Enhancing Thermal Performance Investigations of a Methane-Fueled Planar Micro-Combustor with a Counter-Flow Flame Configuration
Abstract
1. Introduction
2. Numerical Methodology
2.1. Computational Domain
2.2. Numerical Setup
2.3. Performance Parameters
2.4. Model Validation
3. Results
3.1. Effect of Equivalence Ratio Φ
3.2. Effect of Inlet Flow Rate Vi
3.3. Comparative Analysis
4. Conclusions
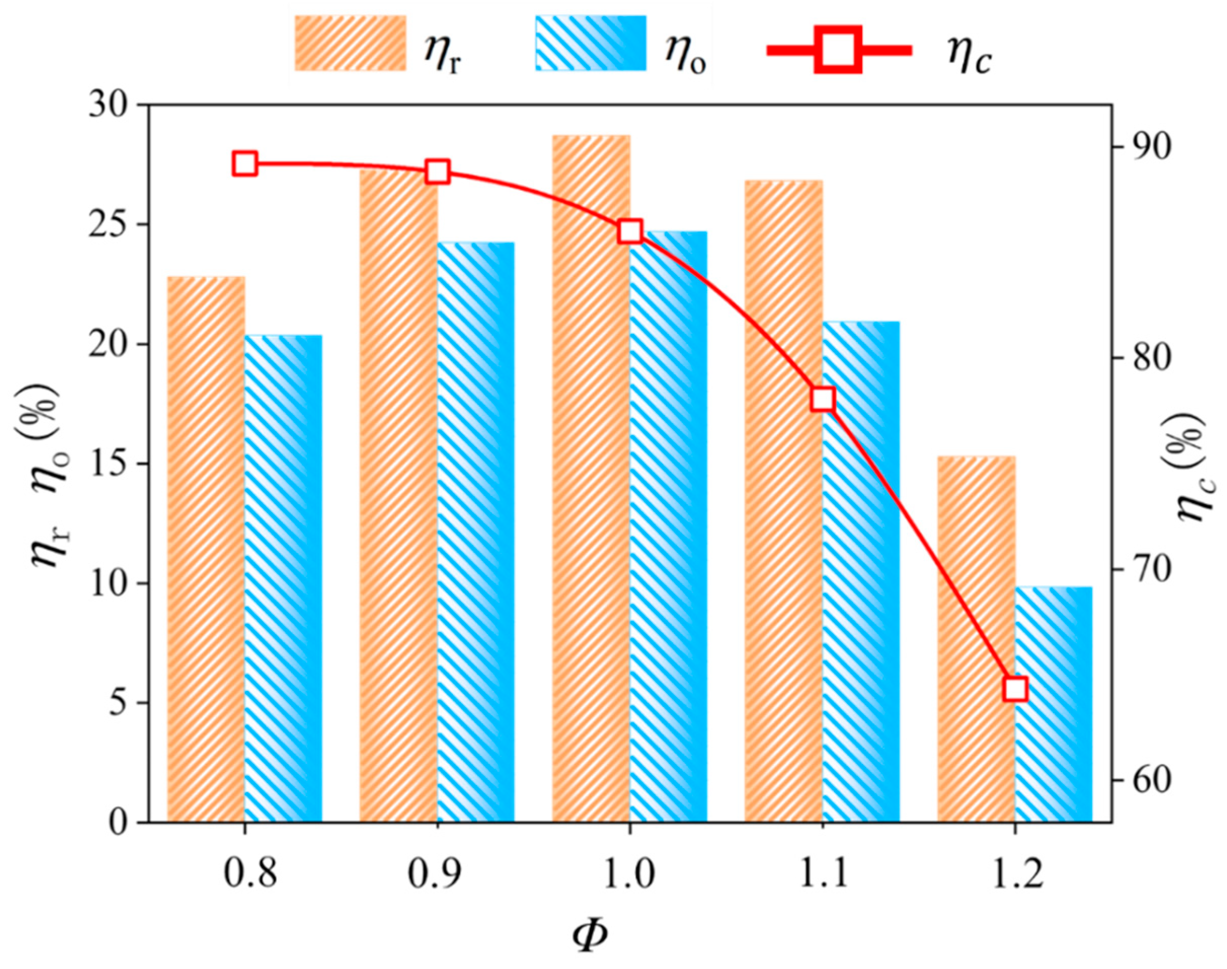
- The average temperature of the combustor main wall (), wall temperature non-uniformity () and radiation efficiency vary nonmonotonically with the equivalence ratio (Φ). However, increasing Φ results in a monotonic decrease in combustion efficiency (). The overall efficiency of the combustor is primarily determined by and follows a similar trend, reaching its maximum at an equivalence ratio of 1.0.
- initially increases and then decreases as the inlet flow rate Vi rises, while decreases first and then increases. Notably, the highest and lowest do not occur under the same Vi conditions. Both and decline monotonically with increasing Vi. Excessively high Vi results in reductions in thermal and heat transfer performances. Thus, selecting the inlet flow rate requires balancing power demand and energy conversion efficiency.
- Comparative studies demonstrate that combustors with a counter-flow flame configuration achieve higher and , as well as a under identical operating conditions. The configuration alters the shape and location of high-temperature zones, centralizing them on the main wall, improving wall temperature uniformity. Nusselt number analysis shows higher average values and smaller negative local areas, indicating superior heat transfer characteristics. Moreover, this design significantly enhances flame stability, expanding the combustor’s operational range and blow-off limit.
Author Contributions
Funding
Data Availability Statement
Conflicts of Interest
References
- Zhao, Z.; Zuo, Z.; Wang, W.; Liu, R.; Kuang, N. Performance optimization for a combustion-based micro thermoelectric generator with two-stage thermoelectric module. Appl. Therm. Eng. 2021, 198, 117464. [Google Scholar] [CrossRef]
- Chou, S.K.; Yang, W.M.; Chua, K.J.; Li, J.; Zhang, K.L. Development of micro power generators—A review. Appl. Energy 2011, 88, 1–16. [Google Scholar] [CrossRef]
- Fernandez-Pello, A.C. Micropower generation using combustion: Issues and approaches. Proc. Combust. Inst. 2002, 29, 883–899. [Google Scholar] [CrossRef]
- Galazutdinova, Y.; Al-Hallaj, S.; Grágeda, M.; Ushak, S. Development of the inorganic composite phase change materials for passive thermal management of Li-ion batteries: Material characterization. Int. J. Energy Res. 2020, 44, 2011–2022. [Google Scholar] [CrossRef]
- E, J.; Ding, J.; Chen, J.; Liao, G.; Zhang, F.; Luo, B. Process in micro-combustion and energy conversion of micro power system: A review. Energy Convers. Manag. 2021, 246, 114664. [Google Scholar] [CrossRef]
- Fu, L.; Feng, Z.; Li, G. Experimental investigation on overall performance of a millimeter-scale radial turbine for micro gas turbine. Energy 2017, 134, 1–9. [Google Scholar] [CrossRef]
- Aravind, B.; Raghuram, G.K.S.; Kishore, V.R.; Kumar, S. Compact design of planar stepped micro combustor for portable thermoelectric power generation. Energy Convers. Manag. 2018, 156, 224–234. [Google Scholar] [CrossRef]
- Hu, L.; Tian, Q.; Zou, C.; Huang, J.; Ye, Y.; Wu, X. A study on energy distribution strategy of electric vehicle hybrid energy storage system considering driving style based on real urban driving data. Renew. Sustain. Energy Rev. 2022, 162, 112416. [Google Scholar] [CrossRef]
- Utlu, Z.; Parali, U. Investigation of the potential of thermophotovoltaic heat recovery for the Turkish industrial sector. Energy Convers. Manag. 2013, 74, 308–322. [Google Scholar] [CrossRef]
- Xie, B.; Peng, Q.; Yang, W.; Li, S.; E, J.; Li, Z.; Tao, M.; Zhang, A. Effect of pins and exit-step on thermal performance and energy efficiency of hydrogen-fueled combustion for micro-thermophotovoltaic. Energy 2022, 239, 122341. [Google Scholar] [CrossRef]
- Kaisare, N.S.; Vlachos, D.G. A review on microcombustion: Fundamentals, devices and applications. Prog. Energy Combust. Sci. 2012, 38, 321–359. [Google Scholar] [CrossRef]
- Nadimi, E.; Jafarmadar, S. The numerical study of the energy and exergy efficiencies of the micro-combustor by the internal micro-fin for thermophotovoltaic systems. J. Clean. Prod. 2019, 235, 394–403. [Google Scholar] [CrossRef]
- E, J.; Luo, B.; Han, D.; Chen, J.; Liao, G.; Zhang, F.; Ding, J. A comprehensive review on performance improvement of micro energy mechanical system: Heat transfer, micro combustion and energy conversion. Energy 2022, 239, 122509. [Google Scholar] [CrossRef]
- Yan, Y.; Wu, G.; Huang, W.; Zhang, L.; Li, L.; Yang, Z. Numerical comparison study of methane catalytic combustion characteristic between newly proposed opposed counter-flow micro-combustor and the conventional ones. Energy 2019, 170, 403–410. [Google Scholar] [CrossRef]
- Mansouri, Z. Combustion in wavy micro-channels for thermo-photovoltaic applications—Part I: Effects of wavy wall geometry, wall temperature profile and reaction mechanism. Energy Convers. Manag. 2019, 198, 111155. [Google Scholar] [CrossRef]
- Tang, A.; Cai, T.; Huang, Q.; Deng, J.; Pan, J. Numerical study on energy conversion performance of micro-thermophotovoltaic system adopting a heat recirculation micro-combustor. Fuel Process. Technol. 2018, 180, 23–31. [Google Scholar] [CrossRef]
- Wei, J.; Fu, G.; Yang, W.; Li, S.; E, J.; Peng, Q.; Zhang, A. Investigation on hydrogen-fueled combustion characteristics and thermal performance in a micro heat-recirculation combustor inserted with block. Int. J. Hydrogen Energy 2021, 46, 36515–36527. [Google Scholar] [CrossRef]
- He, Z.; Yan, Y.; Feng, S.; Li, X.; Yang, Z.; Ran, J.; Gan, Y. Investigation on premixed methane/air combustion characteristics in heat recirculation micro combustor with separating cylinder. Chem. Eng. Process.-Process Intensif. 2020, 153, 107987. [Google Scholar] [CrossRef]
- Lv, E.; Wang, S.; Fan, A. Combustion performances of a novel micro-combustor with a backward facing step and an exhaust gas recirculation channel. Appl. Therm. Eng. 2024, 246, 122929. [Google Scholar] [CrossRef]
- Zhao, H.; Zhao, D.; Becker, S. Thermal performances investigation on an ammonia-fuelled heat-recirculating micro-combustor with reduced chemical mechanism. Appl. Therm. Eng. 2024, 236, 121685. [Google Scholar] [CrossRef]
- Tenkolu, G.A.; Gao, L.; Tang, A.; Cai, T.; Zhang, H.; Liu, C. Flame stability enhancement and output performance optimization of a dual reaction zone recirculating micro-combustor. Appl. Therm. Eng. 2025, 258, 124559. [Google Scholar] [CrossRef]
- Zhang, Q.; Tang, A.; Cai, T.; Huang, Q. Analysis of entropy generation and exergy efficiency of the methane/dimethyl ether/air premixed combustion in a micro-channel. Int. J. Heat Mass Transfer 2024, 218, 124801. [Google Scholar] [CrossRef]
- Zhong, W.; Dai, L.; He, Z.; Wang, Q. Numerical study on the combustion characteristics of premixed ammonia flames with methanol/ethanol/n-butanol addition. Fuel 2025, 381, 133527. [Google Scholar] [CrossRef]
- Han, L.; Li, J.; Zhao, D.; Xi, Y.; Gu, X.; Wang, N. Effect analysis on energy conversion enhancement and NOx emission reduction of ammonia/hydrogen fuelled wavy micro-combustor for micro-thermophotovoltaic application. Fuel 2021, 289, 119755. [Google Scholar] [CrossRef]
- Guo, L.; Zhai, M.; Xu, S.; Shen, Q.; Dong, P.; Bai, X.-S. Flame characteristics of methane/air with hydrogen addition in the micro confined combustion space. Int. J. Hydrogen Energy 2022, 47, 19319–19337. [Google Scholar] [CrossRef]
- Sui, R.; Es-sebbar, E.-t.; Mantzaras, J.; Prasianakis, N.I. Experimental and Numerical Investigation of Fuel-Lean H2/CO/Air and H2/CH4/Air Catalytic Microreactors. Combust. Sci. Technol. 2018, 190, 336–362. [Google Scholar] [CrossRef]
- Peng, Q.; Yang, W.; E, J.; Li, S.; Li, Z.; Xu, H.; Fu, G. Effects of propane addition and burner scale on the combustion characteristics and working performance. Appl. Energy 2021, 285, 116484. [Google Scholar] [CrossRef]
- Yilmaz, H.; Cam, O.; Yilmaz, I. Effect of micro combustor geometry on combustion and emission behavior of premixed hydrogen/air flames. Energy 2017, 135, 585–597. [Google Scholar] [CrossRef]
- Ni, S.; Zhao, D.; Sun, Y.; E, J. Numerical and entropy studies of hydrogen-fuelled micro-combustors with different geometric shaped ribs. Int. J. Hydrogen Energy 2019, 44, 7692–7705. [Google Scholar] [CrossRef]
- Ma, Y.; Yuan, W.; Zhao, S.; Fang, H. Premixed Combustion Characteristics of Hydrogen/Air in a Micro-Cylindrical Combustor with Double Ribs. Energies 2024, 17, 5165. [Google Scholar] [CrossRef]
- Ansari, M.; Amani, E. Micro-combustor performance enhancement using a novel combined baffle-bluff configuration. Chem. Eng. Sci. 2018, 175, 243–256. [Google Scholar] [CrossRef]
- Li, W.; Zeng, J.; Bian, G.; Liu, X.; Han, L.; Cai, T. Combustion enhancement and performance analysis of T-shaped rod-assisted methane/air combustors for micro-thermophotovoltaic systems. Int. J. Heat Fluid Flow 2024, 106, 109323. [Google Scholar] [CrossRef]
- Wan, J.; Fan, A.; Maruta, K.; Yao, H.; Liu, W. Experimental and numerical investigation on combustion characteristics of premixed hydrogen/air flame in a micro-combustor with a bluff body. Int. J. Hydrogen Energy 2012, 37, 19190–19197. [Google Scholar] [CrossRef]
- Gao, W.; Yan, Y.; Shen, K.; Huang, L.; Zhao, T.; Gao, B. Combustion characteristic of premixed H2/air in the micro cavity combustor with guide vanes. Energy 2022, 239, 121975. [Google Scholar] [CrossRef]
- Yang, W.; Xiang, Y.; Fan, A.; Yao, H. Effect of the cavity depth on the combustion efficiency of lean H2/air flames in a micro combustor with dual cavities. Int. J. Hydrogen Energy 2017, 42, 14312–14320. [Google Scholar] [CrossRef]
- Su, Y.; Song, J.; Chai, J.; Cheng, Q.; Luo, Z.; Lou, C.; Fu, P. Numerical investigation of a novel micro combustor with double-cavity for micro-thermophotovoltaic system. Energy Convers. Manag. 2015, 106, 173–180. [Google Scholar] [CrossRef]
- Faramarzpour, H.; Mazaheri, K.; Alipoor, A. Effect of backward facing step on radiation efficiency in a micro combustor. Int. J. Therm. Sci. 2018, 132, 129–136. [Google Scholar] [CrossRef]
- Dai, C.; Zuo, W.; Li, Q.; Zhou, K.; Huang, Y.; Zhang, G.; E, J. Energy conversion efficiency improvement studies on the hydrogen-fueled micro planar combustor with multi-baffles for thermophotovoltaic applications. Energy 2024, 313, 134099. [Google Scholar] [CrossRef]
- Sutherland, W. LII. The viscosity of gases and molecular force. Lond. Edinb. Dublin Philos. Mag. J. Sci. 1893, 36, 507–531. [Google Scholar] [CrossRef]
- Kuo, C.H.; Ronney, P.D. Numerical modeling of non-adiabatic heat-recirculating combustors. Proc. Combust. Inst. 2007, 31, 3277–3284. [Google Scholar] [CrossRef]
- Li, J.; Chou, S.K.; Yang, W.M.; Li, Z.W. A numerical study on premixed micro-combustion of CH4-air mixture: Effects of combustor size, geometry and boundary conditions on flame temperature. Chem. Eng. J. 2009, 150, 213–222. [Google Scholar] [CrossRef]
- Sun, Y.; Cai, T.; Zhao, D. Thermal performance and NOx emission characteristics studies on a premixed methane-ammonia-fueled micro-planar combustor. Fuel 2021, 291, 120190. [Google Scholar] [CrossRef]
- Tang, A.; Xu, Y.; Pan, J.; Yang, W.; Jiang, D.; Lu, Q. Combustion characteristics and performance evaluation of premixed methane/air with hydrogen addition in a micro-planar combustor. Chem. Eng. Sci. 2015, 131, 235–242. [Google Scholar] [CrossRef]
- Zhou, C.; Tang, A.; Cai, T.; Zhao, D.; Huang, Q. Numerical study on flame shape transition and structure characteristic of premixed CH4/H2-air in the micro-planar combustor. Chem. Eng. Process.-Process Intensif. 2021, 166, 108460. [Google Scholar] [CrossRef]

















Disclaimer/Publisher’s Note: The statements, opinions and data contained in all publications are solely those of the individual author(s) and contributor(s) and not of MDPI and/or the editor(s). MDPI and/or the editor(s) disclaim responsibility for any injury to people or property resulting from any ideas, methods, instructions or products referred to in the content. |
© 2025 by the authors. Licensee MDPI, Basel, Switzerland. This article is an open access article distributed under the terms and conditions of the Creative Commons Attribution (CC BY) license (https://creativecommons.org/licenses/by/4.0/).
Share and Cite
Li, L.; Sun, Y.; Huang, X.; Guo, L.; Zhao, X. Enhancing Thermal Performance Investigations of a Methane-Fueled Planar Micro-Combustor with a Counter-Flow Flame Configuration. Energies 2025, 18, 195. https://doi.org/10.3390/en18010195
Li L, Sun Y, Huang X, Guo L, Zhao X. Enhancing Thermal Performance Investigations of a Methane-Fueled Planar Micro-Combustor with a Counter-Flow Flame Configuration. Energies. 2025; 18(1):195. https://doi.org/10.3390/en18010195
Chicago/Turabian StyleLi, Liaoliao, Yuze Sun, Xinyu Huang, Lixian Guo, and Xinyu Zhao. 2025. "Enhancing Thermal Performance Investigations of a Methane-Fueled Planar Micro-Combustor with a Counter-Flow Flame Configuration" Energies 18, no. 1: 195. https://doi.org/10.3390/en18010195
APA StyleLi, L., Sun, Y., Huang, X., Guo, L., & Zhao, X. (2025). Enhancing Thermal Performance Investigations of a Methane-Fueled Planar Micro-Combustor with a Counter-Flow Flame Configuration. Energies, 18(1), 195. https://doi.org/10.3390/en18010195

