Next Article in Journal
Heterojunction Technology vs. Passivated Emitter and Rear Contact Photovoltaic Panels: Evaluating Efficiency and Profitability Under Challenging Summer Conditions in Lisbon Using Extensive Field Data
Next Article in Special Issue
Analysis of the Layout of Passive Safety Systems When the Spent Fuel Pool Is Built in the Containment
Previous Article in Journal
Selecting Energy-Efficient LED Retrofits with Optimal Color Qualities for New and Refurbished Buildings
 
 
Font Type:
Arial Georgia Verdana
Font Size:
Aa Aa Aa
Line Spacing:
Column Width:
Background:
Article

Thermodynamic Analysis and Optimization of Mobile Nuclear System

1
Shanghai Institute of Applied Physics, Chinese Academy of Sciences, Shanghai 201800, China
2
Zhongke Wuwei New Energy Research Institute, Wuwei 733000, China
3
University of Chinese Academy of Sciences, Beijing 100049, China
*
Authors to whom correspondence should be addressed.
Energies 2025, 18(1), 113; https://doi.org/10.3390/en18010113
Submission received: 3 December 2024 / Revised: 20 December 2024 / Accepted: 27 December 2024 / Published: 30 December 2024
(This article belongs to the Special Issue Economic Analysis of Nuclear Energy)

Abstract

This paper develops a system–component integrated design method for a closed Brayton cycle in a nuclear-powered emergency power vehicle, optimizing the thermodynamic performance by varying the maximum operating temperature and pressure, minimum operating temperature, helium–xenon gas molar mass, and PCHE parameters to maximize the specific power and thermal efficiency. The key results are as follows: (1) The maximum allowable pressure decreases with the temperature, and the specific power increases for both the SRC and the IRC without considering the ultimate heat sink. (2) The PCHE weight is minimized at a helium–xenon gas molar mass of 25 g/mol, while the turbomachine’s weight decreases with an increasing molar mass, leading to an overall system weight reduction. (3) The thermal efficiency decreases with lower minimum operating temperatures, optimizing at 350 K due to a precooler weight increase. (4) The thermal efficiency plateaus after a certain number of PCHE channels, with the recuperator effectiveness significantly impacting the performance. (5) The SRC, with a specific power and a thermal efficiency of 194.38 kW/kg and 39.19%, is preferred over the IRC for the SIMONS due to its mobility and rapid deployment. This study offers a comprehensive analysis for optimizing closed Brayton cycle systems in emergency power applications.

1. Introduction

During natural disasters or unforeseen events, such as power plant failures or mining accidents, localized power grid outages may occur, severely impacting normal life and social and economic development. Power emergency vehicles can provide crucial power support in such circumstances. Currently, diesel generators are the primary power source used in these emergency vehicles [1]. However, diesel generators have a limited operating time, usually only working for a few hours at most, typically no longer than 12 h. Additionally, their power density is small, resulting in power outputs of less than 1 MWe. Micro nuclear reactors, on the other hand, offer advantages such as a high-power density and long refueling cycles. Therefore, nuclear-based emergency power vehicles can not only provide emergency power but also supply power for customers located far from the main power grid over an extended period. Reactors with an electric power output of less than 10 MWe are defined as microreactors [2,3].
The energy conversion system is a critical component in the design of a microreactor system, as it not only affects the thermoelectric conversion efficiency but also has a significant impact on the size and mass of the system. Therefore, special attention must be given to the thermodynamic cycle type and the system parameters when designing the energy conversion system.
Currently, there are two main types of thermodynamic cycles that are used for energy conversion systems in microreactors: the steam Rankine cycle and the Brayton cycle. The choice of the working medium varies depending on the specific environment, such as the air, helium, and supercritical carbon dioxide. Although the steam Rankine cycle has a higher level of technological maturity, it is characterized by a more complex structure and lower system compactness compared to the Brayton cycle. Consequently, its rapid-deployment capability is not comparable with the Brayton cycle. A typical example of the Rankine cycle is the U-Battery [4]: it was designed to provide electricity and heat for energy-intensive industries and remote locations with combined heat and power cogeneration technology. The lead-cooled fast reactor SEALER, developed by the LeadCold Company [5], is applied in polar communities and mine mining, and it also uses the steam Rankine cycle. Since the system of the Brayton cycle is simple and compact, it can be applied not only as an energy source for isolated islands but also in rapid-deployment application scenarios. A typical energy source for isolated islands is the Energy Well [6] (20 MWth/8 MWe), a fluoride high-temperature reactor system developed in the Czech Republic with a capacity of 20 MWth/8 MWe. It was designed to offer long-term electric and thermal energy solutions for remote areas, but its deployment is not rapid.
Micro nuclear reactor systems with rapid-deployment characteristics are often packed inside standardized containers, such as eVinciTM [7] and HOLOS-QUAD [8]. Both are microreactors that can provide heat and electricity to remote communities, mining operations, or critical infrastructure installations. Their portability within standard shipping containers is a key feature. eVinciTM uses an open-air Brayton system for its compactness and technical maturity, while HOLOS-QUAD employs an intercooled, recuperated cycle for its high thermal efficiency. The entire microreactor system of HOLOS-QUAD converts thermal energy into electricity with 45% efficiency, which is contained in a single reinforced container that is 40 feet (12.19 m) long. However, it should be noted that for both systems, the ultimate heat sink is not located within the container. For the KAIST MMR [9], which is also transported by truck, a simple recuperated cycle with supercritical carbon dioxide is used to reduce the system size, and an air-cooled heat exchanger installed on the ground near the truck serves as the heat sink. Additionally, the selection of thermodynamic cycles and working fluids is closely related to the application scenarios. A space reactor uses a simple recuperated cycle to reduce the number of stages of the compressor, and helium–xenon gas is selected as the working medium [10,11,12]. Generally, if the helium Brayton cycle is used in a high-temperature, gas-cooled reactor power generation system in large power plants, most of them adopt an intercooled recuperated cycle to increase their thermal efficiency [13,14]. In parallel, if the supercritical carbon dioxide cycle is used, a split flow recompression cycle is usually adopted to avoid the “pinch point problem” [15,16].
However, the research on microreactor systems above does not consider the decrease in the maximum pressure resistance strength of materials under high-temperature conditions. In practice, as the outlet temperature of the heat source increases to a certain threshold, the pressure resistance strength of the structural alloys decreases exponentially [17]. Therefore, it is necessary to optimize the analysis of high temperatures and high pressures simultaneously in a system analysis. Additionally, the selection and geometric structure of heat exchangers in the Brayton cycle system not only affect their own performance but also impact the total mass and the specific power of the system through changes in the heat transfer area, and the expansion ratio of the turbine and thermal efficiency of the system through changes in pressure losses. Therefore, the optimization of the heat exchanger parameters and system parameters requires iterative coupling. However, there is currently no research on the Brayton cycle system using a printed circuit heat exchanger (PCHE) and helium–xenon gas as the working medium simultaneously. Finally, in current, rapidly deployable nuclear power systems, the ultimate heat sink is either designed to be assembled upon arrival at the site, which cannot meet the needs of emergency power generation vehicles, or placed on a separate trailer and connected by hoses, increasing the safety risks of losing the ultimate heat sink.
The objective of this study is to conduct a parametric optimization for the closed Brayton cycle system of a SIMONS while considering the maximum temperature and pressure, minimum temperature, molar mass of the He-Xe gas, vertical cross-section of the printed circuit heat exchanger (PCHE), and the effectiveness of the recuperator, as well as to maximize the specific power and thermal efficiency and to examine the reciprocal impact between the system and the heat exchangers in the simple recuperated cycle (SRC) and the intercooled recuperated cycle (IRC). A thermodynamic system analysis numerical model, incorporating PCHE parameters and using a helium–xenon mixed gas working fluid, was developed and validated in Section 2. In Section 3, a detailed analysis of several parameters was carried out to find the optimal combination of the parameters. Additionally, using the optimized parameters, the layout of the system within a five-axle truck is presented.

2. Model Description

2.1. Thermodynamic Cycle

The fundamental modules of Small Innovative MObile Nuclear power Systems (SIMONSs) include the reactor, turbomachinery, heat exchange equipment, and ultimate heat sink. The reactor serves as a SIMONS’s heating source, while the compressor and turbine make up its turbomachinery. Furthermore, for increased isentropic efficiency, an axial compressor and turbine technology are employed. PCHEs are selected as the recuperator, precooler, and intercooler in the IRC. An air-cooled finned tube heat exchanger acts as a SIMONS’s ultimate heat sink. To further investigate the influence of Brayton cycle types on a SIMONS’s performance, numerical models of the SRC and the IRC—commonly implemented in helium–xenon gas—have been developed and validated.
The SRC system consists of a compressor, a turbine, a recuperator, and a precooler. It recovers the thermal power from the turbine outlet through a recuperator and reduces the discharge of thermal power to the outside environment to achieve a higher thermal efficiency. The work flow of the SRC is as follows: He-Xe gas passes through the compressor (T2, P2) and then passes through the recuperator (T3, P3); after the He-Xe gas enters the reactor, it brings out thermal power from the core (T4, P4); the state parameters change to (T5, P5) after the gas mixture is expanded by the turbine; the state parameters of the mixture gas change to (T6, P6) after the waste heat is recovered by the recuperator; after the He-Xe gas discharges the waste heat through the precooler, the state parameters change to (T1, P1); the He-Xe gas enters the compressor. The SRC system diagram and status points at each location are shown in Figure 1.
An IRC system consists of several key components, including two compressors—a low-pressure compressor and a high-pressure compressor—as well as a turbine, intercooler, recuperator, and precooler. The main purpose of the IRC is to optimize thermal efficiency by lowering the temperature at the inlet of the high-pressure compressor. This results in a reduction in the overall power consumed by the compressors, ultimately enhancing the system’s performance. The work flow of the IRC is as follows: after the He-Xe gas comes out of the precooler, it first enters the low-pressure compressor to increase the temperature and the pressure (T2, P2); then it enters the intercooler, and the temperature of the mixture is cooled to T7 (which is equal to T1); after entering the high-pressure compressor, the temperature and the pressure of the He-Xe gas increase to (T8, P8); the following process is the same as step 2 to step 5 in the SRC. The IRC system diagram and status points at each location are shown in Figure 2.
The main assumptions made in the analysis are summarized as follows:
  • All the processes within the system have reached a steady state, meaning that the thermodynamic properties at any given point do not change over time.
  • The compression and expansion processes occurring in the turbomachinery are adiabatic but non-isentropic. The compression and expansion processes occurring in the turbomachinery (compressor and turbine) are assumed to be adiabatic, meaning there is no heat transfer between the system and its surroundings during these processes. However, they are also considered non-isentropic, which means that the irreversibility and inefficiency in the compression and expansion processes are taken into account.
  • Pressure losses in the reactor are assumed to be linear with respect to the inlet pressure. This assumption simplifies the model by assuming a direct relationship between the pressure drop and the inlet pressure, which is dependent on relative pressure loss coefficients. Meanwhile, the pressure loss is calculated according to the geometry parameters of the heat exchanger.
  • The heat transfer process in the heat exchanger considers the conservation of mass and energy. Additionally, this assumption accounts for heat losses from the reactor core, recognizing that not all the heat generated in the reactor is utilized efficiently. This ensures that the numerical model reflects practical scenarios where some energy is lost due to thermal insulation imperfections or other forms of heat dissipation.
The temperature and pressure of the turbomachinery at the inlet and the outlet and the specific heat capacity and the specific heat ratio of He-Xe gas are crucial factors in determining the output power; the latter two remain relatively constant if the molar mass is determined regardless of changes in temperature and pressure. As a result, the efficiency and the performance of the turbomachinery are significantly impacted by the temperature and the pressure of the gas at both the inlet and the outlet stages. Therefore, to approximate the compression and expansion processes within the turbomachinery, it is sufficient to rely on the thermophysical properties of the gas at its inlet. Specifically, by considering factors such as the compressor inlet temperature, specific heat ratio, compressor isentropic efficiency, and compressor pressure ratio, the outlet temperature of the compressor can be accurately calculated. The inlet and outlet temperature of the compressor [10] can be expressed as
T 2 T 1 = p 2 p 1 γ 1 γ η c = π c γ 1 γ η c
The compressor work can be defined by Equation (2).
W C = G C p , 1 T 2 T 1
Similarly, the outlet temperature of the turbine can be computed by the pressure ratio of the turbine, isentropic efficiency, and the thermodynamic parameters. The inlet and outlet temperatures [10] of the turbine are defined by Equation (3).
T 5 T 4 = p 5 p 4 η T γ 1 γ = π t η T γ 1 γ
The pressure ratio of the turbine in a closed Brayton cycle is dependent on the pressure ratio of the compressor and the relative pressure loss coefficients of the heat exchangers. In a simple, recuperated cycle, the turbine pressure ratio can be written as
π t = π c 1 1 ζ 2 3 1 ζ 3 4 1 ζ 5 6 1 ζ 6 1
where the relative pressure loss coefficients ξ [18] are defined as the ratios of the pressure differences to the inlet pressure, which can be expressed as
ζ i = p i n p o u t p i n i
In the IRC, the turbine pressure ratio can be defined by Equation (6).
π t = π c 1 π c 2 1 ζ 2 7 1 ζ 8 3 1 ζ 3 4 1 ζ 5 6 1 ζ 6 1
The turbine work can be defined by Equation (7)
W t = G C ¯ p , 4 5 T 4 T 5
In a Brayton cycle system, the recuperator connects the compressor, turbine, heat source, and precooler. The effectiveness of a recuperator is defined as the ratio of the actual heat recovery to the maximum possible heat recovery, which can be given by
α = T 3 T 2 T 5 T 2
The recuperator effectiveness is an input parameter and T2 and T5 can be calculated by Equations (1) and (3); thus, the core inlet temperature T3 can be calculated according to Equation (8).
According to the law of the conservation of energy, the energy obtained at the cold side of the recuperator is equal to the energy transferred from the hot side. The outlet temperature, T6, at the hot side of the recuperator can be calculated according to Equation (9).
G C ¯ p , 2 3 T 3 T 2 = G C ¯ p , 5 6 T 5 T 6
The mass flow rate, G, in the system can be calculated according to Equation (10).
G = P t h η t h C p , 3 4 T 4 T 3
Considering the efficiency of the shaft rotation driven by the turbine and the efficiency of the generator, the generating power Pele can be expressed as
P e l e = η M W T i W c i η G
The thermoelectric conversion efficiency of the Brayton cycle is defined by Equation (12).
η t h = P e P t h τ
The performance of the system in this study is characterized by thermal efficiency, total mass, and specific power. The specific power can be calculated by Equation (13)
ω s p = P e l e m t o t a l

2.2. Key Components

2.2.1. Reactor

Table 1 displays the fundamental parameters of the reactor (SIMONS) [19], and the radial and axial layouts of the reactor core are displayed in Figure 3. The reactor consists of 37 fuel assemblies, each containing 19 fuel pins along with 54 coolant channels. Beryllium oxide (BeO) is utilized as both the moderator and the matrix material within the core. The presence of the moderator reduces the volume fraction required for the fuel inventory, allowing for the use of uranium carbide (UC), enriched to 19.75%. The design specifications include the core having a radius of 51 cm and axial reflectors that are 20 cm in height. With this configuration, the core cannot achieve subcritical conditions simply by withdrawing all the radial reflectors. The 37 fuel assemblies are arranged in four concentric rings around the core center. Due to the low density of pure beryllium, it is employed in constructing the reflector, which has a thickness of 30 cm and weighs approximately 3.7 metric tons.
It is important to note that the natural xenon consists of seven isotopes: Xe-128 (1.91%), Xe-129 (26.4%), Xe-130 (4.071%), Xe-131 (21.232%), Xe-132 (26.909%), Xe-134 (10.436%), and Xe-136 (8.857%). The thermal neutron absorption cross-sections for these isotopes are as follows: Xe-128 has a cross-section of 5.19 barns, Xe-129 has 22.01 barns, Xe-130 has 4.7 barns, Xe-131 has 99.7 barns, Xe-132 has 0.45 barns, Xe-134 has 0.26 barns, and Xe-136 has 0.26 barns. And the He-Xe coolant mixture does not include the well-known neutron poison, Xe-135, which has an extraordinarily large thermal neutron absorption cross-section of approximately 2.65 × 106 barns.
The presence of He-Xe gas mixtures does have an impact on the neutron absorption cross-section, primarily affecting the core’s critical dimensions and refueling period, as well as the core’s weight. However, the impact on the thermodynamic cycle performance of the system is limited; therefore, this study has not considered the impact of increased natural xenon fractions on thermodynamic cycle performance.

2.2.2. Recuperator, Precooler, and Intercooler

To meet the truck transportation requirement, the SIMONS is designed to be compact, making the selection of a printed circuit heat exchanger (PCHE) [20,21] ideal for both the recuperator and the precooler components. The recuperator utilizes He-Xe gas on its hot and cold sides, while the precooler employs He-Xe gas on the hot side and high-pressure water on the cold side. The channels in this study feature a semicircular cross-section, with a hydraulic diameter of 3 mm and a minimum wall thickness of 0.5 mm. The mass of the recuperator and the precooler [22] can be obtained by Equation (14)
M R P , P R = ξ R P , P R A R P , P R
where ξ R P , P R is the specific mass of the recuperator or the precooler and A R P , P R is the recuperator or precooler area, which can be calculated by
A R P , P R = Φ R P , P R k R P , P R Δ t m
k R P , P R = 1 1 h h o t + δ w a l l k w a l l + 1 h c o l d
Δ t m = Δ t max Δ t min ln Δ t max Δ t min
where δ w a l l is the wall thickness, k w a l l is the thermal conductivity of the 304 alloy, and h h o t and h c o l d are the convective heat transfer coefficients on the hot and cold sides of the heat exchanger, which can be expressed as
h h o t , c o l d = N u h o t , c o l d k f d h
where Nu is the Nusselt number on the hot or cold side of the heat exchanger, which is dependent on the work fluid. Nu and f are defined by Equation (19) [22] if the fluid is He-Xe and defined by Equation (20) [23] if the fluid is water, and d h is hydraulics diameter that can be written as Equation (21)
N u = 0.05516 Re 0.69195 , f = 17.639 / Re 0.8861 ( 1400 Re 2200 ) 0.09221 Re 0.62507 , f = 0.019044 ( 2200 Re 3558 )
N u = 4.089 + 0.00497 Re 0.95 Pr 0.55 , f Re = 15.78 + 0.0557 Re 0.82 0 < Re < 3000 , 0.66 < Pr < 13.41
d h = π D c h a n n e l 2 π 2 + 1
where D c h a n n e l is the channel diameter of PCHE.

2.2.3. Ultimate Heat Sink

In this research, an air-cooled, finned tube heat exchanger is used as the heat sink. However, it is widely recognized that its thermal performance is hindered by the air-side heat transfer coefficient. To address this issue and improve the heat transfer, extended surfaces or fins are often incorporated on the air side. For this study, the annular finned tube is chosen as it not only increases the heat transfer area on the air side but also induces turbulence, thereby enhancing the heat transfer coefficient.
To ensure both high-efficiency cooling and a compact design, this study employed bundles of staggered finned tubes, arranged in multiple rows. However, it is important to note that increasing the number of pipe rows can lead to increased pressure loss on the air side. In order to minimize fan power consumption, it is crucial to limit the pressure drop on the gas side to less than 600 Pa.
The heat transfer coefficient of the air-cooled, finned tube heat exchanger [24] can be written as Equation (23)
K f i n n e d = 1 1 α i + δ k w a l l + 1 α o η F A o A i
where δ is tube wall thickness, η F is the fin efficiency that can be written as Equation (24), α i and α f are the convective heat transfer coefficient inside and outside the tube, which can be expressed as Equation (25) [25] and Equation (26) [26]
η F = tanh ( h F × 2 α o b F k w a l l ) h F × 2 α o b F k w a l l
α i = d i k f 0.023 Re f 0.8 Pr f 0.3
α o = 412 v N F 0.718

2.2.4. Turbomachinery

The mass of the turbomachinery [22,27] can be written as Equation (26)
M E C = ξ E C D C , T 2
where ζ E C is the specific mass of the compressor or the turbine; D C , T is the diameter of the compressor or the turbine, which can be calculated by Equation (27)
D C , T = c p T o u t T i n ψ π n
where T o u t and T i n are the outlet and inlet temperatures of the compressor or turbine, respectively; ψ is the compressor head coefficient; and n is the rotating speed of the compressor.
The detailed system analysis process is depicted in Figure 4. It begins by guessing a pressure distribution and computing the outlet parameters of the compressor and determining the pressure distribution. Then, the expansion ratio of the turbine, inlet temperature of the reactor core, mass flow rate, inlet temperature of the precooler, and pressure loss are all calculated. During computing, if the pressure distribution of the system does not converge, a new guessed pressure distribution will be used for recalculating. If convergence is achieved, the next calculation will proceed. With these iterations, the thermoelectric efficiency, total mass, and specific power will be obtained.

2.3. Validation of the Numerical Model

To validate the correctness of the developed system-component model for the He-Xe Brayton cycle, the thermophysical properties of He-Xe mixtures were modeled based on reference [28] and validated by reference [29,30,31,32,33,34,35]. Subsequently, the developed system-component model results, presented in Table 2 and Table 3, are compared with Prometheus [12]. Prometheus was a NASA program initiated in the early 2000s, designed to explore Jupiter’s moons. Prometheus focused on developing advanced technologies crucial for long-duration space missions, such as improved propulsion systems and life support mechanisms. Since the numerical model for the critical components in the SRC is similar to the IRC, validating the SRC model is sufficient to demonstrate the accuracy of the numerical model. The system performance results obtained using the same design parameters closely match those of study [12], with relative error of below 1%. These findings suggest that the He-Xe closed Brayton cycle model is accurate.

3. Results and Discussion

3.1. System Description

A comprehensive parametric study is conducted to analyze the impact of pressure ratio, core outlet temperature, and molecular weight of the He-Xe gas on the SIMONS’s performance. The primary design and operating parameters are presented in Table 4. The study leverages the similarities between the energy conversion system in Ref. [10] and the SIMONS, adopting isentropic compressor and turbine efficiencies, recuperator effectiveness, and relative pressure loss in the core from Ref. [10]. The turbomachinery head coefficient and shaft speed were obtained from Ref. [36]. The specific mass of turbomachinery and heat exchanger is derived from Ref. [22]. In order to investigate the influence of the molar mass of He-Xe gas on thermoelectric conversion efficiency, this study calculates the efficiency within a range of 15 to 40 g/mol [37].

3.2. Effect of Maximum Operating Temperature and Pressure

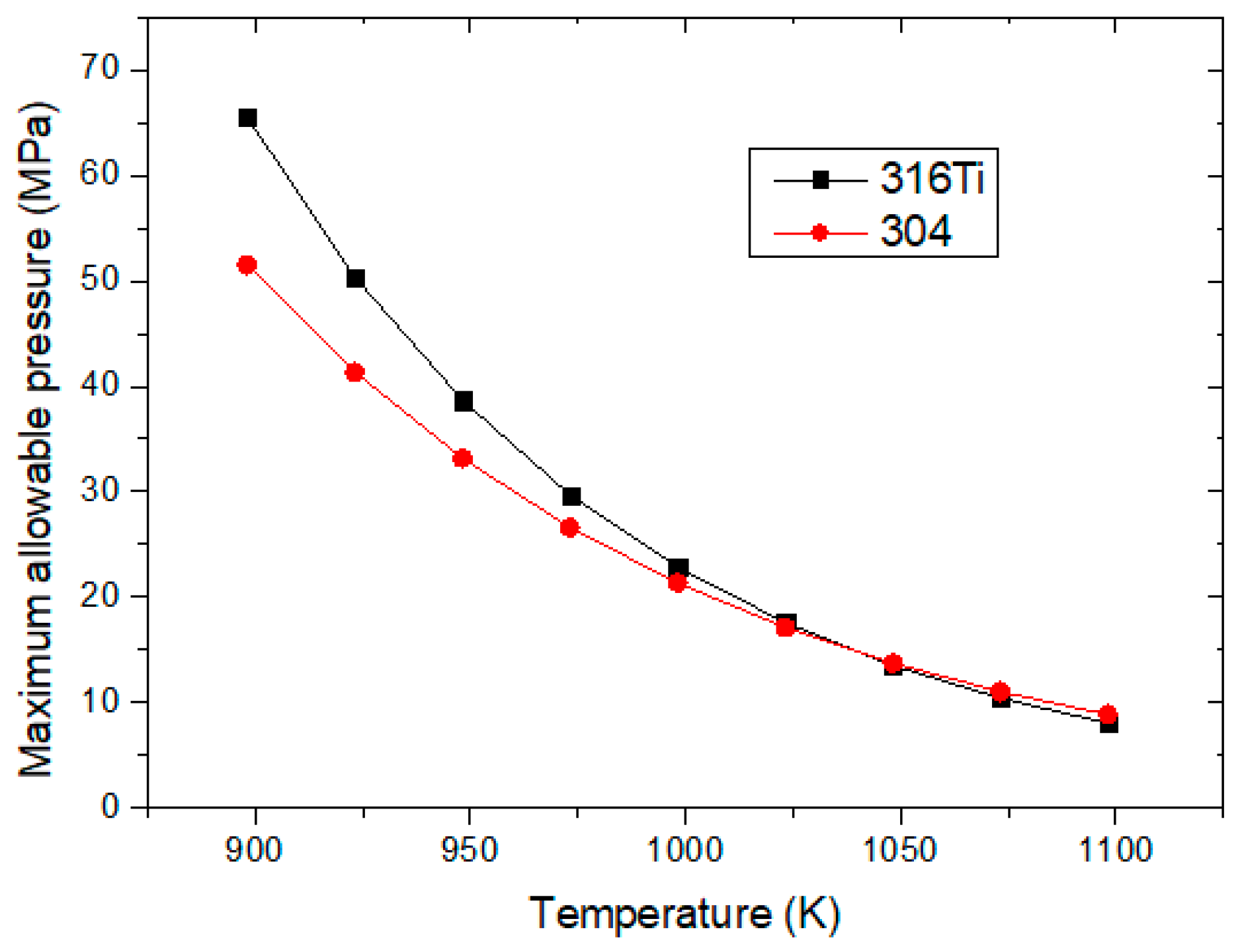
The maximum allowable compressive strength of metal alloys decreases with increasing temperature. According to ASME [17,38], the maximum allowable compressive strengths of 304 and 316Ti alloys change with temperature, as shown in Figure 5. It can be seen from the graph that the maximum compressive strength decreases exponentially as the temperature increases. Since the 304 alloy offers a higher allowable compressive strength at high temperatures, it was selected for estimating the performance of the equipment in this work.
From a safety perspective, the system’s maximum operating pressure is designed to be 70% of the maximum allowable compressive strength [17,38]. The maximum allowable compressive strengths of 316Ti and 304 at different temperatures, after fitting, are shown in Table 5. As shown in the table, it can be observed that using the 304 alloy offers a higher allowable compressive strength at high temperatures. Therefore, the 304 alloy was selected for estimating the performance of the equipment in the following context.
With the helium–xenon mixture molar mass ranging from 15 g/mol to 40 g/mol, and the maximum pressure taken from Table 5 at core outlet temperatures of 1123 K, 1173 K, 1223 K, and 1273 K, the thermal efficiencies of the SRC and the IRC at various compression ratios are shown in Figure 6 and Figure 7. It can be observed that as the temperature increases, the thermal efficiency of the SRC and the IRC also increases. This is easily understood, as higher temperatures lead to a greater amount of work done by the turbine. Additionally, the compression ratio of the compressor has a local maximum value. This can be attributed to the linear increase of the compressor work with the pressure ratio and the initially rapid, then gradual, rise in the turbine work. Lastly, when considering the same temperature and compression ratio conditions, the thermal efficiency is highest when the molar mass of the helium–xenon mixture is 15 g/mol in the SRC and the IRC, displayed in Figure 6 and Figure 7. This observation arises from the fact that compressor work initially experiences a gradual increase with molar mass, followed by a steep ascent, while turbine work demonstrates an initial rapid rise but gradually decreases after reaching its peak value. It is further observed that the thermal efficiency of both the SRC and the IRC reaches its maximum at a core outlet temperature of 1273 K and a maximum pressure of 1.4 MPa. The optimized pressure ratio for the SRC is 2.3, as shown in Figure 6, whereas for the IRC, it is 1.7 for the main compressor and 1.6 for the secondary compressor, as shown in Figure 7.
Figure 8 presents the weight distribution of various system components under varying maximum operating temperatures and pressures with the final optimized molar mass of 40 g/mol and the PR. As the maximum operating temperature increases and the maximum pressure decreases, the weight of the turbine also increases due to the increased temperature difference between the inlet and the outlet and the expansion ratio. However, due to the increased logarithmic mean temperature difference of the recuperator, the decrease in its weight becomes greater with increasing temperature than that of the turbine. Therefore, the total weight slowly decreases as the maximum operating temperature increases.
Figure 9 displays the effect of the maximum temperature and pressure on the specific power of the SRC and the IRC, considering the optimized molar mass of 40 g/mol and the PR, while excluding the ultimate heat sink. It can be observed that the higher the maximum operating temperature, the greater the specific power. Additionally, if the ultimate heat sink is not considered, the IRC has a higher specific power.

3.3. Effect of He-Xe Molar Mass

With the maximum operating temperature and pressure (1273 K and 1.4 MPa), the dependence of the total weight of the SRC and the IRC systems on the molar mass of the He-Xe gas and the compression ratio is shown in Figure 10. Since the specific heat capacity of He-Xe gas decreases with the increasing molar mass, and the turbomachinery weight is directly proportional to the specific heat capacity, it is obvious that the total weight increases with the increase of the molar mass of the He-Xe gas and the PR.
The impact of the He-Xe gas molar mass on the PCHE and the turbomachinery is shown in Figure 11. With the optimum pressure ratio (2.3 for the SRC, 1.7 and 1.6 for the IRC), and maximum operating temperature and pressure (1273 K and 1.4 MPa), there is a minimum heat exchanger weight due to the maximum heat transfer coefficient being around 25 g/mol. Additionally, when the molar mass increases, the specific heat capacity of the He-Xe gas gradually decreases, resulting in a gradual decrease in the turbomachinery weight. The overall system weight decreases with the He-Xe molar mass rapidly, due to the higher proportion of turbomachines.
Figure 12 illustrates the impact of the molar mass of helium–xenon gas on the specific power of both the SRC and the IRC systems under the optimum maximum operating temperature (1273 K) and pressure (1.4 MPa). It can be observed that the specific power increases with the increase of the molar mass of He-Xe gas. This is mainly attributed to the fact that as the molar mass of He-Xe gas increases, the increase in thermal efficiency is smaller than the decrease in the total mass.

3.4. Effect of Minimum Operating Temperature

The outlet temperature of the precooler in the SRC and the outlet temperature of the precooler and the intercooler in the IRC is the minimum operating temperature. Based on the findings from the previous section, the optimized maximum temperature and pressure of the system are determined to be 1273 K and 1.36 MPa, respectively, and the He-Xe molar mass is determined to 40 g/mol. The thermal efficiency, mass, and specific power are then calculated for both the SRC and the IRC under varying minimum temperature conditions.
The impact of different precooler outlet temperatures on the thermal efficiency of the SRC and the IRC are depicted in Figure 13. The results show that as the pressure ratio increases, the thermal efficiency initially rises and then declines. This trend can be attributed to the linear relationship between the compressor work and the pressure ratio, whereas the turbine work exhibits a rapid increase followed by a plateau. Moreover, a decrease in the precooler outlet temperature leads to an enhancement in the thermal efficiency of the system. This phenomenon arises from the decrease in compressor work associated with a lower precooler outlet temperature, while the turbine work remains constant at the highest system temperature.
When the cold side inlet and outlet temperatures of the precooler and intercooler are fixed, as the hot side outlet temperature decreases, the logarithmic temperature difference of the two components decreases, resulting in an increase of the weight of these two components. Figure 14 illustrates the impacts of minimum operating temperatures on the weights of the components with the optimum pressure ratio (2.3 for the SRC, 1.7 and 1.6 for the IRC), the maximum operating temperature and pressure (1273 K and 1.4 MPa), and a molar mass of 40 g/mol.
Figure 15 depicts the impact of varying compressor pressure ratios and precooler outlet temperatures on the specific power. Notably, the optimal pressure ratio for achieving the maximum specific power differs from the optimal pressure ratio for attaining the maximum thermal efficiency. This discrepancy is mainly influenced by the significant increase in weight of the turbomachinery components as the pressure ratio rises. Furthermore, the minimum system temperature of the SRC is determined to be 350 K, which aligns with the point of the maximum specific power.

3.5. Effect of Recuperator Vertical Cross-Section

The previous two sections primarily focused on the system boundary condition, and the next two sections will shift gears to examine the influence of the printed circuit heat exchanger (PCHE) on the system performance. One crucial aspect of designing a printed circuit heat exchanger (PCHE) is determining the number of channels once the vertical cross-section, which runs perpendicularly to the helium–xenon gas flow direction, is established. Hence, this section primarily scrutinizes the influence of the vertical cross-section on the heat exchanger’s performance and system performance.
Figure 16 illustrates the impact of the PCHE vertical cross-section on the thermal efficiency of the SRC and the IRC. The results show that as the vertical cross-section decreases, the number of channels decreases. Therefore, the fixed mass flow at the same pressure ratio results in an increase in system pressure loss. Consequently, there is a decrease in the turbine work, leading to a monotonically decreasing thermal efficiency with the increasing cross-section. For a given cross-section, the net output work of the system initially increases and then decreases, with an increasing pressure ratio. Consequently, the thermal efficiency shows an initial increase followed by a subsequent decrease with an increasing pressure ratio. It is worth noting that the improvement in thermal efficiency becomes negligible as the cross-section reaches 4 m2.
The reduction in the vertical cross-section area of a PCHE results in a decrease in the number of channels. With the same mass flow rate, the velocity increases lead to an increase in the heat transfer coefficient. Therefore, under the same heat transfer power, the heat transfer area of the PCHE is inversely proportional to the vertical cross-section. Obviously, the heat transfer area of the heat exchanger is proportional to its weight. As a result, the weight of the PCHE is directly proportional to its vertical cross-section area. With the optimum pressure ratio (2.3 for the SRC, 1.7 and 1.6 for the IRC), the maximum operating temperature and pressure (1273 K and 1.4 MPa), a molar mass of 40 g/mol, and the minimum operating temperature (350 K), the impacts of the vertical cross-section on the weight of various devices are depicted in Figure 17.
The impact of the cross-section and the pressure ratio on the specific power is depicted in Figure 18. For the same cross-section, the specific power initially increases and then decreases as the pressure ratio increases. At a cross-section of 1.96 m2, the specific work reaches its minimum value at a lower pressure ratio due to significant pressure loss. Consequently, the specific work attains its minimum value. On the other hand, for identical pressure ratios, increasing the cross-section of the heat exchanger decreases the system mass and increases the thermal efficiency, resulting in the maximum specific power.

3.6. Effect of Recuperator Effectiveness

The influence of the recuperator effectiveness and the PR on the thermal efficiency is depicted in Figure 19. It can be observed that a higher recuperator effectiveness indicates a reduced discharge of heat to the surroundings by the precooler, thereby causing an increase in the thermal efficiency when the PR remains constant. On the other hand, when the recuperator effectiveness remains constant, an increase in the PR leads to a linear rise in the compressor work, while the turbine work initially increases and then gradually stabilizes, resulting in the maximum thermal efficiency.
With the optimum pressure ratio (2.3 for the SRC, 1.7 and 1.6 for the IRC), the maximum operating temperature and pressure (1273 K and 1.4 MPa), a molar mass of 40 g/mol, and the minimum operating temperature (350 K), the impacts of the recuperator effectiveness on the weight of the components are displayed in Figure 20. It can be observed that when the recuperator effectiveness reaches 0.95, the weight of the recuperator becomes noticeably higher than the other levels of recuperator effectiveness.
Figure 21 illustrates the impact of the recuperator effectiveness and the PR on the specific power. With the same PR, as the recuperator effectiveness increases, the total weight increases, and the thermal efficiency decreases. Therefore, the maximum specific power remains nearly the same at effectiveness values of 0.8 and 0.85.

3.7. Optimized Parameters

According to the previous analysis, it can be found that it is impossible to achieve both the maximum specific power and the maximum thermal efficiency with the same set of parameters. Therefore, to enhance the SIMONS’s efficiency and mobility, the optimization is focused on the specific power first and then the thermal efficiency. The detailed process is shown in Figure 22. The maximum temperature and pressure are optimized first because the maximum operating temperature and pressure are constrained by the alloy material’s maximum allowable compressive strength at high temperatures, which is independent of the other parameters of the system and the components. Then, the optimized molar mass of the He-Xe gas and the minimum operating temperature are determined, based on the maximum specific power. Once the system boundary parameters are determined, the heat exchangers should be optimized next. The number of channels of the PCHE is determined by the cross-sectional area perpendicular to the flow direction, which, in turn, determines the heat transfer area and the pressure loss of the PCHE. At the same time, the parameters within the range of 10% of the maximum specific power are recorded. Finally, the PR and the other parameters are reiterated to achieve the maximum thermal efficiency. Based on the optimized parameters of the Brayton cycle system, the parameters of the ultimate heat sink are provided.
Based on the analysis in the previous section, the optimized parameters of the SIMIONS under the SRC and the IRC can be obtained, as shown in Table 6.
For nuclear-based emergency power vehicle systems in truck transportation and rapid-deployment applications, a compact size and a light weight are prioritized over grounded plant design specifications. Using the inlet and outlet temperatures and the pressures of the precooler in the SRC, as well as the parameters for the precooler and intermediate cooler in the IRC, an air-cooled, finned tube heat exchanger has been designed. The specific parameters can be found in Table 7. Since both the precooler and intercooler need to dissipate heat to the ambient environment, there are two ultimate heat sinks in the IRC. When considering the addition of an ultimate heat sink, it can be observed from the table that the total mass of the SRC is 40.33 tons, with a specific power of 194.38 kW/kg. On the other hand, the total mass of the IRC is 55.85 tons, with a specific power of 181.92 kW/kg. Based on the principle of maximum specific power, the final selection is the SRC. Based on regulations for truck load capacity in China [39], the system layout on a five-axis, heavy-duty truck is illustrated in Figure 23.

4. Conclusions

This work presents a system–component combined design method of a closed Brayton system, based on a nuclear-based emergency power vehicle. By incorporating the required component’s parameters, the thermodynamic performances have been optimized by considering the system boundary parameters, which include the maximum operating temperature and pressure, the minimum operating temperature, the molar mass of helium–xenon gas, and the parameters of the PCHE, to achieve the maximum specific power and thermal efficiency. The main conclusions are summed up as follows:
(1)
Since the maximum compressive strength of the alloy decreases with the increase in temperature, the maximum pressure decreases from 4.98 MPa to 1.36 MPa as the maximum temperature increases from 1123 K to 1273 K, while the optimized specific power of the SRC increases from 230 kW/kg to 266 kW/kg, and the specific power of the IRC increases from 240 kW/kg to 275 kW/kg, without considering the ultimate heat sink.
(2)
As the molar mass of the helium–xenon gas increases from 15 g/mol to 40 g/mol, the weight of the PCHE reaches its lowest value at around 25 g/mol and then gradually increases, while the weight of the turbomachines gradually decreases. However, the overall system weight decreases rapidly due to the higher proportion of turbomachines.
(3)
The thermal efficiency gradually decreases as the minimum operating temperature decreases; however, the weight of the precooler increases as the minimum operating temperature decreases, resulting in the optimized minimum operating temperature of 350 K.
(4)
The thermal efficiency increases with the increase in the number of PCHE channels. However, after reaching a cross-section of 4 m2, the increase in thermal efficiency of the system is not significant. In addition, the recuperator effectiveness has a significant impact on the system performance.
(5)
Based on the newly developed, muti-objective optimization method, the specific power and the thermal efficiency of the SRC are 194.38 kW/kg and 39.19%, and the specific power and the thermal efficiency of the IRC are 181.92 kW/kg and 42.76%. From the standpoint of mobility and the rapid deployment of the SIMONS, the SRC is preferred.

Author Contributions

Methodology, G.J.; validation, G.Z.; formal analysis, G.J.; investigation, Y.M.; resources, G.Z.; writing—original draft preparation, G.J.; writing—review and editing, J.C.; funding acquisition, J.C.; project administration Y.Z.; supervision Y.Z. All authors have read and agreed to the published version of the manuscript.

Funding

Wuwei Science and technology projects (No. WW2201YFG004). National Key R&D Program of China (2020YFB1901900).

Data Availability Statement

The data presented in this study are available on request from the corresponding author.

Conflicts of Interest

The authors declare that they have no known competing financial interests or personal relationships that could have appeared to influence the work reported in this paper.

Nomenclature

Abbreviations
SRCsimple recuperated cycle
IRCintercooled recuperated cycle
SIMONSSmall Innovative MObile Nuclear power System
PCHEprinted circuit heat exchanger
PRpressure ratio
Symbols
Ttemperature
Ppressure
πpressure ratio
W work
Gmass flowrate
Cpspecific heat capacity
ζrelative pressure loss
ηefficiency
ρdensity
αrecuperator effectiveness
ξspecific mass
τCore thermal efficiency
hconvective heat transfer coefficient
dTube diameter in finned tube heat exchangers
NuNusselt number
AHeat exchange area
ReReynolds number
PrPrandtl number
Subscripts
ththermal
eleelectricity
spspecific power
Mmechanical
RPrecuperator
oouter diameter
iinner diameter
Tturbine
Ggenerator
Ccompressor

References

  1. Macangus-Gerrard, G. Emergency generators. In Offshore Electrical Engineering Manual; Gulf Professional Publishing: Houston, TX, USA, 2018; pp. 43–45. [Google Scholar] [CrossRef]
  2. Wallenius, J. Micro-Reactors. In Encyclopedia of Nuclear Energy; Elsevier: Amsterdam, The Netherlands, 2021; pp. 749–756. [Google Scholar] [CrossRef]
  3. Testoni, R.; Bersano, A.; Segantin, S. Review of nuclear microreactors: Status, potentialities and challenges. Prog. Nucl. Energy 2021, 138, 103822. [Google Scholar] [CrossRef]
  4. De Zwaan, S.J.; Kloosterman, J.L.; Linssen, R.J.; van der Hagen, T.; Uitert, G.C. Conceptual design of a natural circulation cooled nuclear battery for process heat applications. In Proceedings of the International Conference on Non-Electric Applications of Nuclear Power, Oarai, Japan, 16–19 April 2007; NEA: Menlo Park, CA, USA, 2007; pp. 1–8. [Google Scholar]
  5. Wallenius, J.; Qvist, S.; Mickus, I.; Bortot, S.; Szakalos, P.; Ejenstam, J. Design of SEALER, a very small lead-cooled reactor for commercial power production in off-grid applications. Nucl. Eng. Des. 2018, 338, 23–33. [Google Scholar] [CrossRef]
  6. Ruščák, M.; Melichar, T.; Syblík, J.; Frýbort, O.; Harut, D.; Losa, E.; Mareček, M.; Mazzini, G.; Reungoat, M.; Pilát, J.; et al. Energy Well: Concept of 20 MW Microreactor Cooled by Molten Salts. J. Nucl. Eng. Radiat. Sci. 2021, 7, 021302. [Google Scholar] [CrossRef]
  7. Westinghouse. eVinciTM Micro Reactor. 2019. Available online: https://westinghousenuclear.com/energy-systems/evinci-microreactor (accessed on 26 December 2024).
  8. Firoozabadi, M.M.; Arhami, S.; Golamzadeh, Z.; Zangian, M. The feasibility study of the Sub-criticalization of the Holos small modular reactor driven by an electron accelerator. Ann. Nucl. Energy 2022, 179, 109421. [Google Scholar] [CrossRef]
  9. Kim, S.G.; Yu, H.; Moon, J.; Baik, S.; Kim, Y.; Jeong, Y.H.; Lee, J.I. A concept design of supercritical CO2 cooled SMR operating at isolated microgrid region. Int. J. Energy Res. 2017, 41, 512–525. [Google Scholar] [CrossRef]
  10. El-Genk, M.S.; Tournier, J.-M. Noble-Gas Binary Mixtures for Closed-Brayton-Cycle Space Reactor Power Systems. J. Propuls. Power 2007, 23, 863–873. [Google Scholar] [CrossRef]
  11. Ribeiro, G.B.; Filho, F.A.B.; Guimarães, L.N.F. Thermodynamic analysis and optimization of a Closed Regenerative Brayton Cycle for nuclear space power systems. Appl. Therm. Eng. 2015, 90, 250–257. [Google Scholar] [CrossRef]
  12. Levine, B. Space Nuclear Power Plant Pre-Conceptual Design Report, For Information; Knolls Atomic Power Laboratory (KAPL): Niskayuna, NY, USA, 2006. [Google Scholar] [CrossRef]
  13. Gad-Briggs, A.; Pilidis, P. Analyses of Simple and Intercooled Recuperated Direct Brayton Helium Gas Turbine Cycles for Generation IV Reactor Power Plants. J. Nucl. Eng. Radiat. Sci. 2016, 3, 011017. [Google Scholar] [CrossRef]
  14. Gad-Briggs, A.; Pilidis, P.; Nikolaidis, T. Analyses of the Control System Strategies and Methodology for Part Power Control of the Simple and Intercooled Recuperated Brayton Helium Gas Turbine Cycles for Generation IV Nuclear Power Plants. J. Nucl. Eng. Radiat. Sci. 2017, 3, 041016. [Google Scholar] [CrossRef]
  15. Ehsan, M.M.; Duniam, S.; Li, J.; Guan, Z.; Gurgenci, H.; Klimenko, A. A comprehensive thermal assessment of dry cooled supercritical CO2 power cycles. Appl. Therm. Eng. 2020, 166, 114645. [Google Scholar] [CrossRef]
  16. Liu, Y.; Wang, Y.; Huang, D. Supercritical CO2 Brayton cycle: A state-of-the-art review. Energy 2019, 189, 115900. [Google Scholar] [CrossRef]
  17. ASM Handbook Committee. Elevated-Temperature Properties of Stainless Steels, Properties and Selection: Irons, Steels, and High-Performance Alloys; ASM International: Almere, The Netherlands, 1990. [Google Scholar]
  18. Cheng, K.; Wang, Y.; Xu, J.; Qin, J.; Jing, W. A novel liquid metal MHD enhanced Closed-Brayton-Cycle power generation system for hypersonic vehicles: Thermodynamic analysis and performance evaluation with finite cold source. Energy Convers. Manag. 2022, 268, 116068. [Google Scholar] [CrossRef]
  19. Guan, C.; Chai, X.; Zhang, T.; Liu, X. Preliminary lightweight core design analysis of a micro-transportable gas-cooled thermal reactor. Int. J. Energy Res. 2022, 46, 17416–17428. [Google Scholar] [CrossRef]
  20. Ma, Y.; Xie, G.; Hooman, K. Review of printed circuit heat exchangers and its applications in solar thermal energy. Sustain. Energy Rev. 2022, 155, 111933. [Google Scholar] [CrossRef]
  21. Mahmoudinezhad, S.; Sadi, M.; Ghiasirad, H.; Arabkoohsar, A. A comprehensive review on the current technologies and recent developments in high-temperature heat exchangers. Renew. Sustain. Energy Rev. 2023, 183, 113467. [Google Scholar] [CrossRef]
  22. Wu, Y.T.; Ren, J.X.; Guo, Z.Y.; Liang, X.G. Optimal analysis of a space solar dynamic power system. Sol. Energy 2003, 74, 205–215. [Google Scholar] [CrossRef]
  23. Chen, M.; Sun, X.; Christensen, R.N.; Shi, S.; Skavdahl, I.; Utgikar, V.; Sabharwall, P. Experimental and numerical study of a printed circuit heat exchanger. Ann. Nucl. Energy 2016, 97, 221–231. [Google Scholar] [CrossRef]
  24. Nitsche, M.; Gbadamosi, R.O. Chapter 6–Overall Heat Transfer Coefficient and Temperature Profile. In Heat Exchanger Design Guide; Nitsche, M., Gbadamosi, R.O., Eds.; Butterworth-Heinemann: Boston, MA, USA, 2016; pp. 79–90. [Google Scholar] [CrossRef]
  25. Bhuiyan, A.A.; Islam, A.K.M.S. Thermal and hydraulic performance of finned-tube heat exchangers under different flow ranges: A review on modeling and experiment. Int. J. Heat Mass Transf. 2016, 101, 38–59. [Google Scholar] [CrossRef]
  26. Shi, M.; Wang, Z. Principle and Design of Heat Exchangers; Southeast University: Nanjing, China, 2018. [Google Scholar]
  27. Chen, M.; Sun, X.; Christensen, R.N.; Skavdahl, I.; Utgikar, V.; Sabharwall, P. Pressure drop and heat transfer characteristics of a high-temperature printed circuit heat exchanger. Appl. Therm. Eng. 2016, 108, 1409–1417. [Google Scholar] [CrossRef]
  28. Tournier, J.M.P.; El-Genk, M.S. Properties of noble gases and binary mixtures for closed Brayton Cycle applications. Energy Convers. Manag. 2008, 49, 469–492. [Google Scholar] [CrossRef]
  29. Lemmon, E.; Huber, M.; McLinden, M. NIST Reference Fluid Thermodynamic and Transport Properties Database (REFPROP): Version 10; Natl Std. Ref. Data Series (NIST NSRDS); National Institute of Standards and Technology: Gaithersburg, MD, USA, 2013. Available online: https://www.nist.gov/srd/refprop (accessed on 26 December 2024).
  30. Hashimoto, K.; Matsunaga, N.; Nagashima, A.; Mito, K. Determination of the thermal conductivity of xenon-helium mixtures at high temperatures by the shock-tube method. Int. J. Thermophys. 1992, 13, 211–221. [Google Scholar] [CrossRef]
  31. van de Walle, A.; Nataraj, C.; Liu, Z.K. The Thermodynamic Database Database. Calphad 2018, 61, 173–178. [Google Scholar] [CrossRef]
  32. Thornton, E. Viscosity and Thermal Conductivity of Binary Gas Mixtures: Xenon-Krypton, Xenon-Argon, Xenon-Neon and Xenon-Helium. Proc. Phys. Soc. 1960, 76, 104–112. [Google Scholar] [CrossRef]
  33. Mason, E.A.; Von Ubisch, H. Thermal Conductivities of Rare Gas Mixtures. Phys. Fluids 1960, 3, 355–361. [Google Scholar] [CrossRef]
  34. Gandhi, J.M.; Saxena, S.C. Correlated thermal conductivity data of rare gases and their binary mixts. at ordinary pressures. J. Chem. Eng. Data 1968, 13, 357–361. [Google Scholar] [CrossRef]
  35. Maštovský, J. High-temperature conduction of helium-xenon mixtures. J. Eng. Phys. Thermophys. 1977, 33, 1170–1175. [Google Scholar] [CrossRef]
  36. Tournier, J.M.; El-Genk, M.S. Axial flow, multi-stage turbine and compressor models. Energy Convers. Manag. 2010, 51, 16–29. [Google Scholar] [CrossRef]
  37. Li, Z. Research on the Dynamic Energy Conversion System for Space Nuclear Reactor. Ph.D. Thesis, Tsinghua University, Beijing, China, 2017. [Google Scholar]
  38. Viljoen, N. Modeling and Analysis of Stress in High Temperature Molten Salt Trough Receivers. Energy Procedia 2014, 49, 551–559. [Google Scholar] [CrossRef][Green Version]
  39. GB 1589-2016; Limits of Dimensions, Axle Load and Masses for Motor Vehicles, Trailers and Combination Vehicles. Ministry of Industry and Information Technology: Beijing, China, 2016.
Figure 1. Schematic of the simple recuperated cycle (a); P-v diagram of the simple recuperated cycle (b).
Figure 1. Schematic of the simple recuperated cycle (a); P-v diagram of the simple recuperated cycle (b).
Energies 18 00113 g001
Figure 2. Schematic of the intercooled recuperated cycle (a); P-v diagram of the intercooled recuperated cycle (b).
Figure 2. Schematic of the intercooled recuperated cycle (a); P-v diagram of the intercooled recuperated cycle (b).
Energies 18 00113 g002
Figure 3. Radial and axial layouts of the reactor core.
Figure 3. Radial and axial layouts of the reactor core.
Energies 18 00113 g003
Figure 4. Schematic diagram of system analysis.
Figure 4. Schematic diagram of system analysis.
Energies 18 00113 g004
Figure 5. Maximum allowable compressive strengths of 304 and 316Ti alloys change with temperature.
Figure 5. Maximum allowable compressive strengths of 304 and 316Ti alloys change with temperature.
Energies 18 00113 g005
Figure 6. Variation of thermal efficiency with pressure ratio in SRC for various maximum operating temperatures, (a) 1123 K, (b) 1173 K, (c) 1223 K, and (d) 1273 K, and He-Xe molar masses.
Figure 6. Variation of thermal efficiency with pressure ratio in SRC for various maximum operating temperatures, (a) 1123 K, (b) 1173 K, (c) 1223 K, and (d) 1273 K, and He-Xe molar masses.
Energies 18 00113 g006
Figure 7. Variation of thermal efficiency with pressure ratio in IRC for various maximum operating temperatures, (a) 1123 K, (b) 1173 K, (c) 1223 K, and (d) 1273 K, and He-Xe molar masses.
Figure 7. Variation of thermal efficiency with pressure ratio in IRC for various maximum operating temperatures, (a) 1123 K, (b) 1173 K, (c) 1223 K, and (d) 1273 K, and He-Xe molar masses.
Energies 18 00113 g007
Figure 8. Variation in component weight with maximum operating temperature and pressure in simple recuperative cycle (a) and intercooled recuperative cycle (b).
Figure 8. Variation in component weight with maximum operating temperature and pressure in simple recuperative cycle (a) and intercooled recuperative cycle (b).
Energies 18 00113 g008
Figure 9. Influence of maximum operating temperature and pressure on specific power for simple recuperative cycle and intercooled recuperative cycle.
Figure 9. Influence of maximum operating temperature and pressure on specific power for simple recuperative cycle and intercooled recuperative cycle.
Energies 18 00113 g009
Figure 10. Variation of total weight with pressure ratio in SRC (a) and IRC (b) for variable He-Xe molar mass.
Figure 10. Variation of total weight with pressure ratio in SRC (a) and IRC (b) for variable He-Xe molar mass.
Energies 18 00113 g010
Figure 11. Variation in component weight with molar mass of He-Xe mixture in simple recuperative cycle (a) and intercooled recuperative cycle (b).
Figure 11. Variation in component weight with molar mass of He-Xe mixture in simple recuperative cycle (a) and intercooled recuperative cycle (b).
Energies 18 00113 g011
Figure 12. Variation of specific power with pressure ratio in SRC (a) and IRC (b) for variable He-Xe molar mass.
Figure 12. Variation of specific power with pressure ratio in SRC (a) and IRC (b) for variable He-Xe molar mass.
Energies 18 00113 g012
Figure 13. Variation of thermal efficiency with pressure ratio in SRC (a) and IRC (b) for various minimum operating temperatures.
Figure 13. Variation of thermal efficiency with pressure ratio in SRC (a) and IRC (b) for various minimum operating temperatures.
Energies 18 00113 g013
Figure 14. Variation in component weight with minimum operating temperature in simple recuperative cycle (a) and intercooled recuperative cycle (b).
Figure 14. Variation in component weight with minimum operating temperature in simple recuperative cycle (a) and intercooled recuperative cycle (b).
Energies 18 00113 g014
Figure 15. Variation of specific power with pressure ratio in SRC (a) and IRC (b) for various minimum operating temperatures.
Figure 15. Variation of specific power with pressure ratio in SRC (a) and IRC (b) for various minimum operating temperatures.
Energies 18 00113 g015
Figure 16. Variation of thermal efficiency with pressure ratio in SRC (a) and IRC (b) for various vertical sections of PCHE.
Figure 16. Variation of thermal efficiency with pressure ratio in SRC (a) and IRC (b) for various vertical sections of PCHE.
Energies 18 00113 g016
Figure 17. Variation in equipment weight with vertical cross-section of PCHE in simple recuperative cycle (a) and intercooled recuperative cycle (b).
Figure 17. Variation in equipment weight with vertical cross-section of PCHE in simple recuperative cycle (a) and intercooled recuperative cycle (b).
Energies 18 00113 g017
Figure 18. Variation of specific power with pressure ratio in SRC (a) and IRC (b) for various vertical sections.
Figure 18. Variation of specific power with pressure ratio in SRC (a) and IRC (b) for various vertical sections.
Energies 18 00113 g018
Figure 19. Variation of mass flowrate with pressure ratio in SRC (a) and IRC (b) for various levels of effectiveness of recuperator.
Figure 19. Variation of mass flowrate with pressure ratio in SRC (a) and IRC (b) for various levels of effectiveness of recuperator.
Energies 18 00113 g019
Figure 20. Variation in equipment weight with recuperator effectiveness in simple recuperative cycle (a) and intercooled recuperative cycle (b).
Figure 20. Variation in equipment weight with recuperator effectiveness in simple recuperative cycle (a) and intercooled recuperative cycle (b).
Energies 18 00113 g020
Figure 21. Variation of specific power with pressure ratio in SRC (a) and IRC (b) for various levels of effectiveness of recuperator.
Figure 21. Variation of specific power with pressure ratio in SRC (a) and IRC (b) for various levels of effectiveness of recuperator.
Energies 18 00113 g021
Figure 22. Optimization process diagram.
Figure 22. Optimization process diagram.
Energies 18 00113 g022
Figure 23. Layout of SIMONS in a five-axle heavy truck.
Figure 23. Layout of SIMONS in a five-axle heavy truck.
Energies 18 00113 g023
Table 1. Key parameters of the reactors.
Table 1. Key parameters of the reactors.
ItemUnitValue
Thermal power, MWMW20
Core height, mm1.7
Core diameter, mm1.24
Total reactor core weightmetric ton5.9
Weight enrichment of 235U%19.75
Table 2. Temperature validation results.
Table 2. Temperature validation results.
ParameterCalculatedReference [12]Relative Error (%)
Compressor outlet (K)541.270537.00.795
Cold side inlet of recuperator (K)541.270537.00.795
Cold side outlet of recuperator (K)894.227896.00.198
Core inlet (K)894.227896.00.198
Turbine outlet (K)924.918927.00.225
Hot side inlet of recuperator (K)924.918927.00.225
Hot side outlet of recuperator (K)571.962568.00.698
Table 3. System performance validation results.
Table 3. System performance validation results.
ParameterCalculatedReference [12]Relative Error (%)
Net power output (kW)198.33196.60.88
Heat exchange power of the recuperator (kW)1055.8510741.69
Heat exchange power of the precooler (kW)0.560.5590.30
Table 4. Main equipment performance parameters and state points parameters.
Table 4. Main equipment performance parameters and state points parameters.
ItemUnitValue
Core thermal power MW20
Minimum operating temperature K335–380
Maximum operating temperature K1123–1273
Maximum operating pressure MPa1.36–4.98
He-Xe molar massg/mol15–40
Effectiveness of recuperator -0.7–0.9
Core thermal efficiency -0.99
Compressor efficiency -0.903
Turbine efficiency -0.924
Shaft efficiency -0.99
Generator efficiency -0.98
Head coefficient of compressor-0.31
Head coefficient of turbine-1.407
Shaft speed rpm8000
Core pressure loss coefficient 0.946
Channel diameter of the PCHEmm3
Specific   mass   of   compressor   and   turbine ,   ξ E C kg/m25360
Specific   mass   of   recuperator   and   precooler ,   ξ R P kg/m21.8
Table 5. Maximum allowable compressive strengths of 304 and 316Ti alloys at high temperatures.
Table 5. Maximum allowable compressive strengths of 304 and 316Ti alloys at high temperatures.
Temperature (K)316Ti (MPa)304 (MPa)
11234.344.98
11732.603.22
12231.572.09
12481.231.68
12730.961.36
Table 6. Optimized parameters and performance for SIMIONS.
Table 6. Optimized parameters and performance for SIMIONS.
ParametersSRCIRC
Maximum operating pressure (MPa)1.41.4
Maximum operating temperature (K)12731273
Minimum operating temperature (K)350350
Pressure ratio2.31.7/1.6
Effectiveness of recuperator0.850.85
Recuperator vertical cross-section (m2)44
Thermal efficiency (%)39.1942.76
Total weight excludes ultimate heat sink, ton28.8139.98
Specific power excludes ultimate heat sink, kW/kg272.09274.62
Total weight, ton40.3355.85
Specific power, kW/kg194.38181.92
Table 7. Parameters and performance of air-cooled, finned tube heat exchanger.
Table 7. Parameters and performance of air-cooled, finned tube heat exchanger.
ParameterHeat Sink for SRC PrecoolerHeat Sink for IRC PrecoolerHeat Sink for IRC Intercooler
Tube outer diameter, mm13.7213.7213.72
Tube inner diameter, mm10.4210.4210.42
Tube bundle length, m10.006.57
Tube bundle width, mm229022902290
Number of tube rows999
Transverse pitch, mm36.5036.50036.500
Longitudinal pitch, mm31.6131.6131.61
Fin height, mm6.006.006.00
Air side temperature, °C25/136.2925/109.9225/101.22
Water side temperature, °C217/57167/57147/57
Air side pressure drop, Pa528.84546.85574.79
Heat transfer coefficient, W/m2∙K94.7296.5597.46
Mass, ton11.9810.5211.17
Disclaimer/Publisher’s Note: The statements, opinions and data contained in all publications are solely those of the individual author(s) and contributor(s) and not of MDPI and/or the editor(s). MDPI and/or the editor(s) disclaim responsibility for any injury to people or property resulting from any ideas, methods, instructions or products referred to in the content.

Share and Cite

MDPI and ACS Style

Jia, G.; Zhu, G.; Ma, Y.; Chen, J.; Zou, Y. Thermodynamic Analysis and Optimization of Mobile Nuclear System. Energies 2025, 18, 113. https://doi.org/10.3390/en18010113

AMA Style

Jia G, Zhu G, Ma Y, Chen J, Zou Y. Thermodynamic Analysis and Optimization of Mobile Nuclear System. Energies. 2025; 18(1):113. https://doi.org/10.3390/en18010113

Chicago/Turabian Style

Jia, Guobin, Guifeng Zhu, Yuwen Ma, Jingen Chen, and Yang Zou. 2025. "Thermodynamic Analysis and Optimization of Mobile Nuclear System" Energies 18, no. 1: 113. https://doi.org/10.3390/en18010113

APA Style

Jia, G., Zhu, G., Ma, Y., Chen, J., & Zou, Y. (2025). Thermodynamic Analysis and Optimization of Mobile Nuclear System. Energies, 18(1), 113. https://doi.org/10.3390/en18010113

Note that from the first issue of 2016, this journal uses article numbers instead of page numbers. See further details here.

Article Metrics

Back to TopTop