to increase the temperature locally. The generated uniform compound gases of the elements C, H, N, and S (e.g., CO2, H2O, NO2, etc.) were measured using gas chromatography, and the mass fractions of the elements in the original sample were determined. The fate of each element and the elemental distribution of the pyrolysis products were calculated by taking into account the yield and elemental composition of tar and char. The elemental composition of the gaseous fraction was calculated by taking the difference.

2.3.6. The N2 Adsorption–Desorption Isotherms

A Micromeritics Tri-Star 3000 surface area and porosity analyser (Micromeritics, Norcross, GA, USA) and the Brunauer–Emmett–Teller (BET) and Barrett–Joyner–Halenda (BJH) techniques were used to obtain N2 adsorption–desorption isotherms and calculate the specific surface area and pore size distribution of the char samples. A VacPrep061 module was used for degassing and preparing samples. Approximately 200 mg of char sample was used in the measurement, with a degassing temperature and time of 180 °C and 12 h, respectively.

3. Results and Discussion

3.1. The Distribution of Pyrolysis Products and H2 Yield

During pyrolysis, the combined gas and tar released from coal particles were regarded as volatiles, and their yields were determined under different conditions. The yield of volatile matter and distribution of pyrolysis products are shown in Figure 2. The highest volatile yield and gas production were achieved at 700 °C and the heating rates of 10 and 60 °C/min using the conventional and microwave heating methods, respectively. These conditions are referred to as C700-10 and M700-60 in Figure 2, where C or M, 700, and 10 or 60 represent conventional or microwave heating, the target temperature, and the heating rate, respectively.
At 500 °C, the yield of volatile matter (25.65%) under microwave heating was much lower than that under conventional heating (39.75%), which may have resulted from the unevenly distributed temperature field in the coal layer and fast heat loss along the direction of the purge gas as expected by the volumetric heating nature of coals under the microwave. Silicon carbide, with a particle size of 500–1000 µm, was blended with the coal sample as a microwave absorber. As a result, the coal particles near the silicon carbide particles were heated from the outside towards the core. The heat generated by microwave absorption within the coal sample and transferred from the inside to the surface was minimal due to the coal’s limited ability to convert microwave energy into heat. Hence, the existence of SiC particles also contributed to the uneven temperature field in the coal layer. When coal turns into char at some degree (at around 300–400 °C in this study), the uneven temperature field is relieved because of the char’s better dielectric properties, which still cannot fully compensate for the yield decrease because of the different heat histories. The yield of volatiles was promoted to 35.71% when the higher heating rate was adopted. The rapid temperature increase due to fast heating is believed to enhance the driving force of pyrolysis, releasing more volatile matter in a shorter time [27]. The shorter residence time at low temperatures also alleviated the effect of an uneven temperature field on volatile yield. Consistently, at 700 °C, the coal sample under conventional heating had a slightly higher yield of volatiles than that under microwave heating. Abdelsayed et al. [16] suggested that this phenomenon may occur because the selective energy needed to heat specific functional groups in coal can reach a steady state under a fixed microwave power, becoming independent of the bulk temperature of char, whether it is 500 or 700 °C.
The difference in volatile matter yield under various conditions influenced the resulting pyrolysis product distribution. At 500 °C, a considerable number of volatiles were released from the coal samples, except under microwave heating at a 10 °C/min heating rate (M500-10). Consequently, among the three conditions, the yields of tar and gas were lowest under M500-10. Although the char yields under M500-60 and C500-10 were similar, microwave heating favoured the conversion of more volatiles into gas rather than tar. At higher temperatures, the difference in process parameters had a minimal impact on the volatile yield, as shown in Figure 2. However, a similar trend was also observed at 700 °C, with microwave heating resulting in a higher proportion of volatiles being converted into lighter gases. Additionally, the higher heating rate promoted more volatiles to evolve as gas, as can be seen by the slightly higher gas yield and lower tar yield under microwave heating at a 60 °C/min heating rate.
The volumetric concentrations and yields of H2 under different pyrolysis conditions are shown in Table 2. The highest H2 concentration was achieved with M700-10. When considering the yield of H2 per gram of ash-free coal, the yield with M700-10 was significantly higher than under other conditions. This could be attributed to the high temperature and the mechanism of the microwave-assisted heating method. When comparing the results of samples heated to 500 °C and 700 °C, it is evident that the higher temperature promotes H2 production due to the increased cracking of larger tar molecules, leading to the release of H2 [4]. Additionally, in the case of C500-10, the coal is not fully pyrolysed and still contains volatiles. Due to the selective heating feature of microwave heating, plasma and local hot spots were formed [28], which were conducive to coal decomposition. Microwave heating outperformed conventional heating in terms of H2 production under all reaction conditions. However, the effect of the heating rate on H2 production was inconsistent, necessitating further detailed exploration of its pyrolysis characteristics, as discussed in the following sections.

3.2. The Evolution of Pyrolysis Gas

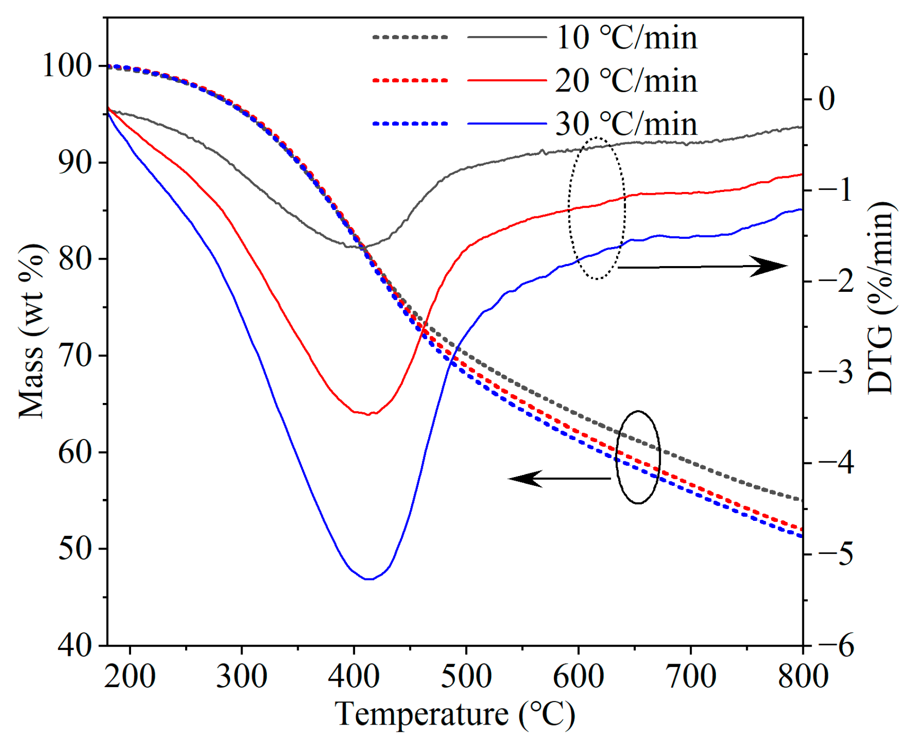
The TGA mass loss and corresponding loss rate with the temperature and heating rate are shown in Figure 3. The mass loss (TG) and the maximum loss rate (DTGmax) increased with the heating rate. At high heating rates, the powerful driving force of the decomposition reaction [27] was reflected by higher concentrations of tar and gas molecules produced in a shorter time, leading to increased volatile matter release and less char. DTGmax of the three curves appeared in the range of 400–410 °C, corresponding to the decomposition of coal structures and release of volatiles in the early stages of pyrolysis. DTGmax shifted to higher temperatures at higher heating rates as a result of heat hysteresis. The second peak between 690 and 720 °C could be attributed to polycondensation reactions in the later stages of coal pyrolysis.
Figure 4 shows the evolution of pyrolysis gases as a function of temperature and heating rate, as measured using MS. When analysing these results, it should be noted that due to the gas transfer line between TGA and MS being heated to 280 °C, some secondary reactions may take place and impact the measured gas composition. For CO2, the peak temperature shifted from 407 °C at 10 °C/min to 450 °C at 30 °C/min because of heat hysteresis. CO2 was also the earliest gas to be released, originating from the decomposition of fragile oxygen-containing functional groups, such as carboxyl, carboxylate, etc. The second peak at around 600 °C was detected at 10 °C/min. At higher heating rates, this peak appeared as a shoulder peak. This could be ascribed to the decomposition of oxo-carbon at high temperatures [29], as supported by Wang et al. [30], who assigned the shoulder peak at 600 °C to the decomposition of ether, quinone, and oxygen-containing heterocyclic compounds in the coal sample, and even found a third peak at 800 °C formed by the decomposition of carbonates. However, this third peak was not detected in our tests, likely due to the difference in ash content and composition [31].
The appearance of the CO peak was later than that of CO2, at around 450–490 °C. CO is believed to have mainly come from the O-containing bridge of aromatic–aromatic or aromatic–aliphatic structures, and they are the main source of CO at low temperatures [19,30]. CO was also detected at high temperatures because of the decomposition of some stable phenols, the release of oxygen in nascent char, and the CO2 gasification reaction [30,32]. Similarly, the peak temperatures of CH4 and C2 hydrocarbons were close to that of CO, suggesting they were formed during the decomposition of the same structures. The cleavage of ether structures acting as the bridge of aromatic rings and alkyl groups can lead to the formation of light hydrocarbons and CO. In the later stages of pyrolysis, methane can form from polycondensation reactions of aromatic structures.
The evolution of H2 varied significantly with the reaction conditions, such as the heating rates. There were two peaks of H2 in the three curves. At the heating rate of 10 °C/min, the increasing H2 intensity in the range of 450–490 °C resulted from the combination of H radicals, corresponding well to the first H2 peaks at heating rates of 20 and 30 °C/min. The first peak at a heating rate of 10 °C/min appeared at around 600 °C, gradually disappearing as the heating rate increased. This peak corresponded well with the second peak of CO2 and was formed during cyclisation, dehydrogenation, aromatisation, and PAH growth reactions [15]. Furthermore, some stable O-containing compounds retained in the char due to the lower volatile release rate also acted as precursors for oxygen-containing tar molecules, which subsequently underwent secondary reactions in the later stages, producing CO, CO2, H2, and aromatic compounds. The second H2 peak at 725 °C was formed during the polycondensation and dehydrogenation reactions in the later stages of pyrolysis.

3.3. The Evolution of Surface Functional Groups

The in situ DRIFTS spectra for the coal sample are shown in Figure 5. The assignment of peaks and bands is given in Table 3 [15,33]. The peak at 3550 cm−1 was assigned to the stretching vibration of the -OH functional group, corresponding to phenols, acids, alcohols, and moisture, which gradually disappeared at higher temperatures. The intensities of peaks in the range of 3000–2800 cm−1, corresponding to -CHx stretching vibrations for methine, methylene, and methyl groups, decreased with temperature, forming CH4. The other source of CH4 was the decomposition of -O-CH3 at 1450 cm−1, which was promoted at higher temperatures.
The decreased intensity of the band at 1715 cm−1, corresponding to the decomposition of carboxyl and carbonyl C=O groups, led to the evolution of CO, CO2, and H2O during pyrolysis. The higher intensity of the peak at 1610 cm−1 between 400 and 500 °C, compared with that in raw coal, corresponding to the aromatic structures of char, can be explained by the cracking and decomposition of less stable structures, leading to a large aromatic skeleton being exposed. The decrease in the intensity of this peak at higher temperatures can be attributed to the cyclisation, aromatisation reaction, and aromatic ring growth, forming condensed and ordered aromatic rings that are usually infrared-inactive. These changes correspond with an increase in H2 evolution between 400 and 600 °C, as shown in Figure 4A.
The changes in the intensities of aromatic hydrogen -CH out-of-plane vibrations in the range of 900–700 cm−1 followed a similar trend, namely, they increased from room temperature to 500 °C, followed by a decrease at higher temperatures. This trend could be explained by cyclisation and aromatisation reactions, as discussed above. The information about the stretching vibration of aromatic -CH in the range of 3100–3000 cm−1 is limited due to its low intensities at all temperatures, and the apparent peak only appeared at temperatures above 500 °C. The increased peak intensity in the band range of 1300–900 cm−1 observed in char after heating, corresponding to C-O stretching vibrations, and the increase in the aromatic -CH vibrations in the range of 3100–3000 cm−1 and 900–700 cm−1 compared with raw coal could indicate the presence of some cross-linkage via ether bridging or aromatic substitution. The subsequent decrease after 600 °C, corresponding to the diminishing oxygen content in the char, aligned with the declining trends observed in the evolution curves of CO and CO2 in Figure 4A.
The results of the ATR-FTIR analysis of char samples from conventional and microwave pyrolysis tests, which are shown in Figure 6 and Table 4, indicate some systematic differences. Under microwave heating at 500 °C, aliphatic structures between 2800 and 3000 cm−1 were still present, which may have led to lower CH4 yields (detailed in Section 3.4) compared with conventional heating. Furthermore, the higher intensity of the bending vibration of the -O-CH3 structure under microwave heating also indicated the lower CH4 yield in the evolved gas. These results show that due to lower volatile matter yield (Figure 2), more organic functional groups were retained in the char under microwave heating. The peaks at 1700 cm−1 and 1580 cm−1, corresponding to the stretching vibrations of C=O and C=C, along with the peaks between 900 and 700 cm−1, can be used to estimate the aromatic nature of char. The detection of C-O-C structures at 1175 cm−1 suggests the persistence of oxygen cross-linking at 500 °C.
At 700 °C, the IR spectra of conventional and microwave chars showed a close resemblance, except for the C=C structure. The higher peak intensity at 1580 cm−1 for microwave char represents fewer fused aromatic structures. Liu et al. [15] also observed that microwave-heated chars were less aromatic. It is postulated that the directional movement of polar functional groups under a microwave field prohibits the ether bond breakage and aromatic formation at temperatures below 700 °C [15].

3.4. Gas Composition and Yield

Figure 7 shows the composition and the corresponding yields of evolved gases measured using Micro-GC. The key focus of the analysis of pyrolysis gases was the efficiency of coal pyrolysis for H-rich gas production. The gas compositions under the same heating rate and heating methods could be compared to explore the effect of temperature.
Under the conventional heating method, the concentration of H2 increased from 4.88 vol.% at 500 °C to 38.14 vol.% at 700 °C due to the promotion of cracking, cyclisation, aromatisation, and polycondensation reactions. The higher CO yield in conventional heating at 700 °C in Figure 7B could be attributed to the intensified cracking reactions of organic fragments [15], such as ethers and other O-containing heterocycles, as well as the dry reforming reaction at 700 °C. The dilution effect of H2 and CO masked the changing trend of other gases, which can only be observed in the corresponding gas yields. The evolution of CH4 was closely related to -CHx and -O-CH3 functional groups [34]. Hence, the increase in CH4 yield reflected the shedding of aliphatic structures in char, as discussed in Section 3.3. The difference in the yields of C2 hydrocarbons at different temperatures is negligible, as most were released before 500 °C (Figure 4). However, the previous explanation does not apply to the decrease in CO2 yield, as the high intensity of the CO2 signal in Figure 4 persists beyond 500 °C. The decrease is likely due to the CO2 gasification of carbon-containing fragments and methane, which could consume CO2 and produce CO at high temperatures [19,30,35]. This also helped to clarify the significant increase in CO yield.
Under microwave heating, the differences in gas concentrations were less pronounced with temperature. This was because the evolved volatiles, influenced by local hot spots and selective heating of polar functional groups, underwent intense secondary cracking reactions, leading to the formation of lighter products, which corresponded to a lower tar yield. When considering the gas yield per gram of parent coal (based on dry ash-free), the differences become significant. Figure 7 shows that the volumetric concentrations and yields of all gases, except for CO2, increased due to the higher volatile matter yield at higher temperatures, with this effect being particularly notable for H2. The different trend of CO2 with temperature in Figure 7A,B was likely due to a smaller increase than other gases and dry reforming reactions. As can be seen in Figure 4, most CO2 evolved before 500 °C. The yield of CO at 700 °C was more than 2.5 times greater than at 500 °C, while for CO2, the increase was only around 50%. This suggested that under microwave heating, high temperatures favour the formation of CO rather than CO2 as the product gas from the decomposition of O-containing structures and molecules.
The pyrolysis gas composition under different heating methods can be evaluated by comparing C500-10, M500-10, C700-10, and M700-10 in Figure 7. The volumetric concentrations and yield trends of six sorts of gas with heating methods remained consistent at 500 and 700 °C, namely, the changing trend of gas composition was not masked by the boosting of some gas. At 500 °C, the intense cracking reactions under microwave heating, evidenced by the high CO and H2 yield, compensated for the lower gas yield and produced high-quality syngas. It is noteworthy that the yield of CO2 decreased dramatically under microwave heating, accompanied by higher H2 and CO yields. This phenomenon could be attributed to two main factors: (1) self-gasification [36] and (2) the selective decomposition and different behaviour of O-containing intermediates and compounds under microwave heating [20]. Among the factors, self-gasification was mentioned by Menéndez et al. [32], who argued that microwave-induced self-gasification could occur at a much lower temperature (even at 500 °C) than with conventional heating. The self-gasification (i.e., the Boudouard reaction, CO2 (g) + C (s) ⇌ 2 CO (g)) greatly suppressed CO2 formation and boosted CO yield under microwave heating. The unevenly distributed electron clouds of the polar organic structures were selectively removed from the coal matrix under microwave heating due to their intense vibration in the electromagnetic field [10]. This phenomenon was also called selective decomposition, during which a high content of H- and O-rich radicals was formed and went through secondary reactions. In conclusion, the intense selective decomposition of polar structures and self-gasification promote H2 and CO formation under microwave heating. Consistently, the lower concentration of CH4 under M500-10 was likely a result of dry reforming reactions.
At 700 °C, the gaps in gas volumetric concentration and yield between conventional and microwave heating are less pronounced than those at 500 °C. This could be attributed to the growing thermal effect of temperature on the behaviour of coal pyrolysis. However, the hydrogen gas concentration and yield peaked under microwave heating at 700 °C and a heating rate of 10 °C/min, reaching 44.07 vol.% and 10.28 mmol gas/g coal (daf), respectively. At the same time, a high volumetric concentration of CO (31.56 vol.%) made the pyrolysis gas rich in syngas (75.03 vol.%) and enhanced its value.
The effect of the heating rate on coal pyrolysis was investigated under microwave heating. At 500 °C, the yields of all sorts of gases presented increments when the heating rate increased, which could be directly relevant to the higher volatile matter yield. The higher content of volatile matter under M500-60, as reactants for the next cracking reactions, would form light gases, especially CO. Furthermore, the substantial increase in the volumetric concentration of CO demonstrated the microwaves’ selectivity for O-containing structures, leading to more oxygen being released into the gas phase. In addition, the relatively lower increment in H2 yields was attributed to the shorter residence time for secondary cracking reactions and dissociation of organic fragments, resulting in fewer formations of H radicals. In general, H radicals are formed through the cleavage of H-containing functional groups and covalent bonds during coal pyrolysis, as they can act as heavy radical stabilisers and reduce the molecular weight of tar compounds [9,37]. The combination of H radicals is also one of the mechanisms of H2 gas formation [30].
At 700 °C, the impact of volatile matter yield on coal pyrolysis gas is negligible due to close volatile matter yields. Thus, the influence of the heating rate on gas composition could be determined. A similar conclusion was drawn in this case, i.e., higher heating rates promoted the formation of CO, while the yield of H2 decreased. This change can be attributed to a higher ratio of oxygen being released from the coal sample (discussed in Section 3.6) and a shorter residence time for secondary reactions.

3.5. Tar Analysis

The changes in the tar composition at 500 °C and 700 °C are shown in Figure 8. Under conventional heating, the detection of acids at 500 °C could be strong evidence for the relatively gentle decomposition process compared with that at 700 °C. Furthermore, the lower concentration of polyaromatic compounds supports the conclusion above, namely, the decomposition of coal structures at 500 °C was not fierce enough to break condensed aromatic structures into fragments. This is consistent with observations by Dong et al. [38], who found that the total amount of polyaromatic compounds increased with temperature and peaked at 800 °C due to the two competitive reactions occurring during coal pyrolysis: the formation and decomposition of polyaromatic compounds, which resulted from the cracking of the coal matrix and polycondensation reactions, and the cracking of polyaromatic compounds at high temperatures, respectively. The decreased number of phenols and other O-containing compounds with temperature, such as ketones and ethers, indicated the formation of CO rather than CO2, as shown in Figure 7. Similar levels of aliphatic concentration at 500 and 700 °C resulted from two opposing processes. The formation of aliphatics resulted from C-C bond breakage in the coal matrix, and the consumption resulted from it being cracked into lighter fragments and further disassociated into H and CHX radicals.
The variations in the main components under microwaves are shown in Figure 8B. In coal, short alkyl bridges or ether linkages connect the aromatic and hydroaromatic units [38]. When heated, weak C-C bonds in coal begin to break, producing fragments containing benzene rings. In this case, the selective heating of polar units (e.g., ethers and phenols) under microwave heating intensified the decomposition of the coal matrix and tar, promoting the transformation of oxygen into the gas phase (detailed in Section 3.6). Compared with conventional heating, changes to those in the main components in the tar under microwave heating could be expected as the effect of temperature on coal pyrolysis became significant at high temperatures; there was an increase in polyaromatic compounds and the deoxygenation of tar molecules. Additionally, comparable concentrations of aliphatics at 500 and 700 °C were observed, which indicated that the impact of microwaves on coal pyrolysis was pronounced at low temperatures.
Figure 9 compares the composition of tar samples under conventional and microwave heating methods. The lower concentration of phenols under microwave heating in Figure 9A was ascribed to the high removal efficiency of microwave to polar functional groups, which corresponded well to the lower oxygen concentration in the tar (detailed in Section 3.6) and a higher CO concentration in the gas phase. The absence of acids also supports the above-mentioned argument. The removal of aromatic structure from the coal matrix was also intensified under microwaves, giving rise to more aromatic compounds in the tar. The lower concentration of aliphatics was not only due to the intense decomposition and dissociation of aliphatic structures but also, in part, to the lower volatile yield in microwave pyrolysis. When the temperature increased to 700 °C, the distribution and variation tendencies of the main components under different heating methods were consistent with those at 500 °C. In particular, the concentration of phenols decreased, and those of aromatic and aliphatic compounds increased, indicating the intense release of oxygen- and hydrogen-containing radicals, as reflected by the high concentration of CO and H2 in the gas phase [18]. The four-ring aromatic compounds were only detected under microwave heating because of the polycondensation of aromatic compounds at higher local temperatures [38,39]. Differing from the reason for the lower concentration of aliphatics under microwave heating and at 500 °C, the slightly lower volatile matter yield under microwave heating and at 700 °C confirmed the assumption that intense decomposition and disassociation of aliphatics under microwave heating give rise to H and CHx radicals, which then form hydrogen and methane gas.
The impact of the heating rate on tar compositions under microwave heating is demonstrated in Figure 10. At 500 °C, the difference in the concentration of phenols was negligible. However, the higher tar yield at 60 °C/min enlarged the difference in the chemical characteristics of tars. The appearance of aldehydes under M500-60 confirmed that the tar was preserved well and closer to the “nascent” tar that directly evolved from the decomposition of the coal matrix. This also explains the greater proportion of aliphatics in the tar. Moreover, the presence of four-ring aromatic compounds and higher concentration of polyaromatic compounds in the tar generated at a higher heating rate suggests the heavy nature of the “nascent” tar, as also reported by Okumura [40], who argued that aromatic components are released from the coal before the cleavage and cross-linking reactions proceed sufficiently in the coal.
At 700 °C, the significantly higher concentration of phenols in tar formed at 60 °C/min was closely related to the intense release of O-containing radicals from the coal matrix and limited secondary cracking reactions due to the shorter residence time of the radicals. In other words, weakened secondary reactions cause more oxygen to be transferred to tar. The comparable concentration of four-ring aromatic compounds at different heating rates was due to the polycondensation reactions at high temperatures. The lower concentration of single-ring and two-ring aromatic compounds in 60 °C/min tar suggests the cracking of large aromatic radicals in a longer residence time at 10 °C/min, which is the same as what is shown in Figure 9B when conventional heating is used for comparison. The cracking temperature (700 °C) of polyaromatic compounds under microwave heating is lower than that under conventional heating (800 °C [38]) due to the presence of hot local spots. Consistently, aldehydes were also present in the tar at 60 °C/min, as the shorter residence time prevented complete secondary cracking reactions of volatile molecules, resulting in a lower H2 concentration in the gas phase. The slightly lower concentration of aliphatics may be attributed to the dilution effect caused by the significantly higher concentration of phenols in the tar.

3.6. The Distribution of Elements Among Pyrolysis Products

Figure 11 shows the distributions of carbon, hydrogen, and oxygen among pyrolysis products calculated based on their yields and composition. Comparing C500-10 and C700-10, although the increase in volatile yields from 500 °C to 700 °C was nearly 8%, the carbon content in the char showed less variation. This contrasts with the significant decreases in oxygen and hydrogen contents in the char with temperature under conventional heating. Moreover, released oxygen and hydrogen were more easily transferred into the gas phase rather than the liquid phase at 700 °C. This, to some extent, suggests the argument that in comparison with polymerisation and condensation reactions, cracking reactions that release hydrogen- and oxygen-rich light gas are favoured at higher temperatures [27]. Compared with 500 °C, the close elemental proportions of carbon but lower hydrogen content and higher oxygen content in the 700 °C tar suggested the tar’s heavier nature. This also corresponds to the increase in polyaromatic compounds, phenols, and other O-containing compounds in the tar with temperature, as shown in Figure 8A.
With a substantial increase in volatile release from 500 to 700 °C, the elemental composition of tars remained relatively stable, and more elements were released into the gas phase. This finding supports the feasibility of producing light gases through the pyrolysis of brown coal and provides a strong foundation for this study.
A similar trend was observed under microwave heating, where the contents of three elements in the char decreased with temperature. The extent of these changes was greater than that under conventional heating. This could be attributed to the higher volatile yield at 700 °C under microwave heating. The increases in tar and gas can also be attributed to the same reason mentioned above. Namely, cracking reactions dominated the coal pyrolysis process, with lighter tar and gas as products rather than heavy tar and coke from polycondensation reactions. At 700 °C, the three elemental losses in the char tended to convert into gases, with the hydrogen content of the char decreasing the most. This enables the feasibility of producing H-rich gas through coal pyrolysis, as evidenced by the high concentrations of H2 and CH4 in Figure 7.
At 500 °C, when comparing the elemental distribution of samples under different heating methods, evolved hydrogen from the coal matrix was found to be concentrated in the gas phase under microwave heating, while the changes in carbon and oxygen distribution were less apparent because of the incomplete devolatilisation at this low temperature. The higher hydrogen content in the gas phase further demonstrated the advantage of microwave-assisted pyrolysis, especially at low temperatures.
At 700 °C, the microwave heating promoted the transfer of carbon, oxygen, and hydrogen to the gas phase, demonstrating a significant impact of microwaves on reaction pathways and elemental distribution in pyrolysis products. However, the difference between conventional and microwave heating in gas-phase elemental distributions was less pronounced at 700 °C.
In summary, the difference between microwave and conventional heating was more pronounced at lower temperatures due to the impacts of microwaves on the reaction pathways and pyrolysis mechanism, including impacts on complex reactions, such as coal matrix decomposition and subsequent secondary reactions (e.g., reactions between radicals and gasification reaction), resulting from the characteristics of selective heating under microwaves. Such differences decreased at higher temperatures due to the reaction pathways becoming dominated by the combined effects of microwave and thermal energy.
The effect of heating rates on the elemental distribution can be examined by comparing the microwave pyrolysis results at 10 °C/min and 60 °C/min and target temperatures of 500 °C and 700 °C. At 500 °C, a higher heating rate increased the volatile matter yield and transfer of carbon, oxygen, and hydrogen to the gas phase. At 700 °C, the distributions of carbon and hydrogen were similar across different heating rates, indicating that temperature was the main contributing factor. However, there were apparent differences in oxygen distribution, where the impact of selective heating of microwaves on secondary pyrolysis reactions should be considered. At higher heating rates, more volatile molecules with polar functional groups were quickly released from coal particles, which would be less affected by secondary reactions. This limits the secondary cracking reactions, leading to lower H2 gas formation. Conversely, longer residence time at lower heating rates can promote the secondary cracking of volatiles to form lighter gases.

3.7. The Pore Structure of Char

Figure 12 and Figure 13 show the pore structure characteristics of chars obtained through microwave and conventional heating. The BET surface area, average pore width, and total pore volume are listed in Table 5. According to the IUPAC classification method [41], the isotherms, under C500-10, M500-10 and M500-60, belong to type II and are dominated by mesopores. The isotherm of M700-60 is of type III, indicating the prevalence of macropores. The remaining isotherms (C700-10 and M700-10) correspond to type I, suggesting the existence of numerous micropores. The hysteresis loop is attributed to the capillary condensation taking place in mesopores and macropores. The incomplete closure of the hysteresis loop at P/P0 = 0.4 might suggest the dominance of ink-bottle pores, surface chemistry, or network effects that hinder desorption [41,42]. The fact that Victorian brown coal pores may be slit-shaped [43], the evidence that low-rank coals have very rough, approximately cylindrical pores [44], and the complex network of coal samples are likely to explain the shape of the hysteresis loop.
Under microwave heating, the hysteresis loop became broader as the pyrolysis temperature and heating rate increased, suggesting an increase in the formation of mesopores and macropores as more intense removal of volatiles occurred with increasing pyrolysis temperature and heating rate. Under conventional heating, the effect of temperature on hysteresis was the same, but at 700 °C, comparable volatile yield and less broad loops indicated a lower fraction of mesopores and macropores compared with microwave heating, suggesting a difference in the evolution process of pore formation and development. However, the different distribution of surface functional groups in the char would also affect the capillary condensation. At 500 °C, chars under conventional heating with less O-containing and aliphatic functional groups (Figure 6) had a lower affinity to N2, leading to a smaller and narrower hysteresis loop [45]. At 700 °C, however, the FTIR spectra of chars produced by both heating methods appeared similar, masking potential differences in surface chemistry. To further understand these effects, complementary characterisation techniques such as XPS and Raman spectroscopy are recommended for future studies.
The specific surface area and total pore volume in Table 5 increased with temperature, which is consistent with the literature [16] for both microwave and conventional heating methods. The distribution of pore volume and the corresponding specific surface area of chars increased with temperature under conventional heating due to the release of volatile matter, along with cross-linking reactions continuously contributing to the creation of porous structure [14]. This also explains the lower surface area and total pore volume of chars under M500-10 and M500-60 due to their lower volatile matter yields in the early stages of pore structure development [14,16].
Under microwave heating at 700 °C and 10 °C/min (M700-10), the volume of mesopores increased significantly at the expense of micropores. This indicates that some micropores developed into mesopores or diminished. The loss of micropores can be attributed to the presence of local hot spots, resulting in a collapse of the porous structure and a decrease in specific surface area [14]. Furthermore, the volumetric heating and the temperature gradient from the centre to the surface of particles under microwave heating promote the rapid buildup of pressure within the particles, leading to faster volatile release against the wall of micropore structures [15]. Under the effect of high heating rates, chars formed under microwave heating had the most mesopores and macropores among all char samples. This suggests faster pore formation and development, followed by condensation and the collapse of the porous structure. The faster heating of the coal particle interior under microwave heating compared with conventional heating conditions is expected to facilitate faster release of volatiles and the buildup of pressure within the particles, resulting in the formation of larger mesopores and macropores. Under conventional heating, due to heat transfer from the surface to the centre of the particles, outer particle layers undergo devolatilisation first. This facilitates the release of evolved volatiles through the pore structure to the surrounding environment, thus preserving the micropores generated during volatile formation. The overall consequence is a higher surface area for chars under conventional heating, as shown in Table 5.

4. Conclusions

In this study, the impact of the pyrolysis method, i.e., conventional and fast microwave heating, as well as the process parameters, on the yield and composition of brown coal pyrolysis products was investigated, with a focus on maximising the yield of hydrogen gas. By investigating the properties of pyrolysis products, the difference in coal pyrolysis behaviour under conventional and fast microwave-assisted heating was elucidated. The key findings were as follows.
As temperature increased, the greater release of carbon, hydrogen, and oxygen into the gas phase supported the feasibility of producing light gases through the pyrolysis of brown coal. It provided a strong foundation for this study. When considering the yield of H2 and CO, the higher proportion of released hydrogen in the gas phase under microwave heating further demonstrates the advantage of microwave-assisted pyrolysis, especially at low temperatures.
Among the reaction conditions, microwave heating had the most significant impact on the yield and composition of pyrolysis products, particularly at 500 °C. Compared with conventional heating, hydrogen gas concentration and yield peaked under microwave heating at 700 °C and a heating rate of 10 °C/min, reaching 44.07 vol.% and 10.28 mmol gas/g coal (daf), respectively. At the same time, the high volumetric concentration of CO (31.56 vol.%) made the pyrolysis gas rich in syngas (75.03 vol.%) and enhanced its value.
During conventional pyrolysis, the removal of functional groups from the coal matrix formed tars, which were relatively rich in oxygen-containing compounds. In contrast, under microwave heating, the selective heating of microwaves led to the cracking of polar volatile molecules and the release of oxygen- and hydrogen-containing radicals, thus promoting the formation of light gases. The different behaviour of radicals under microwaves led to a decrease in phenols and an increase in aromatic compounds, partially contributing to the production of CO-rich syngas.
Fast microwave heating was found to alter the mechanism of pyrolysis and elemental distribution of pyrolysis products, leading to higher H2 and CO yields. This was attributed to the selective decomposition of polar compounds and CO2 gasification reactions, resulting in the intense release of H radicals. Higher heating rates under microwave heating promoted the formation of CO, while the yield of H2 decreased. This change can be attributed to a higher ratio of oxygen being released from the coal sample and the shorter residence time for secondary reactions. Further research is needed to clarify the pyrolysis mechanism under microwave heating.

Author Contributions

Conceptualisation, Q.S., S.K.R. and A.T.; methodology, Q.S. and A.T.; software, Q.S.; validation, Q.S. and S.K.R.; formal analysis, Q.S.; investigation, Q.S. and S.K.R.; resources, J.Y. and A.T.; data curation, Q.S.; writing—original draft preparation, Q.S.; writing—review and editing, S.K.R., J.Y. and A.T.; visualisation, Q.S.; supervision, A.T.; project administration, A.T.; funding acquisition, A.T. All authors have read and agreed to the published version of the manuscript.

Funding

This research and the APC were funded by the Australian Research Council (ARC) Discovery grant DP210103025.

Data Availability Statement

The original contributions presented in this study are included in the article. Further inquiries can be directed to the corresponding author.

Acknowledgments

We acknowledge the PhD scholarship from the University of Newcastle. The authors acknowledge the help and support from Justin Houghton at the University of Newcastle in sample analysis.

Conflicts of Interest

The authors declare no conflicts of interest.

References

  1. Dale, S. BP Statistical Review of World Energy 2021, 70th ed.; BP: London, UK, 2021. [Google Scholar]
  2. Hughes, A.; Britt, A.; Pheeney, J.; Morfiadakis, A.; Kucka, C.; Colclough, H.; Munns, C.; Senior, A.; Cross, A.; Summerfield, D.; et al. Australia’s Identified Mineral Resources 2023; Geoscience Australia: Canberra, ACT, Australia, 2024. [Google Scholar] [CrossRef]
  3. Quyn, D.M.; Wu, H.; Li, C. Volatilisation and catalytic effects of alkali and alkaline earth metallic species during the pyrolysis and gasification of Victorian brown coal. Part I. Volatilisation of Na and Cl from a set of NaCl-loaded samples. Fuel 2002, 81, 143–149. [Google Scholar] [CrossRef]
  4. Tahmasebi, A.; Maliutina, K.; Matamba, T.; Kim, J.; Jeon, C.; Yu, J. Pressurized entrained-flow pyrolysis of lignite for enhanced production of hydrogen-rich gas and chemical raw materials. J. Anal. Appl. Pyrolysis 2020, 145, 104741. [Google Scholar] [CrossRef]
  5. Wang, Y.; Li, Y.; Wang, G.; Wu, Y.; Yang, H.; Jin, L.; Hu, S.; Hu, H. Effect of Fe components in red mud on catalytic pyrolysis of low rank coal. J. Energy Inst. 2022, 100, 1–9. [Google Scholar] [CrossRef]
  6. Zhou, G.; Zhong, W.; Yu, A.; Dou, Y.; Yin, J. Experimental study on characteristics of pressurized grade conversion of coal. Fuel 2018, 234, 965–973. [Google Scholar] [CrossRef]
  7. Dutta, S. A review on production, storage of hydrogen and its utilization as an energy resource. J. Ind. Eng. Chem. 2014, 20, 1148–1156. [Google Scholar] [CrossRef]
  8. Keboletse, K.P.; Ntuli, F.; Oladijo, O.P. Influence of coal properties on coal conversion processes-coal carbonization, carbon fiber production, gasification and liquefaction technologies: A review. Int. J. Coal Sci. Technol. 2021, 8, 817–843. [Google Scholar] [CrossRef]
  9. Sun, S.; Xu, D.; Wei, Y.; Zhi, Y.; Jiang, G.; Guo, Y. Influence laws of operating parameters on coal pyrolysis characteristics. J. Anal. Appl. Pyrolysis 2022, 167, 105684. [Google Scholar] [CrossRef]
  10. Ge, L.; Liu, X.; Feng, H.; Jiang, H.; Zhou, T.; Chu, H.; Zhang, Y.; Xu, C.; Wang, Z. The interaction between microwave and coal: A discussion on the state-of-the-art. Fuel 2022, 314, 123140. [Google Scholar] [CrossRef]
  11. Liu, S.; Tuo, K.; Wang, L.; Chen, G.; Ma, W.; Fang, M. Microwave-assisted metal-catalyzed pyrolysis of low-rank coal: Promising option towards obtaining high-quality products. J. Energy Inst. 2020, 93, 1602–1614. [Google Scholar] [CrossRef]
  12. Wang, Y.F.; Zhong, X.; Zhao, H.; Li, J.; He, J.Y.; Yang, Y.L.; Yan, L. Comparative study of the composition and microstructural properties of semi-coke from microwave and conventional pyrolysis of low rank coal. J. Energy Inst. 2024, 116, 101752. [Google Scholar] [CrossRef]
  13. Rajasekhar Reddy, B.; Vinu, R. Microwave assisted pyrolysis of Indian and Indonesian coals and product characterization. Fuel Process. Technol. 2016, 154, 96–103. [Google Scholar] [CrossRef]
  14. Ellison, C.; Abdelsayed, V.; Smith, M.W. Analysis of char structure and composition from microwave and conventional pyrolysis/gasification of low and middle rank coals. Fuel 2023, 354, 129301. [Google Scholar] [CrossRef]
  15. Liu, H.; Chen, T.; Fang, L. Evolution of char structure during non-isothermal low temperature pyrolysis of ZhunDong coal by microwave heating: A comparative study with conventional heating. J. Energy Inst. 2020, 93, 1195–1206. [Google Scholar] [CrossRef]
  16. Abdelsayed, V.; Shekhawat, D.; Smith, M.W.; Link, D.; Stiegman, A.E. Microwave-assisted pyrolysis of Mississippi coal: A comparative study with conventional pyrolysis. Fuel 2018, 217, 656–667. [Google Scholar] [CrossRef]
  17. Ibraeva, K.; Astafev, A.; Dimitryuk, I.; Tabakaev, R.; Kalinich, I.; Shanenkov, I. Comparative analysis of conventional and microwave pyrolysis of raw materials with different degree of metamorphism. Energy Conv. Manag. 2024, 301, 118067. [Google Scholar] [CrossRef]
  18. Ren, L.; Wang, F.; Cheng, F.; Yang, F.; Zhang, K. Mechanisms of gas generation from conventional and microwave pyrolysis of coal slime. Chem. Eng. J. 2023, 452, 139388. [Google Scholar] [CrossRef]
  19. Liu, J.; Jiang, X.; Shen, J.; Zhang, H. Pyrolysis of superfine pulverized coal. Part 2. Mechanisms of carbon monoxide formation. Energy Conv. Manag. 2014, 87, 1039–1049. [Google Scholar] [CrossRef]
  20. Sardi, B.; Uno, I.; Pasila, F.; Altway, A.; Mahfud, M. Low rank coal for fuel production via microwave-assisted pyrolysis: A review. FirePhysChem 2023, 3, 106–120. [Google Scholar] [CrossRef]
  21. ISO 11722:2013; Solid Mineral Fuels—Hard Coal—Determination of Moisture in the General Analysis Test Sample by Drying in Nitrogen. International Organization for Standardization: Geneva, Switzerland, 2013.
  22. ISO 1171:2024; Coal and Coke—Determination of Ash. International Organization for Standardization: Geneva, Switzerland, 2024.
  23. ISO 562:2024; Hard Coal and Coke—Determination of Volatile Matter. International Organization for Standardization: Geneva, Switzerland, 2024.
  24. ISO 19579:2006; Solid Mineral Fuels—Determination of Sulfur by IR Spectrometry. International Organization for Standardization: Geneva, Switzerland, 2006.
  25. ISO 29541:2010; Coal and Coke—Determination of Total Carbon, Hydrogen and Nitrogen—Instrumental Method. International Organization for Standardization: Geneva, Switzerland, 2010.
  26. ISO 13605:2018; Solid Mineral Fuels—Major and Minor Elements in Coal Ash and Coke Ash—Wavelength Dispersive X-ray Fluorescence Spectrometric Method. International Organization for Standardization: Geneva, Switzerland, 2018.
  27. Griffin, T.P.; Howard, J.B.; Peters, W.A. An experimental and modeling study of heating rate and particle size effects in bituminous coal pyrolysis. Energy Fuels 1993, 7, 297–305. [Google Scholar] [CrossRef]
  28. Mushtaq, F.; Mat, R.; Ani, F.N. A review on microwave assisted pyrolysis of coal and biomass for fuel production. Renew. Sust. Energ. Rev. 2014, 39, 555–574. [Google Scholar] [CrossRef]
  29. Ding, L.; Zhou, Z.; Guo, Q.; Lin, S.; Yu, G. Gas evolution characteristics during pyrolysis and catalytic pyrolysis of coals by TG–MS and in a high-frequency furnace. Fuel 2015, 154, 222–232. [Google Scholar] [CrossRef]
  30. Wang, M.; Li, Z.; Huang, W.; Yang, J.; Xue, H. Coal pyrolysis characteristics by TG–MS and its late gas generation potential. Fuel 2015, 156, 243–253. [Google Scholar] [CrossRef]
  31. Alyeksandr, A.; Bai, Z.; Bai, J.; Janchig, N.; Barnasan, P.; Feng, Z.; Hou, R.; He, C. Thermal behavior of Mongolian low-rank coals during pyrolysis. Carbon Resour. Convers. 2021, 4, 19–27. [Google Scholar] [CrossRef]
  32. Menéndez, J.A.; Domínguez, A.; Fernández, Y.; Pis, J.J. Evidence of self-gasification during the microwave-induced pyrolysis of coffee hulls. Energy Fuels 2007, 21, 373–378. [Google Scholar] [CrossRef]
  33. Li, Q.; Wang, Z.; He, Y.; Sun, Q.; Zhang, Y.; Kumar, S.; Zhang, K.; Cen, K. Pyrolysis characteristics and evolution of char structure during pulverized coal pyrolysis in drop tube furnace: Influence of temperature. Energy Fuels 2017, 31, 4799–4807. [Google Scholar] [CrossRef]
  34. Niu, M.; Xin, L.; Cheng, W.; Liu, S.; Wang, B.; Xu, W. Effects of pressurized pyrolysis on the chemical and porous structure evolution of coal core during deep underground coal gasification. ACS Omega 2023, 8, 40153–40161. [Google Scholar] [CrossRef]
  35. Yu, G.; Fan, X.; Liang, P.; Zhao, G.; Hu, X. Online characterization of pyrolysis products and kinetics study for the pyrolysis of a coal. J. Anal. Appl. Pyrolysis 2021, 160, 105376. [Google Scholar] [CrossRef]
  36. Ellison, C.; Abdelsayed, V.; Smith, M.; Shekhawat, D. Comparative evaluation of microwave and conventional gasification of different coal types: Experimental reaction studies. Fuel 2022, 321, 124055. [Google Scholar] [CrossRef]
  37. Bao, W.; Wang, Q.; Li, T.; Tian, Q.; Wang, N.; Yan, L.; Wang, M.; Chang, L. Analysis of catalytic control of tar quality during coal pyrolysis and the coke behavior on catalyst surface. J. China Coal Soc. 2024, 49, 1067–1082. [Google Scholar] [CrossRef]
  38. Dong, J.; Cheng, Z.; Li, F. PAHs emission from the pyrolysis of Western Chinese coal. J. Anal. Appl. Pyrolysis 2013, 104, 502–507. [Google Scholar] [CrossRef]
  39. Matamba, T.; Tahmasebi, A.; Rish, S.K.; Yu, J. Promotion effects of pressure on polycyclic aromatic hydrocarbons and H2 formation during flash pyrolysis of palm kernel shell. Energy Fuels 2020, 34, 3346–3356. [Google Scholar] [CrossRef]
  40. Okumura, Y. Effect of heating rate and coal type on the yield of functional tar components. Proc. Combust. Inst. 2017, 36, 2075–2082. [Google Scholar] [CrossRef]
  41. Thommes, M.; Kaneko, K.; Neimark, A.V.; Olivier, J.P.; Rodriguez-Reinoso, F.; Rouquerol, J.; Sing, K.S.W. Physisorption of gases, with special reference to the evaluation of surface area and pore size distribution (IUPAC Technical Report). Pure Appl. Chem. 2015, 87, 1051–1069. [Google Scholar] [CrossRef]
  42. Bläker, C.; Muthmann, J.; Pasel, C.; Bathen, D. Characterization of activated carbon adsorbents—State of the art and novel approaches. ChemBioEng Rev. 2019, 6, 119–138. [Google Scholar] [CrossRef]
  43. Setek, M.; Snook, I.K.; Wagenfeld, H.K. Determination of the Microstructure of Wet and Dry Brown Coal by Small-Angle X-Ray Scattering. In The Chemistry of Low-Rank Coals; ACS Symposium Series; American Chemical Society: Washington, DC, USA, 1984; Volume 264, pp. 95–108. [Google Scholar]
  44. Cody, G.D.; Davis, A. Direct imaging of coal pore space accessible to liquid metal. Energy Fuels 1991, 5, 776–781. [Google Scholar] [CrossRef]
  45. Anderson, S.A.; Radovic, L.R.; Hatcher, P.G. Effects of Surface Chemistry on the Porous Structure of Coal. Quarterly Technical Progress Report, January 1996–March 1996; Department of Materials Science and Engineering, Pennsylvania State University: University Park, PA, USA, 1996; 48p. [Google Scholar]
Figure 1. A schematic of the two pyrolysis setups ((A) conventional; (B) microwave-assisted pyrolysis).
Figure 1. A schematic of the two pyrolysis setups ((A) conventional; (B) microwave-assisted pyrolysis).
Energies 18 02863 g001
Figure 2. (A) The yield of volatile matter and (B) distribution of pyrolysis products.
Figure 2. (A) The yield of volatile matter and (B) distribution of pyrolysis products.
Energies 18 02863 g002
Figure 3. The weight loss and corresponding loss rate with temperature in TGA (The Y-axis corresponding to each curve is indicated by circles and arrows).
Figure 3. The weight loss and corresponding loss rate with temperature in TGA (The Y-axis corresponding to each curve is indicated by circles and arrows).
Energies 18 02863 g003
Figure 4. The gas evolution curves of the coal sample under different heating rates ((A) 10 °C/min, (B) 20 °C/min, (C) 30 °C/min) during pyrolysis in TGA.
Figure 4. The gas evolution curves of the coal sample under different heating rates ((A) 10 °C/min, (B) 20 °C/min, (C) 30 °C/min) during pyrolysis in TGA.
Energies 18 02863 g004aEnergies 18 02863 g004b
Figure 5. The in situ DRIFTS spectra for the coal sample.
Figure 5. The in situ DRIFTS spectra for the coal sample.
Energies 18 02863 g005
Figure 6. The ATR-FTIR spectra for char samples from pyrolysis experiments.
Figure 6. The ATR-FTIR spectra for char samples from pyrolysis experiments.
Energies 18 02863 g006
Figure 7. (A) The composition and (B) yield of evolved gases under different conditions.
Figure 7. (A) The composition and (B) yield of evolved gases under different conditions.
Energies 18 02863 g007aEnergies 18 02863 g007b
Figure 8. A comparison of the composition of tar at different temperatures: (A) under conventional heating and (B) microwave heating.
Figure 8. A comparison of the composition of tar at different temperatures: (A) under conventional heating and (B) microwave heating.
Energies 18 02863 g008
Figure 9. A comparison of the composition of tar when using different heating methods: (A) at 500 °C and (B) at 700 °C.
Figure 9. A comparison of the composition of tar when using different heating methods: (A) at 500 °C and (B) at 700 °C.
Energies 18 02863 g009
Figure 10. A comparison of the composition of tar at different heating rates: (A) at 500 °C and (B) at 700 °C.
Figure 10. A comparison of the composition of tar at different heating rates: (A) at 500 °C and (B) at 700 °C.
Energies 18 02863 g010
Figure 11. The distributions of (A) carbon, (B) hydrogen, and (C) oxygen among pyrolysis products under various conditions.
Figure 11. The distributions of (A) carbon, (B) hydrogen, and (C) oxygen among pyrolysis products under various conditions.
Energies 18 02863 g011
Figure 12. The N2 adsorption–desorption isotherms under (A) C500-10, (B) M500-10, (C) C700-10, (D) M700-10, (E) M500-60, and (F) M700-60.
Figure 12. The N2 adsorption–desorption isotherms under (A) C500-10, (B) M500-10, (C) C700-10, (D) M700-10, (E) M500-60, and (F) M700-60.
Energies 18 02863 g012
Figure 13. The pore volume distributions and corresponding accumulated pore volume under (A) C500-10, (B) M500-10, (C) C700-10, (D) M700-10, (E) M500-60, and (F) M700-60.
Figure 13. The pore volume distributions and corresponding accumulated pore volume under (A) C500-10, (B) M500-10, (C) C700-10, (D) M700-10, (E) M500-60, and (F) M700-60.
Energies 18 02863 g013aEnergies 18 02863 g013b
Table 1. The proximate and ultimate analyses and ash elemental analysis of the coal sample.
Table 1. The proximate and ultimate analyses and ash elemental analysis of the coal sample.
Proximate and Ultimate Analyses (wt%)
VadAadFCadMadCdafHdafNdafSdafOdaf *
40.56.732.820.070.45.10.51.722.3
Ash elemental analysis (wt%)
Na2OMgOAl2O3SiO2Fe2O3SO3TiO2K2OCaOOthers
4.2418.61.79.38.034.60.20.222.70.46
ad: air-dried basis, daf: dry-ash-free, *: by difference.
Table 2. The volumetric concentrations and yields of H2 under different conditions.
Table 2. The volumetric concentrations and yields of H2 under different conditions.
Holding Temperature
(°C)
Heating Rate
(°C/min)
Heating MethodH2 Concentration
(vol. %)
H2 Yield
(mmol Gas/g Coal (daf))
50010Conventional4.88 ± 0.690.44 ± 0.09
Microwave43.35 ± 1.954.92 ± 0.13
60Microwave39.00 ± 0.596.00 ± 0.02
70010Conventional38.14 ± 2.246.67 ± 0.60
Microwave44.07 ± 1.2210.28 ± 0.17
60Microwave35.95 ± 0.017.28 ± 0.16
Table 3. Peak and band assignments in the DRIFTS spectra.
Table 3. Peak and band assignments in the DRIFTS spectra.
Peak or Band (cm−1)Assignment
3550-OH
3100–3000-CH in aromatic structures
3000–2800-CHX in aliphatics
1715C=O in aromatic structures
1610C=C in aromatic rings
1450Aliphatic -O-CH3
1300–900C-OH in phenols or C-O-C in ethers
900–700-CH in aromatic structures
Table 4. Peak and band assignments in the ATR-FTIR spectra.
Table 4. Peak and band assignments in the ATR-FTIR spectra.
Peak or Band (cm−1)Assignment
3000–2800-CHx in aliphatics
1700C=O in aromatic structures
1580C=C in aromatic rings
1445Aliphatic -O-CH3
1175C-O-C in ethers
900–700-CH in aromatic structures
Table 5. Surface properties of chars under different conditions.
Table 5. Surface properties of chars under different conditions.
Reaction ConditionsSBET (m2/g) aWaverage (Å) bVtotal (cm3/g) b
C500-1012.3243.520.01163
M500-102.85152.320.00351
C700-10292.2629.580.02854
M700-10161.6433.570.02495
M500-605.39163.190.00585
M700-6080.05236.610.021039
a: Calculated using the BET method. b: Calculated using the BJH method.
Disclaimer/Publisher’s Note: The statements, opinions and data contained in all publications are solely those of the individual author(s) and contributor(s) and not of MDPI and/or the editor(s). MDPI and/or the editor(s) disclaim responsibility for any injury to people or property resulting from any ideas, methods, instructions or products referred to in the content.

Share and Cite

MDPI and ACS Style

Sun, Q.; Khoshk Rish, S.; Yu, J.; Tahmasebi, A. Pyrolysis Mechanism of Victorian Brown Coal Under Microwave and Conventional Conditions for Hydrogen-Rich Gas Production. Energies 2025, 18, 2863. https://doi.org/10.3390/en18112863

AMA Style

Sun Q, Khoshk Rish S, Yu J, Tahmasebi A. Pyrolysis Mechanism of Victorian Brown Coal Under Microwave and Conventional Conditions for Hydrogen-Rich Gas Production. Energies. 2025; 18(11):2863. https://doi.org/10.3390/en18112863

Chicago/Turabian Style

Sun, Quan, Salman Khoshk Rish, Jianglong Yu, and Arash Tahmasebi. 2025. "Pyrolysis Mechanism of Victorian Brown Coal Under Microwave and Conventional Conditions for Hydrogen-Rich Gas Production" Energies 18, no. 11: 2863. https://doi.org/10.3390/en18112863

APA Style

Sun, Q., Khoshk Rish, S., Yu, J., & Tahmasebi, A. (2025). Pyrolysis Mechanism of Victorian Brown Coal Under Microwave and Conventional Conditions for Hydrogen-Rich Gas Production. Energies, 18(11), 2863. https://doi.org/10.3390/en18112863

Note that from the first issue of 2016, this journal uses article numbers instead of page numbers. See further details here.

Article Metrics

Back to TopTop