Three-Step Process for Efficient Solar Cells with Boron-Doped Passivated Contacts
Abstract
1. Introduction
- Maskless and, consequently, low-cost patterning: Highly boron-doped p++-poly-Si layers provide the necessary etch stop in an alkaline solution such as potassium hydroxide (KOH) [15]. We currently use this feature for the production of advanced passivated contact cells with selective p++-poly-Si layers [16,17].
- How stable is the high supersaturated active boron concentration achieved by laser activation during solar processing, particularly in high-temperature processes such as subsequent furnace diffusion, oxidation, or high-temperature annealing? Other authors have studied boron-implanted, laser-annealed, highly boron-doped poly-Si layers and demonstrated reduced electrical activity after such annealing processes: dopant clustering or precipitation was deemed responsible [18,19,20]. Mizushima et al. showed that boron precipitation also happens after high-temperature annealing in highly boron-doped a-Si layers deposited via a low-pressure chemical vapor deposition (LPCVD) method [21]. Some studies also showed that boron atoms segregate at poly-Si grain boundaries, resulting in electrically inactive boron atoms [22,23]. A similar effect was also previously observed for dopant-implanted and laser-annealed samples with other dopants, such as phosphorus and arsenic [24,25].
- What is the surface passivation quality of p++-poly-Si/SiO2 passivation stacks with highly boron-doped poly-Si layers? High open-circuit voltages are indispensable for highly efficient solar cells.
- The classic deposition of passivating SiNx:H at a moderate deposition temperature = 450 °C for = 30 min and with fast firing with a short exposure time (several seconds) to a high peak temperature = 825 °C does not reduce the conductivity of the laser-activated/doped poly-Si.
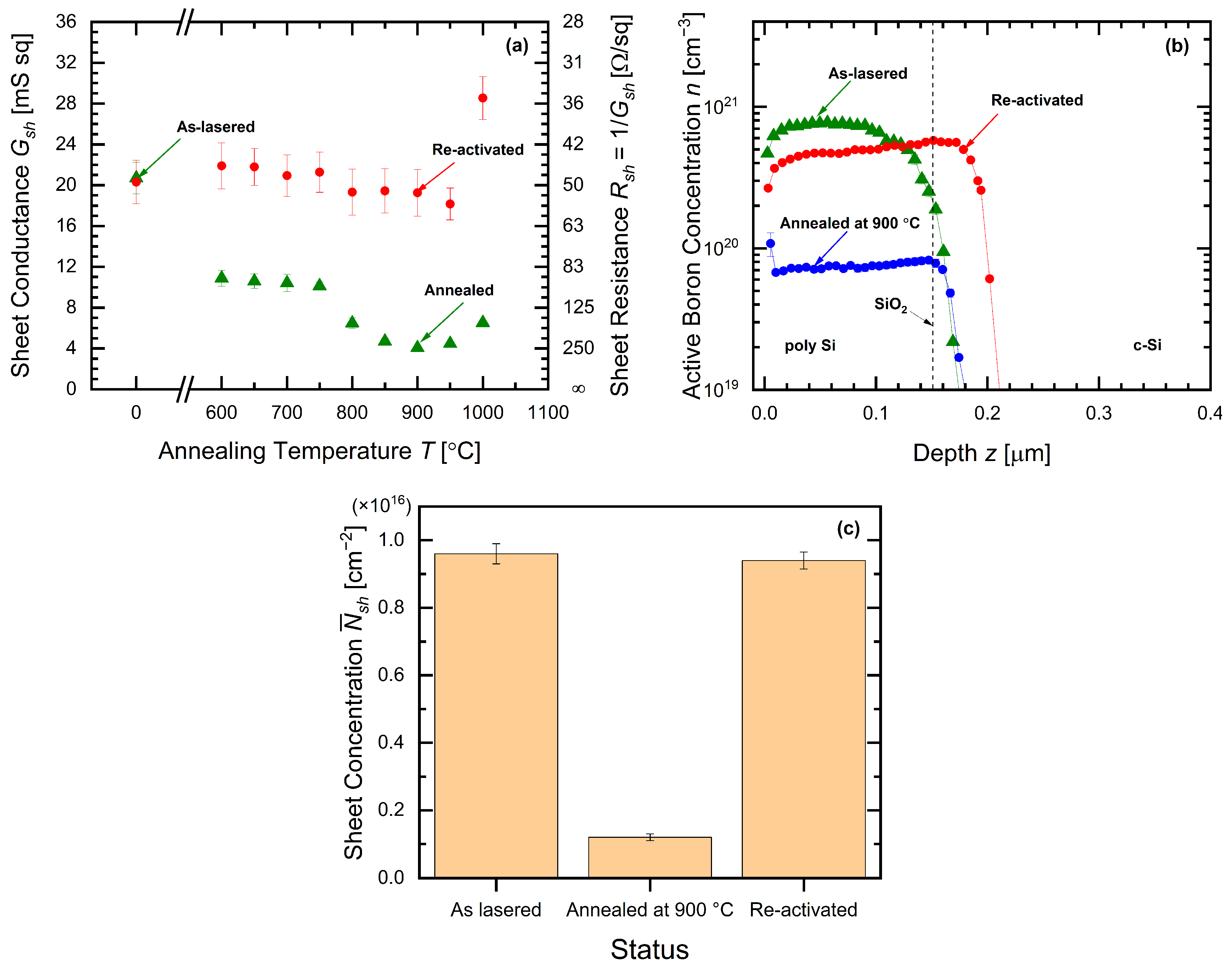
- The high (electrically active) boron concentrations obtained with laser activation are significantly reduced during high-temperature annealing steps with temperatures in the range 600 °C ≤ ≤ 1000 °C and relatively long annealing times = 30 min. However, this effect is only due to a reduction in/the deactivation of electrically active boron atoms during high-temperature annealing, not due to out-diffusion. As a consequence, here, we introduce a novel laser reactivation process by melting the poly-Si a second time. This process “heals” the poly-Si layers again and almost completely re-establishes the high boron concentrations with high sheet conductances Gsh up to Gsh = 24 mS sq.
- High (implied) open-circuit voltages after the original laser activation require high-temperature annealing (which, at the same time, degrades the conductivity of poly-Si). However, using our novel laser reactivation process not only restores the original high conductivity but also is compatible with high passivation quality. Finally, together with the high sheet conductance Gsh = 24 mS sq, we also obtain an implied open-circuit voltage iVOC = 715 mV.
2. Sample Preparation
- Sheet resistance samples: These samples were used to study the effect of different annealing temperatures on the electrical properties. The Rsh and the doping profiles of this group were measured after high-temperature annealing. The second laser reactivation and healing process was carried out for this group, followed by additional Rsh and ECV measurements.
- Passivation samples: We used these symmetrical samples to assess the influence of each annealing temperature on the passivation quality. For this purpose, using plasma-enhanced chemical vapor deposition (PECVD), both the front and rear sides of these samples were coated with a silicon nitride (SiNx:H) layer, which serves as a hydrogen source for improving the passivation by the saturation of defects at/in the interfacial oxide. The passivation quality was measured with quasi-steady-state photoconductance (QSSPC) measurement using a Sinton WCT-120 tool. Additionally, we used photoluminescence (PL) imaging for the qualitative assessment of the passivation.
3. Deactivation
3.1. Deactivation during SiNx:H Deposition and Fast Firing

3.2. Deactivation during High-Temperature Annealing
- Zone A, = 0 °C: Without annealing, high Gsh = 15 mS sq is measured after laser activation.
- Zone B, 600 °C ≤ ≤ 750 °C: Annealing the laser-activated layers results in a reduction in the conductivity from Gsh = 15 mS sq for the as-lasered stage to Gsh = 10 mS sq for samples annealed at = 600 °C. But increasing the annealing temperature only marginally reduces Gsh, with a deactivation rate Dr = 5 × 10−6 mS sq/°C up to = 750 °C.
- Zone C, 750 °C < ≤ 900 °C: Annealing in this range results in a significant reduction in Gsh values; the deactivation rate is Dr = 1.2 × 10−5 mS sq/°C. The minimum Gsh = 4 mS sq is obtained for samples annealed at = 900 °C. This temperature range is also relevant for poly-Si annealing in passivated contact solar cells. Hence, the observed deactivation might create problems in today’s real solar cell production. In the same temperature range, an earlier study [18] also found substantial deactivation for boron-implanted and laser-annealed samples. Boron precipitation was assumed to be responsible for the deactivation [18].
- Zone D, > 900 °C: The Gsh values increase when increasing the annealing temperature at a rate of Dr = 4.7 × 10−5 mS sq/°C. We attribute this fact to the creation of a doping tail inside the c-Si substrate, as shown by the ECV profiles in Figure 3b.

3.3. ToF-SIMS Profiles
4. Passivation
5. Laser Reactivation as Healing Process
6. Highly Conductive, Well-Passivating p++-poly-Si/SiO2 Layers
7. Conclusions
Author Contributions
Funding
Data Availability Statement
Acknowledgments
Conflicts of Interest
References
- Arriaga Arruti, O.; Virtuani, A.; Ballif, C. Long-term performance and reliability of silicon heterojunction solar modules. Prog. Photovolt. Res. Appl. 2023, 31, 664–677. [Google Scholar] [CrossRef]
- Wang, V. A Look into the 2024 PV Landscape: Top 10 PV Module Manufacturers’ Capacity Plans. Available online: https://www.solarbeglobal.com/a-look-into-the-2024-pv-landscape-top-10-pv-module-manufacturers-capacity-plans/ (accessed on 27 April 2023).
- Kafle, B.; Goraya, B.S.; Mack, S.; Feldmann, F.; Nold, S.; Rentsch, J. TOPCon—Technology options for cost efficient industrial manufacturing. Sol. Energy Mater. Sol. Cells 2021, 227, 111100. [Google Scholar] [CrossRef]
- Chen, Y.; Chen, D.; Liu, C.; Wang, Z.; Zou, Y.; He, Y.; Wang, Y.; Yuan, L.; Gong, J.; Lin, W.; et al. Mass production of industrial tunnel oxide passivated contacts (i-TOPCon) silicon solar cells with average efficiency over 23% and modules over 345 W. Prog. Photovolt. Res. Appl. 2019, 27, 827–834. [Google Scholar] [CrossRef]
- Nandakumar, N.; Rodriguez, J.; Kluge, T.; Groβe, T.; Fondop, L.; Padhamnath, P.; Balaji, N.; König, M.; Duttagupta, S. Approaching 23% with large-area monoPoly cells using screen-printed and fired rear passivating contacts fabricated by inline PECVD. Prog. Photovolt. Res. Appl. 2019, 27, 107–112. [Google Scholar] [CrossRef]
- Chaudhary, A.; Hoß, J.; Lossen, J.; Huster, F.; Kopecek, R.; van Swaaij, R.; Zeman, M. Screen Printed Fire-Through Contact Formation for Polysilicon-Passivated Contacts and Phosphorus-Diffused Contacts. IEEE J. Photovolt. 2022, 12, 462–468. [Google Scholar] [CrossRef]
- Boeisenko, V.E.; Yudin, S.G. Steady-state solubility of substitutional impurities in silicon. Phys. Status Solidi (a) 1987, 101, 123–127. [Google Scholar] [CrossRef]
- Sharbaf Kalaghichi, S.; Hoß, J.; Zapf-Gottwick, R.; Werner, J.H. Laser Activation for Highly Boron-Doped Passivated Contacts. Solar 2023, 3, 362–381. [Google Scholar] [CrossRef]
- Kodera, H. Diffusion Coefficients of Impurities in Silicon Melt. Jpn. J. Appl. Phys. 1963, 2, 212. [Google Scholar] [CrossRef]
- Vick, G.L.; Whittle, K.M. Solid Solubility and Diffusion Coefficients of Boron in Silicon. J. Electrochem. Soc. 1969, 116, 1142. [Google Scholar] [CrossRef]
- Poate, J.M.; Brown, W.L. Laser annealing of silicon. Phys. Today 1982, 35, 24–30. [Google Scholar] [CrossRef]
- White, C.W.; Wilson, S.R.; Appleton, B.R.; Young, F.W. Supersaturated substitutional alloys formed by ion implantation and pulsed laser annealing of group-III and group-V dopants in silicon. J. Appl. Phys. 1980, 51, 738–749. [Google Scholar] [CrossRef]
- Sze, S.; Lee, M. Semiconductor Devices: Physics and Technology; Wiley: Hoboken, NJ, USA, 2012; p. 239. [Google Scholar]
- Padhamnath, P.; Nampalli, N.; Khanna, A.; Nagarajan, B.; Aberle, A.G.; Duttagupta, S. Progress with passivation and screen-printed metallization of Boron-doped monoPoly™ layers. Sol. Energy 2022, 231, 8–26. [Google Scholar] [CrossRef]
- Buchholz, F.; Linke, J.; Hoß, J.; Chu, H.; Mihailetchi, V.; Chaudhary, A.; Arumughan, J.; Lossen, J.; Kopecek, R.; Wefringhaus, E. Local Passivating Contacts from Laser Doped P+ Polysilicon. In Proceedings of the 38th European Photovoltaic Solar Energy Conference and Exhibition, Online, 6–10 September 2021; pp. 140–143. [Google Scholar] [CrossRef]
- Kopecek, R.; Buchholz, F.; Mihailetchi, V.D.; Libal, J.; Lossen, J.; Chen, N.; Chu, H.; Peter, C.; Timofte, T.; Halm, A.; et al. Interdigitated Back Contact Technology as Final Evolution for Industrial Crystalline Single-Junction Silicon Solar Cell. Solar 2023, 3, 1–14. [Google Scholar] [CrossRef]
- Linke, J.; Buchholz, F.; Peter, C.; Hoß, J.; Lossen, J.; Mihailetchi, V.; Kopecek, R. Fully Passivating Contact IBC Solar Cells Using Laser Processing. In Proceedings of the 8th World Conference on Photovoltaic Energy Conversion, Milan, Italy, 26–30 September 2022; pp. 102–106. [Google Scholar] [CrossRef]
- Takamura, Y.; Jain, S.H.; Griffin, P.B.; Plummer, J.D. Thermal stability of dopants in laser annealed silicon. J. Appl. Phys. 2002, 92, 230–234. [Google Scholar] [CrossRef]
- Narayan, J.; Young, R.T.; White, C.W. A comparative study of laser and thermal annealing of boron-implanted silicon. J. Appl. Phys. 2008, 49, 3912–3917. [Google Scholar] [CrossRef]
- White, C.W.; Narayan, J.; Young, R.T. Laser Annealing of Ion-Implanted Semiconductors. Science 1979, 204, 461–468. [Google Scholar] [CrossRef] [PubMed]
- Mizushima, I.; Mitani, Y.; Koike, M.; Yoshiki, M.; Tomita, M.; Kambayashi, S. Precipitation of Boron in Highly Boron-Doped Silicon. Jpn. J. Appl. Phys. 1998, 37, 1171. [Google Scholar] [CrossRef]
- Thompson, K.; Bunton, J.H.; Kelly, T.F.; Larson, D.J. Characterization of ultralow-energy implants and towards the analysis of three-dimensional dopant distributions using three-dimensional atom-probe tomography. J. Vac. Sci. Technol. Microelectron. Nanometer Struct. Process. Meas. Phenom. 2006, 24, 421–427. [Google Scholar] [CrossRef]
- Jin, S. Boron Activation and Diffusion in Polycrystalline Silicon with Flash-Assist Rapid Thermal Annealing. Ph.D. Thesis, University of Florida, Gainesville, FL, USA, 2011. [Google Scholar]
- Lim, S.Q.; Williams, J.S. Electrical and Optical Doping of Silicon by Pulsed-Laser Melting. Micro 2022, 2, 1–22. [Google Scholar] [CrossRef]
- Goetzlich, J.; Tsien, P.; Ryssel, H. Relaxation Behavior of Metastable As and P Concentrations in Si After Pulsed and CW Laser Annealing. MRS Online Proc. Libr. (OPL) 1983, 23, 235. [Google Scholar] [CrossRef]
- Cui, M.; Ma, J.; Wu, X. Multilayer SiNx:H films as passivation and anti-reflection coating for industrial PERC solar cells. Optik 2022, 268, 169841. [Google Scholar] [CrossRef]
- Lohmüller, E.; Werner, S.; Hoenig, R.; Greulich, J.; Clement, F. Impact of boron doping profiles on the specific contact resistance of screen printed Ag–Al contacts on silicon. Sol. Energy Mater. Sol. Cells 2015, 142, 2–11. [Google Scholar] [CrossRef]
- Trumbore, F.A. Solid solubilities of impurity elements in germanium and silicon. Bell Syst. Tech. J. 1960, 39, 205–233. [Google Scholar] [CrossRef]
- Sinton, R.A.; Cuevas, A.; Stuckings, M. Quasi-steady-state photoconductance, a new method for solar cell material and device characterization. In Proceedings of the Conference Record of the Twenty Fifth IEEE Photovoltaic Specialists Conference-1996, Washington, DC, USA, 13–17 May 1996; pp. 457–460. [Google Scholar]
- Kim, Y.J.; Kweon, I.; Min, K.; Lee, S.; Choi, S.; Jeong, K.; Park, S.; Song, H.E.; Kang, M.G.; Kim, K.H. Thermal annealing effects on tunnel oxide passivated hole contacts for high-efficiency crystalline silicon solar cells. Sci. Rep. 2022, 12, 15024. [Google Scholar] [CrossRef] [PubMed]
- Morisset, A.; Cabal, R.; Giglia, V.; Boulineau, A.; De Vito, E.; Chabli, A.; Dubois, S.; Alvarez, J.; Kleider, J.P. Evolution of the surface passivation mechanism during the fabrication of ex-situ doped poly-Si(B)/SiOx passivating contacts for high-efficiency c-Si solar cells. Sol. Energy Mater. Sol. Cells 2021, 221, 110899. [Google Scholar] [CrossRef]
- Liu, W.; Yang, X.; Kang, J.; Li, S.; Xu, L.; Zhang, S.; Xu, H.; Peng, J.; Xie, F.; Fu, J.H.; et al. Polysilicon Passivating Contacts for Silicon Solar Cells: Interface Passivation and Carrier Transport Mechanism. ACS Appl. Energy Mater. 2019, 2, 4609–4617. [Google Scholar] [CrossRef]
- Narayan, J.; White, C.W. Melting phenomenon and properties of defects associated with pulsed laser irradiation. Philos. Mag. 1981, 43, 1515–1535. [Google Scholar] [CrossRef]
- Narayan, J. Melting Phenomena and Interfacial Instability Associated with Laser Irradiation. MRS Online Proc. Libr. (OPL) 1981, 4, 141. [Google Scholar] [CrossRef]
- Hassan, M.; Dahlinger, M.; Köhler, J.R.; Zapf-Gottwick, R.; Werner, J.H. Unified Model for Laser Doping of Silicon from Precursors. Materials 2021, 14, 2322. [Google Scholar] [CrossRef]
- Esturo-Breton, A.; Ametowobla, M.; Köhler, J.; Werner, J. Laser doping for crystalline silicon solar cell emitters. In Proceedings of the 20th European Photovoltaic Solar Energy Conference, Barcelona, Spain, 6–10 June 2005; pp. 851–854. [Google Scholar]





Disclaimer/Publisher’s Note: The statements, opinions and data contained in all publications are solely those of the individual author(s) and contributor(s) and not of MDPI and/or the editor(s). MDPI and/or the editor(s) disclaim responsibility for any injury to people or property resulting from any ideas, methods, instructions or products referred to in the content. |
© 2024 by the authors. Licensee MDPI, Basel, Switzerland. This article is an open access article distributed under the terms and conditions of the Creative Commons Attribution (CC BY) license (https://creativecommons.org/licenses/by/4.0/).
Share and Cite
Sharbaf Kalaghichi, S.; Hoß, J.; Linke, J.; Lange, S.; Werner, J.H. Three-Step Process for Efficient Solar Cells with Boron-Doped Passivated Contacts. Energies 2024, 17, 1319. https://doi.org/10.3390/en17061319
Sharbaf Kalaghichi S, Hoß J, Linke J, Lange S, Werner JH. Three-Step Process for Efficient Solar Cells with Boron-Doped Passivated Contacts. Energies. 2024; 17(6):1319. https://doi.org/10.3390/en17061319
Chicago/Turabian StyleSharbaf Kalaghichi, Saman, Jan Hoß, Jonathan Linke, Stefan Lange, and Jürgen H. Werner. 2024. "Three-Step Process for Efficient Solar Cells with Boron-Doped Passivated Contacts" Energies 17, no. 6: 1319. https://doi.org/10.3390/en17061319
APA StyleSharbaf Kalaghichi, S., Hoß, J., Linke, J., Lange, S., & Werner, J. H. (2024). Three-Step Process for Efficient Solar Cells with Boron-Doped Passivated Contacts. Energies, 17(6), 1319. https://doi.org/10.3390/en17061319

