Association of Perceived Thermal Comfort and Air Quality with Building- and Occupant-Related Characteristics and Environmental Parameters in Sweden
Abstract
1. Introduction
Objectives of the Research
2. Materials and Methods
2.1. BETSI Study and Examined Variables
2.2. Statistical Analysis
3. Results
3.1. Assessment of Perceived Thermal Comfort and Indoor Air Quality
3.2. Categorical Variables
3.2.1. Building and Location Variables
3.2.2. Contextual and Behavioral Variables
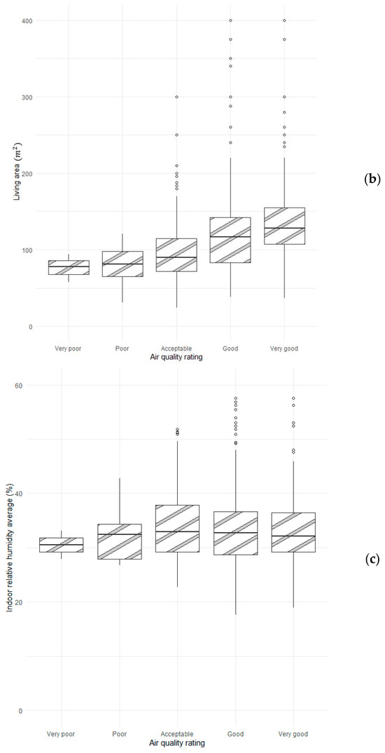
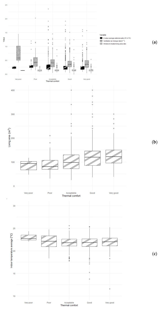
3.3. Continuous Variables
3.4. Multivariate Analysis
4. Discussion
Limitations of the Research and Future Suggestions
5. Conclusions
Author Contributions
Funding
Data Availability Statement
Acknowledgments
Conflicts of Interest
Appendix A
| Variable | Cramer’s V Value | Approximate Significance |
|---|---|---|
| Building location | 0.118 | * |
| Type of dwelling | 0.229 | * |
| Solar access south | 0.051 | * |
| Tenure status | 0.166 | * |
| Carpet in any room | 0.042 | 0.041 |
| Window vents | 0.085 | * |
| Airing frequency | 0.044 | 0.001 |
| Airing practice | 0.047 | 0.001 |
| Building period of construction | 0.088 | * |
| Climate zone | 0.043 | 0.002 |
| Ventilation system | 0.049 | 0.012 |
| Heating system | 0.081 | * |
| Living duration in dwelling | 0.081 | * |
| Duration away from home | 0.038 | 0.022 |
| Gender | 0.036 | 0.078 |
| Age group | 0.067 | * |
| Window opening type | 0.071 | * |
| Type of building | 0.135 | * |
| Air quality rating | 0.346 | * |
| Variable | Cramer’s V Value | Approximate Significance |
|---|---|---|
| Building location | 0.171 | * |
| Type of dwelling | 0.373 | * |
| Pollution area | 0.051 | 0.006 |
| Tenure status | 0.235 | * |
| Window opening type | 0.071 | * |
| PVC flooring in any room (excl. wetroom) | 0.088 | 0.002 |
| Window vents | 0.077 | 0.008 |
| Fireplace-heating stove | 0.193 | * |
| Oiled wood floor | 0.029 | 0.243 |
| Closing kitchen area | 0.126 | * |
| Pets | 0.063 | 0.030 |
| Tobacco smoke indoors | <0.001 | 0.847 |
| Airing frequency | 0.061 | 0.002 |
| Airing practice | 0.083 | * |
| Drying clothes indoor | 0.114 | * |
| Painting | 0.016 | 0.347 |
| Moisture damages the last 12 months | 0.166 | * |
| Moisture damages the last 5 years | 0.108 | * |
| Building period of construction | 0.078 | * |
| Climate zone | 0.030 | 0.170 |
| Ventilation system | 0.049 | 0.012 |
| Living duration in dwelling | 0.081 | * |
| Duration away from home | 0.004 | 0.428 |
| Gender | 0.056 | 0.052 |
| Age group | 0.021 | 0.272 |
| Smoking | 0.087 | 0.002 |
| Type of building | 0.208 | * |
| Variable | VG-G | G-A | A-P | P-VP |
|---|---|---|---|---|
| U-value windows | 0.078 | 1.000 | 1.000 | 1.000 |
| U-value external walls | 0.066 | 1.000 | 0.359 | 1.000 |
| Ventilation air change rate | 1.000 | 0.161 | 1.000 | 1.000 |
| Indoor air temperature ** | ||||
| Outdoor air temperature ** | ||||
| Living area | 0.511 | * | 0.105 | 1.000 |
| Window to heated living area ratio | 1.000 | 1.000 | 1.000 | 1.000 |
| Variable | VG-G | G-A | A-P | P-VP |
|---|---|---|---|---|
| Ventilation air change rate | 1.000 | 0.010 | 1.000 | 1.000 |
| Indoor relative humidity ** | ||||
| Living area | * | * | 0.232 | 1.000 |
| Window to heated living area ratio | 0.454 | 0.091 | 0.020 | 1.000 |




References
- Wargocki, P.; Wei, W.; Bendžalová, J.; Espigares-Correa, C.; Gerard, C.; Greslou, O.; Rivallain, M.; Sesana, M.M.; Olesen, B.W.; Zirngibl, J.; et al. TAIL, a new scheme for rating indoor environmental quality in offices and hotels undergoing deep energy renovation. Energy Build. 2021, 244, 111029. [Google Scholar] [CrossRef]
- Engineer, A.; Gualano, R.J.; Crocker, R.L.; Smith, J.L.; Maizes, V.; Weil, A.; Sternberg, E.M. An integrative health framework for wellbeing in the built environment. Build. Environ. 2021, 205, 108253. [Google Scholar] [CrossRef]
- Qi, J.; Ruan, Z.; Qian, Z.; Yin, P.; Yang, Y.; Acharya, B.K.; Wang, L.; Lin, H. Potential gains in life expectancy by attaining daily ambient fine particulate matter pollution standards in mainland China: A modeling study based on nationwide data. PLoS Med. 2020, 17, e1003027. [Google Scholar] [CrossRef]
- Cooper, E.; Milner, J.; Wang, Y.; Stamp, S.; Mumovic, D. Modelling the impact on mortality of using portable air purifiers to reduce PM2.5 in UK homes. Atmos. Environ. 2022, 289, 119311. [Google Scholar] [CrossRef]
- Hill, T.D.; Jorgenson, A.K.; Ore, P.; Balistreri, K.S.; Clark, B. Air quality and life expectancy in the United States: An analysis of the moderating effect of income inequality. SSM-Popul. Health 2019, 7, 100346. [Google Scholar] [CrossRef]
- Lelieveld, J.; Pozzer, A.; Pöschl, U.; Fnais, M.; Haines, A.; Münzel, T. Loss of life expectancy from air pollution compared to other risk factors: A worldwide perspective. Cardiovasc. Res. 2020, 116, 1910–1917. [Google Scholar] [CrossRef] [PubMed]
- Navas-Martin, M.A.; Oteiza, I.; Cuerdo-Vilches, T. Dwelling in times of COVID-19: An analysis on habitability and environmental factors of Spanish housing. J. Build. Eng. 2022, 60, 105012. [Google Scholar] [CrossRef]
- Ortiz, M.; Itard, L.; Bluyssen, P.M. Indoor environmental quality related risk factors with energy-efficient retrofitting of housing: A literature review. Energy Build. 2020, 221, 110102. [Google Scholar] [CrossRef]
- Psomas, T.; Teli, D.; Langer, S.; Wahlgren, P.; Wargocki, P. Indoor humidity of dwellings and association with building characteristics, behaviors and health in a northern climate. Build. Environ. 2021, 198, 107885. [Google Scholar] [CrossRef]
- Teli, D.; Psomas, T.; Langer, S.; Trüschel, A.; Dalenbäck, J.O. Drivers of winter indoor temperatures in Swedish dwellings: Investigating the tails of the distribution. Build. Environ. 2021, 202, 108018. [Google Scholar] [CrossRef]
- Spilak, M.P.; Frederiksen, M.; Kolarik, B.; Gunnarsen, L. Exposure to ultrafine particles in relation to indoor events and dwelling characteristics. Build. Environ. 2014, 74, 65–74. [Google Scholar] [CrossRef]
- Collignan, B.; Le Ponner, E.; Mandin, C. Relationships between indoor radon concentrations, thermal retrofit and dwelling characteristics. J. Environ. Radioact. 2016, 165, 124–130. [Google Scholar] [CrossRef]
- Taptiklis, P.; Phipps, R.; Jones, M.; Douwes, J. Associations of house characteristics with indoor dampness and measured moisture: Results from three New Zealand House Condition Surveys in 2005, 2010 and 2015. Build. Environ. 2022, 208, 108508. [Google Scholar] [CrossRef]
- Stephens, B.; Siegel, J.A. Penetration of ambient submicron particles into single-family residences and associations with building characteristics. Indoor Air. 2012, 22, 501–513. [Google Scholar] [CrossRef] [PubMed]
- Abdel-Salam, M.M.M. Relationship between residential indoor air quality and socioeconomic factors in two urban areas in Alexandria, Egypt. Build. Environ. 2022, 207, 108425. [Google Scholar] [CrossRef]
- Adunola, A.O.; Ajibola, K. Factors Significant to Thermal Comfort Within Residential Neighborhoods of Ibadan Metropolis and Preferences in Adult Residents’ Use of Spaces. SAGE Open 2016, 6, 1–19. [Google Scholar] [CrossRef]
- Liu, W.; Huang, C.; Hu, Y.; Zou, Z.; Shen, L.; Sundell, J. Associations of building characteristics and lifestyle behaviors with home dampness-related exposures in Shanghai dwellings. Build. Environ. 2015, 88, 106–115. [Google Scholar] [CrossRef]
- Dahlan, N.D.; Jones, P.J.; Alexander, D.K.; Salleh, E.; Alias, J. Evidence base prioritisation of indoor comfort perceptions in Malaysian typical multi-storey hostels. Build. Environ. 2009, 44, 2158–2165. [Google Scholar] [CrossRef]
- Indraganti, M.; Rao, K.D. Effect of age, gender, economic group and tenure on thermal comfort: A field study in residential buildings in hot and dry climate with seasonal variations. Energy Build. 2010, 42, 273–281. [Google Scholar] [CrossRef]
- Karjalainen, S. Gender differences in thermal comfort and use of thermostats in everyday thermal environments. Build. Environ. 2007, 42, 1594–1603. [Google Scholar] [CrossRef]
- Zalejska-Jonsson, A.; Wilhelmsson, M. Impact of perceived indoor environment quality on overall satisfaction in Swedish dwellings. Build. Environ. 2013, 63, 134–144. [Google Scholar] [CrossRef]
- Aqilah, N.; Rijal, H.B.; Yoshida, K. Gender difference regarding thermal comfort in Japanese residential building during free running mode. Build. Environ. 2023, 245, 110891. [Google Scholar] [CrossRef]
- Dosumu, O.S.; Aigbavboa, C.O. An investigation of the factors influencing indoor environmental quality (IEQ) of residential buildings in Gauteng, South Africa. Period. Polytech. Archit. 2019, 50, 81–88. [Google Scholar] [CrossRef]
- Mridha, M. The effect of age, gender and marital status on residential satisfaction. Local Environ. 2020, 25, 540–558. [Google Scholar] [CrossRef]
- Recek, P.; Kump, T.; Dovjak, M. Indoor environmental quality in relation to socioeconomic indicators in Slovenian households. J. Hous. Built Environ. 2019, 34, 1065–1085. [Google Scholar] [CrossRef]
- Sarran, L.; Hviid, C.A.; Rode, C. Correlation between perceived usability of building services and indoor environmental satisfaction in retrofitted low-energy homes. Build. Environ. 2020, 179, 106946. [Google Scholar] [CrossRef]
- Thapa, S. Insights into the thermal comfort of different naturally ventilated buildings of Darjeeling, India—Effect of gender, age and BMI. Energy Build. 2019, 193, 267–288. [Google Scholar] [CrossRef]
- Wang, J.; Norbäck, D. Subjective indoor air quality and thermal comfort among adults in relation to inspected and measured indoor environment factors in single-family houses in Sweden-the BETSI study. Sci. Total Environ. 2022, 802, 149804. [Google Scholar] [CrossRef]
- Zhao, Y.; Li, D. Multi-domain indoor environmental quality in buildings: A review of their interaction and combined effects on occupant satisfaction. Build. Environ. 2023, 28, 109844. [Google Scholar] [CrossRef]
- Swedish National Board of Housing, Building, and Planning. Statistiska Urval och Metoder i Overkets Projekt BETSI, fördjupningsrapport till Regeringsuppdrag Beträffande Byggnaders Tekniska Utformning m.m.; Swedish National Board of Housing, Building, and Planning: Stockholm, Sweden, 2010. [Google Scholar]
- Swedish National Board of Housing, Building, and Planning. Energi I Bebyggelsen-Tekniska Egenskaper Och Beräkningar-Resultat Från Projektet BETSI; Swedish National Board of Housing, Building, and Planning: Stockholm, Sweden, 2011. [Google Scholar]
- Swedish National Board of Housing, Building, and Planning. Besiktningsprotokoll Ver. 1.0 För Småhus-Survey Checklist Version 1.0 for Single Family Houses; Swedish National Board of Housing, Building, and Planning: Stockholm, Sweden, 2007. [Google Scholar]
- Swedish National Board of Housing, Building, and Planning. Besiktningsprotokoll Ver. 1.0 För Flerbostadshus-Survey Checklist Version 1.0 for Multifamily Houses; Swedish National Board of Housing, Building, and Planning: Stockholm, Sweden, 2007. [Google Scholar]
- Swedish National Board of Housing, Building, and Planning. Så må våra hus, Redovisning Av Regeringsuppdrag Beträffande Byggnaders Tekniska Utformning m.m.; Swedish National Board of Housing, Building, and Planning: Stockholm, Sweden, 2009. [Google Scholar]
- Swedish National Board of Housing, Building, and Planning. Enkätundersökning Om Boendes Upplevda Inomhusmiljö Och Ohälsa-Resultat Från Projektet BETSI; Swedish National Board of Housing, Building, and Planning: Stockholm, Sweden, 2009. [Google Scholar]
- Swedish National Board of Housing, Building, and Planning. God Bebyggd Miljö-Utvärdering Av Delmål För God Inomhusmiljö-Resultat Från Projektet BETSI; Swedish National Board of Housing, Building, and Planning: Stockholm, Sweden, 2010. [Google Scholar]
- Swedish National Board of Housing, Building, and Planning. Teknisk Status I Den Svenska Bebyggelsen-Resultat Från Projektet BETSI; Swedish National Board of Housing, Building, and Planning: Stockholm, Sweden, 2011. [Google Scholar]
- Swedish National Board of Housing, Building, and Planning. God Bebyggd Miljö-Förslag till Nytt Delmål För Fukt Och Mögel, Resultat om Byggnaders Fuktskador Från Projektet BETSI; Swedish National Board of Housing, Building, and Planning: Stockholm, Sweden, 2011. [Google Scholar]
- Swedish National Board of Housing, Building, and Planning. Spreadsheet of Microdata Results from BETSI Energy Assessment; Swedish National Board of Housing, Building, and Planning: Stockholm, Sweden, 2012. [Google Scholar]
- Swedish National Board of Housing, Building, and Planning. Spreadsheet with Excerpts from the BETSI Database Describing the Dimensional Characteristics of Residential Buildings in the BETSI Sample; Swedish National Board of Housing, Building, and Planning: Stockholm, Sweden, 2012. [Google Scholar]
- Wang, J.; Engvall, K.; Smedje, G.; Nilsson, H.; Norbäck, D. Current wheeze, asthma, respiratory infections, and rhinitis among adults in relation to inspection data and indoor measurements in single-family houses in Sweden-the BETSI study. Indoor Air 2017, 27, 725–736. [Google Scholar] [CrossRef] [PubMed]
- Wang, J.; Engvall, K.; Smedje, G.; Norbäck, D. Rhinitis, asthma and respiratory infections among adults in relation to the home environment in multi-family buildings in Sweden. PLoS ONE 2014, 9, e105125. [Google Scholar] [CrossRef]
- Wang, J.; Engvall, K.; Smedje, G.; Norbäck, D. Exacerbation of asthma among adults in relation to the home environment in multi-family buildings in Sweden. Int. J. Tuberc. Lung Dis. 2017, 21, 7. [Google Scholar] [CrossRef] [PubMed]
- Smedje, G.; Wang, J.; Norbäck, D.; Nilsson, H.; Engvall, K. SBS symptoms in relation to dampness and ventilation in inspected single-family houses in Sweden. Int. Arch. Occup. Environ. Health 2017, 90, 703–711. [Google Scholar] [CrossRef] [PubMed]
- Langer, S.; Bekö, G. Indoor air quality in the Swedish housing stock and its dependence on building characteristics. Build. Environ. 2013, 69, 44–54. [Google Scholar] [CrossRef]
- Teli, D.; Psomas, T.; Langer, S. Indoor climate and air quality: Does occupants’ assessment reflect the measured conditions? In Proceedings of the Indoor Air, Kuopio, Finland, 12–16 June 2022.
- Langer, S.; Psomas, T.; Teli, D. I-CUB: ‘Indoor Climate-Users-Buildings’: Relationship between measured and perceived indoor air quality in dwellings. In Proceedings of the 8th International Building Physics Conference, Copenhagen, Denmark, 25–27 August 2021. [Google Scholar]
- Psomas, T.; Teli, D.; Langer, S.; Wahlgren, P. Low relative humidity, a problem or not in Swedish dwellings? In Proceedings of the Indoor Environmental Quality Performance Approaches, ASHRAE, Athens, Greece, 4–6 May 2022.
- Dalenbäck, J.O.; Ekberg, L.; Langer, S.; Psomas, T.; Teli, D. Låg luftfuktighet i svenska bostäder—Ett problem? Energi Miljo 2021, 10, 54–55. [Google Scholar]
- Psomas, T.; Teli, D.; Langer, S.; Wargocki, P. Indoor humidity of dwellings in a northern climate. REHVA J. 2021, 58, 37–40. [Google Scholar]
- Mata, E.; Sasic Kalagasidis, A.; Johnsson, F. Energy usage and technical potential for energy saving measures in the Swedish residential building stock. Energy Pol. 2013, 55, 404–414. [Google Scholar] [CrossRef]
- Mangold, M.; Österbring, M.; Wallbaum, H. A review of Swedish residential building stock research. Int. J. Environ. Sustain. 2015, 11, 1–17. [Google Scholar] [CrossRef]
- Psomas, T.; O’Sullivan, P.; Langer, S.; Teli, D.; Wargocki, P. Does Gender Matters in Perception of Indoor Environmental Quality? Findings From A Swedish National Survey. In Proceedings of the Indoor Air, Kuopio, Finland, 12–16 June 2022. [Google Scholar]
- Psomas, T.; Kolias, P.; Teli, D.; Langer, S. Influence of indoor environmental quality and dwelling satisfaction aspects on overall satisfaction: Findings from a Swedish national survey. In Proceeding of the IAQVEC, Tokyo, Japan, 20–23 May 2023. [Google Scholar]
- Teli, D.; Dalenbäck, J.O.; Psomas, T.; Langer, S. Using data-driven indoor temperature setpoints in energy simulations of existing buildings: A Swedish case study. In Proceedings of the SBE23, Thessaloniki, Greece, 22–24 March 2023. [Google Scholar]
- Field, A. Discovering Statistics Using SPSS, 3rd ed.; SAGE Publications: Thousand Oaks, CA, USA, 2009. [Google Scholar]
- Bergsma, W.; Tschuprow’s, T. A bias-correction for Cramér’s V. J. Korean Stat. Soc. 2013, 42, 323–328. [Google Scholar] [CrossRef]
- Brant, R. Assessing proportionality in the proportional odds model for ordinal logistic regression. Biometrics 1990, 46, 1171–1178. [Google Scholar] [CrossRef]
- Fox, J.; Monette, G. Generalized collinearity diagnostics. J. Am. Stat. Assoc. 1992, 87, 178–183. [Google Scholar] [CrossRef]
- Psomas, T.; Heiselberg, P.; Duer, K.; Bjørn, E. Overheating risk barriers to energy renovations of single-family houses: Multicriteria analysis and assessment. Energy Build. 2016, 117, 138–148. [Google Scholar] [CrossRef]
- Rahman, H.A.A.; Wah, Y.B.; Huat, O.S. Predictive Performance of Logistic Regression for Imbalanced Data with Categorical Covariate. Pertanika J. Sci. Technol. 2021, 29, 181–197. [Google Scholar] [CrossRef]
- Haselsteiner, E. Gender Matters! Thermal Comfort and Individual Perception of Indoor Environmental Quality: A Literature Review. In Rethinking Sustainability Towards a Regenerative Economy. Future City; Andreucci, M.B., Marvuglia, A., Baltov, M., Hansen, P., Eds.; Springer: Cham, Switzerland, 2021; Volume 15. [Google Scholar]
- Frontczak, M.; Wargocki, P. Literature survey on how different factors influence human comfort in indoor environments. Build. Environ. 2011, 46, 922–937. [Google Scholar] [CrossRef]
- Wang, Z.; de Dear, R.; Luo, M.; Lin, B.; He, Y.; Ghahramani, A.; Zhu, Y. Individual difference in thermal comfort: A literature review. Build. Environ. 2018, 138, 181–193. [Google Scholar] [CrossRef]
- Abidin, N.Z.; Abdullah, M.I.; Basrah, N.; Alias, M.N. Residential satisfaction: Literature review and a conceptual framework. IOP Conf. Ser. Earth Environ. Sci. 2019, 385, 012040. [Google Scholar] [CrossRef]
- Schweicker, M.; Ampatzi, E.; Andargie, M.S.; Andersen, R.K.; Azar, E.; Barthelmes, V.M.; Berger, C.; Bourikas, L.; Carlucci, S.; Chinazzo, G.; et al. Review of multi-domain approaches to indoor environmental perception and behaviour. Build. Environ. 2020, 176, 106804. [Google Scholar] [CrossRef]
- Huang, Z.; Du, X.; Yu, X. Home ownership and residential satisfaction: Evidence from Hangzhou, China. Habitat Int. 2015, 49, 74–83. [Google Scholar] [CrossRef]
- Schweiker, M. Rethinking resilient thermal comfort within the context of human-building resilience. In Handbook of Resilient Thermal Comfort; Nicol Fergus, H.B.R., Roaf, S., Eds.; Routledge: London, UK, 2022. [Google Scholar]
- Hellwig, R.T. Design of adaptive opportunities for people in buildings. In Handbook of Resilient Thermal Comfort; Nicol Fergus, H.B.R., Roaf, S., Eds.; Routledge: London, UK, 2022. [Google Scholar]
- Al Horr, Y.; Arif, M.; Katafygiotou, M.; Mazroei, A.; Kaushik, A.; Elsarrag, E. Impact of indoor environmental quality on occupant well-being and comfort: A review of the literature. Int. J. Sustain. Built Environ. 2016, 5, 1–11. [Google Scholar] [CrossRef]
- Al Horr, Y.; Arif, M.; Kaushik, A.; Mazroei, A.; Katafygiotou, M.; Elsarrag, E. Occupant productivity and office indoor environment quality: A review of the literature. Build. Environ. 2016, 105, 369–389. [Google Scholar] [CrossRef]
- Kim, J.; de Dear, R.; Cândido, C.; Zhang, H.; Arens, E. Gender differences in office occupant perception of indoor environmental quality (IEQ). Build. Environ. 2013, 70, 245–256. [Google Scholar] [CrossRef]
- Karlsson, B.; Håkansson, M.; Sjöblom, J.; Ström, H. Light my fire but don’t choke on the smoke: Wellbeing and pollution from fireplace use in Sweden. Energy Res. Soc. Sci. 2020, 69, 101696. [Google Scholar] [CrossRef]
- Wolkoff, P. Indoor air humidity, air quality, and health—An overview. Int. J. Hyg. Environ. Health 2018, 221, 376–390. [Google Scholar] [CrossRef] [PubMed]







| Variable | Number of Responses | Mean (Standard Deviation) | Median (Range) |
|---|---|---|---|
| U-value windows (W/m2K) | 1721 | 2.09 (0.34) | 2.00 (1.80) |
| U-value external walls (W/m2K) | 1719 | 0.29 (0.24) | 0.21 (2.29) |
| Ventilation air change rate (building; h−1) | 1503 | 0.40 (0.22) | 0.36 (1.99) |
| Indoor air temperature (average; °C) | 1386 | 21.84 (1.39) | 21.87 (14.00) |
| Outdoor air temperature (average; °C) | 1386 | 3.43 (3.33) | 3.24 (22.32) |
| Living area (m2) | 1657 | 119.57 (47.26) | 117.00 (376.00) |
| Window to heated living area ratio | 1721 | 0.15 (0.07) | 0.13 (1.23) |
| Variable | Number of Responses | Mean (Standard Deviation) | Median (Range) |
|---|---|---|---|
| Ventilation air change rate (building; h−1) | 1511 | 0.40 (0.22) | 0.36 (1.99) |
| Indoor relative humidity (average; %) | 1321 | 33.26 (6.08) | 32.58 (39.89) |
| Living area (m2) | 1666 | 119.37 (47.03) | 117.00 (376.00) |
| Window to heated living area ratio | 1730 | 0.15 (0.07) | 0.13 (1.23) |
| Variable | Available Options for Thermal Comfort (Mean Value) | Available Options for Indoor Air Quality (Mean Value) |
|---|---|---|
| Type of dwelling | Apartment | Apartment |
| Single-family house | Single-family house | |
| Building location | City suburb | City suburb |
| Sparsely populated area | Sparsely populated area | |
| City center | City center | |
| Residential neighborhood | Residential neighborhood | |
| Solar access south | Sunny | - |
| Partly sunny | - | |
| Shaded | - | |
| No information | - | |
| Tenure status | Ownership | Ownership |
| Condominium | Condominium | |
| Tenancy | Tenancy | |
| Other | Other | |
| Carpet in any room | No | - |
| Yes | - | |
| Window vents | No | No |
| Yes | Yes | |
| Pets | - | No |
| - | Yes | |
| Airing frequency | Daily | Daily |
| Once per week | Once per week | |
| Once per month | Once per month | |
| Never | Never | |
| Airing practice | Open all day | Open all day |
| Open few hours | Open few hours | |
| Open few minutes | Open few minutes | |
| Never | Never | |
| Building period of construction | Before 1960 | Before 1960 |
| 1961–1975 | 1961–1975 | |
| 1976–1985 | 1976–1985 | |
| 1986–1995 | 1986–1995 | |
| 1996–2005 | 1996–2005 | |
| Climate zone | 1 | 1 |
| 2 | 2 | |
| 3 | 3 | |
| 4 | 4 | |
| Ventilation system | Return only ventilation | Return only ventilation |
| Supply and return ventilation with HR | Supply and return ventilation with HR | |
| Supply and return ventilation without HR | Supply and return ventilation without HR | |
| Exhaust air heat pump ventilation | Exhaust air heat pump ventilation | |
| Natural ventilation | Natural ventilation | |
| Heating system | Wood stove | - |
| Directly produced electricity | - | |
| Own combustion boiler | - | |
| Electric boiler | - | |
| Electric resistance | - | |
| Electric radiator | - | |
| District heating | - | |
| Stove with tiles | - | |
| Local produced district heating | - | |
| Fireplace | - | |
| Pellet stove | - | |
| Heat pump | - | |
| Other | - | |
| Living duration in dwelling | More than 10 years | More than 10 years |
| 6–10 years | 6–10 years | |
| 3–5 years | 3–5 years | |
| 1–2 years | 1–2 years | |
| 6–12 months | 6–12 months | |
| Less than 6 months | Less than 6 months | |
| Duration away from home | More than 10 h | More than 10 h |
| 5–9 h | 5–9 h | |
| 0–4 h | 0–4 h | |
| Gender (“sex assigned at birth”) | Female | Female |
| Male | Male | |
| Age group | 0–19 | 0–19 |
| 20–39 | 20–39 | |
| 40–59 | 40–59 | |
| 60–79 | 60–79 | |
| 80- | 80- | |
| Window opening type | Out | Out |
| In | In | |
| Pivot window | Pivot window | |
| Not open | Not open | |
| Type of building | Multi-family building | Multi-family building |
| Detached (semi) house | Detached (semi) house | |
| Terraced house | Terraced house | |
| Other | Other | |
| Pollution area | - | No pollution |
| - | Traffic | |
| - | Airport | |
| - | Industry | |
| - | Other | |
| PVC flooring in any room (excl. wetroom) | - | No |
| - | Yes | |
| Fireplace-heating stove | - | No |
| - | Yes | |
| Oiled wood floor | - | No |
| - | Yes | |
| Closing kitchen area | - | No |
| - | Yes | |
| Tobacco smoke indoors | - | Daily |
| - | 1–4 times per week | |
| - | 1–3 times per month | |
| - | Never | |
| Drying clothes indoor | - | No |
| - | Yes | |
| Painting | - | No |
| - | Last month | |
| - | 2–3 months | |
| - | 4–12 months | |
| Moisture damages the last 12 months | - | No |
| - | Yes | |
| Moisture damages the last 5 years | - | No |
| - | Yes | |
| Smoking | - | No |
| - | Yes |
| a/a | Variable | Model Option |
|---|---|---|
| 1 | Tenure status | Ownership; condominium; tenancy |
| 2 | Airing practice | Open all day; open few hours; open few minutes or never |
| 3 | Ventilation system | Return only ventilation; supply and return ventilation with/without HR; exhaust air heat pump ventilation; natural ventilation |
| 4 | Living duration in dwelling | More than 10 years; 6–10 years; 3–5 years; less than 2 years |
| 5 | Heating system * | Directly produced electricity; heat pump; other |
| 6 | Window opening type | Out; in; pivot window |
Disclaimer/Publisher’s Note: The statements, opinions and data contained in all publications are solely those of the individual author(s) and contributor(s) and not of MDPI and/or the editor(s). MDPI and/or the editor(s) disclaim responsibility for any injury to people or property resulting from any ideas, methods, instructions or products referred to in the content. |
© 2024 by the authors. Licensee MDPI, Basel, Switzerland. This article is an open access article distributed under the terms and conditions of the Creative Commons Attribution (CC BY) license (https://creativecommons.org/licenses/by/4.0/).
Share and Cite
Psomas, T.; Teli, D.; Donovan, A.O.; Kolias, P.; Langer, S. Association of Perceived Thermal Comfort and Air Quality with Building- and Occupant-Related Characteristics and Environmental Parameters in Sweden. Energies 2024, 17, 1471. https://doi.org/10.3390/en17061471
Psomas T, Teli D, Donovan AO, Kolias P, Langer S. Association of Perceived Thermal Comfort and Air Quality with Building- and Occupant-Related Characteristics and Environmental Parameters in Sweden. Energies. 2024; 17(6):1471. https://doi.org/10.3390/en17061471
Chicago/Turabian StylePsomas, Theofanis, Despoina Teli, Adam O’ Donovan, Pavlos Kolias, and Sarka Langer. 2024. "Association of Perceived Thermal Comfort and Air Quality with Building- and Occupant-Related Characteristics and Environmental Parameters in Sweden" Energies 17, no. 6: 1471. https://doi.org/10.3390/en17061471
APA StylePsomas, T., Teli, D., Donovan, A. O., Kolias, P., & Langer, S. (2024). Association of Perceived Thermal Comfort and Air Quality with Building- and Occupant-Related Characteristics and Environmental Parameters in Sweden. Energies, 17(6), 1471. https://doi.org/10.3390/en17061471

