Indoor Parameters of Museum Buildings for Guaranteeing Artworks Preservation and People’s Comfort: Compatibilities, Constraints, and Suggestions
Abstract
1. Introduction
2. Indoor Parameters of Museums Required for Artworks Preservation
2.1. Thermo-Hygrometric Parameters
2.2. Lighting Parameters
- Irresponsive: object unsensible to light (e.g., the majority of metals, stones, glasses, ceramics, enamels, minerals);
- Low responsivity: an object with a light sensibility to light (e.g., the majority of oil and tempera paintings, frescoes, unpainted leathers and woods, horn ivory, bones, lacquers, and plastics);
- Medium responsivity: an object with a moderate sensibility to light (e.g., the majority of fabrics, pastels, watercolors, manuscripts, prints, drawings, miniatures, paintings in distemper media, wallpapers, natural history objects);
- High responsivity: an object with a high sensibility to light (e.g., silk, newspaper, fugitive dyes, most graphical arts, photographic documents).
2.3. Indoor Air Quality Parameters
3. Indoor Requisites of Museums for People’s Comfort and Health Safety
3.1. Thermal Comfort Parameters
3.2. Visual Comfort Parameters
3.3. Indoor Air Quality Parameters
4. Results and Discussion: Simultaneously Fulfilling Requisites for Artwork Conservation and People’s Comfort and Safety
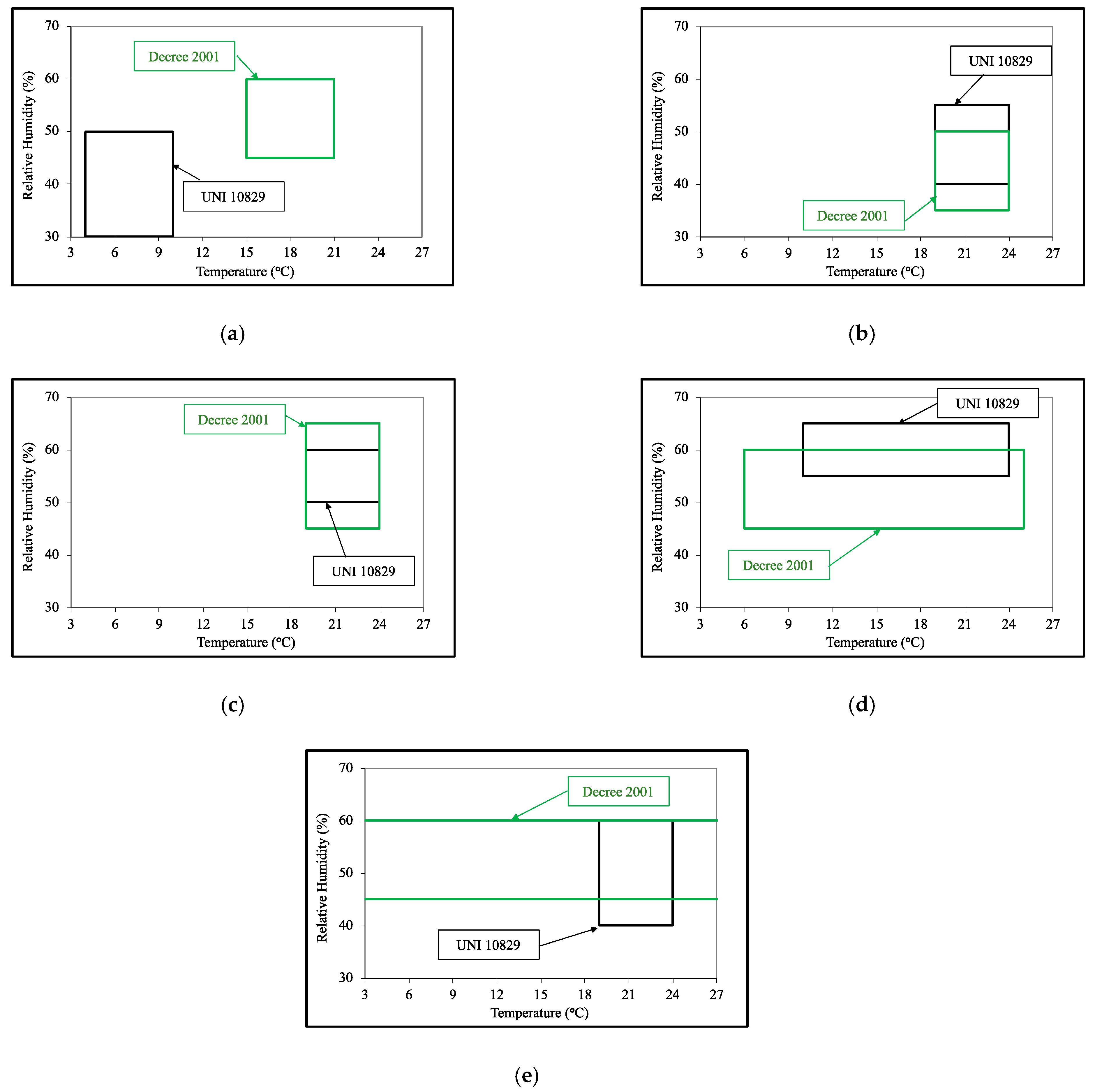
4.1. Thermo-Hygrometric Characteristics
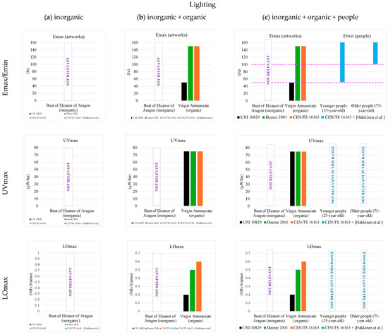
4.2. Lighting and Visual Comfort
4.3. Indoor Air Quality
4.4. A Real Case Example: The Sicilian Regional Museum
5. Conclusions and Future Perspectives
- Improvements/retrofit of the building envelope for correct maintenance of indoor environmental conditions;
- Proper choices/modifications and control of air conditioning (HVAC) systems to avoid unwanted disruptions to the displayed artworks and overall visual experience while, concurrently, ensuring optimal environment conditions both in terms of thermo-hygrometric characteristics and indoor air quality (aggressiveness/dangerousness);
- Suitable selection/change/positioning and checking of lighting equipment to ensure an accurate visual perception and, simultaneously, avoid damage to the artifacts;
- Adequate handling of people’s presence, such as access management and behavior suggestions for both workers and visitors, along with a rethinking of current filtration techniques, to minimize the risks associated with both damage to collections and contagion among people (particularly in environments with high crowding indices);
- A possible implementation of a single comprehensive indicator of museum environmental performance instead of a mere checking of the reference values (e.g., by making use of some of the already existent and fragmented indices).
Author Contributions
Funding
Data Availability Statement
Conflicts of Interest
References
- Schito, E.; Conti, P.; Testi, D. Multi-objective optimization of microclimate in museums for concurrent reduction of energy needs, visitors’ discomfort and artwork preservation risks. Appl. Energy 2018, 224, 147–159. [Google Scholar] [CrossRef]
- Martinez-Molina, A.; Boarin, P.; Tort-Ausina, I.; Vivancos, J.-L. Assessing visitors’ thermal comfort in historic museum buildings: Results from a Post-Occupancy Evaluation on a case study. Build. Environ. 2018, 132, 291–302. [Google Scholar] [CrossRef]
- Zhou, L.; Shen, H.; Wu, M.-Y.; Wall, G.; Shen, X. Benefits of visiting heritage museums: Chinese parents’ perspectives. Int. J. Herit. Stud. 2019, 25, 565–581. [Google Scholar] [CrossRef]
- Foley, M.; McPherson, G. Museums as Leisure. Int. J. Herit. Stud. 2000, 6, 161–174. [Google Scholar] [CrossRef]
- The UN Sustainable Development Goals. Available online: www.un.org/sustainabledevelopment/sustainable-development-goals/ (accessed on 24 February 2024).
- Capitano, C.; Cirrincione, L.; Peri, G.; Rizzo, G.; Scaccianoce, G. A simplified method for the indirect evaluation of the “embodied pollution” of natural stones (marble) working chain to be applied for achieving the Ecolabel brand of the product. J. Clean. Prod. 2022, 362, 132576. [Google Scholar] [CrossRef]
- Cirrincione, L.; la Gennusa, M.; Peri, G.; Scaccianoce, G.; Alfano, A. Energy Performance and Indoor Comfort of a 1930s Italian School Building: A case study. In Proceedings of the 2021 IEEE International Conference on Environment and Electrical Engineering and 2021 IEEE Industrial and Commercial Power Systems Europe (EEEIC/I&CPS Europe), Bari, Italy, 7–10 September 2021. [Google Scholar] [CrossRef]
- Cristino, T.M.; Neto, A.F.; Wurtz, F.; Delinchant, B. The Evolution of Knowledge and Trends within the Building Energy Efficiency Field of Knowledge. Energies 2022, 15, 691. [Google Scholar] [CrossRef]
- La Gennusa, M.; Rizzo, G.; Rodono, G.; Scaccianoce, G.; Pietrafesa, M. People comfort and artwork saving in museums: Comparing indoor requisites. Int. J. Sustain. Des. 2009, 1, 199. [Google Scholar] [CrossRef]
- La Gennusa, M.; Lascari, G.; Rizzo, G.; Scaccianoce, G. Conflicting needs of the thermal indoor environment of museums: In search of a practical compromise. J. Cult. Herit. 2008, 9, 125–134. [Google Scholar] [CrossRef]
- Pavlogeorgatos, G. Environmental parameters in museums buildings. Build. Environ. 2003, 38, 1457–1462. [Google Scholar] [CrossRef]
- Cirrincione, L.; Nucara, A.; Peri, G.; Rizzo, G.; Scaccianoce, G. Two operative risk indicators as tools for negotiating contracts between curators of Museums and HVAC technical services providers. J. Cult. Herit. 2020, 41, 200–210. [Google Scholar] [CrossRef]
- La Gennusa, M.; Macaluso, R.; Mosca, M.; Scaccianoce, G.; Massaro, F.; Cirrincione, L. An experimental study on relationship between LED lamp characteristics and non image-forming. In Proceedings of the 2017 IEEE International Conference on Environment and Electrical Engineering and 2017 IEEE Industrial and Commercial Power Systems Europe (EEEIC/I&CPS Europe), Milan, Italy, 6–9 June 2017; pp. 1–6. [Google Scholar]
- Kramer, R.; van Schijndel, J.; Schellen, H. Dynamic setpoint control for museum indoor climate conditioning integrating collection and comfort requirements: Development and energy impact for Europe. Build. Environ. 2017, 118, 14–31. [Google Scholar] [CrossRef]
- Benchekroun, M.; Chergui, S.; Ruggiero, F.; Di Turi, S. Indoor Microclimate Conditions and the Impact of Transformations on Hygrothermal Comfort in the Old Ottoman Houses in Algiers. Int. J. Arch. Herit. 2019, 14, 1296–1319. [Google Scholar] [CrossRef]
- Aste, N.; Adhikari, R.S.; Buzzetti, M.; Della Torre, S.; Del Pero, C.; Leonforte, F. Microclimatic monitoring of the Duomo (Milan cathedral): Risks-based analysis for the conservation of its cultural heritage. Build. Environ. 2018, 148, 240–257. [Google Scholar] [CrossRef]
- Lanteri, L.; Pelosi, C.; Monaco, A.L. The relevance of monitoring the microclime in museums the case of colle del Duomo in Viterbo. Eur. J. Sci. Theol. 2020, 16, 181–191. [Google Scholar]
- Schito, E.; Testi, D. Integrated maps of risk assessment and minimization of multiple risks for artworks in museum environments based on microclimate control. Build. Environ. 2017, 123, 585–600. [Google Scholar] [CrossRef]
- Corgnati, S.P.; Filippi, M. Assessment of thermo-hygrometric quality in museums: Method and in-field application to the “Duccio di Buoninsegna” exhibition at Santa Maria della Scala (Siena, Italy). J. Cult. Herit. 2010, 11, 345–349. [Google Scholar] [CrossRef]
- Litti, G.; Audenaert, A.; Fabbri, K. Indoor Microclimate Quality (IMQ) certification in heritage and museum buildings: The case study of Vleeshuis museum in Antwerp. Build. Environ. 2017, 124, 478–491. [Google Scholar] [CrossRef]
- Cirrincione, L.; Ferrante, P.; La Gennusa, M.; Peri, G.; Rizzo, G.; Scaccianoce, G. Visually low-impacting methods for the measurement of parameters related to IAQ risk indicators in exhibition halls. E3S Web Conf. 2021, 312, 12008. [Google Scholar] [CrossRef]
- Camuffo, D. Microclimate for Cultural Heritage; Elsevier: Amsterdam, The Netherlands, 2019. [Google Scholar]
- Cassar, M. Environmental Management—Guidelines for Museums and Galleries; Routledge: London, UK; New York, NY, USA, 1995. [Google Scholar]
- Appelbaum, B. Guide to Environmental Protection of Collection; Sound View Press: Madison, WI, USA, 1991. [Google Scholar]
- Thomson, G. The museum Environmental, 2nd ed.; Butterworts: London, UK, 1986. [Google Scholar]
- Donovan, P.D. Protection of Metals from Corrosion in Storage and Transit; Ellis Horwood Limited: New York, NY, USA, 1986. [Google Scholar]
- Macleod, K.J. Relative Humidity: Its Importance, Measurement and Control in Museums; Technical Bulletin; Canadian Conservation Institute: Ottawa, Canada, 1978. [Google Scholar]
- Prosek, T.; Kouril, M.; Dubus, M.; Taube, M.; Hubert, V.; Scheffel, B.; Degres, Y.; Jouannic, M.; Thierry, D. Real-time monitoring of indoor air corrosivity in cultural heritage institutions with metallic electrical resistance sensors. Stud. Conserv. 2013, 58, 117–128. [Google Scholar] [CrossRef]
- Cartechini, L.; Castellini, S.; Moroni, B.; Palmieri, M.; Scardazza, F.; Sebastiani, B.; Selvaggi, R.; Vagnini, M.; Delogu, G.; Brunetti, B.; et al. Acute episodes of black carbon and aerosol contamination in a museum environment: Results of integrated real-time and off-line measurements. Atmos. Environ. 2015, 116, 130–137. [Google Scholar] [CrossRef]
- Sharif-Askari, H.; Abu-Hijleh, B. Review of museums’ indoor environment conditions studies and guidelines and their impact on the museums’ artifacts and energy consumption. Build. Environ. 2018, 143, 186–195. [Google Scholar] [CrossRef]
- Marchetti, A.; Pilehvar, S.; Pernia, D.L.; Voet, O.; Anaf, W.; Nuyts, G.; Otten, E.; Demeyer, S.; Schalm, O.; De Wael, K. Indoor environmental quality index for conservation environments: The importance of including particulate matter. Build. Environ. 2017, 126, 132–146. [Google Scholar] [CrossRef]
- Dubus, M.; Kouril, M.; Nguyen, T.-P.; Prosek, T.; Saheb, M.; Tate, J. Monitoring Copper and Silver Corrosion in Different Museum Environments by Electrical Resistance Measurement. Stud. Conserv. 2010, 55, 121–133. [Google Scholar] [CrossRef]
- Grøntoft, T.; Thickett, D.; Lankester, P.; Hackney, S.; Townsend, J.H.; Ramsholt, K.; Garrido, M. Assessment of indoor air quality and the risk of damage to cultural heritage objects using MEMORI® dosimetry. Stud. Conserv. 2016, 61, 70–82. [Google Scholar] [CrossRef][Green Version]
- Gebhardt, C.; Konopka, D.; Börner, A.; Mäder, M.; Kaliske, M. Hygro-mechanical numerical investigations of a wooden panel painting from “Katharinenaltar” by Lucas Cranach the Elder. J. Cult. Herit. 2018, 29, 1–9. [Google Scholar] [CrossRef]
- Guo, C.; Lan, L.; Liu, Y.; Meng, N.; Li, C. Comparison of environmental criteria for conservation and storage of collections: A comprehensive literature review. Build. Environ. 2023, 243, 110665. [Google Scholar] [CrossRef]
- EN 15758:2010; Conservation of Cultural Property—Procedures and Instruments for Measuring Temperatures of the Air and the Surfaces of Objects. CEN—European Committee for Standardization: Brussels, Belgium, 2010.
- EN 15757:2010; Conservation of Cultural Property—Specifications for Temperature and Relative Humidity to Limit Climate-Induced Mechanical Damage in Organic Hygroscopic Materials. CEN—European Committee for Standardization: Brussels; Belgium, 2010.
- EN 16242:2012; Conservation of Cultural Heritage—Procedures and Instruments for Measuring Humidity in the Air and Moisture Exchanges between Air and Cultural Property. CEN—European Committee for Standardization: Brussels, Belgium, 2012.
- UNI 10829; Artworks of Historical Importance. Ambient Conditions for the Conservation. Measurement and Analysis. UNI—Ente Italiano di Unificazione: Milano, Italy, 1999. (In Italian)
- ISO 7730; Moderate Thermal Environments—Determination of the PMV and PPD Indices and Specifications of the Conditions for Thermal Comfort. International Organization for Standardization ISO/FDIS: Geneva, Switzerland, 2005.
- ASHRAE Standard 55; Thermal Environmental Conditions for Human Occupancy. American Society of Heating, Refrigerating and Air-Conditioning Engineer—ASHRAE Inc.: Atlanta, GA, USA, 2017.
- ASHRAE Handbook Applications—Chapter 24: Museums, Galleries, Archives and Libraries; American Society of Heating Refrigerating and Air-Conditioning Engineers Inc.: Atlanta, GA, USA, 2019.
- D.M. 10 Maggio 2001, ‘Ministero per i Beni e le Attività Culturali. Atto di Indirizzo sui Criteri Tecnico-Scientifici e Sugli Standard di Funzionamento e Sviluppo dei Musei—Art. 150, Comma 6, D.L. n. 112/1998; Ministero Della Cultura: Rome, Italy, 2001. (In Italian)
- Bellia, L.; Capozzoli, A.; Mazzei, P.; Minichiello, F. A comparison of HVAC systems for artwork conservation. Int. J. Refrig. 2007, 30, 1439–1451. [Google Scholar] [CrossRef]
- Ascione, F.; Bellia, L.; Capozzoli, A. A coupled numerical approach on museum air conditioning: Energy and fluid-dynamic analysis. Appl. Energy 2013, 103, 416–427. [Google Scholar] [CrossRef]
- Tan, H.; Dang, R. Review of lighting deterioration, lighting quality, and lighting energy saving for paintings in museums. Build. Environ. 2021, 208, 108608. [Google Scholar] [CrossRef]
- EN 16163:2014; Conservation of Cultural Heritage—Guidelines and Procedures for Choosing Appropriate Lighting for Indoor Exhibitions. CEN—European Committee for Standardization: Brussels, Belgium, 2014.
- CIE 157:2004; Control of Damage to Museum Objects by Optical Radiation. Commission Internationale de l’Éclairage (International Commission on Illumination): Wien, Austria, 2004.
- Wilson, W.K. Environmental Guidelines for the Storage of Paper Records, a Technical Report; National Information Standards Organization: Bethesda, MD, USA, 1995. [Google Scholar]
- Franzitta, V.; Ferrante, P.; La Gennusa, M.; Rizzo, G.; Scaccianoce, G. Off-line methods for determining air quality in museums. Conserv. Sci. Cult. Herit. 2010, 10, 159–184. [Google Scholar] [CrossRef]
- Tétreault, J. Airborne Pollutants in Museums, Galleries and Archives: Risk Assessment, Control Strategies and Preservation Management; Canadian Conservation Institute: Ottawa, Canada, 2003. [Google Scholar]
- Baer, N.S.; Banks, P.N. Indoor air pollution: Effects on cultural and historic materials. Int. J. Mus. Manag. Curatorship 1985, 4, 9–20. [Google Scholar] [CrossRef]
- ANSI/NISO Z39.79; Environmental Conditions for Exhibiting Library and Archival Materials. American National Standards Institute/National Information Standards Organization: Bethesda, MD, USA, 2001.
- ISA-S71.04; Environmental Conditions for Process Measurement and Control Systems: Airborne Contaminants. Instrument Society of America: Research Triangle Park, NC, USA, 1985.
- Brimblecombe, P. The composition of museum atmospheres. Atmos. Environ. 1990, 24, 1–8. [Google Scholar] [CrossRef]
- Purafil Inc. Environmental Control for Museums, Libraries and Archival Storage Areas. In Technical Brochure 600 and Latest Edition 600A; Purafil Inc.: Atlanta, GA, USA, 1993. [Google Scholar]
- Purafil Inc. Product Bulletin Corrosion Classification Coupon. 2018. Available online: www.purafil.com (accessed on 4 March 2024).
- UNI 10586; Condizioni Climatiche per Ambienti di Conservazione di Documenti Grafici e Caratteristiche degli Alloggiamenti. UNI—Ente Italiano di Unificazione: Milano, Italy, 1997. (In Italian)
- EN 15759-2:2018; Conservation of Cultural Heritage—Indoor Climate—Part 2: Ventilation Management for the Protection of Cultural Heritage Buildings and Collections. CEN—European Committee for Standardization: Brussels, Belgium, 2018.
- La Gennusa, M.; Rizzo, G.; Scaccianoce, G.; Nicoletti, F. Control of indoor environment in heritage buildings: Application of a methodology to an old Italian museum. J. Cult. Herit. 2005, 6, 147–155. [Google Scholar] [CrossRef]
- EN 16798-1; Energy Performance of Buildings (2019)—Ventilation for Buildings—Part 1: Indoor Environmental Input Parameters for Design and Assessment of Energy Performance of Buildings Addressing Indoor Air Quality, Thermal Environment, Lighting and Acoustics. CEN—European Committee for Standardization: Brussels, Belgium, 2019.
- Häkkinen, L. Vision in the elderly and its use in the social environment. Scand J. Soc. Med. Suppl. 1984, 35, 5–60. [Google Scholar]
- UNI EN 12464-1:2021; Light and Lighting—Lighting of Work Places—Part 1: Indoor Work Places. CEN—European Committee for Standardization: Brussels, Belgium, 2021.
- ISO 8995; Principles of Visual Ergonomics—The Lighting of Indoor Work Systems. International Organization for Standardization: Geneva, Switzerland, 1989.
- De Santoli, L.; Fracastoro, G.V. La Normative per la Qualità dell’Aria Interna, Condizionamento dell’Aria, Riscaldamento, Refrigerazione 6; 2003. (In Italian). Available online: https://phd.uniroma1.it/web/LIVIO-DE-SANTOLI_nC4935_IT.aspx (accessed on 4 March 2024).
- UNI EN 17037:2022; Daylight in Buildings. CEN—European Committee for Standardization: Brussels, Belgium, 2022.
- Available online: https://www.who.int/publications/i/item/WHO-SDE-PHE-OEH-06.02 (accessed on 16 February 2024).
- Available online: https://www.who.int/publications/i/item/9789289002134 (accessed on 16 February 2024).
- Borro, L.; Mazzei, L.; Raponi, M.; Piscitelli, P.; Miani, A.; Secinaro, A. The role of air conditioning in the diffusion of Sars-CoV-2 in indoor environments: A first computational fluid dynamic model, based on investigations performed at the Vatican State Children’s hospital. Environ. Res. 2020, 193, 110343. [Google Scholar] [CrossRef] [PubMed]
- Deng, X.; Gong, G.; He, X.; Shi, X.; Mo, L. Control of exhaled SARS-CoV-2-laden aerosols in the interpersonal breathing microenvironment in a ventilated room with limited space air stability. J. Environ. Sci. 2021, 108, 175–187. [Google Scholar] [CrossRef] [PubMed]
- Richardson, E.J.; Cummings, M.; Bigourdan, J.-L. Context, Development, and Intent: An Introduction to the IPI Preservation Metrics. Heritage 2023, 6, 4202–4213. [Google Scholar] [CrossRef]
- Andretta, M.; Coppola, F.; Modelli, A.; Santopuoli, N.; Seccia, L. Proposal for a new environmental risk assessment methodology in cultural heritage protection. J. Cult. Herit. 2017, 23, 22–32. [Google Scholar] [CrossRef]
- Pietrafesa, M.; Cirrincione, L.; Peri, G.; Rizzo, G.; Scaccianoce, G. Suitability of Some Existing Damage Indexes for Assessing Agreements in Maintenance and Management of Museum Climatization Systems. J. Sustain. Dev. Energy Water Environ. Syst. 2020, 8, 396–409. [Google Scholar] [CrossRef]
- Cirrincione, L.; MacAluso, R.; Mosca, M.; Scaccianoce, G.; Costanzo, S. Study of Influence of the LED Technologies on Visual and Subjective/Individual Aspects. In Proceedings of the 2018 IEEE International Conference on Environment and Electrical Engineering and 2018 IEEE Industrial and Commercial Power Systems Europe (EEEIC/I&CPS Europe), Palermo, Italy, 12–15 June 2018. [Google Scholar] [CrossRef]
- De Santoli, L.; Moncada Lo Giudice, G. Caratterizzazione e Monitoraggio della Qualità dell’Aria negli Ambienti Mussali’, Microclima Qualità dell’Aria e Impianti negli Ambienti Mussali; AICARR: Milano, Italy, 1997; pp. 27–37. (In Italian) [Google Scholar]
- Bocchio, V. Misure di IAQ Come Classificazione degli Ambienti Chiusi, Condizionamento dell’Aria, Riscaldamento, Refrigerazione 35. 1992; pp. 737–742. (In Italian) [Google Scholar]
- ASHRAE Handbook Applications—Chapter 23: Museums, Galleries, Archives and Libraries; American Society of Heating Refrigerating and Air-Conditioning Engineers Inc.: Atlanta, GA, USA, 2011.
- EN 16883:2017; Conservation of Cultural Heritage—Guidelines for Improving the Energy Performance of Historic Buildings. CEN—European Committee for Standardization: Brussels, Belgium, 2017.
- 2030 EU’s Climate Target Plan. Available online: https://ec.europa.eu/clima/eu-action/european-green-deal/2030-climate-target-plan_en (accessed on 11 March 2024).








| Artworks Materials | Decree of 10 May 2001 | UNI 10829 Standard | ||
|---|---|---|---|---|
| θ0 (°C) | rh0 (%) | θ0 (°C) | rh0 (%) | |
| Artistic paper artifacts and papier-mâché | 19–24 | 50–60 | 18–22 | 40–55 |
| Fabric, veils, drapery, carpets, fabric tapestry, arras, silk, costumes, dresses, religious vestments, natural fiber materials, sisal, jute | - | 40–60 | 19–24 | 30–50 |
| Ethnographic collections, masks, leather, leather clothes | 19–24 | 40–60 | 19–24 | 45–60 |
| Painting on canvas, oil painting on cloth and canvas, tempera, gouaches | 19–24 | 35–50 | 19–24 | 40–55 |
| Bindings of books with leather or parchment | - | 50–60 | 19–24 | 45–55 |
| Polychromatic wood carvings, painted wood, paintings on wood, icons, wood pendulum-clocks, wood musical instruments | 19–24 | 45–65 | 19–24 | 50–60 |
| Unpainted wood carvings, wickerwork, wood or bark panels | 19–24 | 40–65 | 19–24 | 45–60 |
| Furs, feathers, stuffed animals, and birds | 15–21 | 45–60 | 4–10 | 30–50 |
| Mosaics | 6–25 (1.5 °C/h) | 45–60 | 15–25 | 20–60 |
| Murals, frescoes | 10–24 | 55–65 | ||
| Mineralogical collections, marbles and stones (stable porous stones, rocks, minerals, meteorites) | ≤30 | 45–60 | 19–24 | 40–60 |
| Decree of 10 May 2001 [43] | UNI 10829 Standard [39] | ||||||||
|---|---|---|---|---|---|---|---|---|---|
| Materials | rh0 (%) | Δrhx (%) | θ0 (°C) | Δθx (°C) | rh0 (%) | Δrhx (%) | θ0 (°C) | Δθx (°C) | |
| Paintings | on canvas | 40–55 | 6 | 19–24 | 1.5 | 40–55 | 6 | 19–24 | 1.5 |
| on wood | 50–60 | 2 | 19–24 | 1.5 | 50–60 | 4 | 19–24 | 1.5 | |
| Wood | 50–60 | 2 | 19–24 | 1.5 | 45–60 | 4 | 19–24 | 1.5 | |
| archeological | 50–60 | 2 | 19–24 | 1.5 | |||||
| wet | - | - | <4 | - | sat. | - | <4 | - | |
| Paper | 40–55 | 6 | 18–22 | 1.5 | 40–55 | 6 | 18–22 | 1.5 | |
| pastels, watercolors | <65 | - | <10 | - | 45–60 | 2 | 19–24 | 1.5 | |
| books, manuscripts | 45–55 | 5 | <21 | 3 | 50–60 | 5 | 13–18 | - | |
| graphical material | 45–55 | 5 | <21 | 3 | |||||
| Leathers, hides, parchments | 40–55 | 5 | 4–10 | 1.5 | 45–55 | 6 | 19–24 | 1.5 | |
| Tissues | cellulosic | 30–50 | 6 | 19–24 | 1.5 | 30–50 | 6 | 19–24 | 1.5 |
| proteinic | 50–55 | - | 19–24 | 1.5 | |||||
| Ethnographic collections | 20–35 | 5 | 15–23 | 2 | 45–60 | 6 | 19–24 | 1.5 | |
| Stable materials | 35–65 | - | 30 | - | |||||
| Handcrafts | Relative Humidity (%) | Air Temperature (°C) |
|---|---|---|
| Archaeological bronzes with chloride corrosions | <42 | - |
| Archaeological irons with chloride corrosions | <20 | - |
| Unstable glasses | 40–45 | - |
| Wet wood | 100 | <4 |
| Artworks Materials | Emax (lx) | LOmax (Mlx h/y) | UVmax (μW/lm) |
|---|---|---|---|
| Paper, papier-mâché, paper artwork, tissue-paper, wallpaper, stamp collections, manuscripts, papyri, printings, cellulose materials | 50 | 0.2 | 75 |
| Fabric, veils, drapery, carpets, fabric tapestry, arras, silk, costumes, dresses, religious vestments, natural fibre materials, sisal, juta | 50 | 0.2 | 75 |
| Ethnographic collections, masks, leather, leather clothes | 50 | 0.2 | 75 |
| Painting on canvas, oil painting on cloth and canvas, tempera, gouaches | 150 | 0.5 | 75 |
| Books of great value, leather-bound books, leather bindings, parchment, miniatures | 50 | 0.2 | 75 |
| Polychromatic wood carvings, painted wood, paintings on wood, icons, wood pendulum-clocks, wood musical instruments | 50 | 0.2 | 75 |
| Unpainted wood carvings, wickerwork, wood or bark panels | 150 | 0.5 | 75 |
| Stone mosaics, stones, rocks, ore, meteorites (not porous), fossils and stone collections | N.R. | - | - |
| Stable (porous) stones, rocks, minerals, meteorites | N.R. | - | - |
| Murals, frescoes (detached) | N.R. | - | - |
| Photosensitivity Class | Supported Light Dose LOmax (Mlx h/y) | Emax (lx) | UVx (μW/lm) | Maximum Radiance (µW/cm2) | Energy Density within the 400–4000 nm Range (W/m2) |
|---|---|---|---|---|---|
| Medium | 0.5 | 150 | 75 | 1.2 | 10 |
| High | 0.15 | 50 | 75 | 0.4 | 3 |
| Very high | 0.05 | 50 | 10 | 0.05 | 1 |
| Category | Emax (lx) | LOmax (Mlx h/y) | Annual Exposure Time (h) |
|---|---|---|---|
| Irresponsive | - | - | - |
| Low responsivity | 200 | 0.600 | 3000 |
| Medium responsivity | 50 | 0.150 | 3000 |
| High responsivity | 50 | 0.015 | 300 |
| Source | SO2 (μg/m3) | O3 (μg/m3) | NO2 (μg/m3) | Particulate Matter |
|---|---|---|---|---|
| [49] | 2.5 | 25 | 5 | - |
| [50] | <1 (SOx) | <25 | <5 (NOx) | <75 μg/m3 |
| [22] | <1.0 | <2 | <5 | Adoption of the best available technology |
| [25] | <10 | 2 | <10 | - |
| [51] | 1 | 5 | 5 | - |
| [52] | <1 | 2.5 | <5 | Percentage of removal > 95% for PM with diameter > 2 μm |
| [53] | <12.5–25 | <10–20 | <10–20 (NOx) | Percentage of removal > 95% |
| [54] | <10 (Sox) | 2 | <10 (NOx) | - |
| [55] | ≤1 µg/m3 | ≤2 µg/m3 | ≤4.7 µg/m3 | Percentage of removal > 95% |
| [56,57] | <1.0 | <2 | <5 | <75 μg/m3 |
| [58] | ≤2 µg/m3 | ≤2 µg/m3 | ≤2 µg/m3 (for NOx) | ≤50 µg/m3 |
| Season | Clothing Level (clo) | ISO 7730 [40] | EN 16798-1 [61] | ||
|---|---|---|---|---|---|
| Optimum Value (°C) | Acceptable Range (°C) | Optimum Value (°C) | Acceptable Range (°C) | ||
| Winter | 1 | 22.0 | 20.0–24.0 | 22.0 | 20.0–24.0 |
| Summer | 0.5 | 24.5 | 23.0–26.0 | 24.5 | 23.0–26.0 |
| Parameters Characterizing the Local Discomfort | Limits |
|---|---|
| Draught, DR | DR < 20% |
| Vertical air temperature difference between head and feet, Δta | Δta < 3 K |
| Radiant temperature asymmetry with warm ceiling, Δtpr | Δtpr < 5 K |
| Radiant temperature asymmetry with cool wall, Δtpr | Δtpr < 10 K |
| Radiant temperature asymmetry with cool ceiling, Δtpr | Δtpr < 14 K |
| Radiant temperature asymmetry with warm wall, Δtpr | Δtpr < 23 K |
| Floor surface temperature, tf | 19 °C < tf < 29 °C |
| Pollutant Substance | Limit Value |
|---|---|
| Carbon monoxide | 7 mg/m3 (24 h mean) |
| Formaldehyde | 0.1 mg/m3 (30 min mean) |
| Nephthalene | 100 μg/m3 (annual mean) |
| Nitrogen dioxides (NO2) | 20 μg/m3 (annual mean) |
| Radon | 100 Bq/m3 |
| Tetrachloroethylene | 250 μg/m3 (annual mean) |
| Sulphur dioxides | 20 μg/m3 (24 h mean) |
| Ozone | 0.1 mg/m3 (8 h mean) |
| Particulate matter (PM2.5) | 25 μg/m3 (24 h mean) |
| Particulate matter (PM10) | 50 μg/m3 (24 h mean) |
| Chemical Component | Limits for Museums and Archives | Limits for People |
|---|---|---|
| Sulphur oxides (SOx) | 10 μg/m3 | 20 μg/m3 (24 h mean) |
| Nitrogen oxides (NOx) | 10 μg/m3 | 20 μg/m3 (annual) |
| Ozone (O3) | 2 μg/m3 | 0.1 mg/m3 (8 h mean) |
| Particulate matter (PM10) | 75 μg/m3 | 50 μg/m3 (24 h mean) |
| Carbon monoxide (CO) | - | 7 mg/m3 (24 h mean) |
| Formaldehyde (VOC) | N/A * | 0.1 mg/m3 (30 min mean) |
Disclaimer/Publisher’s Note: The statements, opinions and data contained in all publications are solely those of the individual author(s) and contributor(s) and not of MDPI and/or the editor(s). MDPI and/or the editor(s) disclaim responsibility for any injury to people or property resulting from any ideas, methods, instructions or products referred to in the content. |
© 2024 by the authors. Licensee MDPI, Basel, Switzerland. This article is an open access article distributed under the terms and conditions of the Creative Commons Attribution (CC BY) license (https://creativecommons.org/licenses/by/4.0/).
Share and Cite
Cirrincione, L.; La Gennusa, M.; Peri, G.; Rizzo, G.; Scaccianoce, G. Indoor Parameters of Museum Buildings for Guaranteeing Artworks Preservation and People’s Comfort: Compatibilities, Constraints, and Suggestions. Energies 2024, 17, 1968. https://doi.org/10.3390/en17081968
Cirrincione L, La Gennusa M, Peri G, Rizzo G, Scaccianoce G. Indoor Parameters of Museum Buildings for Guaranteeing Artworks Preservation and People’s Comfort: Compatibilities, Constraints, and Suggestions. Energies. 2024; 17(8):1968. https://doi.org/10.3390/en17081968
Chicago/Turabian StyleCirrincione, Laura, Maria La Gennusa, Giorgia Peri, Gianfranco Rizzo, and Gianluca Scaccianoce. 2024. "Indoor Parameters of Museum Buildings for Guaranteeing Artworks Preservation and People’s Comfort: Compatibilities, Constraints, and Suggestions" Energies 17, no. 8: 1968. https://doi.org/10.3390/en17081968
APA StyleCirrincione, L., La Gennusa, M., Peri, G., Rizzo, G., & Scaccianoce, G. (2024). Indoor Parameters of Museum Buildings for Guaranteeing Artworks Preservation and People’s Comfort: Compatibilities, Constraints, and Suggestions. Energies, 17(8), 1968. https://doi.org/10.3390/en17081968

