Analysis of Greenhouse Gas Emissions and Energy Consumption Depending on the Material and Construction Solutions and the Energy Carrier Used—A Case Study
Abstract
1. Introduction
2. Materials and Methods
2.1. Research Object and Measuring Apparatus
2.2. Method and Calculation Variants
3. Results
3.1. Analysis of Measurement Data
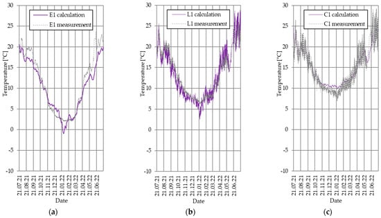
3.2. Validation and Verification of the Computational Model
3.3. Variant Analysis
4. Discussion
5. Conclusions
- The appropriate selection of materials and construction solutions significantly affects the energy demand of greenhouses.
- The use of foundation insulation and single-chamber polycarbonate panels (instead of single panes) in variant 3 achieved energy savings of 24% compared to the initial variant 1.
- Foundation insulation contributed to energy savings by 4%.
- Variant 3 (foundation insulation and single-chamber polycarbonate panels) reduced CO2 emissions by 24% compared to the basic variant. Emissions of sulfur oxides, nitrogen oxides and dust were also reduced.
- Changing the fuel from hard coal to natural gas would reduce the total unit emission by an estimated 51% compared to hard coal.
- The obtained results showed a high compliance of theoretical and actual data (85–89% for the coefficient of determination (R2) and 84–88% for the GOF method). In further stages of research, it is therefore possible to use the applied model for analyses of adding insulation and modern materials using renewable energy (e.g., solar panels or heat pumps).
- The solutions tested in the greenhouse can be adapted to other types of buildings requiring thermal regulation (e.g., agricultural warehouses or public utility buildings).
Author Contributions
Funding
Data Availability Statement
Conflicts of Interest
References
- Jakučionytė-Skodienė, M.; Krikštolaitis, R.; Liobikienė, G. The contribution of changes in climate-friendly behaviour, climate change concern and personal responsibility to household greenhouse gas emissions: Heating/cooling and transport activities in the European Union. Energy 2022, 246, 123387. [Google Scholar] [CrossRef]
- Nawalany, G.; Sokołowski, P.; Michalik, M. The effect of floor material and construction solutions and the type of heating system on greenhouse gas (GHG) emissions—A case study. J. Build. Eng. 2023, 77, 107422. [Google Scholar] [CrossRef]
- Bielaczyc, P.; Woodburn, J.; Szczotka, A.; Pajdowski, P. The Impact of Alternative Fuels on Fuel Consumption and Exhaust Emissions of Greenhouse Gases from Vehicles Featuring SI Engines. Energy Procedia 2015, 66, 21–24. [Google Scholar] [CrossRef]
- Primc, K.; Zabavnik, D.; Dominko, M.; Slabe-Erker, R. Green financing for cutting emissions and simultaneous economic upturn in the European Union: Myth or reality? Sustain. Futures 2024, 8, 100355. [Google Scholar] [CrossRef]
- O’Callaghan, B.; Yau, N.; Hepburn, C. How stimulating is a green stimulus? The economic attributes of green fiscal spending. Annu. Rev. Environ. Resour. 2022, 47, 697–723. [Google Scholar] [CrossRef]
- Rabina-Alves, M.; Moutinho, V. Decomposition of energy-related GHG emissions in agriculture over 1995-2008 for European countries. Appl. Energy 2014, 114, 949–957. [Google Scholar] [CrossRef]
- Minato, K.; Kouda, Y.; Yamakawa, M.; Hara, S.; Tamura, T.; Osada, T. Determination of GHG and ammonia emissions from stored dairy cattle slurry by Rusing a floating dynamic chamber. Anim. Sci. J. 2013, 84, 165–177. [Google Scholar] [CrossRef]
- Talaei, A.; Gemechu, E.; Kumar, A. Key factors affecting greenhouse gas emissions in the Canadian industrial sector: A decomposition analysis. J. Clean. Prod. 2020, 246, 119026. [Google Scholar] [CrossRef]
- Worrell, E.; Bernstein, L.; Roy, J.; Price, L.; Harnisch, J. Industrial energy efficiency and climate change mitigation. Energy Effic. 2009, 2, 109–123. [Google Scholar] [CrossRef]
- Moomaw, W. Industrial emissions of greenhouse gases. Energy Policy 1996, 24, 951–968. [Google Scholar] [CrossRef]
- Tubiello, F.; Salvatore, M.; Rossi, S.; Ferrara, A.; Fitton, N.; Smith, P. The FAOSTAT database of greenhouse gas emissions from agriculture. Environ. Res. Lett. 2013, 8, 015009. [Google Scholar] [CrossRef]
- Tubiello, F.; Karl, K.; Flammini, A.; Gütschow, J.; Obli-Laryea, G.; Conchedda, G.; Pan, X.; Qi, S.; Heiðarsdóttir, H.; Wanner, N.; et al. Pre- and post-production processes increasingly dominate greenhouse gas emissions from agri-food systems. Earth Syst. Sci. Data 2022, 14, 1795–1809. [Google Scholar] [CrossRef]
- Linquist, B.; Groenigen, K.; Adviento-Borbe, M.; Pittelkow, C.; Kessel, C. An agronomic assessment of greenhouse gas emissions from major cereal crops. Glob. Change Biol. 2012, 18, 194–209. [Google Scholar] [CrossRef]
- Weidner, T.; Yang, A.; Hamm, M. Energy optimisation of plant factories and greenhouses for different climatic conditions. Energy Convers. Manag. 2021, 243, 114336. [Google Scholar] [CrossRef]
- Sokołowski, P.; Nawalany, G. Analysis of Energy Exchange with the Ground in a Two-Chamber Vegetable Cold Store, Assuming Different Lengths of Technological Break, with the Use of a Numerical Calculation Method—A Case Study. Energies 2020, 13, 4970. [Google Scholar] [CrossRef]
- Sachs, J.; Moya, D.; Giarola, S.; Hawkes, A. Clustered spatially and temporally resolved global heat and cooling energy demand in the residential sector. Appl. Energy 2019, 250, 48–62. [Google Scholar] [CrossRef]
- Costantino, A.; Comba, L.; Sicardi, G.; Bariani, M.; Fabrizio, E. Energy performance and climate control in mechanically ventilated greenhouses: A dynamic modelling-based assessment and investigation. Appl. Energy 2021, 288, 116583. [Google Scholar] [CrossRef]
- Rezaei, E.; Dagdougui, H.; Ojand, K. Hierarchical Distributed Energy Management Framework for Multiple Greenhouses Considering Demand Response. IEEE Trans. Sustain. Energy 2023, 14, 453–464. [Google Scholar] [CrossRef]
- Yan, S.; Fazilati, M.; Toghraie, D.; Khalili, M.; Karimipour, A. Energy cost and efficiency analysis of greenhouse heating system enhancement using phase change material: An experimental study. Renew. Energy 2021, 170, 133–140. [Google Scholar] [CrossRef]
- Esen, M.; Yuksel, T. Experimental evaluation of using various renewable energy sources for heating a greenhouse. Energy Build. 2013, 65, 340–351. [Google Scholar] [CrossRef]
- Nawalany, G.; Sokołowski, P. Numerical Analysis of the Effect of Ground Dampness on Heat Transfer between Greenhouse and Ground. Sustainability 2021, 13, 3084. [Google Scholar] [CrossRef]
- Nawalany, G.; Lendelova, J.; Sokołowski, P.; Zitnak, M. Numerical Analysis of the Impact of the Location of a Commercial Broiler House on Its Energy Management and Heat Exchange with the Ground. Energies 2021, 14, 8565. [Google Scholar] [CrossRef]
- Fabrizio, E. Energy reduction measures in agricultural greenhouses heating: Envelope, systems and solar energy collection. Energy Build. 2012, 53, 57–63. [Google Scholar] [CrossRef]
- Kittas, C.; Karamanis, M.; Katsoulas, N. Air temperature regime in a forced ventilated greenhouse with rose crop. Energy Build. 2005, 37, 807–812. [Google Scholar] [CrossRef]
- Mazor, M.; Mutton, J.; Russell, D.; Keoleian, G. Life Cycle Greenhouse Gas Emissions Reduction From Rigid Thermal Insulation Use in Buildings. J. Ind. Ecol. 2011, 15, 284–299. [Google Scholar] [CrossRef]
- Satola, D.; Röck, M.; Houlihan-Wiberg, A.; Gustavsen, A. Life Cycle GHG Emissions of Residential Buildings in Humid Subtropical and Tropical Climates: Systematic Review and Analysis. Buildings 2020, 11, 6. [Google Scholar] [CrossRef]
- Penaloza, G.A.; Vignisdottir, H.R.; Kristensen, T.; Ramsnes, E. Greenhouse gas emission reduction potential in road tunnels– Can we reach the European Union goals with existing materials and technologies? Tunn. Undergr. Space Technol. Inc. Trenchless Technol. Res. 2024, 153, 106011. [Google Scholar] [CrossRef]
- Dean, J.; Vogel, E.; Murphy, F. Modelling solar photovoltaic systems on dairy farms for cost savings and GHG emission reduction. Sci. Total Environ. 2024, 948, 174874. [Google Scholar] [CrossRef]
- Ustaoglu, A.; Yaraş, A.; Sutcu, M.; Gencel, O. Investigation of the residential building having novel environment-friendly construction materials with enhanced energy performance in diverse climate regions: Cost-efficient, low-energy and low-carbon emission. J. Build. Eng. 2021, 43, 102617. [Google Scholar] [CrossRef]
- Santacruz, W.; Munoz, J. Design and Construction of Energy Saving Buildings in Varied Climates: Bioclimatic Approach and Sustainability. Minerva 2023, 2023, 124–135. [Google Scholar] [CrossRef]
- Nematchoua, M.; Orosa, J.; Ricciardi, P.; Obonyo, E.; Sambatra, E.; Reiter, S. Transition to Zero Energy and Low Carbon Emission in Residential Buildings Located in Tropical and Temperate Climates. Energies 2021, 14, 4253. [Google Scholar] [CrossRef]
- Ntinas, G.; Dannehl, D.; Schuch, I.; Rocksch, T.; Schmidt, U. Sustainable greenhouse production with minimised carbon footprint by energy export. Biosyst. Eng. 2020, 189, 164–178. [Google Scholar] [CrossRef]
- Nawalany, G.; Sokołowski, P. Analysis of hygrothermal conditions of external partitions in an underground fruit store. J. Ecol. Eng. 2016, 17, 75–82. [Google Scholar] [CrossRef] [PubMed]
- Ahamed, S.; Guo, H.; Tanino, K. Energy saving techniques for reducing the heating cost of conventional greenhouses. Biosyst. Eng. 2019, 178, 9–33. [Google Scholar] [CrossRef]
- Gilli, C.; Kempkes, F.; Muñoz, P.; Montero, J.; Giuffrida, F.; Baptista, F.; Stępowska, A.; Stanghellini, C. Potential of different energy saving strategies in heated greenhouse. Acta Hortic. 2017, 1164, 467–474. [Google Scholar] [CrossRef]
- Gdula, S. Heat Conduction; PWN: Warsaw, Poland, 1984. [Google Scholar]
- PN-EN ISO 6946:2017; Thermal Resistance and Heat Transfer Coefficient. ISO: Geneva, Switzerland, 2017.
- Ruiz, G.R.; Bandera, C.F. Validation of calibrated energy models: Common errors. Energies 2017, 10, 1587. [Google Scholar] [CrossRef]
- Nawalany, G.; Sokołowski, P.; Michalik, M. Analysis of the Operation of an Unheated Wooden Church to the Shaping of Thermal and Humidity Conditions Using the Numerical Method. Energies 2021, 14, 5200. [Google Scholar] [CrossRef]
- KOBiZE. Calorific Values (WO) and CO2 Emission Factors (WE) in 2019 for Reporting Under the European Union Emissions Trading Scheme for 2022, Poland. Available online: https://www.kobize.pl/pl/article/aktualnosci-2022/id/2034/wartosci-opalowe-wo-i-wskazniki-emisji-co2-we-w-roku-2019-do-raportowania-w-ramach-systemu-handlu-uprawnieniami-do-emisji-za-rok-2022 (accessed on 4 January 2022).
- KOBiZE. Pollutant Emission Indicators from Fuel Combustion for Sources with Nominal Thermal Power up to 5 MW, Used for Automatic Emission Calculation in the Report to the National Database for 2020. Warsaw, Poland, 2021. Available online: https://krajowabaza.kobize.pl/docs/Wskazniki_emisji_zanieczyszczen_spalanie_paliw_dla_zrodel_do_5MW_automatyczne_wyliczenia_emisji_raport_2020_2021.pdf (accessed on 29 August 2022).
- Winkler, M.; Stadler, S.; Radoń, J.; Henning, J. PALM-4U GUI: A cloud based user-friendly graphical user interface for the urban climate model PALM-4U. In Proceedings of the Building Simulation 2023: 18th Conference of IBPSA, Shanghai, China, 4–6 September 2023; International Building Performance Simulation Association: Britton, SD, USA, 2024; pp. 1231–1238. [Google Scholar]
- Pazold, M.; Radoń, J.; Kersken, M.; Künzel, H.; Antretter, F.; Sinnesbichler, H. Development and Verification of Novel Building Integrated Thermal Storage System Models. Energies 2023, 16, 2889. [Google Scholar] [CrossRef]
- Trappler, V.; Arnaud, E.; Vidard, A.; Debreu, L. Robust calibration of numerical models based on relative regret. J. Comput. Phys. 2020, 426, 109952. [Google Scholar] [CrossRef]
- Yan, S.; Fazilati, M.; Samani, N.; Ghasemi, H.; Toghraie, D.; Nguyen, Q.; Karimipour, A. Energy efficiency optimization of the waste heat recovery system with embedded phase change materials in greenhouses: A thermo-economic-environmental study. J. Energy Storage 2020, 30, 101445. [Google Scholar] [CrossRef]
- Nasrollahi, H.; Ahmadi, F.; Ebadollahi, M.; Nobar, S.; Amidpour, M. The greenhouse technology in different climate conditions: A comprehensive energy-saving analysis. Sustain. Energy Technol. Assess. 2021, 47, 101455. [Google Scholar] [CrossRef]
- Majumder, A.; Canale, L.; Mastino, C.; Pacitto, A.; Frattolillo, A.; Dell’Isola, M. Thermal Characterization of Recycled Materials for Building Insulation. Energies 2021, 14, 3564. [Google Scholar] [CrossRef]
- Sadłowska-Sałęga, A.; Wąs, K. Risk of Moisture in Diffusionally Open Roofs with Cross-Laminated Timber for Northern Coastal Climates. Buildings 2020, 10, 10. [Google Scholar] [CrossRef]
- Wąs, K.; Radoń, J.; Sadłowska-Sałęga, A. Thermal Comfort—Case Study in a Lightweight Passive House. Energies 2022, 15, 4687. [Google Scholar] [CrossRef]
- Sadłowska-Sałęga, A.; Wąs, K. Moisture Risk Analysis for Three Construction Variants of a Wooden Inverted Flat Roof. Energies 2021, 14, 7898. [Google Scholar] [CrossRef]














| Materials Used and the Ground Adopted for the Greenhouse | |||||
|---|---|---|---|---|---|
| Physical Parameter | Concrete C20/25 | XPS Polystyrene | Single Panes of Glass | Single-Chamber Polycarbonate | Sandy Clay |
| Bulk density [kg·m−3] | 2322.00 | 40.00 | - | - | 1800.00 |
| Specific heat [J·kg−1·K−1] | 850.00 | 1500.00 | - | - | 1000.00 |
| Thermal conductivity coefficient [W·m−1·K−1] | 1.70 | 0.035 | - | - | 1.70 |
| Frame factor [-] | - | - | 0.90 | 0.80 | - |
| Average coefficient of heat gain from solar radiation [-] | - | - | 0.85 | 0.60 | - |
| External surface emissivity [-] | - | - | 0.85 | 0.80 | - |
| Heat transfer coefficient [W·m−2·K−2] | - | - | 5.00 | 3.50 | - |
| Type of Pollution | Coal [g/GJ] | Natural Gas [g/GJ] |
|---|---|---|
| Total dust | 350.0 | 0.5 |
| CO2 | 96,370.0 | 57,650.0 |
| NOx | 160.0 | 50.0 |
| SOx | 410.0 | 0.4 |
| Fuel type | Calorific value [MJ/kg] | |
| Coal | 25.28 | |
| Natural gas | 48.00 | |
Disclaimer/Publisher’s Note: The statements, opinions and data contained in all publications are solely those of the individual author(s) and contributor(s) and not of MDPI and/or the editor(s). MDPI and/or the editor(s) disclaim responsibility for any injury to people or property resulting from any ideas, methods, instructions or products referred to in the content. |
© 2024 by the authors. Licensee MDPI, Basel, Switzerland. This article is an open access article distributed under the terms and conditions of the Creative Commons Attribution (CC BY) license (https://creativecommons.org/licenses/by/4.0/).
Share and Cite
Nawalany, G.; Sokołowski, P.; Jakubowski, T.; Atilgan, A. Analysis of Greenhouse Gas Emissions and Energy Consumption Depending on the Material and Construction Solutions and the Energy Carrier Used—A Case Study. Energies 2024, 17, 6460. https://doi.org/10.3390/en17246460
Nawalany G, Sokołowski P, Jakubowski T, Atilgan A. Analysis of Greenhouse Gas Emissions and Energy Consumption Depending on the Material and Construction Solutions and the Energy Carrier Used—A Case Study. Energies. 2024; 17(24):6460. https://doi.org/10.3390/en17246460
Chicago/Turabian StyleNawalany, Grzegorz, Paweł Sokołowski, Tomasz Jakubowski, and Atilgan Atilgan. 2024. "Analysis of Greenhouse Gas Emissions and Energy Consumption Depending on the Material and Construction Solutions and the Energy Carrier Used—A Case Study" Energies 17, no. 24: 6460. https://doi.org/10.3390/en17246460
APA StyleNawalany, G., Sokołowski, P., Jakubowski, T., & Atilgan, A. (2024). Analysis of Greenhouse Gas Emissions and Energy Consumption Depending on the Material and Construction Solutions and the Energy Carrier Used—A Case Study. Energies, 17(24), 6460. https://doi.org/10.3390/en17246460

